A Novel Simplified Analysis Model to Predict Behaviors of Single Piles Subjected to Reverse Faulting
Abstract
1. Introduction
2. The Simplified Analysis Model
2.1. General Description of the Novel Model
2.2. Stiffnesses and Ultimate Resistances of Horizontal Soil Springs
2.3. Stiffnesses and Ultimate Resistances of Vertical Soil Springs
2.4. Young’s Modulus of Sand
2.5. Analytical Procedures
- (1)
- Prepare the basic parameters of the pile (L, D, EI) and soil (H, φ, ψ, e, γ).
- (2)
- Ensure the number of meshed units N for the pile, and then calculate the stiffnesses of the horizontal and vertical soil springs and their ultimate resistance according to Equations (1), (5), (6), and (8).
- (3)
- Confirm the cross-point location and soil displacements. The location of the cross points and displacements of the surrounding soil could be obtained from the tests or designed values.
- (4)
- Build a beam–spring model by FEM, and calculate the inner forces and displacements of the pile and soil springs.
3. Validation of the Novel Model
3.1. Validation by the Square Pile at X = 3.75 m in Case RP80
3.2. Validation by the Square Pile at X = 8.75 m in Case RP80
4. Parametric Studies
4.1. Ultimate Horizontal Soil Resistance and Skin Friction
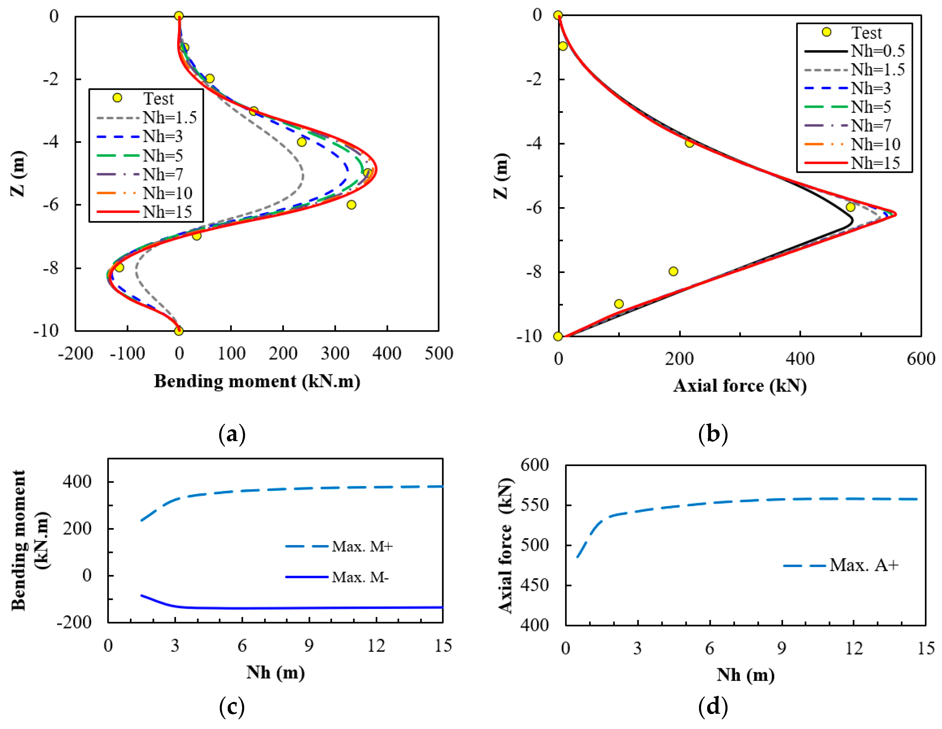
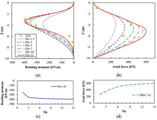
4.2. Young’s Modulus of Soil
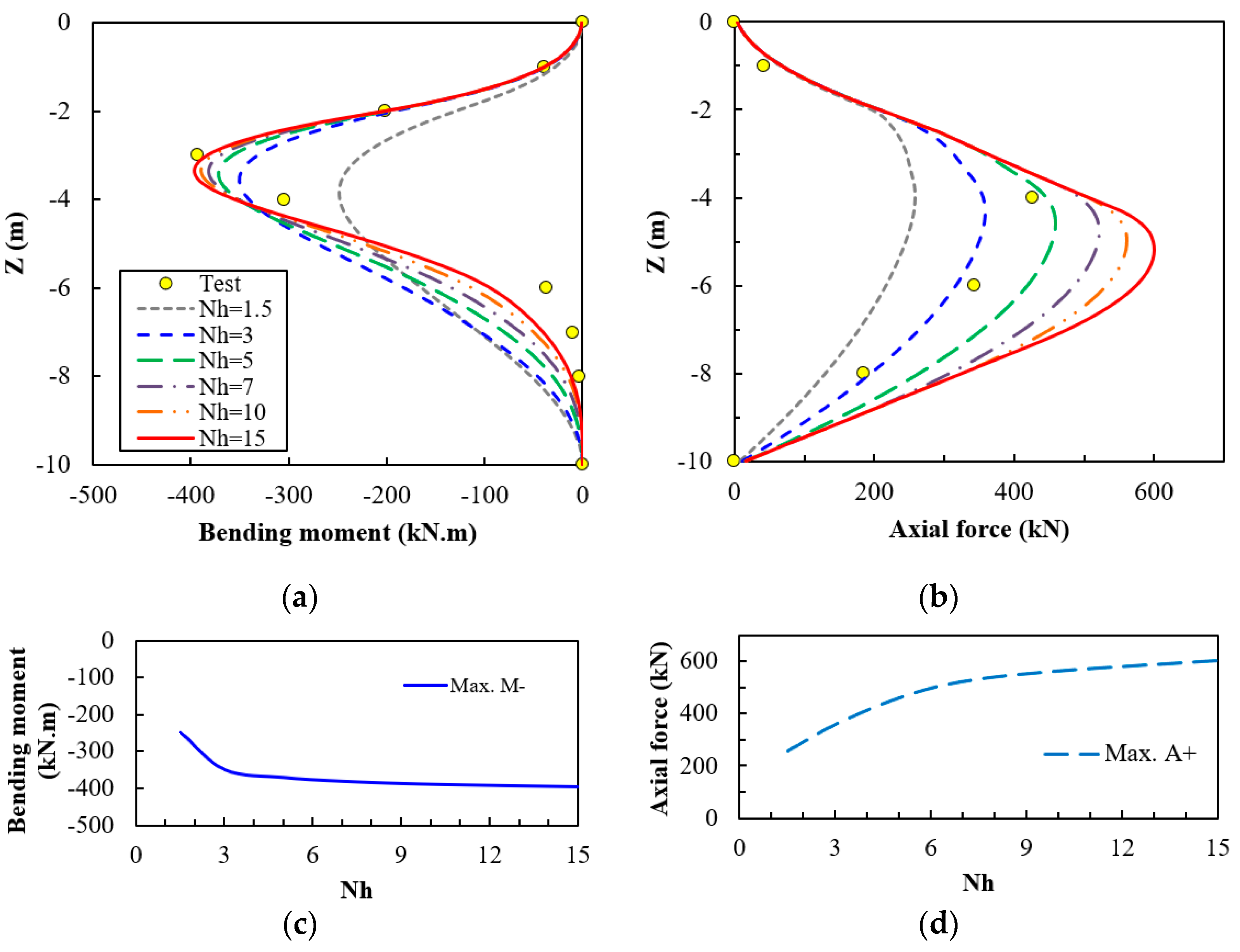
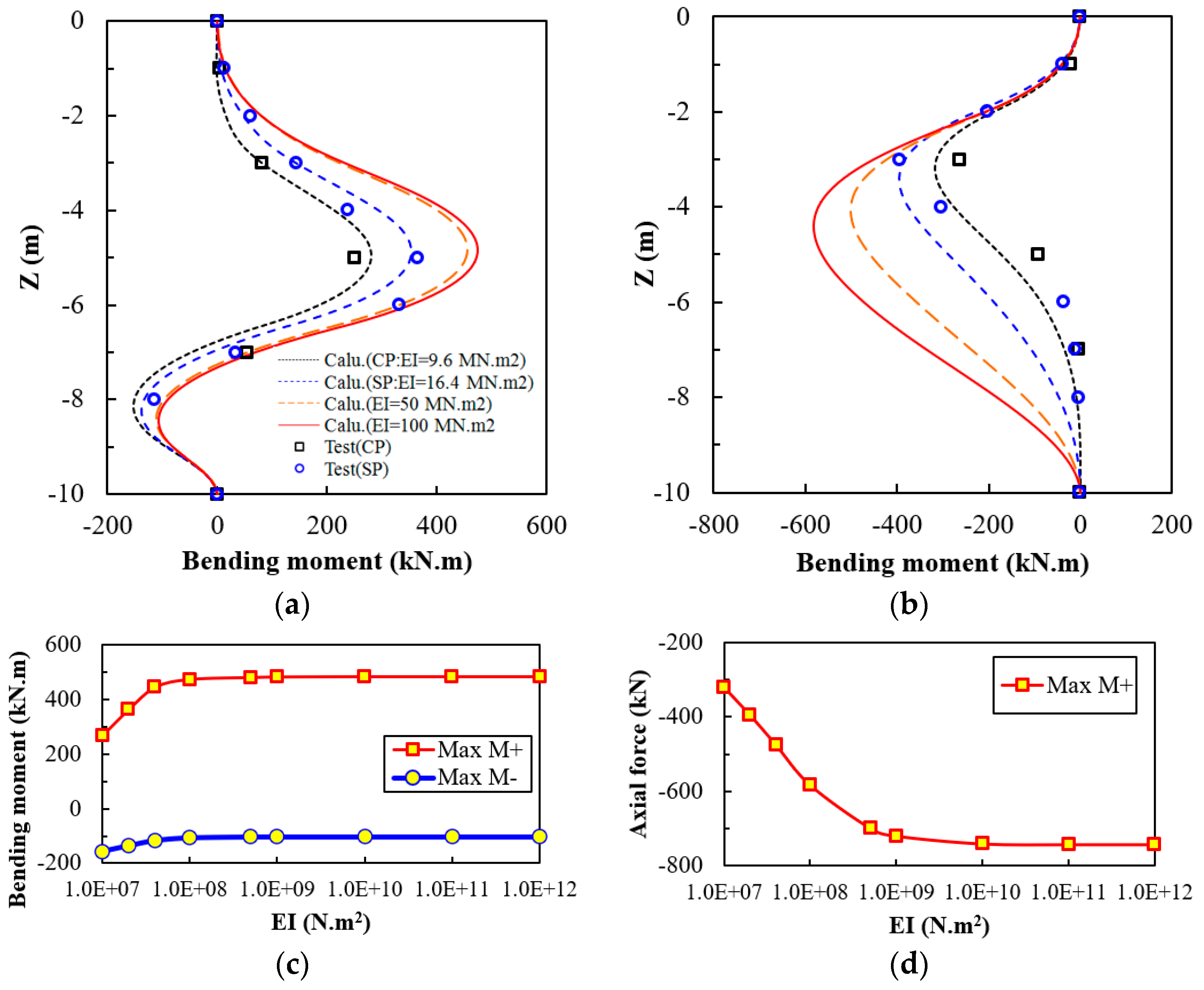
4.3. Pile Stiffness
4.4. Sand Density
5. Conclusions
- (1)
- The novel model can simulate reasonable results of the inner forces and displacements of single piles. It can be applied to predict behaviors of single piles subjected to reverse faulting.
- (2)
- For passive piles experiencing significant sand flow, an ultimate horizontal soil resistance of Kpσv’ rather than 3Kpσv’ is in agreement with the test results. A linear ultimate soil resistance will overestimate the inner forces of the lower part of the pile.
- (3)
- The responses of single piles are affected by the ultimate horizontal soil resistance, skin friction, Young’s modulus of soil, pile stiffness, and sand density. The ultimate soil resistance controls the maximum inner forces, while Young’s modulus is a key factor for soil stiffness, affecting the increment of inner forces. The bending moment increases with pile stiffness initially, and the increment of pile stiffness rarely induces additional bending moment. Larger sand density leads to larger inner forces of the pile, owing to greater ultimate soil resistances and stiffness of the soil springs.
Author Contributions
Funding
Data Availability Statement
Conflicts of Interest
References
- Anastasopoulos, I.; Gazetas, G. Foundation–Structure Systems over a Rupturing Normal Fault: Part I. Observations after the Kocaeli 1999 Earthquake. Bull. Earthq. Eng. 2007, 5, 253–275. [Google Scholar] [CrossRef]
- Tan, W.; Liang, S.; Ma, X.; Wang, P. Study on the Variation of the Permeability Coefficient of Soil–Rock Mixtures in Fault Zones under Different Stress States. Deep Undergr. Sci. Eng. 2024, 1–12. [Google Scholar] [CrossRef]
- Pamuk, A.; Kalkan, E.; Ling, H.I. Structural and Geotechnical Impacts of Surface Rupture on Highway Structures during Recent Earthquakes in Turkey. Soil Dyn. Earthq. Eng. 2005, 25, 581–589. [Google Scholar] [CrossRef]
- Kawashima, K.; Takahashi, Y.; Ge, H.; Wu, Z.; Zhang, J. Reconnaissance Report on Damage of Bridges in 2008 Wenchuan, China, Earthquake. J. Earthq. Eng. 2009, 13, 965–996. [Google Scholar] [CrossRef]
- Yang, S.; Mavroeidis, G.P. Bridges Crossing Fault Rupture Zones: A Review. Soil Dyn. Earthq. Eng. 2018, 113, 545–571. [Google Scholar] [CrossRef]
- Guo, K.; Li, X.; Wang, N.; Wen, Z.; Wang, Y. Effect of Soil–Bridge Interactions on Seismic Response of a Cross-Fault Bridge: A Shaking Table Test Study. Buildings 2024, 14, 1874. [Google Scholar] [CrossRef]
- Yao, C.; He, C.; Wang, T.; Chen, C.; Geng, P.; Dong, W.; Yuan, F.; Xu, G. Damages of Highway Tunnels during 2022 Luding Earthquake (Mw = 6.6). Soil Dyn. Earthq. Eng. 2024, 177, 108357. [Google Scholar] [CrossRef]
- Yao, C.; Luo, W.; Zhang, Y.; He, C.; Li, Y.; Yang, W.; Liu, Y.; Yuan, R. Inclined Rigid Sliding Walls to Protect Tunnels Subjected to Reverse Faulting. Comput. Geotech. 2023, 164, 105824. [Google Scholar] [CrossRef]
- Yao, C.; Luo, W.; Zhang, Y.; He, C.; Yang, W.; Zhang, J.; Yan, Q. A Novel Structural System to Protect Pipe-Jacking Tunnel Subjected to Normal Faulting: Physical Modeling. Tunn. Undergr. Space Technol. 2025, 157, 106349. [Google Scholar] [CrossRef]
- Yu, L.; Zhang, X.; Wang, M.; Yang, H.; Luo, X.; Qin, Y.; Tang, L. A Simplified Analytical Method for the Tunnels’ Mechanical Behaviour under the Action of Active Fault Zones. Comput. Geotech. 2023, 164, 105789. [Google Scholar] [CrossRef]
- Cai, Q.P.; Peng, J.M.; Ng, C.W.W.; Shi, J.W.; Chen, X.X. Centrifuge and Numerical Modelling of Tunnel Intersected by Normal Fault Rupture in Sand. Comput. Geotech. 2019, 111, 137–146. [Google Scholar] [CrossRef]
- Yao, C.; He, C.; Huang, X.; Takemura, J.; Yang, W.; An, Z. Response of a Continuous Pipeline in Sand Subjected to Normal Faulting. Transp. Geotech. 2022, 36, 100824. [Google Scholar] [CrossRef]
- Saiyar, M.; Ni, P.; Take, W.A.; Moore, I.D. Response of Pipelines of Differing Flexural Stiffness to Normal Faulting. Géotechnique 2016, 66, 275–286. [Google Scholar] [CrossRef]
- Rojhani, M.; Moradi, M.; Galandarzadeh, A.; Takada, S. Centrifuge Modeling of Buried Continuous Pipelines Subjected to Reverse Faulting. Can. Geotech. J. 2012, 49, 659–670. [Google Scholar] [CrossRef]
- Lu, S.; Chan, A.; Wang, X.; Wang, S.; Wan, Z.; Cheng, J. The Influence of the Disturbing Effect of Roadways through Faults on the Faults’ Stability and Slip Characteristics. Deep Undergr. Sci. Eng. 2024, 3, 399–412. [Google Scholar] [CrossRef]
- Chen, C.H.; Chou, H.S.; Yang, C.Y.; Shieh, B.J.; Kao, Y.H. Chelungpu Fault Inflicted Damages of Pile Foundations on FWY Route 3 and Fault Zoning Regulations in Taiwan. In Proceedings of the JSCE/EqTAP Workshop on Seismic Fault-Induced Failures, Tokyo, Japan, 10 February 2003; pp. 1–19. [Google Scholar]
- Yao, C.; Takemura, J.; Ma, G.; Dai, C.; An, Z. Effect of Boundary Friction on Revere Fault Rupture Propagation in Centrifuge Tests. Soil Dyn. Earthq. Eng. 2021, 147, 106811. [Google Scholar] [CrossRef]
- Cai, Q.P.; Ng, C.W.W. Centrifuge Modeling of Pile-Sand Interaction Induced by Normal Faulting. J. Geotech. Geoenviron. Eng. 2016, 142, 04016046. [Google Scholar] [CrossRef]
- Li, C.-H.; Lin, M.-L.; Huang, W.-C. Interaction between Pile Groups and Thrust Faults in a Physical Sandbox and Numerical Analysis. Eng. Geol. 2019, 252, 65–77. [Google Scholar] [CrossRef]
- Yao, C.; Takemura, J. Centrifuge Modeling of Single Piles in Sand Subjected to Dip-Slip Faulting. J. Geotech. Geoenviron. Eng. 2020, 146, 04020001. [Google Scholar] [CrossRef]
- Cai, Q.; Xiang, B.; Ng, C.W.W.; Wong, K.S.; Chen, X.; Zhuang, Y. Loading Transfer Mechanism of a Piled Raft Subjected to Normal Faulting in Sand. Géotech. Lett. 2022, 12, 14–19. [Google Scholar] [CrossRef]
- Anastasopoulos, I.; Gazetas, G.; Drosos, V.; Georgarakos, T.; Kourkoulis, R. Design of Bridges against Large Tectonic Deformation. Earthq. Eng. Eng. Vib. 2008, 7, 345–368. [Google Scholar] [CrossRef]
- Anastasopoulos, I.; Kourkoulis, R.; Gazetas, G.; Tsatsis, A. Interaction of Piled Foundation with a Rupturing Normal Fault. Géotechnique 2013, 63, 1042–1059. [Google Scholar] [CrossRef]
- Nooralizadeh Keshteli, O.; Rahimi, S.; Ebadi Jamkhaneh, M. Numerical Investigation of Steel Moment-Resisting Frame on Sandy Soil Under Normal Fault Rupture. Int. J. Steel Struct. 2021, 21, 703–716. [Google Scholar] [CrossRef]
- Alizadeh, M.; Khodaparast, M.; Rajabi, A.M. Simulation of the Interaction of Micropiles and a Fault Rupture. KSCE J. Civ. Eng. 2021, 25, 4620–4630. [Google Scholar] [CrossRef]
- Rasouli, H.; Fatahi, B. A Novel Cushioned Piled Raft Foundation to Protect Buildings Subjected to Normal Fault Rupture. Comput. Geotech. 2019, 106, 228–248. [Google Scholar] [CrossRef]
- Nowkandeh, M.J.; Ashtiani, M. A Novel Mitigation Measure for Normal Fault-Induced Deformations on Pile-Raft Systems. Earthq. Eng. Eng. Vib. 2024, 23, 15–33. [Google Scholar] [CrossRef]
- Jahanshahi Nowkandeh, M.; Ashtiani, M. Cushioned Helical-Piled Raft Systems to Mitigate Hazards Associated with Normal Faulting. Soil Dyn. Earthq. Eng. 2023, 166, 107773. [Google Scholar] [CrossRef]
- Poulos, H.G. Behavior of Laterally Loaded Piles: I-Single Piles. J. Soil Mech. Found. Div. 1971, 97, 711–731. [Google Scholar] [CrossRef]
- Pender, M.J. Aseismic Pile Foundation Design Analysis. Bull. N. Z. Soc. Earthq. Eng. 1993, 26, 49–160. [Google Scholar] [CrossRef]
- Terzaghi, K. Evalution of Conefficients of Subgrade Reaction. Géotechnique 1955, 5, 297–326. [Google Scholar] [CrossRef]
- Broms, B.B. Lateral Resistance of Piles in Cohesionless Soils. J. Soil Mech. Found. Div. 1964, 90, 123–156. [Google Scholar] [CrossRef]
- Muskhelishvili, N.I. Some Basic Problems of the Mathematical Theory of Elasticity: Fundamental Equations, Plane Theory of Elasticity, Torsion, and Bending. J. Aust. Math. Soc. 1968, 8, b1–b2. [Google Scholar] [CrossRef]
- Matlock, H. Correlation for Design of Laterally Loaded Piles in Soft Clay. In Proceedings of the Offshore Technology Conference, Houston, TX, USA, 21–23 April 1970; p. OTC-1204-MS. [Google Scholar]
- Rani, S.; Prashant, A. Estimation of the Linear Spring Constant for a Laterally Loaded Monopile Embedded in Nonlinear Soil. Int. J. Geomech. 2015, 15, 04014090. [Google Scholar] [CrossRef]
- Smethurst, J.A.; Powrie, W. Monitoring and Analysis of the Bending Behaviour of Discrete Piles Used to Stabilise a Railway Embankment. Géotechnique 2007, 57, 663–677. [Google Scholar] [CrossRef]
- Randolph, M.F.; Wroth, C.P. Analysis of Deformation of Vertically Loaded Piles. J. Geotech. Eng. Div. 1978, 104, 1465–1488. [Google Scholar] [CrossRef]
- Tomlinson, M.J. Foundation Design and Construction; Longman: Harlow, UK, 1986. [Google Scholar]
- Kulhawy, F. Limiting Tip and Side Resistance: Fact or Fallacy? Int. J. Rock Mech. Min. Sci. Geomech. Abstr. 1986, 23, 108. [Google Scholar] [CrossRef]
- O’Neill, M.W.; Raines, R.D. Load Transfer for Pipe Piles in Highly Pressured Dense Sand. J. Geotech. Eng. 1991, 117, 1208–1226. [Google Scholar] [CrossRef]
- Yang, J.; Tham, L.G.; Lee, P.K.K.; Chan, S.T.; Yu, F. Behaviour of Jacked and Driven Piles in Sandy Soil. Géotechnique 2006, 56, 245–259. [Google Scholar] [CrossRef]
- Viggiani, C. Ultimate Lateral Load on Piles Used to Stabilize Landslides. In Proceedings of the 10th International Conference on Soil Mechanics and Foundation Engineering (Stockholm), Stockholm, Sweden, 15–19 June 1981; pp. 555–560. [Google Scholar]
- Leung, C.F.; Chow, Y.K.; Shen, R.F. Behavior of Pile Subject to Excavation-Induced Soil Movement. J. Geotech. Geoenviron. Eng. 2000, 126, 947–954. [Google Scholar] [CrossRef]
















| No. | Author(s) | ks |
|---|---|---|
| 1 | Terzaghi [31] | 0.74Es/D |
| 2 | Broms [32] | (0.48–0.90)Es/D |
| 3 | Muskhelishvili [33] | 2Es/D |
| 4 | Matlock [34] | 1.8Es/D |
| 5 | Poulos [29] | 0.82Es/D |
| 6 | Rani and Prashant [35] | 0.424Es1.136/D |
| Soil Type | Steel Pile | Concrete Pile | Author(s) |
|---|---|---|---|
| Sand | 20° | 0.75φs | Tomlinson [38] |
| -- | (0.5–0.7)φs | (0.8–1.0)φs | Kulhawy [39] |
| Dense sand | 29.4° | -- | O’Neill and Raines [40] |
| -- | (0.7–0.9)φs | -- | Yang et al. [41] |
| Sand | Dr. (%) | e | emax | emin | γ (kN/m3) |
| 80 | 0.682 | 0.973 | 0.609 | 15.4 | |
| φ (°) | ψ (°) | νs | Nh (MPa) | φsp | |
| 40 | 20 | 0.17 | 5 | 0.5φs | |
| Cks | Cph | Cph2 | Cpv | Cpv2 | |
| 1 | 1 | 0.8 | 0.5 | 0.8 | |
| Pile | Ep (Pa) | L (m) | a (m) | N | ΔL (m) |
| 3.14 × 109 | 10 | 0.5 | 100 | 0.1 |
| Sand | Dr (%) | e | emax | emin | γ (kN/m3) |
| 80 | 0.682 | 0.973 | 0.609 | 15.4 | |
| φ (°) | ψ (°) | νs | Nh (MPa) | φsp | |
| 40 | 20 | 0.17 | 5 | 0.5φs | |
| Cks | Cph | Cph2 | Cpv | Cpv2 | |
| 1 | 2.7 | 0.8 | 1.35 | 0.8 | |
| Pile | Ep (Pa) | L (m) | a (m) | N | ΔL (m) |
| 3.14 × 109 | 10 | 0.5 | 100 | 0.1 |
| Discussed Parameters | Variable | Range of Variable |
|---|---|---|
| Ultimate horizontal soil resistance | Cph | 0.5–50 |
| skin friction | Cpv | 0.25–2.5 |
| Young’s modulus of soil | Nh | 1.5–15 |
| Pile stiffness | EI | 9.6–1 × 106 MN·m2 |
| Sand density | Dr | 30–95% |
| Dr | 30 | 40 | 50 | 60 | 70 | 80 | 90 | 95 |
|---|---|---|---|---|---|---|---|---|
| e | 0.86 | 0.83 | 0.79 | 0.75 | 0.72 | 0.68 | 0.65 | 0.63 |
| γs (kN/m3) | 13.92 | 14.20 | 14.49 | 14.79 | 15.10 | 15.43 | 15.77 | 15.95 |
| φs (°) | 31.42 | 32.82 | 34.64 | 36.45 | 38.43 | 40 | 42.14 | 43.13 |
| Nh (MPa) | 1 | 1.2 | 1.5 | 2.5 | 3.5 | 5 | 10 | 15 |
Disclaimer/Publisher’s Note: The statements, opinions and data contained in all publications are solely those of the individual author(s) and contributor(s) and not of MDPI and/or the editor(s). MDPI and/or the editor(s) disclaim responsibility for any injury to people or property resulting from any ideas, methods, instructions or products referred to in the content. |
© 2025 by the authors. Licensee MDPI, Basel, Switzerland. This article is an open access article distributed under the terms and conditions of the Creative Commons Attribution (CC BY) license (https://creativecommons.org/licenses/by/4.0/).
Share and Cite
Guo, D.; Liu, Y.; Tang, J.; Zhang, Z.; Yao, C.; Li, Y.; Wu, W. A Novel Simplified Analysis Model to Predict Behaviors of Single Piles Subjected to Reverse Faulting. Buildings 2025, 15, 335. https://doi.org/10.3390/buildings15030335
Guo D, Liu Y, Tang J, Zhang Z, Yao C, Li Y, Wu W. A Novel Simplified Analysis Model to Predict Behaviors of Single Piles Subjected to Reverse Faulting. Buildings. 2025; 15(3):335. https://doi.org/10.3390/buildings15030335
Chicago/Turabian StyleGuo, Deping, Yulin Liu, Jincai Tang, Zeng Zhang, Chaofan Yao, Yang Li, and Wang Wu. 2025. "A Novel Simplified Analysis Model to Predict Behaviors of Single Piles Subjected to Reverse Faulting" Buildings 15, no. 3: 335. https://doi.org/10.3390/buildings15030335
APA StyleGuo, D., Liu, Y., Tang, J., Zhang, Z., Yao, C., Li, Y., & Wu, W. (2025). A Novel Simplified Analysis Model to Predict Behaviors of Single Piles Subjected to Reverse Faulting. Buildings, 15(3), 335. https://doi.org/10.3390/buildings15030335
