Cyclic Behavior of Seismically Non-Conforming Interior Reinforced Concrete Beam–Column Joints
Abstract
1. Introduction
2. Experimental Testing
2.1. Specimen Geometries and Material Properties
2.2. Test Set Up and Instrumentation
3. Experimental Results
3.1. Force–Displacement Response Diagram
3.2. Experimental Damage Patterns
4. Numerical Investigation
4.1. Finite Element Models
4.2. FE Numerical Validation
4.2.1. Pushover Analysis Results
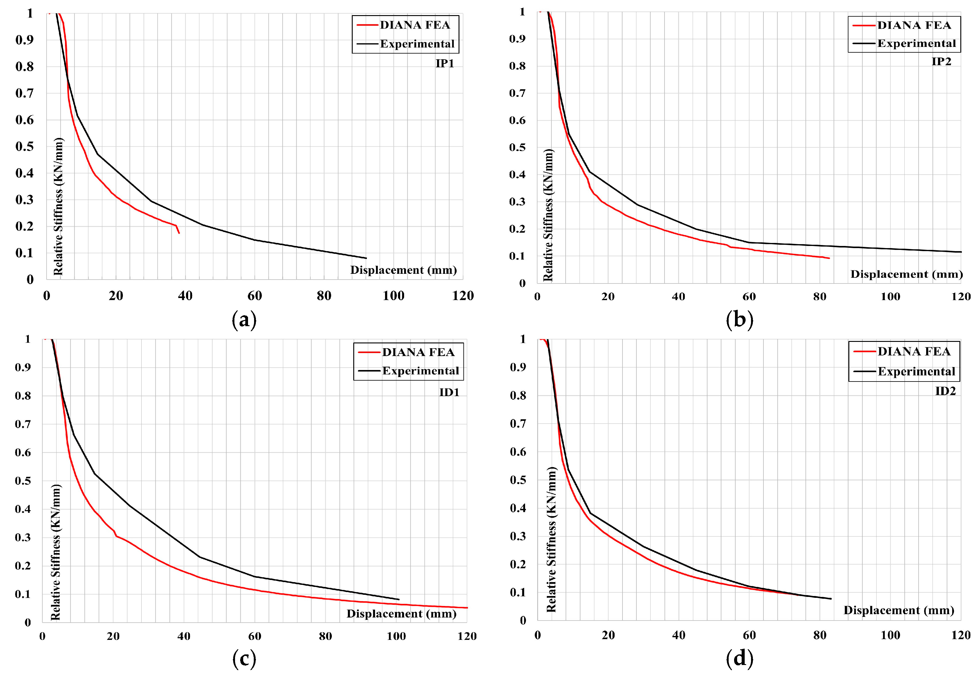
4.2.2. Stiffness Degradation
4.2.3. Cyclic Analysis
4.2.4. Damage Patterns
5. Concluding Remarks
Author Contributions
Funding
Data Availability Statement
Conflicts of Interest
References
- Shayanfar, J.; Akbarzadeh Bengar, H.; Niroomandi, A. A Proposed Model for Predicting Nonlinear Behavior of RC Joints under Seismic Loads. Mater. Des. 2016, 95, 563–579. [Google Scholar] [CrossRef]
- Melo, J.; Rossetto, T.; Varum, H. Experimental Study of Bond–Slip in RC Structural Elements with Plain Bars. Mater. Struct./Mater. Constr. 2015, 48, 2367–2381. [Google Scholar] [CrossRef]
- De Risi, M.T.; Verderame, G.M. Experimental Assessment and Numerical Modelling of Exterior Non-Conforming Beam-Column Joints with Plain Bars. Eng. Struct. 2017, 150, 115–134. [Google Scholar] [CrossRef]
- Del Vecchio, C.; Di Ludovico, M.; Prota, A.; Manfredi, G. Modelling Beam-Column Joints and FRP Strengthening in the Seismic Performance Assessment of RC Existing Frames. Compos. Struct. 2016, 142, 107–116. [Google Scholar] [CrossRef]
- Gao, X.; Lin, C. Prediction Model of the Failure Mode of Beam-Column Joints Using Machine Learning Methods. Eng. Fail. Anal. 2021, 120, 105072. [Google Scholar] [CrossRef]
- Esmaeeli, E.; Barros, J.A.O.; Sena-Cruz, J.; Fasan, L.; Li Prizzi, F.R.; Melo, J.; Varum, H. Retrofitting of Interior RC Beam-Column Joints Using CFRP Strengthened SHCC: Cast-in-Place Solution. Compos. Struct. 2015, 122, 456–467. [Google Scholar] [CrossRef]
- Cosgun, C.; Turk, A.M.; Mangir, A.; Cosgun, T.; Kiymaz, G. Experimental Behaviour and Failure of Beam-Column Joints with Plain Bars, Low-Strength Concrete and Different Anchorage Details. Eng. Fail. Anal. 2020, 109, 104247. [Google Scholar] [CrossRef]
- Pan, Z.; Guner, S.; Vecchio, F.J. Modeling of Interior Beam-Column Joints for Nonlinear Analysis of Reinforced Concrete Frames. Eng. Struct. 2017, 142, 182–191. [Google Scholar] [CrossRef][Green Version]
- Maheri, M.R.; Torabi, A. Retrofitting External RC Beam-Column Joints of an Ordinary MRF through Plastic Hinge Relocation Using FRP Laminates. Structures 2019, 22, 65–75. [Google Scholar] [CrossRef]
- Yang, H.; Zhao, W.; Zhu, Z.; Fu, J. Seismic Behavior Comparison of Reinforced Concrete Interior Beam-Column Joints Based on Different Loading Methods. Eng. Struct. 2018, 166, 31–45. [Google Scholar] [CrossRef]
- Murad, Y.Z.; Alseid, B.H. Retrofitting Interior RC Beam-to-Column Joints Subjected to Quasi-Static Loading Using NSM CFRP Ropes. Structures 2021, 34, 4158–4168. [Google Scholar] [CrossRef]
- Shen, X.; Li, B.; Chen, Y.T.; Tizani, W. Seismic Performance of Reinforced Concrete Interior Beam-Column Joints with Novel Reinforcement Detail. Eng. Struct. 2021, 227, 111408. [Google Scholar] [CrossRef]
- Mosallam, A.; Allam, K.; Salama, M. Analytical and Numerical Modeling of RC Beam-Column Joints Retrofitted with FRP Laminates and Hybrid Composite Connectors. Compos. Struct. 2019, 214, 486–503. [Google Scholar] [CrossRef]
- Dabiri, H.; Kaviani, A.; Kheyroddin, A. Influence of Reinforcement on the Performance of Non-Seismically Detailed RC Beam-Column Joints. J. Build. Eng. 2020, 31, 101333. [Google Scholar] [CrossRef]
- Ghobarah, A.; Said, A. Seismic Rehabilitation of Beam-Column Joints Using FRP Laminates. J. Earthq. Eng. 2001, 5, 113–129. [Google Scholar] [CrossRef]
- Hopartean, G.; Donchev, T.; Petkova, D.; Georgopoulos, C.; Limbachiya, M. Experimental Investigation of Concrete Frames Reinforced with GFRP Bars under Reversed Cyclic Loading. Eng. Struct. 2024, 302, 117377. [Google Scholar] [CrossRef]
- Eligehausen, R.; Pampanin, S.; Genesio, G.; Eligehausen, R.; Pampanin, S. Application of Post-Installed Anchors for Seismic Retrofit of RC Beam-Column Joints: Design Method. In Proceedings of the Ninth Pacific Conference on Earthquake Engineering Building an Earthquake-Resilient Society, Auckland, New Zealand, 14–16 April 2011. [Google Scholar]
- Ghobarah, A.; Said, A. Shear Strengthening of Beam-Column Joints. Eng. Struct. 2002, 24, 881–888. [Google Scholar] [CrossRef]
- Masi, A.; Santarsiero, G.; Nigro, D. Cyclic Tests on External Rc Beam-Column Joints: Role of Seismic Design Level and Axial Load Value on the Ultimate Capacity. J. Earthq. Eng. 2013, 17, 110–136. [Google Scholar] [CrossRef]
- Rodrigues, H.; Arêde, A.; Varum, H.; Costa, A. Damage Evolution in Reinforced Concrete Columns Subjected to Biaxial Loading. Bull. Earthq. Eng. 2013, 11, 1517–1540. [Google Scholar] [CrossRef]
- Ebanesar, A.; Gladston, H.; Noroozinejad Farsangi, E.; Sharma, S.V. Strengthening of RC Beam-Column Joints Using Steel Plate with Shear Connectors: Experimental Investigation. Structures 2022, 35, 1138–1150. [Google Scholar] [CrossRef]
- Ricci, P.; De Luca, F.; Verderame, G. 6th April 2009 L’Aquila Earthquake, Italy: Reinforced Concrete Building Performance. Bull. Earthq. Eng. 2011, 9, 285–305. [Google Scholar] [CrossRef]
- Wang, B.; Wu, X.; Liu, Q.; Wu, Y.; Huang, F.; Xu, L.; Wu, X.; Deng, Y. Effectiveness and Efficiency of Externally Bonded CFRP Sheets for Shear Strengthening of RC Beam-Column Joints. Polymers 2022, 14, 1347. [Google Scholar] [CrossRef]
- Melo, J.; Varum, H.; Rossetto, T. Experimental Cyclic Behaviour of RC Columns with Plain Bars and Proposal for Eurocode 8 Formula Improvement. Eng. Struct. 2015, 88, 22–36. [Google Scholar] [CrossRef]
- Fernandes, C.; Melo, J.; Varum, H.; Costa, A. Cyclic Behavior of Substandard Reinforced Concrete Beam-Column Joints with Plain Bars. ACI Struct. J. 2013, 110, 137. [Google Scholar]
- Verderame, G.M.; De Carlo, G.; Ricci, P.; Fabbrocino, G. Cyclic Bond Behaviour of Plain Bars. Part II: Analytical Investigation. Constr. Build. Mater. 2009, 23, 3512–3522. [Google Scholar] [CrossRef]
- Choi, S.H.; Kim, J.H.; Jeong, H.; Kim, K.S. Seismic Behavior of Beam-Column Joints with Different Concrete Compressive Strengths. J. Build. Eng. 2022, 52, 104484. [Google Scholar] [CrossRef]
- Pauletta, M.; Di Marco, C.; Frappa, G.; Miani, M.; Campione, G.; Russo, G. Seismic Behavior of Exterior RC Beam-Column Joints without Code-Specified Ties in the Joint Core. Eng. Struct. 2021, 228, 111542. [Google Scholar] [CrossRef]
- Melo, J.; Varum, H.; Rossetto, T.; Costa, A. Cyclic Response of RC Beam-Column Joints Reinforced with Plain Bars: An Experimental Testing Campaign. In Proceedings of the 15th World Conference on Earthquake Engineering, Lisbon, Portugal, 24–28 September 2012. [Google Scholar]
- Hendriks, M.; Roosen, M. Guidelines for Nonlinear Finite Element Analysis of Concrete Structures; Rijkswaterstaat Ministerie van Infrastructuur en Milieu: Copenhagen, Denmark, 2022. [Google Scholar]
- Model Code 2010: First Complete Draft; Fédération Internationale du Béton: Lausanne, Switzerland, 2010; ISBN 9782883940956.























| Concrete | Steel | ||||
|---|---|---|---|---|---|
| C16/20 | ϕ 8 mm | ϕ 12 mm | |||
| Specimen | fcm (MPa) | fym (MPa) | fum (MPa) | fym (MPa) | fum (MPa) |
| IP1 IP2 | 17.5 | 410 | 495 | 405 | 470 |
| ID1 ID2 | 17.5 | 430 | 530 | 440 | 550 |
| Parameter | Value | |
|---|---|---|
| s0 | Initial slip | 0.06 mm |
| s1 | Relative slip | 0.08 mm |
| s2 | Relative slip | 0.12 mm |
| s3 | Relative slip | 0.15 mm |
| τf | Ultimate bond–slip stress | 3 N/mm2 |
| τmax | Maximum bond–slip stress | 7 N/mm2 |
Disclaimer/Publisher’s Note: The statements, opinions and data contained in all publications are solely those of the individual author(s) and contributor(s) and not of MDPI and/or the editor(s). MDPI and/or the editor(s) disclaim responsibility for any injury to people or property resulting from any ideas, methods, instructions or products referred to in the content. |
© 2025 by the authors. Licensee MDPI, Basel, Switzerland. This article is an open access article distributed under the terms and conditions of the Creative Commons Attribution (CC BY) license (https://creativecommons.org/licenses/by/4.0/).
Share and Cite
Sabbahfar, P.; Melo, J.; Costa, A.; Varum, H.; Rodrigues, H. Cyclic Behavior of Seismically Non-Conforming Interior Reinforced Concrete Beam–Column Joints. Buildings 2025, 15, 202. https://doi.org/10.3390/buildings15020202
Sabbahfar P, Melo J, Costa A, Varum H, Rodrigues H. Cyclic Behavior of Seismically Non-Conforming Interior Reinforced Concrete Beam–Column Joints. Buildings. 2025; 15(2):202. https://doi.org/10.3390/buildings15020202
Chicago/Turabian StyleSabbahfar, Peyman, José Melo, Aníbal Costa, Humberto Varum, and Hugo Rodrigues. 2025. "Cyclic Behavior of Seismically Non-Conforming Interior Reinforced Concrete Beam–Column Joints" Buildings 15, no. 2: 202. https://doi.org/10.3390/buildings15020202
APA StyleSabbahfar, P., Melo, J., Costa, A., Varum, H., & Rodrigues, H. (2025). Cyclic Behavior of Seismically Non-Conforming Interior Reinforced Concrete Beam–Column Joints. Buildings, 15(2), 202. https://doi.org/10.3390/buildings15020202

