Eccentric Compression Behavior of RCFST Columns with Web Perforated T-Shaped Stiffeners
Abstract
1. Introduction
2. Establishment of FEM
2.1. Constitutive Model of Material
2.1.1. Steel
2.1.2. Concrete
2.2. Element Type and Meshing
2.3. Definition of Interaction and Boundary Conditions
2.4. Validation of FEM
3. Analysis of Eccentric Compression Behavior Mechanism
3.1. Strain Distribution of Steel Tube and Stiffeners
3.2. Stress Distribution of Steel Tube and Stiffeners
3.3. Strain Distribution of Concrete
3.4. Stress Distribution of Concrete
4. Parameter Analysis
4.1. Selection of Eccentricity
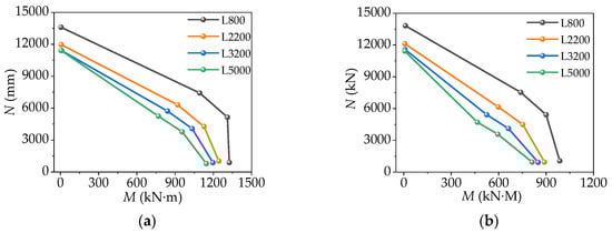
4.2. Slenderness Ratio
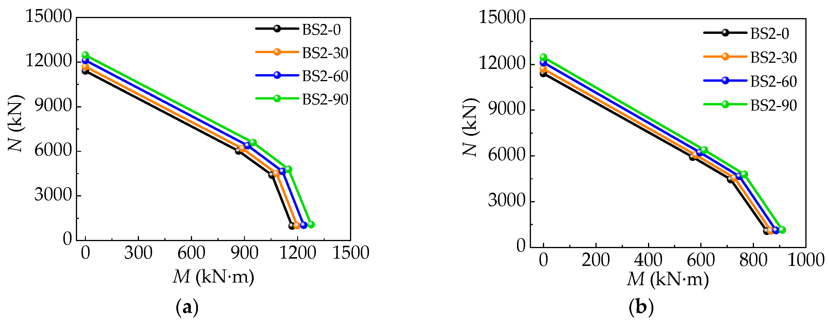
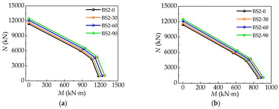
4.3. Number and Size of Stiffeners
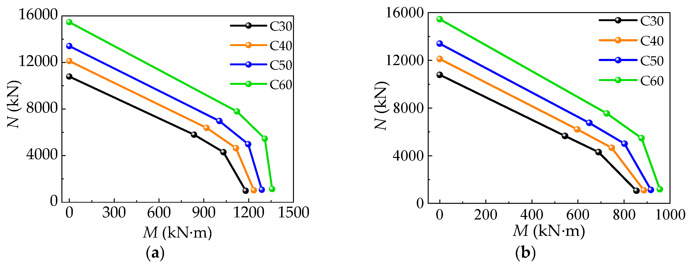
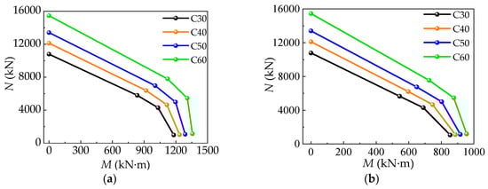
4.4. Material Strength
4.5. The Load (N)-Midspan Deflection (∆) Curves
5. Calculation of Eccentric Bearing Capacity
5.1. Contribution of Concrete
5.2. Contribution of Steel Tube and Stiffeners
5.3. Derivation Formula for Eccentric Compression
- (1)
- The neutral axis is located in the concrete ()
- (2)
- The neutral axis is located in the stiffener ()
- (3)
- The neutral axis is located at the flange of the steel tube ()
5.4. Comparison and Verification of Calculation Methods
6. Conclusions
- (1)
- A finite element analysis model for web-perforated T-shaped stiffened RCFST columns was developed in this study. The model was validated through comparisons with existing test results, showing a difference within 10% and a maximum error of 5.36%. The outcomes demonstrate the precision of the FEM presented in this research for predicting the mechanical performance of web perforated T-shaped stiffened RCFST columns.
- (2)
- Web-perforated T-shaped stiffeners can restrain the growth and development of stress and strain in various parts of the specimen during eccentric compression. They also help delay the damage of steel tube and concrete while enhancing the compressive strength of concrete in certain areas.
- (3)
- The effects of L, ns, bs1, bs2, ts, fcu, and fy on the eccentrically loaded capacity of web-perforated T-shaped stiffened RCFST columns were analyzed. An increase in L reduces the overall stability of the member, making its mechanical behavior closer to that of a pure steel column. Enhancing fcu and fy improves the load-bearing capacity; however, increasing fcu reduces the ductility and deformability of the columns. The number of stiffeners has a more significant influence on the bearing capacity of members under strong-axis eccentric loading, with a smaller impact on the weak axis. Among the stiffener size parameters, bs2 and ts exhibit a more significant influence on the load-bearing capacity compared to bs1.
- (4)
- A novel method is proposed for predicting the ultimate strength of RCFST columns with web-perforated T-shaped stiffeners. This method considers the joint load-bearing contribution of the web-perforated T-shaped stiffeners and the steel tube while accounting for the impact of local buckling of the steel tube on the ultimate strength. The results indicate that this method can achieve higher accuracy while ensuring safety, whereas the calculations based on CECS 28 is conservative.
Author Contributions
Funding
Data Availability Statement
Conflicts of Interest
References
- Han, L.H.; Li, W.; Bjorhovde, R. Developments and advanced applications of concrete-filled steel tubular (CFST) structures: Members. J. Constr. Steel Res. 2014, 100, 211–228. [Google Scholar] [CrossRef]
- Thomas, J.; Sandeep, T.N. Capacity of short circular CFST columns with inner vertical plates welded intermittently. J. Constr. Steel Res. 2020, 165, 105840. [Google Scholar] [CrossRef]
- Liao, J.J.; Zeng, J.J.; Long, Y.L.; Cai, J.; Ouyang, Y. Behavior of square and rectangular concrete-filled steel tube (CFST) columns with horizontal reinforcing bars under eccentric compression. Eng. Struct. 2022, 271, 114899. [Google Scholar] [CrossRef]
- Hassanein, M.F.; Patel, V.I.; Elchalakani, M.; Thai, H.T. Finite element analysis of large diameter high strength octagonal CFST short columns. Thin-Walled Struct. 2018, 123, 467–482. [Google Scholar] [CrossRef]
- Young, B.; Ellobody, E. Experimental investigation of concrete-filled cold-formed high strength stainless steel tube columns. Constr. Steel Res. 2006, 62, 484–492. [Google Scholar] [CrossRef]
- Alatshan, F.; Osman, S.A.; Altlomate, A.; Alkair, M.; Hamid, R.; Mashiri, F. Design Model of Rectangular Concrete-Filled Steel Tubular Stub Columns under Axial Compression. Buildings 2023, 13, 128. [Google Scholar] [CrossRef]
- Fujinaga, T. Ultimate flexural strength of rectangular concrete-filled steel tubular beam-columns using high-strength materials. Jpn. Archit. Rev. 2023, 6, e12336. [Google Scholar] [CrossRef]
- Li, H.D.; Guo, L.H.; Gao, S.; Elchalakani, M. Analysis and design of wide rectangular concrete-filled steel tubular columns under axial compression. Structures 2024, 70, 107540. [Google Scholar] [CrossRef]
- Wang, Z.B.; Dai, H.W.; Ke, C.L. Test and design of rectangular steel-reinforced concrete-filled stainless steel tubular short columns. Eng. Struct. 2023, 293, 116689. [Google Scholar] [CrossRef]
- Zhou, Z.; Denavit, M.D.; Zhou, X.H. New cross-sectional slenderness limits for stiffened rectangular concrete-filled steel tubes. Eng. Struct. 2023, 280, 115689. [Google Scholar] [CrossRef]
- Bhartiya, R.; Sahoo, D.R. Prediction of axial compression behavior of rectangular RCFST columns with confining ties. J. Constr. Steel Res. 2021, 186, 106920. [Google Scholar] [CrossRef]
- Ding, F.X.; Fang, C.J.; Bai, Y.; Gong, Y.Z. Mechanical performance of stirrup-confined concrete-filled steel tubular stub columns under axial loading. Constr. Steel Res. 2014, 98, 146–157. [Google Scholar] [CrossRef]
- Ding, F.X.; Fu, L.; Liu, X.M.; Liu, J. Mechanical performances of track-shaped rebar stiffened concrete-filled steel tubular (SCFRT) stub columns under axial compression. Thin-Walled Struct. 2016, 99, 168–181. [Google Scholar] [CrossRef]
- Du, Y.S.; Gao, D.H.; Chen, Z.H.; Zheng, Z.H.; Wang, X.D. Behaviors of FRP confined rectangular concrete-filled thin-walled steel tubular stub columns using high-strength materials under axial load. Compos. Struct. 2022, 280, 114915. [Google Scholar] [CrossRef]
- Zhou, Z.; Zhou, X.H.; Gan, D.; Liu, Y.J. Comparison and design of stiffened rectangular concrete-filled steel tubular members. J. Constr. Steel Res. 2023, 208, 108037. [Google Scholar] [CrossRef]
- Gan, D.; Zhou, Z.; Zhou, X.H. Improved composite effect of square concrete-filled steel tubes with diagonal binding ribs. J. Struct. Eng. 2019, 145, 04019112. [Google Scholar]
- Ge, H.; Usami, T. Strength of concrete-filled thin-walled steel box columns: Experiment. J. Struct. Eng. 1992, 118, 3036–3054. [Google Scholar] [CrossRef]
- Cai, J.; Long, Y. Local buckling of steel plates in rectangular CFT columns with binding bars. J. Constr. Steel Res. 2009, 65, 965–972. [Google Scholar] [CrossRef]
- Chen, S.Z.; Liu, Y.; Luo, J.H.; Gao, S.Y. Experimental and numerical analysis on rectangular concrete-filled steel tubular columns with T-shaped stiffeners. J. Build. Eng. 2022, 45, 103510. [Google Scholar] [CrossRef]
- Liu, Y.J.; Zhang, N.; Zhang, J.G. Mechanical behavior of concrete-filled square steel tube stiffened with PBL. J. Archit. Civ. Eng. 2012, 29, 13–17. (In Chinese) [Google Scholar]
- Liu, J.P.; Yang, J.; Chen, B.C.; Zhou, Z.Y. Mechanical performance of concrete-filled square steel tube stiffened with PBL subjected to eccentric compressive loads: Experimental study and numerical simulation. Thin-Walled Struct. 2020, 149, 106617. [Google Scholar] [CrossRef]
- Guo, J.H.; Diao, Y. Experimental behaviors of square concrete filled steel tubular columns with PBL stiffeners. Structures 2022, 38, 1556–1569. [Google Scholar] [CrossRef]
- CEN, EN 1994-1-1; Design of Composite Steel and Concrete Structures—Part 1: General Rules and Rules for Buildings. European Standards: London, UK, 2005.
- AISC 360-2022; American Steel Construction Institute Standard, Specification for Structural Steel Buildings. American Institute of Steel Construction, Inc.: Chicago, IL, USA, 2022.
- AS/NZS 2327; Composite Steel-Concrete Construction for Buildings. Australian/New Zealand Standards: Wellignton, New Zealand, 2020.
- GB50936-2014; Technical Code for Concrete Filled Steel Tubular Structures. China Architecture & Building Press Beijing: Beijing, China, 2014. (In Chinese)
- JGJ 138—2016; Code for Design of Composite Structures. China Architecture and Building Press: Beijing, China, 2016. (In Chinese)
- CECS 159:2004; Technical Specification for Structures with Concrete-Filled Rectangular Steel Tube Members. China Architecture and Building Press: Beijing, China, 2004. (In Chinese)
- Lei, T.; Jiang, Q.F.; Liang, S.F.; Wu, Z.M.; Xu, J.X. Experimental Investigation on Axial Compressive Performance of Rectangular CFST Columns with Web Perforated T-Shaped Stiffeners; Chang’an University: Xi’an, China, 2024. (In Chinese) [Google Scholar]
- Akhaveissy, A.H. Seismic Retrofit of Defective RC Beam-Column Joints. Period. Polytech. Civ. Eng. 2018, 62, 596–611. [Google Scholar] [CrossRef]
- Zhang, J.G. Research on the Mechanical Performance of Concrete-Filled Square Steel Tube Stiffened with PBL under Axial Com-Pression Load. Ph.D. Thesis, Chang’an University, Xi’an, China, 2012. (In Chinese). [Google Scholar]
- ABAQUS. ABAQUS Standard User’s Manual, version 6.12; Dassault Systems Simulia Corporation: Providence, RI, USA, 2012. [Google Scholar]
- Ding, F.X.; Zhou, L.C.; Yu, Z.W. Nonlinear finite element analysis of axially loaded concrete-filled steel tubular stub columns. China Sci. 2009, 4, 472–479. (In Chinese) [Google Scholar]
- Ellobody, E.; Young, B. Nonlinear analysis of concrete-filled steel SHS and RHS columns. Thin-Walled Struct. 2006, 44, 919–930. [Google Scholar] [CrossRef]
- EN 1998-1:2004; Eurocode 8: Design of Structures for Earthquake Resistance—Part 1: General Rules, Seismic Actions and Rules for Buildings. British Standard: London, UK, 2005.
- AS4100-2020; Steel Structures. Australian Standards: Sydney, Australia, 2020.
- Wang, H.T.; Liu, Y.J.; Sun, L.P. Calculation method of eccentric bearing capacity of RCFST based on post-buckling strength of panels. J. Archit. Civ. Eng. 2022, 39, 41–52. [Google Scholar]
- CECS 28:2012; Technical Specification for Concrete-Filled Steel Tubular Structures. China Planning Press: Beijing, China, 2012.



























| Material | Thickness (mm) | Yield Strength (MPa) | Ultimate Strength (MPa) | Elasticity Modulus |
|---|---|---|---|---|
| Q355 | 8 | 480.67 | 558.00 | 1.93 × 105 |
| Q355 | 10 | 355.67 | 523.33 | 2.13 × 105 |
| Q235 | 8 | 304.50 | 416.50 | 1.98 × 105 |
| Concrete | / | / | 31.20 | 3.03 × 104 |
| No. | L × H × B (mm) | t (mm) | bs1 (mm) | bs2 (mm) | ts1 (mm) | ts2 (mm) | D (mm) | y (mm) | Nexp (kN) | NFEM (kN) | Error (%) |
|---|---|---|---|---|---|---|---|---|---|---|---|
| T-CFST-1 | 2200 × 480 × 320 | 10 | 68 | 60 | 8 | 8 | 20 | 120 | 11,502.49 | 12,118.80 | 5.36 |
| T-CFST-2 | 2200 × 480 × 320 | 10 | 68 | 60 | 8 | 8 | 20 | 120 | 12,327.30 | 12,865.70 | 4.37 |
| T-CFST-3 | 1800 × 400 × 266 | 8 | 75 | 60 | 8 | 8 | 25 | 120 | 9185.70 | 9456.80 | 2.95 |
| T-CFST-4 | 1800 × 400 × 266 | 8 | 58 | 60 | 8 | 8 | 20 | 120 | 8945.40 | 9393.61 | 5.01 |
| T-CFST-5 | 800 × 400 × 266 | 8 | 75 | 40 | 8 | 8 | 25 | 120 | 9285.29 | 9339.66 | 0.59 |
| No. | (mm) | (mm) | (mm) | (mm) | (mm) | (mm) | (MPa) | (Mpa) | |
|---|---|---|---|---|---|---|---|---|---|
| specimen 1 | 2200 | 4 | 60 | 60 | 10 | 20 | 120 | 40 | 345 |
| L800 | 800 | 4 | 60 | 60 | 8 | 20 | 120 | 40 | 345 |
| L2200 | 2200 | 4 | 60 | 60 | 8 | 20 | 120 | 40 | 345 |
| L3600 | 3600 | 4 | 60 | 60 | 8 | 20 | 120 | 40 | 345 |
| L5000 | 5000 | 4 | 60 | 60 | 8 | 20 | 120 | 40 | 345 |
| NS0 | 2200 | 0 | / | / | / | / | / | 40 | 345 |
| NS2+2 | 2200 | 4 | 60 | 60 | 8 | 20 | 120 | 40 | 345 |
| NS4+2 | 2200 | 6 | 60 | 60 | 8 | 20 | 120 | 40 | 345 |
| NS4+4 | 2200 | 8 | 60 | 60 | 8 | 20 | 120 | 40 | 345 |
| BS1-40 | 2200 | 4 | 40 | 60 | 8 | 20 | 120 | 40 | 345 |
| BS1-60 | 2200 | 4 | 60 | 60 | 8 | 20 | 120 | 40 | 345 |
| BS1-80 | 2200 | 4 | 80 | 60 | 8 | 20 | 120 | 40 | 345 |
| BS1-100 | 2200 | 4 | 100 | 60 | 8 | 20 | 120 | 40 | 345 |
| BS2-0 | 2200 | 4 | 60 | 0 | 8 | 20 | 120 | 40 | 345 |
| BS2-30 | 2200 | 4 | 60 | 30 | 8 | 20 | 120 | 40 | 345 |
| BS2-60 | 2200 | 4 | 60 | 60 | 8 | 20 | 120 | 40 | 345 |
| BS2-90 | 2200 | 4 | 60 | 90 | 8 | 20 | 120 | 40 | 345 |
| TS4 | 2200 | 4 | 60 | 60 | 4 | 20 | 120 | 40 | 345 |
| TS6 | 2200 | 4 | 60 | 60 | 6 | 20 | 120 | 40 | 345 |
| TS8 | 2200 | 4 | 60 | 60 | 8 | 20 | 120 | 40 | 345 |
| TS10 | 2200 | 4 | 60 | 60 | 10 | 20 | 120 | 40 | 345 |
| C30 | 2200 | 4 | 60 | 60 | 8 | 20 | 120 | 30 | 345 |
| C40 | 2200 | 4 | 60 | 60 | 8 | 20 | 120 | 40 | 345 |
| C50 | 2200 | 4 | 60 | 60 | 8 | 20 | 120 | 50 | 345 |
| C60 | 2200 | 4 | 60 | 60 | 8 | 20 | 120 | 60 | 345 |
| Q235 | 2200 | 4 | 60 | 60 | 8 | 20 | 120 | 40 | 235 |
| Q345 | 2200 | 4 | 60 | 60 | 8 | 20 | 120 | 40 | 345 |
| Q390 | 2200 | 4 | 60 | 60 | 8 | 20 | 120 | 40 | 390 |
| Q420 | 2200 | 4 | 60 | 60 | 8 | 20 | 120 | 40 | 420 |
Disclaimer/Publisher’s Note: The statements, opinions and data contained in all publications are solely those of the individual author(s) and contributor(s) and not of MDPI and/or the editor(s). MDPI and/or the editor(s) disclaim responsibility for any injury to people or property resulting from any ideas, methods, instructions or products referred to in the content. |
© 2025 by the authors. Licensee MDPI, Basel, Switzerland. This article is an open access article distributed under the terms and conditions of the Creative Commons Attribution (CC BY) license (https://creativecommons.org/licenses/by/4.0/).
Share and Cite
Jiang, Q.; Zhang, J.; Sun, L.; Wu, Y.; Lei, T. Eccentric Compression Behavior of RCFST Columns with Web Perforated T-Shaped Stiffeners. Buildings 2025, 15, 506. https://doi.org/10.3390/buildings15030506
Jiang Q, Zhang J, Sun L, Wu Y, Lei T. Eccentric Compression Behavior of RCFST Columns with Web Perforated T-Shaped Stiffeners. Buildings. 2025; 15(3):506. https://doi.org/10.3390/buildings15030506
Chicago/Turabian StyleJiang, Qifan, Jun Zhang, Lvhong Sun, Yanchao Wu, and Tuo Lei. 2025. "Eccentric Compression Behavior of RCFST Columns with Web Perforated T-Shaped Stiffeners" Buildings 15, no. 3: 506. https://doi.org/10.3390/buildings15030506
APA StyleJiang, Q., Zhang, J., Sun, L., Wu, Y., & Lei, T. (2025). Eccentric Compression Behavior of RCFST Columns with Web Perforated T-Shaped Stiffeners. Buildings, 15(3), 506. https://doi.org/10.3390/buildings15030506
