Mechanical Properties, Impermeability, and Microstructure of Mortar Containing Recycled Fine Aggregates Modified by Graphene Oxide After High-Temperature Exposure
Abstract
1. Introduction
2. Materials and Methodology
2.1. Raw Materials
2.2. Material Design and Preparation Method
2.3. Methodologies
2.3.1. High-Temperature Heating Test
2.3.2. Mechanical Test
2.3.3. Water Absorption Test
2.3.4. X-Ray Diffraction Analysis (XRD)
2.3.5. Pore Structure Analysis (MIP)
2.3.6. Microstructure Analysis (SEM)
3. Results and Discussion
3.1. Appearance Changes and Mass Loss
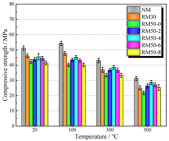
3.2. Compressive Strength and Residual Strength Ratio
3.3. Flexural Strength and the Ratio of Flexural to Compressive Strengths
3.4. Water Absorption Ratio
3.5. XRD
3.6. MIP
3.7. SEM
3.8. Mechanism Analysis
4. Conclusions
- After exposure to high temperatures, microcracks developed on the surface of the mortar. The thermal weight loss of the mortar significantly increased with the addition of RFAs. The incorporation of GO can mitigate the thermal mass loss of RM50.
- The compressive strength and flexural strength of the mortar decreased progressively with the rise in RFA content. The compressive strength of 500 °C-RM50-4 increased by 30.7% compared to 500 °C-RM50-0. The residual compressive strength ratio of 500 °C-RM50-2~8 could all be maintained above 60%. The inclusion of GO can enhance the flexural-to-compressive strength ratio of the mortar after high-temperature exposure and improve the toughness of the mortar.
- GO promoted the formation of C-S-H with high-thermal stability, thereby increasing the diffraction peak of C-S-H in mortar after high-temperature exposure. The porosity of 500 °C-RM50-6 decreased from 1.55% to 1.35%, and the pore size of the mortar was effectively refined.
- The addition of GO resulted in the uniform distribution of hydration products and dense filling of the ITZ with hydration products, thereby reducing both the quantity and width of cracks in the cement matrix.
Author Contributions
Funding
Data Availability Statement
Conflicts of Interest
References
- Pacewska, B.; Wilińska, I. Usage of supplementary cementitious materials: Advantages and limitations: Part I. C–S–H, C–A–S–H and other products formed in different binding mixtures. J. Therm. Anal. Calorim. 2020, 142, 371–393. [Google Scholar] [CrossRef]
- Zhao, H.; Wang, Y.; Liu, X. Review on solid wastes incorporated cementitious material using 3D concrete printing technology. Case Stud. Constr. Mater. 2024, 21, e03676. [Google Scholar] [CrossRef]
- Yang, G.; Zhao, J.; Wang, Y. Durability properties of sustainable alkali-activated cementitious materials as marine engineering material: A review. Mater. Today Sustain. 2022, 17, 100099. [Google Scholar] [CrossRef]
- Miller, S.A.; Moore, F.C. Climate and health damages from global concrete production. Nat. Clim. Change 2020, 10, 439–443. [Google Scholar] [CrossRef]
- Imbabi, M.S.; Carrigan, C.; McKenna, S. Trends and developments in green cement and concrete technology. Int. J. Sustain. Built Environ. 2012, 1, 194–216. [Google Scholar] [CrossRef]
- Rodrigues, F.A.; Joekes, I. Cement industry: Sustainability, challenges and perspectives. Environ. Chem. Lett. 2011, 9, 151–166. [Google Scholar] [CrossRef]
- Lima, C.; Junga, E.; Leea, S.; Jangb, C.; Shind, K. Global trend of cement production and utilization of circular resources. J. Energy Eng. 2020, 29, 57–63. [Google Scholar]
- Al-Zu, M.; Fan, M.; Al Rjoub, Y.; Ashteyat, A.; Al-Kheetan, M.J.; Anguilano, L. The effect of length and inclination of carbon fiber reinforced polymer laminates on shear capacity of near-surface mounted retrofitted reinforced concrete beams. Struct. Concr. 2021, 22, 3677–3691. [Google Scholar] [CrossRef]
- Zeyad, A.M. Sustainable concrete Production: Incorporating recycled wastewater as a green building material. Constr. Build. Mater. 2023, 407, 133522. [Google Scholar] [CrossRef]
- Aljaafreh, A.; Alzubi, Y.; Al-Kharabsheh, E.; Yasin, B. Seismic performance of reinforced concrete structures with concrete deficiency caused by in-situ quality management issues. Civ. Eng. J. 2023, 9, 2476–3055. [Google Scholar] [CrossRef]
- Saxena, A.; Sabillon-Orellana, C.; Prozzi, J. Prediction of compressive strength in sustainable concrete using regression analysis. J. Mater. Cycles Waste Manag. 2024, 26, 2896–2909. [Google Scholar] [CrossRef]
- Riaz, R.D.; Usman, M.; Ali, A.; Majid, U.; Faizan, M.; Malik, U.J. Inclusive characterization of 3D printed concrete (3DPC) in additive manufacturing: A detailed review. Constr. Build. Mater. 2023, 394, 132229. [Google Scholar] [CrossRef]
- Bhoopathy, V.; Subramanian, S.S. The way forward to sustain environmental quality through sustainable sand mining and the use of manufactured sand as an alternative to natural sand. Environ. Sci. Pollut. Res. 2022, 29, 30793–30801. [Google Scholar] [CrossRef]
- Leal Filho, W.; Hunt, J.; Lingos, A.; Platje, J.; Vieira, L.W.; Will, M.; Gavriletea, M.D. The unsustainable use of sand: Reporting on a global problem. Sustainability 2021, 13, 3356. [Google Scholar] [CrossRef]
- Jiang, X.; Lu, D.; Yin, B.; Leng, Z. Advancing carbon nanomaterials-engineered self-sensing cement composites for structural health monitoring: A state-of-the-art review. J. Build. Eng. 2024, 87, 109129. [Google Scholar] [CrossRef]
- Wu, Y.; Luo, J.; Zhang, X.; Skitmore, M. Urban growth dilemmas and solutions in China: Looking forward to 2030. Habitat Int. 2016, 56, 42–51. [Google Scholar] [CrossRef]
- Huiwen, G.; Robert, H.; Christopher, F.; Martin, H.; Harry, G. Globalisation in reverse? Reconfiguring the geographies of value chains and production networks. Camb. J. Reg. Econ. Soc. 2022, 15, 165–181. [Google Scholar]
- Gomez-Trujillo, A.N.A.; Velez-Ocampo, J.; Castrillón-Orrego, S.A. Responsible patterns of production and consumption: The race for the achievement of SDGs in emerging markets. AD-Minister 2021, 38, 93–120. [Google Scholar] [CrossRef]
- Zhao, P.; Zhou, J.; Zhang, Z.; Chen, S. Study on Key Properties and Model Establishment of Innovative Recycled Aggregate Pervious Concrete. Materials 2024, 17, 3535. [Google Scholar] [CrossRef] [PubMed]
- Zhang, P.; Wei, W.; Shao, Z. Multifield coupling study on random aggregate concrete under microwave irradiation. Constr. Build. Mater. 2022, 318, 126025. [Google Scholar] [CrossRef]
- Estanqueiro, B.; Dinis Silvestre, J.; de Brito, J.; Duarte Pinheiro, M. Environmental life cycle assessment of coarse natural and recycled aggregates for concrete. Eur. J. Environ. Civ. Eng. 2018, 22, 429–449. [Google Scholar] [CrossRef]
- Zeng, Y.; Guo, H.; Lei, J.; Hu, Y.; Yang, Z. Study on the mechanical properties of recycled brick coarse aggregate concrete based on finite element modeling. J. Build. Eng. 2024, 95, 110110. [Google Scholar] [CrossRef]
- Tam, V.W.Y.; Soomro, M.; Evangelista, A.C.J. A review of recycled aggregate in concrete applications (2000–2017). Constr. Build. Mater. 2018, 172, 272–292. [Google Scholar] [CrossRef]
- de Andrade Salgado, F.; de Andrade Silva, F. Recycled aggregates from construction and demolition waste towards an application on structural concrete: A review. J. Build. Eng. 2022, 52, 104452. [Google Scholar] [CrossRef]
- Fernandes, B.; Carré, H.; Mindeguia, J.C.; Perlot, C.; La Borderie, C. Effect of elevated temperatures on concrete made with recycled concrete aggregates-An overview. J. Build. Eng. 2021, 44, 103235. [Google Scholar] [CrossRef]
- Garcia-Troncoso, N.; Li, L.; Cheng, Q.; Mo, K.H.; Ling, T.C. Comparative study on the properties and high temperature resistance of self-compacting concrete with various types of recycled aggregates. Case Stud. Constr. Mater. 2021, 15, e00678. [Google Scholar] [CrossRef]
- Ahmed, W.; Lim, C.W.; Akbar, A. Influence of elevated temperatures on the mechanical performance of sustainable-fiber-reinforced recycled aggregate concrete: A review. Buildings 2022, 12, 487. [Google Scholar] [CrossRef]
- Yao, X.; Pei, Z.; Zheng, H.; Guan, Q.; Wang, F.; Wang, S.; Ji, Y. Review of mechanical and temperature properties of fiber reinforced recycled aggregate concrete. Buildings 2022, 12, 1224. [Google Scholar] [CrossRef]
- Alhamad, A.; Yehia, S.; Lublóy, É.; Elchalakani, M. Performance of different concrete types exposed to elevated temperatures: A review. Materials 2022, 15, 5032. [Google Scholar] [CrossRef] [PubMed]
- Tang, Y.; Wang, Y.; Wu, D.; Chen, M.; Pang, L.; Sun, J.; Feng, W.; Wang, X. Exploring temperature-resilient recycled aggregate concrete with waste rubber: An experimental and multi-objective optimization analysis. Rev. Adv. Mater. Sci. 2023, 62, 20230347. [Google Scholar] [CrossRef]
- Wu, K.; Luo, S.; Zheng, J.; Yan, J.; Xiao, J. Influence of carbonation treatment on the properties of multiple interface transition zones and recycled aggregate concrete. Cem. Concr. Compos. 2022, 127, 104402. [Google Scholar] [CrossRef]
- Gao, S.; Guo, J.; Gong, Y.; Ban, S.; Liu, A. Study on the penetration and diffusion of chloride ions in interface transition zone of recycled concrete prepared by modified recycled coarse aggregates. Case Stud. Constr. Mater. 2022, 16, e01034. [Google Scholar] [CrossRef]
- Fang, G.; Zhang, M. The evolution of interfacial transition zone in alkali-activated fly ash-slag concrete. Cem. Concr. Res. 2020, 129, 105963. [Google Scholar] [CrossRef]
- He, R.; Zheng, S.; Gan, V.J.; Wang, Z.; Fang, J.; Shao, Y. Damage mechanism and interfacial transition zone characteristics of concrete under sulfate erosion and Dry-Wet cycles. Constr. Build. Mater. 2020, 255, 119340. [Google Scholar] [CrossRef]
- Alanazi, H. Study of the interfacial transition zone characteristics of geopolymer and conventional concretes. Gels 2022, 8, 105. [Google Scholar] [CrossRef]
- Reis, G.S.D.; Quattrone, M.; Ambrós, W.M.; Grigore Cazacliu, B.; Hoffmann Sampaio, C. Current. Current applications of recycled aggregates from construction and demolition: A review. Materials 2021, 14, 1700. [Google Scholar] [CrossRef] [PubMed]
- Yu, L.; Wu, R. Using graphene oxide to improve the properties of ultra-high-performance concrete with fine recycled aggregate. Constr. Build. Mater. 2020, 259, 120657. [Google Scholar] [CrossRef]
- Chu, H.; Zhang, Y.; Wang, F.; Feng, T.; Wang, L.; Wang, D. Effect of graphene oxide on mechanical properties and durability of ultra-high-performance concrete prepared from recycled sand. Nanomaterials 2020, 10, 1718. [Google Scholar] [CrossRef] [PubMed]
- Shilar, F.A.; Ganachari, S.V.; Patil, V.B. Advancement of nano-based construction materials-A review. Constr. Build. Mater. 2022, 359, 129535. [Google Scholar] [CrossRef]
- Sujitha, V.S.; Ramesh, B.; Xavier, J.R. Effects of nanomaterials on mechanical properties in cementitious construction materials for high-strength concrete applications: A review. J. Adhes. Sci. Technol. 2024, 38, 3737–3768. [Google Scholar]
- Jiang, J.W.; Kong, S.C.; Zhu, J.H.; Pei, C. Enhancing and functionalizing mortar with one-step water-based graphene nanofluid additives. Constr. Build. Mater. 2024, 416, 135104. [Google Scholar] [CrossRef]
- Qureshi, T.S.; Panesar, D.K. Impact of graphene oxide and highly reduced graphene oxide on cement based composites. Constr. Build. Mater. 2019, 206, 71–83. [Google Scholar] [CrossRef]
- GB/T 17671-2021; Test Method of Cement Mortar Strength. State Administration for Market Regulation: Beijing, China, 2021. (In Chinese)
- Li, J.; Yu, Z.; Wu, J.; Ding, Q.; Xu, W.; Huang, S. The Application of Heat-Shrinkable Fibers and Internal Curing Aggregates in the Field of Crack Resistance of High-Strength Marine Structural Mass Concrete: A Review and Prospects. Polymers 2023, 15, 3884. [Google Scholar] [CrossRef]
- Sheikh, T.M.; Anwar, M.P.; Muthoosamy, K.; Jaganathan, J.; Chan, A.; Mohamed, A.A. The mechanics of carbon-based nanomaterials as cement reinforcement—A critical review. Constr. Build. Mater. 2021, 303, 124441. [Google Scholar] [CrossRef]
- Xu, L.; Wang, J.; Li, K.; Lin, S.; Li, M.; Hao, T.; Ling, Z.; Xiang, D.; Wang, T. A systematic review of factors affecting properties of thermal-activated recycled cement. Resour. Conserv. Recycl. 2022, 185, 106432. [Google Scholar] [CrossRef]
- Chen, Y.; Li, X.; Du, H. A review of high temperature properties of cement based composites: Effects of nano materials. Mater. Today Commun. 2023, 35, 105954. [Google Scholar] [CrossRef]
- Pang, X.; Sun, L.; Chen, M.; Xian, M.; Cheng, G.; Liu, Y.; Qin, J. Influence of curing temperature on the hydration and strength development of Class G Portland cement. Cem. Concr. Res. 2022, 156, 106776. [Google Scholar] [CrossRef]
- Shao, L.; Liu, Q.; Wang, H.; Wang, C.; Wang, W.; Hong, J.; Miao, C.; Feng, P. A new strategy to enhance 3D printability of cement-based materials: In-situ polymerization. Addit. Manuf. 2024, 89, 104299. [Google Scholar] [CrossRef]
- Lu, S.; Gong, C.; Yu, J.; Hu, J.; Wang, S.; Gao, Y. Reinforcing mechanisms review of the graphene oxide on cement composites. Nanotechnol. Rev. 2024, 13, 20240120. [Google Scholar] [CrossRef]
- Shah, A.H.; Rasool, F.; Mir, S.B.; Alsaif, A.; Bhat, H.F.; Jan, I.; Thoker, Z.A.; Najar, K. Enhancing concrete properties with graphene and graphene-based additives: A comprehensive analysis of their effect on microstructure and macrostructure of concrete. Iran. J. Sci. Technol. Trans. Civ. Eng. 2024, 48, 1817–1836. [Google Scholar] [CrossRef]
- He, H.; Shuang, E.; Wen, T.; Yao, J.; Wang, X.; He, C.; Yu, Y. Employing novel N-doped graphene quantum dots to improve chloride binding of cement. Constr. Build. Mater. 2023, 401, 132944. [Google Scholar] [CrossRef]
- Amin, M.; Zeyad, A.M.; Agwa, I.S.; Rizk, M.S. Effect of industrial wastes on the properties of sustainable ultra-high-performance concrete: Ganite, ceramic, and glass. Constr. Build. Mater. 2024, 428, 136292. [Google Scholar] [CrossRef]
- Zhong, C.; Chen, X.; Mao, W.; Xin, S.; Chen, J.; Zhou, J. Carbonation resistance of recycled fine aggregate concrete reinforced by calcium sulfate whiskers. J. Build. Eng. 2024, 92, 109476. [Google Scholar] [CrossRef]
- Liu, J.; Tan, Z.; Zhao, Q.; Liu, B.; Wang, X. Mechanical properties and durability analysis of CS-CG stabilized soil: Towards sustainable subgrade soil enhancement. Constr. Build. Mater. 2024, 442, 137634. [Google Scholar] [CrossRef]
- Yang, S.; Acarturk, B.C.; Burris, L.E. Role of pore structure on resistance to physical crystallization damage of calcium sulfoaluminate belite (CSAB) cement blends. Cem. Concr. Res. 2022, 159, 106886. [Google Scholar] [CrossRef]
- Al Ansari, M.S. Insights into Water-Cement Ratios and Silica Fume Concentrations for Desalination Plant Structures. Afr. J. Biol. Sci. 2024, 6, 391–410. [Google Scholar]
- Cheng, S.; Chen, K.; Wu, Q.; Chen, X.; Zhao, C.; Wu, Z. Influence of industrial-grade graphene oxide on macro and micro properties of ultra-high performance concrete incorporating recycled fine aggregate. Constr. Build. Mater. 2024, 417, 135427. [Google Scholar] [CrossRef]
- He, J.; Arab, A.; Zhang, C. Molecular dynamics study of temperature and defects on mechanical properties of Gr (GO)/CSH composites. J. Non-Cryst. Solids 2024, 639, 123094. [Google Scholar] [CrossRef]
- Nithurshan, M.; Elakneswaran, Y.; Yoda, Y.; Yano, K.; Kitagaki, R.; Hiroyoshi, N. Exploring the reinforcing mechanism of graphene oxide in cementitious materials through microstructural analysis of synthesised calcium silicate hydrate. Cem. Concr. Compos. 2024, 153, 105717. [Google Scholar] [CrossRef]
- Guo, J.; Tian, W.; Cheng, X.; Yun, W. Study on the evolution of concrete pore structure and moisture transfer mechanism after high temperature based on different sequence NMR technology. Constr. Build. Mater. 2024, 422, 135739. [Google Scholar] [CrossRef]
- Bai, S.; Yu, L.; Guan, X.; Li, H.; Ou, J. Comparative study on effects of pozzolanic nano-SiO2 and non-pozzolanic nano-TiO2 on the microstructure and macro properties of cement paste subjected to early-age frost attack. Cold Reg. Sci. Technol. 2023, 210, 103841. [Google Scholar] [CrossRef]
- Chen, Y.; Li, X.; Dong, B.; Du, H.; Yan, R.; Wang, L. High-temperature properties of cement paste with graphene oxide agglomerates. Constr. Build. Mater. 2022, 320, 126286. [Google Scholar] [CrossRef]
- Cheng, S.; Chen, K.; Chen, X.; Wu, Q.; Chen, Y.; Lu, J.; Li, S. Utilization of construction and demolition waste in ultra-high performance concrete: Macro-micro properties and environmental impacts. J. Build. Eng. 2024, 97, 110747. [Google Scholar] [CrossRef]















| SiO2 | Al2O3 | CaO | Fe2O3 | MgO | SO3 | Na2O | K2O | LOI | |
|---|---|---|---|---|---|---|---|---|---|
| OPC | 21.50 | 5.86 | 59.82 | 2.78 | 2.18 | 2.01 | 0.20 | 0.67 | 3.85 |
| Type | Apparent Density/kg·m3 | Water Absorption/% | Fineness Modulus |
|---|---|---|---|
| NFA | 2559 | 1.10 | 2.62 |
| RFA | 2433 | 7.60 | 2.98 |
| Type | OPC | RFAs | NFAs | Water | GO |
|---|---|---|---|---|---|
| NM | 450 | 0.0 | 1350 | 225 | 0.0 |
| RM30-0 | 450 | 405 | 945 | 225 | 0.0 |
| RM50-0 | 450 | 675 | 675 | 225 | 0.0 |
| RM50-2 | 450 | 675 | 675 | 225 | 0.09 |
| RM50-4 | 450 | 675 | 675 | 225 | 0.18 |
| RM50-6 | 450 | 675 | 675 | 225 | 0.27 |
| RM50-8 | 450 | 675 | 675 | 225 | 0.36 |
| Type | Median Pore Diameter (nm) | Average Pore Size (nm) | Porosity (%) |
|---|---|---|---|
| 300 °C-RM50-0 | 30.6 | 19.2 | 0.97 |
| 500 °C-RM50-0 | 28.5 | 18.9 | 1.55 |
| 500 °C-RM50-6 | 28.7 | 16.2 | 1.35 |
Disclaimer/Publisher’s Note: The statements, opinions and data contained in all publications are solely those of the individual author(s) and contributor(s) and not of MDPI and/or the editor(s). MDPI and/or the editor(s) disclaim responsibility for any injury to people or property resulting from any ideas, methods, instructions or products referred to in the content. |
© 2025 by the authors. Licensee MDPI, Basel, Switzerland. This article is an open access article distributed under the terms and conditions of the Creative Commons Attribution (CC BY) license (https://creativecommons.org/licenses/by/4.0/).
Share and Cite
Xiang, Z.; Chen, G.; Cai, Z.; Shao, J. Mechanical Properties, Impermeability, and Microstructure of Mortar Containing Recycled Fine Aggregates Modified by Graphene Oxide After High-Temperature Exposure. Buildings 2025, 15, 212. https://doi.org/10.3390/buildings15020212
Xiang Z, Chen G, Cai Z, Shao J. Mechanical Properties, Impermeability, and Microstructure of Mortar Containing Recycled Fine Aggregates Modified by Graphene Oxide After High-Temperature Exposure. Buildings. 2025; 15(2):212. https://doi.org/10.3390/buildings15020212
Chicago/Turabian StyleXiang, Zhao, Guofu Chen, Zhiwei Cai, and Jiaxing Shao. 2025. "Mechanical Properties, Impermeability, and Microstructure of Mortar Containing Recycled Fine Aggregates Modified by Graphene Oxide After High-Temperature Exposure" Buildings 15, no. 2: 212. https://doi.org/10.3390/buildings15020212
APA StyleXiang, Z., Chen, G., Cai, Z., & Shao, J. (2025). Mechanical Properties, Impermeability, and Microstructure of Mortar Containing Recycled Fine Aggregates Modified by Graphene Oxide After High-Temperature Exposure. Buildings, 15(2), 212. https://doi.org/10.3390/buildings15020212
