Abstract
The durability of carbon fiber-reinforced polymer (CFRP) bars in marine environments is essential for their application in seawater–sea sand concrete (SWSSC), especially under cyclic loading conditions. While previous studies primarily focused on static bonding performance, the effects of seawater immersion and dry–wet cycles on bond fatigue behavior at CFRP–SWSSC interfaces remain underexplored. This study investigated the bond fatigue performance of CFRP bars and SWSSC under seawater immersion and dry–wet cycling conditions. Eighteen CFRP bar-SWSSC bond specimens were divided into three categories and prepared for static and fatigue pull-out tests. The effects of varying stress levels (fatigue upper load/static bond ultimate load) after seawater immersion and dry–wet cycling on fatigue failure modes, bond–slip behavior, and fatigue characteristics were evaluated. The results show that seawater immersion and dry–wet cycling significantly degrade the performance of bonds between CFRP bars and SWSSC, with an average bond strength reduction of 10.31%. These conditions reduce fatigue cycles and stiffness while increasing bond–slip (relative displacement at the bar–concrete interface) and residual–slip (displacement after unloading). Moreover, dry–wet cycling has a greater negative impact on fatigue bond performance than seawater immersion. Higher fatigue stress levels exacerbate damage and crack propagation at the CFRP–SWSSC interface, leading to significant increases in both bond–slip and residual-slip. Under similar conditions, higher stress levels enhance bond stiffness. However, excessively high stresses may lead to bond fatigue failures. Using experimental data and existing fatigue bond–slip constitutive models, a customized model for CFRP bars in SWSSC was developed. These findings highlight that marine environments and fatigue loading severely impair bond performance, thereby emphasizing the importance of careful design for marine applications. The proposed model offers a reliable framework for predicting bond–slip behavior under fatigue conditions, enhancing the understanding of CFRP–SWSSC interactions and supporting the design of durable marine infrastructure.
1. Introduction
The corrosion of steel reinforcements remains a pivotal issue constraining the durability and service life of marine engineering structures, as it compromises mechanical integrity and diminishes the bond strength with concrete, thereby reducing the longevity of reinforced concrete systems [1]. To mitigate this challenge, researchers have advocated for substituting steel reinforcements with fiber-reinforced polymer (FRP) bars in concrete systems. Compared to GFRP and BFRP bars, CFRP bars exhibit superior strength and stiffness, enhanced fatigue performance, and excellent corrosion resistance. In recent years, the declining cost of CFRP materials has significantly expanded their applications in civil engineering and related fields [2,3,4,5,6]. Additionally, substituting traditional concrete with seawater–sea sand concrete (SWSSC) addresses critical challenges, including river sand depletion, escalating environmental stress, and freshwater scarcity, while effectively leveraging abundant marine resources [4,5,6,7,8,9,10,11]. The synergy between the corrosion-resistant properties of FRP bars and the resource efficiency of SWSSC has led to the emergence of FRP-reinforced SWSSC structures, offering viable solutions to marine engineering challenges such as resource underutilization, elevated transportation costs, and steel corrosion. Consequently, the integration of FRP bars and SWSSC demonstrates immense potential for developing sustainable and durable solutions for marine infrastructure [2,12,13].
Research has shown that the bonding mechanisms of FRP bars and concrete fundamentally diverge from those of steel reinforcements, exhibiting pronounced differences in their fatigue bond behavior, particularly under the fatigue conditions commonly encountered in offshore wind power projects and cross-sea bridge engineering [3,4,6,13,14,15,16,17,18,19,20]. Consequently, ensuring the fatigue bond performance of FRP bars with concrete requires tailored approaches, differing from conventional methodologies used for steel-reinforced concrete. Studies on the fatigue bond performance of FRP bars in concrete are still in their infancy, requiring further exploration.
Zou et al. [21] evaluated the fatigue bond behavior of basalt fiber-reinforced polymer (BFRP) bars with recycled concrete and found that fatigue loading reduced bonding defects, improved bond stiffness, and elevated bond strength. A constitutive model was formulated to characterize the bond–slip behavior under fatigue loading conditions for BFRP bars and recycled concrete, integrating experimental findings and existing theoretical frameworks. Shen et al. [22] examined the bond interaction of BFRP bars with concrete under cyclic loading and determined that escalating loading cycles led to diminished bond strength due to progressive interface deterioration and mechanical degradation. Furthermore, the bond–slip displacement exhibited an upward trend with increasing loading cycles, reflecting increased relative motion at the bonding interface. Moreover, the reduced hysteresis loop area signified a progressive decline in bonding efficacy over repeated cycles. Lee et al. [23] explored the bond strength characteristics of glass fiber-reinforced polymer (GFRP) bars under monotonic and cyclic loading conditions, emphasizing the stark discrepancies in interfacial performance relative to traditional steel reinforcement. Under cyclic loading conditions, the GFRP bars demonstrated more pronounced strength degradation compared to their behavior under monotonic loading. Mai et al. [24] assessed the bond durability of BFRP bars embedded in recycled aggregate seawater–sea sand concrete (RASWSSC) during freeze–thaw cycles. The findings indicated a marked reduction in bond strength with escalating freeze–thaw cycles, whereas thicker concrete covers mitigated this degradation by enhancing bond integrity. Xiong et al. [25] analyzed the fatigue bond dynamics between BFRP bars and seawater–sea sand concrete, concluding that total slip was governed primarily by intrinsic bond performance rather than the loading protocol. The fatigue-induced bond failure modes exerted a substantial influence on fatigue bond stiffness, peak bond stress, and residual bond capacity. Xiong et al. [26] systematically investigated the influence of incorporating glass fibers (GFs) and expansive agents (EAs) into seawater–sea sand concrete (SWSSC) on the interfacial bond behavior of glass fiber-reinforced polymer (GFRP) and basalt fiber-reinforced polymer (BFRP) reinforcement bars. The findings revealed that the addition of GFs and EA significantly improved bond stiffness but resulted in only marginal improvements in bond strength. Neither bond stiffness nor bond strength exhibited consistent improvement trends with variations in fiber length, GF content, or EA content. Sun J. et al. [16] examined the mechanical characteristics of basalt fiber-reinforced seawater–sea sand recycled aggregate concrete (BFSSRAC), composed of recycled coarse aggregate (RCA), seawater, and sea sand, alongside its bond interaction with BFRP bars. The results indicated that the utilization of RCA reduced bond strength, whereas concrete of higher strength grades facilitated increased maximum slip, reflecting enhanced energy dissipation during the bond–slip mechanism. Liao et al. [27] evaluated the interfacial bond strength between glass fiber-reinforced polymer (GFRP) bars and high-strength, as well as ultra-high-strength, sea sand concrete (SWSSC). The findings demonstrated that replacing conventional concrete with SWSSC exerted no significant effect on short-term bond strength. The incorporation of polyethylene (PE) fibers prolonged the micro-slip phase within the bond stress–slip relationship, effectively delaying crack initiation and propagation. However, excessive PE fiber content induced defects, subsequently diminishing bond strength. Increased concrete strength mitigated slope-softening phenomena during the slip phase. He et al. [28] analyzed the bond performance and determinant factors associated with ribbed basalt fiber-reinforced polymer (BFRP) bars embedded in seawater–sea sand concrete (SWSSC). The results indicated that bond strength diminished with increasing rib and groove widths, whereas greater rib height contributed to enhanced bond strength. The ultimate slip exhibited a strong correlation with rib spacing. Wang et al. [29] conducted a comprehensive investigation into the bond behavior between FRP bars and concrete under fatigue loading conditions. Their findings revealed that the inclusion of fibers improved bond stiffness and load-bearing capacity demonstrated brittle failure characteristics, and mitigated the rate of fatigue-induced bond deterioration. Rensheng et al. [30] performed pull-out experiments to evaluate the bond characteristics between spiral-ribbed GFRP bars and ultra-high-performance concrete. The results revealed that augmented fiber content within a specific range significantly enhanced bond strength, achieving an increase of 74.81% to 92.22% from 0% to 2%; further increases from 2% to 3% yielded negligible changes. Deng et al. [31] executed four-point bending tests to assess the fatigue bond performance of CFRP-reinforced seawater–sea sand concrete (SWSSC) beams. The findings suggested that excessive stirrup spacing modified the static failure mode of FRP-reinforced SWSSC beams, significantly increasing fatigue crack width and deflection under fatigue conditions. The load magnitude had a profound influence on fatigue life.
Current research primarily focuses on the static bond performance of FRP bars in concrete, with limited studies exploring the fatigue bond behavior of CFRP bars in concrete, with limited exploration into the fatigue bond behavior of CFRP bars in seawater-sea sand concrete (SWSSC). Notably, research on the fatigue bond performance of CFRP bars in SWSSC under seawater immersion and wet-dry cycles is scarce. Consequently, this study investigates the fatigue bond characteristics of CFRP bar-SWSSC specimens under varying stress levels, conducting both static and fatigue tests after seawater immersion and dry–wet cycling. We systematically evaluate fatigue failure modes, bond–slip curves, bond stiffness, and residual slip characteristics under fatigue conditions. The experiment results are combined with those of the existing literature to formulate a bond–slip constitutive model for fatigue loading. This research establishes a theoretical foundation for applying CFRP bars in SWSSC structures.
2. Materials and Methods
2.1. Materials
The coarse aggregate used in the experiment was crushed granite with particle sizes of 5–25 mm, and its gradation parameters are shown in Table 1. The fine aggregate consisted of natural sea sand, while the mixing water was natural seawater, both obtained from Lianyungang City, Jiangsu Province, China. The cement used was P.O 42.5-grade ordinary Portland cement, and the water-reducing agent was a powdered polycarboxylate-based superplasticizer.
Table 1.
Grading of coarse aggregates.
The natural seawater used for concrete mixing was analyzed using ion chromatography, revealing a chloride ion concentration of 1.40% and a sulfate ion concentration of 0.17%. As shown in Figure 1, the natural sea sand was sieved through a 5 mm mesh to remove larger shells and impurities. The fineness modulus of the sand was determined to be 2.37, classifying it as medium sand according to the “Sand for Construction” standard (GB/T 14684-2011) [32]. After drying, ion chromatography analysis indicated that the surface-adhered chloride ion concentration of the natural sea sand was 0.13%, while the sulfate ion concentration was 0.03%.
Figure 1.
Stages of sea sand processing: (a) sea sand collection site; (b) drying process of sea sand; (c) sieving to remove shell fragments.
The seawater and sea sand concrete, designed for a strength grade of C50, was prepared in accordance with the “Design Regulations for the Mix Ratio of the Ordinary Concrete” (JGJ 55-2011) [33] and the “Technical code for application of sea sand concrete” (JGJ 206-2010) [34]. The mix proportions of seawater and sea sand concrete are detailed in Table 2.
Table 2.
Mix proportions of seawater and sea sand concrete (kg/m3).
A total of nine cubic specimens of seawater–sea sand concrete, each with dimensions of 150 × 150 × 150 mm, were prepared for this experiment. Following 28 days of standard curing, compressive strength tests were conducted on three specimens. The remaining specimens were stored in seawater immersion tanks and dry–wet cycle test chambers for 120 days before undergoing compressive strength tests. The experimental setup is shown in Figure 2, and the corresponding test data are provided in Table 3.
Figure 2.
Diagrams of seawater–sea sand concrete specimens: (a) loading diagram of specimens; (b) failure diagram of specimens.
Table 3.
Compressive strength of seawater–sea sand concrete.
The CFRP bars used in this experiment were produced by Haining Anjie Composite Materials Co., Ltd., Haining City, Zhejiang Province, China, using a pull-winding production process. The mechanical performance of the CFRP bars was tested in accordance with the “Technical Standard for Fiber Reinforced Polymer (FRP) in Construction” (GB 50608-2020) [35]. The testing apparatus consisted of a 300 kN electronic universal testing machine, operated under displacement control conditions with a loading rate of 0.2 mm/min. The loading schematic is illustrated in Figure 3. The basic mechanical properties of the CFRP bars are detailed in Table 4.
Figure 3.
Test setup of CFRP bar. (a) CFRP bar; (b) cross-sectional profile; (c) coupon test of CFRP bar.
Table 4.
Basic parameters of CFRP bar.
2.2. Test Specimens
This study investigated the effects of varying stress levels (low, medium, and high) during seawater immersion and dry–wet cycling on the bond fatigue performance between CFRP bars and seawater–sea sand concrete. A total of 18 pull-out specimens were prepared and grouped into three groups: standard environment, seawater immersion, and dry–wet cycling. Each category contained three static pull-out specimens and three fatigue specimens, with stress levels assigned at 50%, 60%, and 70%. The stress ratio for all fatigue specimens was fixed at 0.2. Static bond tests were performed on nine specimens across the three categories, and their average ultimate loads were determined. The fatigue upper and lower loads for the specimens were calculated based on the average ultimate loads. Stress levels, defined as the ratio of fatigue upper load to static bond ultimate loads, were set at 50%, 60%, and 70%, with a stress ratio (fatigue lower load to fatigue upper loads) of 0.2. The detailed design of the experiment is presented in Table 5.
Table 5.
Bonding fatigue test scheme.
Both seawater immersion and dry–wet cycling utilized natural seawater, with a dry–wet cycle consisting of six hours of immersion followed by six hours of drying at room temperature. To ensure the consistent concentrations of chloride and sulfate ions in the seawater, the natural seawater was replaced weekly. Each batch of seawater was analyzed using ion chromatography, revealing chloride ion concentrations of between 1.26% and 1.44% and sulfate ion concentrations of between 0.09% and 0.18%.
In this context, “S/F” indicates static load or fatigue conditions; “P/J/G” represents standard environmental, seawater immersion, or dry–wet cycling. “F0.5/F0.6/F0.7” specifies fatigue loading at stress levels of 50%, 60%, and 70%, respectively; “J120/G120” refers to 120 days of seawater immersion or 120 days of dry–wet cycling. For example, “F0.5-J120” indicates a pull-out specimen of CFRP bar embedded in seawater–sea sand concrete and subjected to a 50% fatigue stress level after 120 days of seawater immersion.
Both the static and fatigue bond specimens in this study were designed with an eccentric pull-out configuration to closely replicate actual stress conditions. The pull-out specimens measured 150 mm × 150 mm × 150 mm. The bond length of the anchorage was set to 5 da (where da is the diameter of the reinforcement) and was achieved using PVC pipes filled with foam adhesive. The eccentric cover thickness was specified to be 35 mm. After casting, the specimens were cured in a standard curing room for one day prior to demolding and were left to continue curing in the same environment for 28 days. The seawater immersion and dry–wet cycling specimens were then transferred to a natural seawater curing pool for further curing (see Figure 4).

Figure 4.
Pull-out specimens: (a) schematic of pull-out specimens; (b) pull-out specimen mold; (c) standard environment; (d) seawater immersion; (e) dry–wet cycling.
2.3. Test Methods
Static pull-out tests were carried out using an electronic universal testing machine, under displacement-controlled loading at a rate of 0.3 mm/min. The fatigue upper and lower loads were calculated based on the ultimate loads obtained from static pull-out tests for each group: standard environment, seawater immersion, and dry–wet cycling. Bond fatigue tests were conducted using the SDS-50 Electro-Hydraulic Servo Fatigue Testing Machine. Related studies indicate that when stress levels remain below 75% of the static ultimate strength, variations in loading frequency between 1 Hz and 15 Hz have negligible effects on the material fatigue strength. A loading frequency of 4 Hz was chosen for this study, and the loading schematic is shown in Figure 5.
Figure 5.
Test setup of static and fatigue pull-out test: (a) schematic drawing; (b) static loading apparatus; (c) fatigue loading apparatus.
3. Results
The bond segment length of the pull-out specimens in this experiment is defined as 5 da, indicating a relatively short embedded length. It is generally assumed that the bond stress is evenly distributed along the embedded length of the rebar [16]. The bond strength, denoted by τ, is calculated using Equation (1):
In Equation (1), τ represents the bond stress, P is the ultimate pull-out load, denotes the CFRP bar diameter, and is the bond length.
3.1. Static Pull-Out Test Results
The static pull-out tests revealed two failure modes: reinforcement pull-out failure and concrete splitting failure (see Figure 6). The test results are presented in Table 6. These findings align with prior studies on the bond behavior at the FRP bar–concrete interface [31,32,33,34]. Figure 7 shows the static bond–slip curves for the three specimen groups. The bond–slip curve of CFRP bars embedded in seawater–sea sand concrete during pull-out failure consists of four stages: initial micro-slip, progressive slip, descending phase, and residual phase. In the micro-slip stage, despite minimal relative slip, the bond stress rises rapidly. At this stage, pull-out resistance mainly stems from the strong adhesive forces between the CFRP bars and seawater–sea sand concrete. In the progressive slip stage, as the pull-out force increases, the slip magnitude grows rapidly, producing a nonlinear ascending trend in the bond–slip curve. The pull-out resistance in this stage is mainly attributed to mechanical interlocking and frictional forces between the transverse ribs of CFRP bars and seawater–sea sand concrete. In the pull-out phase, the bond at the CFRP bar–concrete interface is fully disrupted, causing the complete extraction of the CFRP bars. The curve slope sharply decreases and gradually flattens near peak stress. In the residual phase, after reaching peak bond stress, a rapid decline occurs, followed by stabilization at a residual stress level. This residual stress is marked by a secondary peak in the curve. At this stage, bond force mainly arises from additional resistance due to CFRP bar ribs embedding into fractured seawater–sea sand concrete during pull-out. For concrete splitting failure, the bond–slip curve of CFRP bars in seawater–sea sand concrete shows only the first three stages of the pull-out failure curve and lacks a distinct residual phase. After splitting failure, although some bond forces remain between the CFRP bars and the seawater–sea sand concrete, they sharply decrease to less than 20%, indicating severe bond degradation.
Figure 6.
Failure diagram of static pull-out specimens: (a) concrete splitting failure; (b) reinforcement pull-out failure.
Table 6.
Test results of static pull-out specimens.
Figure 7.
Bond–slip curves for static pull-out specimens: (a) S-P; (b) S-J120; (c) S-G120.
3.2. Fatigue Pull-Out Test Results
The fatigue failure modes of the CFRP bar and seawater–sea sand concrete specimens are categorized as no failure after 2 million fatigue cycles, pull-out failure, and splitting failure (see Figure 8). The fatigue test results of CFRP bar and seawater–sea sand concrete specimens are summarized in Table 7. Under a 50% stress level, all three groups of the CFRP bar and seawater–sea sand concrete specimens successfully endured 2 million fatigue cycles with no failure. The surface conditions remained intact, with only minor debris observed at the interface from repeated wear. After completing 2 million cycles, fatigue loading ceased, and static failure tests were conducted. The failure modes are shown in Figure 8a. At a 60% stress level, CFRP bar and seawater–sea sand concrete specimens in a standard environment achieved the maximum of 2 million fatigue cycles without failure. However, specimens under seawater immersion and dry–wet cycling conditions exhibited significantly reduced fatigue cycles. After 120 days of dry–wet cycling, the fatigue life dropped to 198,999 cycles, with pull-out failure as the predominant mode (see Figure 8b). At a 70% stress level, fatigue life declined sharply, and none of the three groups reached 2 million cycles. Specimens exposed to 120 days of dry–wet cycling showed the lowest fatigue life, falling below 10,000 cycles. In a standard environment, fatigue life was limited to 58,783 cycles, with an average of significantly less than 50,000 cycles. Specimens exposed to dry–wet cycling and seawater immersion exhibited splitting failure (Figure 8c), with significant cracks forming on the eccentric side, which caused the testing machine to halt fatigue loading.
Figure 8.
Fatigue failure mode: (a) static failure after fatigue loading; (b) reinforcement pull-out failure; (c) concrete splitting failure.
Table 7.
Test results of fatigue pull-out specimens.
3.3. Fatigue Bond–Slip Curves
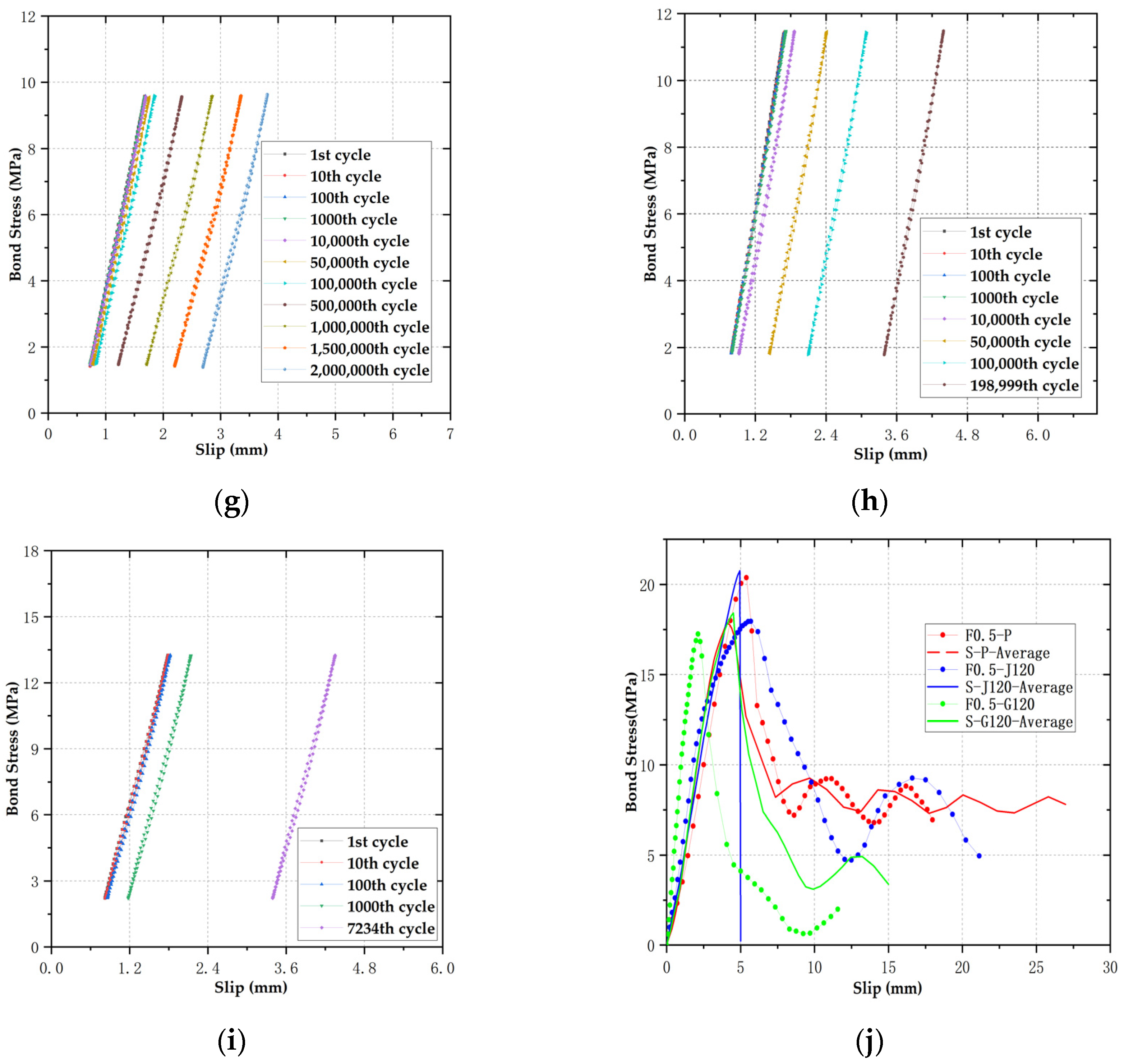
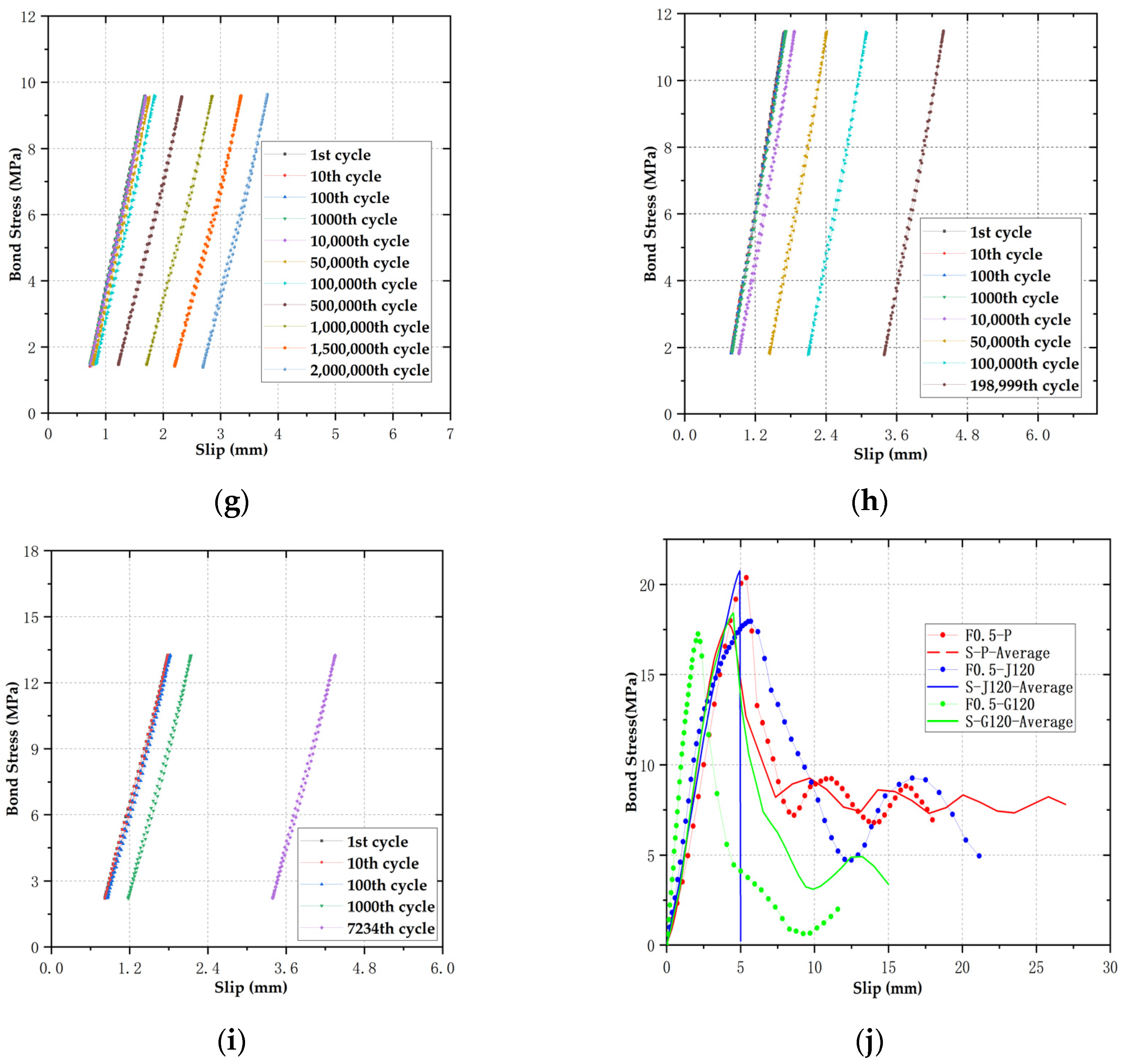
Figure 9 shows the fatigue bond–slip curves of CFRP bar and seawater–sea sand concrete specimens under stress levels of 50%, 60%, and 70%, corresponding to the standard environment, seawater immersion, and dry–wet cycling conditions. The hysteresis loop area increases gradually, and the curve shifts to the right as stress levels and fatigue cycles increase. This suggests that irreversible residual slip occurs between CFRP bars and seawater–sea sand concrete under fatigue loading, with the slip magnitude increasing with higher stress levels and more load cycles.

Figure 9.
Fatigue bond–slip curves: (a) F0.5-P; (b) F0.6-P; (c) F0.7-P; (d) F0.5-J120; (e) F0.6-J120; (f) F0.7-J120; (g) F0.5-G120; (h) F0.6-G120; (i) F0.7-G120; (j) bond–slip curves for static loading after fatigue and direct static loading.
Under a 50% fatigue stress level, none of the CFRP bar and seawater–sea sand concrete specimens in any condition (standard environment, seawater immersion, or dry–wet cycling) failed after 2 million fatigue cycles. Subsequent monotonic pull-out tests under static loading reveal pull-out failure of the CFRP bars, exhibiting failure modes identical to those observed in specimens subjected to direct static loading. Figure 9j illustrates a comparative bond–slip curve for static loading after fatigue and direct static loading. At fatigue stress levels of 60% and 70%, specimens in seawater immersion and dry–wet cycling conditions failed during fatigue loading, exhibiting pull-out and splitting failures, while those in the standard environment did not fail. Comparative analysis shows that higher stress levels cause greater increases in slip and residual slip between CFRP bars and seawater–sea sand concrete during the initial phase. This suggests that fatigue-induced cumulative damage at higher stress levels significantly affects bond performance between CFRP bars and seawater–sea sand concrete. Additionally, the slope of the fatigue bond–slip curve (bond stiffness) slightly decreases with more fatigue cycles but increases with higher stress levels.
After fatigue loading, the bond–slip curve trends of specimens under standard conditions and after 120 days of dry–wet cycling were consistent with pre-fatigue trends; however, those after 120 days of seawater immersion showed significant differences. The consistent curves followed the previously described four stages. Moreover, stiffness in the micro-slip stage degraded by an average of 12.31% compared to pre-fatigue conditions. After 2 million fatigue cycles, the bond strength between CFRP bars and seawater–sea sand concrete decreased by an average of 10.31%, highlighting the significant degradation effect of fatigue loading on bond strength. This degradation is mainly caused by surface wear on the CFRP bars due to fatigue loading and the formation of microcracks in the seawater–sea sand concrete between the ribs. The tips of these cracks created stress concentration zones at the interface, which were exacerbated by fatigue cycles and led to progressive crack growth [36].
A comparison of fatigue bond–slip curves showed that dry–wet cycling caused more severe damage to CFRP bars and seawater–sea sand concrete specimens than seawater immersion. This is primarily attributed to the accelerated convection and diffusion of chloride ions during wet-dry cycles, resulting in more pronounced damage. After 2 million fatigue cycles, slip caused by fatigue stress under dry–wet cycling conditions exceeded that in standard environments. The hysteresis loop area of the fatigue bond–slip curves increased progressively from standard conditions to seawater immersion and then to dry–wet cycling. This was mainly due to corrosive damage from seawater immersion and dry–wet cycling at the bonding interfaces, resulting in slip phase failure. Compared to standard conditions, the fatigue bond–slip curves under corrosive environments shifted horizontally to the right, resulting in greater slip at the same stress levels. The hysteresis loop of fatigue bond–slip curves under dry–wet cycling conditions exhibited the most significant rightward shift compared to standard conditions.
3.4. Fatigue Bond Stiffness
The fatigue bond stiffness curves in Figure 10 show a clear decreasing trend in stiffness between CFRP bars and seawater–sea sand concrete as fatigue cycles increase. At a 50% stress level, after 2 million fatigue cycles, the bond stiffness under normal conditions decreased from 13.51 MPa/mm to 11.95 MPa/mm, representing an 11.55% degradation. In corrosive environments, bond stiffness degraded by 11.80% after 120 days of seawater immersion and 16.04% after 120 days of dry–wet cycling.
Figure 10.
Relationship between fatigue bond stiffness and fatigue times: (a) standard environment; (b) corrosive environment.
At a 60% stress level, the bond stiffness under normal conditions degraded from 15.20 MPa/mm to 13.60 MPa/mm until failure, representing a 10.53% reduction in stiffness. In corrosive environments, the degradation rates were 14.81% after 120 days of seawater immersion and 10.29% after 120 days of dry–wet cycling.
At a 70% stress level, the bond stiffness under normal conditions degraded from 21.28 MPa/mm to 18.68 MPa/mm until failure, showing a 12.22% reduction in stiffness. The degradation rates in other conditions were lower, but they were still significant.
A comparative analysis shows that higher stress levels and corrosive environments intensify damage between CFRP bars and seawater–sea sand concrete, accelerating interfacial crack propagation. This crack propagation leads directly to the rapid degradation of interfacial bond stiffness. This confirms the detrimental impact of high stress levels on bond fatigue performance.
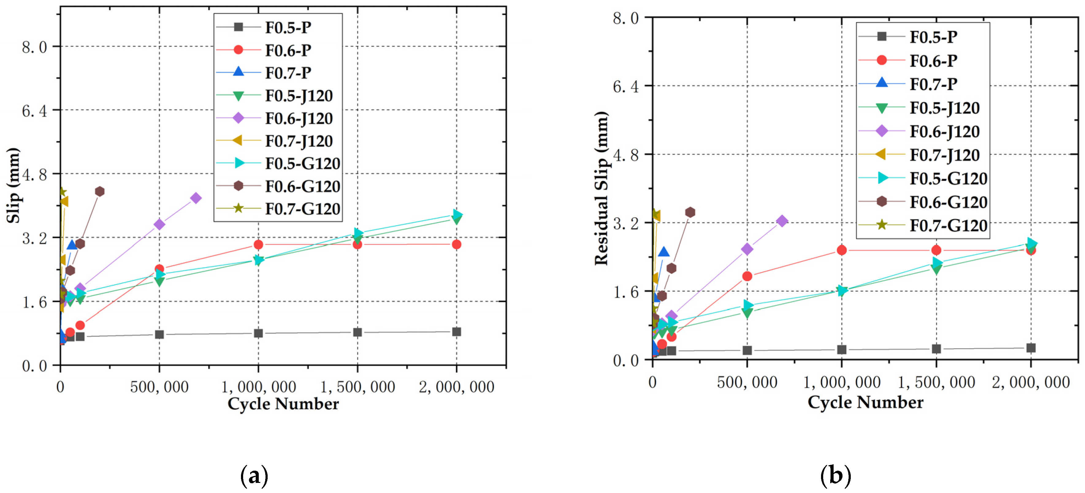
3.5. Residual Slip
The slip and residual slip curves in Figure 11 show progressive accumulation as fatigue cycles increase. During the first 100,000 fatigue cycles, slip and residual slip increase rapidly. However, their growth rate slows in later cycles. Thus, the evolution of slip and residual slip during fatigue cycles can be divided into two phases. The first phase involves crack initiation and rapid propagation at the interface between CFRP bars and seawater–sea sand concrete, primarily occurring during the first 100,000 fatigue cycles. Fatigue damage accumulation during this phase is significantly greater than that in the second phase. In the second phase, starting around the 100,000th fatigue cycle, crack propagation stabilizes, and the growth of slip and residual slip slows and eventually stabilizes. The slip growth trend closely matches that of residual slip, indicating that residual slip accumulation primarily drives total slip increases, reflecting fatigue-induced interfacial bond damage.
Figure 11.
Relationship between slip/residual slip and the number of cycles: (a) slip; (b) residual slip.
Figure 11 shows that, under standard conditions, higher stress levels significantly worsen bond performance degradation between CFRP bars and seawater–sea sand concrete. At a 50% stress level, the slip increased by 0.23 mm from the initial loading to 2 million cycles. For 60% and 70% stress levels, slip increased by 2.41 mm and 2.35 mm, respectively. After 120 days of seawater immersion, the slip increase trend became more pronounced. At a 50% stress level, slip increased by 1.6 mm, while for 60% and 70% stress levels, it increased by 2.12 mm in both. Similarly, after 120 days of dry–wet cycling, the slip increase trend remained significant. At a 50% stress level, slip increased by 1.59 mm, and for 60% and 70% stress levels, slip increased by 2.37 mm and 2.23 mm, respectively.
Regardless of the condition—standard, seawater immersion, or dry–wet cycling—high-stress fatigue loading significantly reduces bond performance, as evidenced by large increases in slip and residual slip.
4. Analysis
4.1. Influence of Bonding Fatigue Performance
4.1.1. Corrosive Environment
Figure 12 illustrates the influence of corrosive environments on the fatigue bond–slip behavior between CFRP bars and seawater–sea sand concrete. As shown in Figure 12, all specimens at a 50% stress level endured up to 2 million fatigue cycles. The fatigue bond performance trend remains consistent, regardless of whether seawater immersion or dry–wet cycling. As fatigue cycles increase, slip and residual slip follow the previously described pattern of rapid initial growth followed by gradual deceleration, accompanied by a decline in bond stiffness. Higher fatigue stress levels result in greater slip and residual slip, more significant bond stiffness reductions, and accelerated bond performance degradation caused by fatigue loading. This observation aligns with Zheng et al. [37], who studied the fatigue bond performance of FRP and concrete in humid and thermal environments. Under seawater immersion and dry–wet cycling conditions, CFRP bars and seawater–sea sand concrete experience some degradation, but bond strength variations remain within 5%. However, these conditions significantly affect fatigue loading cycles and reduce the service life of fatigue-prone structural components.

Figure 12.
Effect of corrosive environment on fatigue bond–slip curve: (a) 50% fatigue stress level; (b) 60% fatigue stress level; (c) 70% fatigue stress level.
4.1.2. Stress Level
Figure 13 shows the effect of stress levels on fatigue bond performance between CFRP bars and seawater–sea sand concrete. As stress levels increase, the slope of the fatigue bond–slip curve (bond stiffness) exhibits a significant upward trend. Simultaneously, slip increases consistently with rising stress levels. At 2 million fatigue cycles, the slip in the fatigue bond–slip curve is minimal, and the hysteresis loop is at its smallest. However, as stress levels increase further, the slip increases significantly, and the hysteresis loop expands accordingly.

Figure 13.
Effect of stress level on fatigue bond–slip curve: (a) standard environment; (b) seawater immersion environment; (c) dry–wet cycling environment.
4.2. Bond Fatigue Test Results Characteristics
4.2.1. Bond Stiffness
Figure 14 shows the effects of various factors on bond stiffness between CFRP bars and seawater–sea sand concrete. Under prolonged seawater immersion and dry–wet cycling, bond stiffness exhibits a significant downward trend in both scenarios. At a 50% stress level, 120 days of seawater immersion reduced the bond stiffness by 33.53%. In contrast, dry–wet cycling caused more severe bond deterioration, resulting in a 36.79% reduction in stiffness. At a 60% stress level, seawater immersion reduced bond stiffness by 31.39%, while dry–wet cycling caused a 39.42% reduction. At a 70% stress level, seawater immersion reduced bond stiffness by 21.51%, while dry–wet cycling caused a significantly greater reduction of 44.80%. This trend is mainly due to the corrosive effects of seawater immersion and dry–wet cycling, which weaken the bond strength between CFRP bars and seawater–sea sand concrete. These effects increase displacement during the initial slip phase, thus reducing bond stiffness during fatigue bond–slip cycles.
Figure 14.
Bond stiffness under different factors.
Figure 14 also shows that under identical conditions, the bond stiffness increases notably with rising stress levels. In standard environments, bond stiffness increased by 31.83% and 53.15% at 60% and 70% stress levels, respectively, compared to 50%. Similarly, after 120 days of seawater immersion and dry–wet cycling, bond stiffness at higher stress levels improved by 36%, 81.85%, 26.35%, and 33.72%, respectively, compared to 50%. This is mainly because higher stress levels enhance defect mitigation at the bond interface, allowing the bond–slip process to stabilize more quickly.
4.2.2. Residual Slip
Figure 11 shows the effects of various factors on slip and residual slip of CFRP bars in seawater–sea sand concrete. As fatigue cycles increase, the growth trends of slip and residual slip exhibit similar patterns under seawater immersion and dry–wet cycling, both before and after corrosion. Notably, dry–wet cycling exhibits a more pronounced effect on slip and residual slip than seawater immersion.
At a 50% stress level, residual slip and slip increase in corrosive environments compared to standard conditions. After 2 million fatigue cycles in seawater immersion, the slip increased by 2.11 mm and residual slip by 1.99 mm. In dry–wet cycling conditions, residual slip increased by 1.59 mm and slip by 2.14 mm. This pattern persists at higher stress levels. At 60% stress level, seawater immersion increased residual slip and slip by 2.13 mm and 2.69 mm, whereas dry–wet cycling increased them by 2.37 mm and 2.71 mm, respectively. At 70% stress level, seawater immersion increased residual slip and slip by 2.11 mm and 2.65 mm, while dry–wet cycling increased them by 2.23 mm and 2.58 mm, respectively. Figure 15 also shows that both slip and residual slip increase as stress levels rise. In standard environments, slip increased by 2.15 mm and 2.19 mm at 60% and 70% stress levels, while residual slip increased by 2.22 mm and 2.32 mm. In seawater immersion, the slip increased by 0.53 mm and residual slip by 0.74 mm compared to 50% stress levels. In dry–wet cycling, slip increased by 0.58 mm and residual slip by 0.72 mm compared to 50% stress levels. The effects of 60% and 70% stress levels on slip and residual slip are relatively similar. This is mainly because higher stress levels lead to increased slip and residual slip compared to lower levels. However, excessively high stress levels make the CFRP–seawater–sea sand concrete interface prone to fatigue failure, thereby limiting slip and residual slip and reducing differences in their impacts across stress levels.
Figure 15.
Fatigue bond–slip model of CFRP bars and seawater–sea sand concrete.
The analysis reveals that corrosive environments profoundly influence the bond performance between CFRP bars and seawater—sea sand concrete, with dry-wet cycles causing a more pronounced reduction in specimen fatigue life compared to seawater immersion. With the progressive increase in stress levels, the slope of the fatigue bond-slip curve (representing bond stiffness) and the slip magnitude show a marked upward trend, accompanied by a substantial reduction in fatigue life.
5. Bond–Slip Constitutive Model
Extensive research has been conducted worldwide on the bond fatigue performance between steel bars and concrete [38,39,40], resulting in significant experimental data and the development of fatigue bond–slip constitutive models. However, compared to steel bars and concrete, research on the bond fatigue performance of FRP bars and concrete remains relatively limited, especially regarding fatigue bond–slip constitutive models. To address this, this study uses existing experimental data and fatigue bond–slip constitutive models for steel bars and concrete to develop a bond fatigue–slip constitutive model for CFRP bars and seawater–sea sand concrete, as shown in Figure 15. The fitted model is described by the following equations, as shown below:
In the above equation, denotes the fatigue bond strength, indicates the peak bond strength, refers to the compressive strength of seawater–sea sand concrete, signifies the total peak slip after the n-th fatigue cycle under static conditions, and represents the residual slip after the n-th fatigue cycle. Parameters and are determined using Equations (4) and (5), where n represents the number of fatigue cycles, denotes the corrosion parameter of CFRP bars, indicates the ratio of seawater–sea sand concrete cover thickness to CFRP bar diameter, and a and b are correction coefficients derived from experimental data fitting.
This constitutive model integrates corrosion parameters to assess the impact of seawater immersion and dry–wet cycles on the bond fatigue performance at the interface between CFRP bars and seawater sea-sand concrete. These parameters are inevitably affected by corrosive conditions, including seawater immersion and dry–wet cycles. The degradation of bond fatigue performance, however, arises from the combined effects of physical and chemical factors, such as solution composition, temperature, protective layer thickness, and corrosion duration. Adequate consideration should be given to these factors when utilizing this model.
6. Conclusions
Seawater immersion and dry–wet cycles significantly influence the bonding performance between CFRP bars and seawater–sea sand concrete. The main conclusions derived from this experimental study are as follows:
- (1)
- The performance of CFRP bars and seawater–sea sand concrete degrades under seawater immersion and dry–wet cycling, but bond strength variation is minimal, remaining below 5%. Seawater has a limited effect on fatigue bond strength; however, fatigue loading is the primary factor. Higher stress levels reduce bond stiffness but increase slip and hysteresis loop areas.
- (2)
- After fatigue loading, the bond–slip curve trend is consistent in standard environments and under dry–wet cycling but differs under seawater immersion. The curve shows a four-stage variation, with the micro-slip stiffness degrading by 12.31% in standard environments. After 2 million fatigue cycles, the bond strength decreases by 10.31% due to CFRP bar surface abrasion and microcracks in seawater–sea sand concrete. Stress concentration at crack tips and cumulative fatigue cycles accelerate crack propagation.
- (3)
- Fatigue cycles significantly reduce bond stiffness between CFRP bars and seawater–sea sand concrete. The stiffness degradation rates are 11.55%, 10.53%, and 12.22% at 50%, 60%, and 70% stress levels in standard environments; 11.80% and 14.81% under prolonged immersion conditions; and 16.04% and 10.29% under dry–wet cycling conditions. Higher stress levels intensify damage and crack propagation. The slip increments at 50%, 60%, and 70% stress levels are 0.23 mm, 2.41 mm, and 2.35 mm, respectively, in standard environments. Under prolonged immersion and dry–wet cycling conditions, high-stress fatigue loading severely reduces bond performance, leading to significant increases in slip and residual slip.
- (4)
- Seawater immersion and dry–wet cycling significantly reduce bond stiffness due to corrosion impairing bond strength and increasing initial slip displacement. Under similar conditions, higher stress levels improve bond stiffness. For specimens subjected to 120 days of immersion and dry–wet cycling, bond stiffness increases are more pronounced under high stress levels. As fatigue cycles increase, the effects of immersion and dry–wet cycling on slip and residual slip are similar; dry–wet cycling, however, has a greater impact. High stress levels increase slip and residual slip, but excessive stress levels may cause failure and reduce differences between stress levels.
- (5)
- A fatigue bond–slip constitutive model for CFRP bars and seawater–sea sand concrete was developed based on experimental data and existing models for steel bars and concrete. This model provides a theoretical foundation for engineering professionals in the design and practical implementation of such structural systems.
Author Contributions
Conceptualization, F.Y. and J.W.; methodology, W.G.; software, S.Y.; validation, W.G., B.C. and S.Y.; formal analysis, B.C.; investigation, W.G.; resources, S.Y.; data curation, S.Y.; writing—original draft preparation, S.Y.; writing—review and editing, J.W.; visualization, F.Y.; supervision, F.Y.; project administration, F.Y.; funding acquisition, F.Y. All authors have read and agreed to the published version of the manuscript.
Funding
This research was funded by the Jiangsu Coastal Power Infrastructure Intelligent Engineering Research Center Technology Project and State Grid Jiangsu Electric Power Co., Ltd., Nanjing, China, Province Managed Industry 2024 Science and Technology Project, grant number JC2024089.
Data Availability Statement
The original data will be made available upon request.
Conflicts of Interest
Authors Fu Yang, Weiquan Gan, Bingsan Chen were employed by the company Lianyungang Zhiyuan Electric Power Design Co., Ltd., Shenzhen, China. The remaining authors declare that the research was conducted in the absence of any commercial or financial relationships that could be construed as a potential conflict of interest. The authors declare that they have no known competing financial interests or personal relationships that could have appeared to influence the work reported in this paper. The funder had no role in the design of the study; in the collection, analysis, or interpretation of data, in the writing of the manuscript, or in the decision to publish the results.
References
- Triantafyllou, G.G.; Rousakis, T.C.; Karabinis, A.I. Effect of Patch Repair and Strengthening with EBR and NSM CFRP Laminates for RC Beams with Low, Medium and Heavy Corrosion. Compos. Part B Eng. 2018, 133, 101–111. [Google Scholar] [CrossRef]
- Wang, D.; Gong, Q.; Yuan, Q.; Luo, S. Review of the Properties of Fiber-Reinforced Polymer-Reinforced Seawater–Sea Sand Concrete. J. Mater. Civ. Eng. 2021, 33, 04021285. [Google Scholar] [CrossRef]
- Ahmed, A.; Guo, S.; Zhang, Z.; Shi, C.; Zhu, D. A Review on Durability of Fiber Reinforced Polymer (FRP) Bars Reinforced Seawater Sea Sand Concrete. Constr. Build. Mater. 2020, 256, 119484. [Google Scholar] [CrossRef]
- Başaran, B.; Kalkan, İ.; Beycioğlu, A.; Kasprzyk, I. A Review on the Physical Parameters Affecting the Bond Behavior of FRP Bars Embedded in Concrete. Polymers 2022, 14, 1796. [Google Scholar] [CrossRef] [PubMed]
- Raman, R.; Guo, F.; Al-Saadi, S.; Zhao, X.-L.; Jones, R. Understanding Fibre-Matrix Degradation of FRP Composites for Advanced Civil Engineering Applications: An Overview. Corros. Mater. Degrad. 2018, 1, 27–41. [Google Scholar] [CrossRef]
- Nepomuceno, E.; Sena-Cruz, J.; Correia, L.; D’Antino, T. Review on the Bond Behavior and Durability of FRP Bars to Concrete. Constr. Build. Mater. 2021, 287, 123042. [Google Scholar] [CrossRef]
- Zhao, Y.; Hu, X.; Shi, C.; Zhang, Z.; Zhu, D. A Review on Seawater Sea-Sand Concrete: Mixture Proportion, Hydration, Microstructure and Properties. Constr. Build. Mater. 2021, 295, 123602. [Google Scholar] [CrossRef]
- Ge, L.; Feng, Z.; Sayed, U.; Li, H. Research on the Performance of Seawater Sea-Sand Concrete: A Review. Constr. Build. Mater. 2023, 409, 133921. [Google Scholar] [CrossRef]
- Li, T.; Liu, X.; Zhang, Y.; Yang, H.; Zhi, Z.; Liu, L.; Ma, W.; Shah, S.P.; Li, W. Preparation of Sea Water Sea Sand High Performance Concrete (SHPC) and Serving Performance Study in Marine Environment. Constr. Build. Mater. 2020, 254, 119114. [Google Scholar] [CrossRef]
- Xiao, J.; Qiang, C.; Nanni, A.; Zhang, K. Use of Sea-Sand and Seawater in Concrete Construction: Current Status and Future Opportunities. Constr. Build. Mater. 2017, 155, 1101–1111. [Google Scholar] [CrossRef]
- Sun, Z.; Li, X.; Liu, Q.; Tang, Q.; Lin, X.; Fan, X.; Huang, X.; Gan, M.; Chen, X.; Ji, Z. Recent Advances in Alkali-Activated Materials with Seawater and Sea Sand. Materials 2023, 16, 3571. [Google Scholar] [CrossRef] [PubMed]
- Tănase, M.; Diniță, A.; Popovici, D.R.; Portoacă, A.I.; Călin, C.; Sirbu, E.-E. Comprehensive Bibliometric Review on the Sustainability and Environmental Impact of Fiber-Reinforced Polymers. Fibers 2024, 12, 104. [Google Scholar] [CrossRef]
- Wang, T.; Razaqpur, A.G.; Chen, S. Durability of GFRP and CFRP Bars in the Pore Solution of Calcium Sulfoaluminate Cement Concrete Made with Fresh or Seawater. Polymers 2023, 15, 3306. [Google Scholar] [CrossRef]
- Hu, X.; Peng, G.; Niu, D.; Wang, J. Experimental Study on Bond Properties between Early-Age Concrete and Deformed Steel Bars. Constr. Build. Mater. 2020, 236, 117593. [Google Scholar] [CrossRef]
- Xiong, Z.; Wei, W.; He, S.; Liu, F.; Luo, H.; Li, L. Dynamic Bond Behaviour of Fibre-Wrapped Basalt Fibre-Reinforced Polymer Bars Embedded in Sea Sand and Recycled Aggregate Concrete under High-Strain Rate Pull-out Tests. Constr. Build. Mater. 2021, 276, 122195. [Google Scholar] [CrossRef]
- Sun, J.; Ding, Z.; Li, X.; Wang, Z. Bond Behavior between BFRP Bar and Basalt Fiber Reinforced Seawater Sea-Sand Recycled Aggregate Concrete. Constr. Build. Mater. 2021, 285, 122951. [Google Scholar] [CrossRef]
- Azarkerdar, A.; Hejazi, F. Development of Analytical Model for Bonding of CFRP Rod in Concrete Subjected to Cyclic Loads. Appl. Sci. 2024, 14, 1134. [Google Scholar] [CrossRef]
- Xian, G.; Guo, R.; Li, C.; Wang, Y. Mechanical Performance Evolution and Life Prediction of Prestressed CFRP Plate Exposed to Hygrothermal and Freeze-Thaw Environments. Compos. Struct. 2022, 293, 115719. [Google Scholar] [CrossRef]
- Xian, G.; Zhou, P.; Li, C.; Dong, S.; Du, H.; Tian, J.; Guo, R.; Peng, Z.; Zhang, Z.; He, T. Mechanical Properties Evaluation of Glass Fiber Reinforced Thermoplastic Composite Plate under Combined Bending Loading and Water Immersion. Constr. Build. Mater. 2024, 440, 137470. [Google Scholar] [CrossRef]
- Bae, Y.-J.; Sim, V.; Lee, S.-M.; Jung, W.-Y. Fatigue Performance Criteria for CFRP Reinforcements Based on RC Behavior in Civil Construction. J. Asian Archit. Build. Eng. 2024, ahead of print. 1–15. [Google Scholar] [CrossRef]
- Zou, R.; Liu, F.; Xiong, Z.; He, S.; Li, L.; Wei, W. Experimental Study on Fatigue Bond Behaviour between Basalt Fibre-Reinforced Polymer Bars and Recycled Aggregate Concrete. Constr. Build. Mater. 2021, 270, 121399. [Google Scholar] [CrossRef]
- Shen, D.; Wen, C.; Zhu, P.; Li, M.; Ojha, B.; Li, C. Bond Behavior between Basalt Fiber-Reinforced Polymer Bars and Concrete under Cyclic Loading. Constr. Build. Mater. 2020, 258, 119518. [Google Scholar] [CrossRef]
- Lee, J.Y.; Kim, K.H.; Kim, S.W.; Chang, M. Strength Degradation of Glass Fiber Reinforced Polymer Bars Subjected to Reversed Cyclic Load. Strength Mater. 2014, 46, 235–240. [Google Scholar] [CrossRef]
- Mai, G.; Li, L.; Lin, J.; Wei, W.; He, S.; Zhong, R.; Xiong, Z. Bond Durability between BFRP Bars and Recycled Aggregate Seawater Sea-Sand Concrete in Freezing-Thawing Environment. J. Build. Eng. 2023, 70, 106422. [Google Scholar] [CrossRef]
- Xiong, Z.; Mai, G.; Qiao, S.; He, S.; Zhang, B.; Wang, H.; Zhou, K.; Li, L. Fatigue Bond Behaviour between Basalt Fibre-Reinforced Polymer Bars and Seawater Sea-Sand Concrete. Ocean Coast. Manag. 2022, 218, 106038. [Google Scholar] [CrossRef]
- Xiong, Z.; Zeng, Y.; Li, L.G.; Kwan, A.K.H.; He, S.H. Experimental Study on the Effects of Glass Fibres and Expansive Agent on the Bond Behaviour of Glass/Basalt FRP Bars in Seawater Sea-Sand Concrete. Constr. Build. Mater. 2021, 274, 122100. [Google Scholar] [CrossRef]
- Liao, J.; Zeng, J.-J.; Bai, Y.-L.; Zhang, L. Bond Strength of GFRP Bars to High Strength and Ultra-High Strength Fiber Reinforced Seawater Sea-Sand Concrete (SSC). Compos. Struct. 2022, 281, 115013. [Google Scholar] [CrossRef]
- He, S.; Li, L.; Lin, J.; Chen, X.; Weng, C.; Xiao, H.; Liu, P.; Qiao, S.; Xiong, Z. Bond Performance between Ribbed BFRP Bar and Seawater Sea-Sand Concrete: Influences of Rib Geometry. Structures 2024, 65, 106660. [Google Scholar] [CrossRef]
- Wang, H.; Belarbi, A. Static and Fatigue Bond Characteristics of FRP Rebars Embedded in Fiber-Reinforced Concrete. J. Compos. Mater. 2010, 44, 1605–1622. [Google Scholar] [CrossRef]
- Pan, R.; Zou, J.; Liao, P.; Dong, S.; Deng, J. Effects of Fiber Content and Concrete Cover on the Local Bond Behavior of Helically Ribbed GFRP Bar and UHPC. J. Build. Eng. 2023, 80, 107939. [Google Scholar] [CrossRef]
- Deng, J.; Pan, Z.; Mai, G.; Long, Y.; Kuang, B.; Zhu, J.; Guo, Q.; Liang, J.; Huang, F.; Qiao, S.; et al. Fatigue Behaviour of CFRP Bar-Reinforced Seawater Sea Sand Concrete Beams: Deformation Analysis and Prediction. Buildings 2023, 13, 2273. [Google Scholar] [CrossRef]
- GB/T14684-2011; Sand for Construction, General Administration of Quality Supervision. Inspection and Quarantine: Beijing, China, 2011.
- JGJ 55-2011; Design Regulations for the Mix Ratio of the Ordinary Concrete. Ministry of Housing and Urban-Rural Development of the People’s Republic of China: Beijing, China, 2011.
- JGJ 206-2010; Technical Code for Application of Sea Sand Concrete. Ministry of Housing and Urban-Rural Development of the People’s Republic of China: Beijing, China, 2011.
- GB 50608-2020; Technical Standard for Fiber Reinforced Polymer (FRP) in Construction. Ministry of Housing and Urban-Rural Development of the People’s Republic of China: Beijing, China, 2020.
- Triller, P.; Kwiecień, K.; Kwiecień, A.; Bohinc, U.; Zając, B.; Tekieli, M.; Szumera, M.; Rousakis, T.; Vanian, V.; Akyildiz, A.T.; et al. Efficiency of FRPU Strengthening of a Damaged Masonry Infill Wall under In-Plane Cyclic Shear Loading and Elevated Temperatures. Eng. Struct. 2024, 317, 118652. [Google Scholar] [CrossRef]
- Zheng, X.H.; Huang, P.Y.; Chen, G.M.; Tan, X.M. Fatigue Behavior of FRP–Concrete Bond under Hygrothermal Environment. Constr. Build. Mater. 2015, 95, 898–909. [Google Scholar] [CrossRef]
- Lin, H.; Zhao, Y.; Ožbolt, J.; Hans-Wolf, R. The Bond Behavior between Concrete and Corroded Steel Bar under Repeated Loading. Eng. Struct. 2017, 140, 390–405. [Google Scholar] [CrossRef]
- Zhang, W.; Zhang, Y.; Li, H.; Gu, X. Experimental Investigation of Fatigue Bond Behavior between Deformed Steel Bar and Concrete. Cem. Concr. Compos. 2020, 108, 103515. [Google Scholar] [CrossRef]
- Zheng, Y.; Fan, C.; Ma, J.; Wang, S. Review of Research on Bond–Slip of Reinforced Concrete Structures. Constr. Build. Mater. 2023, 385, 131437. [Google Scholar] [CrossRef]
Disclaimer/Publisher’s Note: The statements, opinions and data contained in all publications are solely those of the individual author(s) and contributor(s) and not of MDPI and/or the editor(s). MDPI and/or the editor(s) disclaim responsibility for any injury to people or property resulting from any ideas, methods, instructions or products referred to in the content. |
© 2025 by the authors. Licensee MDPI, Basel, Switzerland. This article is an open access article distributed under the terms and conditions of the Creative Commons Attribution (CC BY) license (https://creativecommons.org/licenses/by/4.0/).


















