Nonlinear Analysis and Optimization of Recycled Aggregate Concrete Cross-Sections Based on Restoring Force Models
Abstract
1. Introduction
2. Fiber Section Model Analysis
2.1. Basic Assumptions
2.2. Fiber Section Model
2.3. Zero-Length Section Element
3. Proposed Model
3.1. RAC Model
3.2. Three-Dimensional Finite Element Fiber Model
4. Beam and Column Section Analysis
5. Discussion
6. Summary and Conclusions
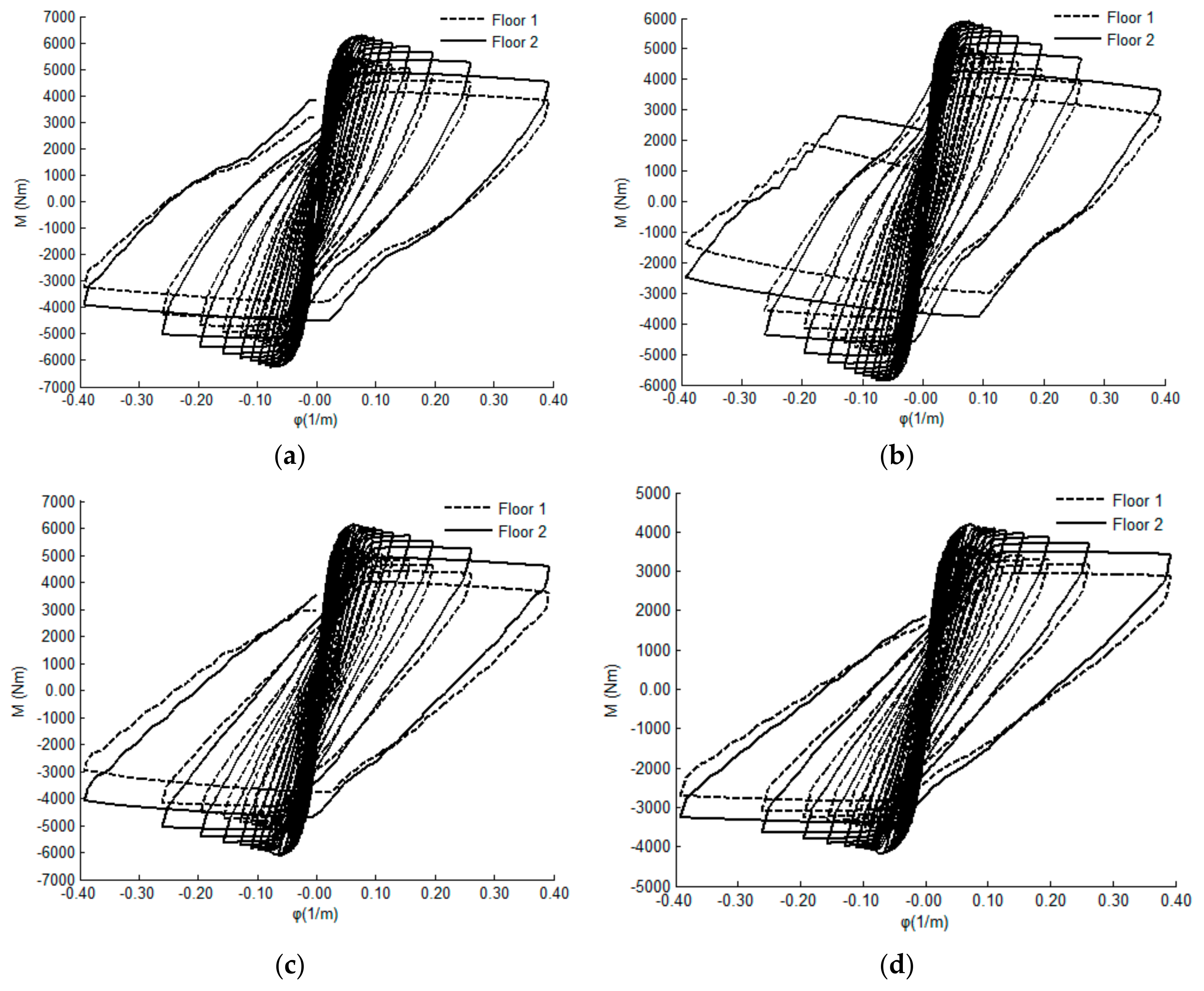
- For the first-floor corner column, the ductility factor corresponding to the ultimate bending moment is 5.552 with an axial compression ratio of 0.60, increasing to 6.819 when the ratio decreases to 0.57. For the second-floor corner column, the ductility factor increases from 5.179 to 6.778 as the axial compression ratio decreases from 0.61 to 0.57.
- For the first-floor beam KL1 with an axial compression ratio of 0.48, the ductility factor is 8.126, whereas for the second-floor beam KL1 with an axial compression ratio of 0.51, the ductility factor is 6.431. Beam KL2 shows a more stable ductility factor.
- The ultimate bending capacity of the corner column section is higher than that of beam KL2, with the second-floor components generally having higher ultimate bending capacity than the first-floor counterparts.
- The maximum curvature corresponding to the maximum bending moment for the first-floor corner column is 0.0781/m, slightly decreasing on the second floor. In contrast, the curvature of beam KL1 increases with the floor level.
- A decrease in axial compression ratio significantly improves the ductility of components, particularly for corner columns and beams, where the ductility factor increases with the reduction in axial compression ratio.
- Future studies could explore the use of hybrid materials in recycled aggregate concrete, validate their seismic performance in different structural forms, and combine experimental research to optimize the accuracy of numerical models.
Author Contributions
Funding
Data Availability Statement
Acknowledgments
Conflicts of Interest
References
- Fathifazl, G.; Razaqpur, A.G.; Isgor, O.B.; Abbas, A.; Fournier, B.; Foo, S. Flexural performance of steel-reinforced recycled concrete beams. ACI Struct. J. 2009, 106, 858–867. [Google Scholar]
- Liu, X.; Liang, C.; Zhang, Z.; Zhang, Y.; Xu, J.; Ma, Z. Mechanical performance of low-carbon ultra-high performance engineered cementitious composites (UHP-ECC) with high-volume recycled concrete powder. J. Build. Eng. 2024, 88, 109153. [Google Scholar] [CrossRef]
- Ajdukiewicz, A.; Kliszczewicz, A. Influence of recycled aggregates on mechanical properties of HS/HPC. Cem. Concr. Compos. 2002, 24, 269–279. [Google Scholar] [CrossRef]
- Choi, H.B.; Yi, C.K.; Cho, H.H.; Kang, K.I. Experimental study on the shear strength of recycled aggregate concrete beams. Mag. Concr. Res. 2010, 62, 103–114. [Google Scholar] [CrossRef]
- Xie, T.; Gholampour, A.; Ozbakkaloglu, T. Toward the Development of Sustainable Concretes with Recycled Concrete Aggregates: Comprehensive Review of Studies on Mechanical Properties. J. Mater. Civ. Eng. 2018, 30, 04018211. [Google Scholar] [CrossRef]
- Evangelista, L.; Brito, J.D. Mechanical behaviour of concrete made with fine recycled concrete aggregates. Cem. Concr. Compos. 2007, 29, 397–401. [Google Scholar] [CrossRef]
- Niu, H.; Li, B.; Gao, J.; Xie, S. Effect of hybrid fibers on the flexural performance of high-strength recycled aggregate concrete beams. Struct. Concr. 2023, 25, 403–422. [Google Scholar] [CrossRef]
- Tam, V.W.Y.; Gao, X.F.; Tam, C.M. Microstructural analysis of recycled aggregate concrete produced from two-stage mixing approach. Cem. Concr. Res. 2005, 35, 1195–1203. [Google Scholar] [CrossRef]
- Yuan, F.; Li, H.; Li, H. Mechanical behavior of the sustainable square spiral stirrup-confined recycled aggregate concrete filled steel tubular columns under compression. J. Clean. Prod. 2023, 426, 139099. [Google Scholar] [CrossRef]
- Liu, J.; Yang, Q. Experimental study on seismic behavior of recycled aggregate concrete infilled profile steel structures. J. Braz. Soc. Mech. Sci. Eng. 2024, 46, 251. [Google Scholar] [CrossRef]
- Hu, B.; Kundu, T. Seismic Performance of Interior and Exterior Beam-Column Joints in Recycled Aggregate Concrete Frames. J. Struct. Eng. 2019, 145, 04018262. [Google Scholar] [CrossRef]
- Wang, C.; Guo, J.; Li, F.; Zhang, Y.; Ma, Z. Characterization of failure modes and mechanical behavior of micro-fiber-reinforced recycled aggregate concrete under Hopkinson pressure bar and in-situ CT techniques. Constr. Build. Mater. 2025, 458, 139726. [Google Scholar]
- Zhang, J.; Zhang, M.; Liu, X.; Sun, Y. Structural behavior of steel tube reinforced resilient RAC shear walls under static cyclic loading. J. Build. Eng. 2024, 90, 109432. [Google Scholar]
- Zhang, J.; Dong, H.; Cao, W.; Yu, C.; Chi, Y. Shaking Table Tests of Low-Rise Shear Walls Made of Recycled Aggregate Concrete. Struct. Eng. Int. 2016, 26, 62–73. [Google Scholar]
- Marthong, C.; Pyrbot, R.N.; Tron, S.L.; Mawroh, L.I.D.; Choudhury, M.S.A.; Bharti, G.S. Micro-concrete composites for strengthening of RC frame made of recycled aggregate concrete. Comput. Concr. 2018, 22, 461–468. [Google Scholar]
- Elezaby, F.; Damatty, A.E. Ductility-based design approach of tall buildings under wind loads. Wind Struct. 2020, 31, 143–152. [Google Scholar]
- Xue, J.Y.; Yang, Y.; Qi, L.J. Restoring force model of steel-reinforced recycled concrete frames infilled with recycled concrete blocks. J. Build. Eng. 2022, 60, 105173. [Google Scholar]
- Wang, B.; Chen, P.; Zhu, S.; Dai, K. Seismic performance of buildings with novel self-centering base isolation system for earthquake resilience. Earthq. Eng. Struct. Dyn. 2023, 52, 1360–1380. [Google Scholar]
- Wang, C.; Yuan, J.; Lu, B.; Zhang, Y.; Ma, Z. New insights into the mechanical behavior and enhancement mechanism of micro-steel-fiber-reinforced recycled aggregate concrete through in-situ 4D CT analysis. Constr. Build. Mater. 2024, 438, 137111. [Google Scholar]
- Hakuto, S.; Park, R.; Tanaka, H. Seismic load tests on interior and exterior beam-column joints with substandard reinforcing details. ACI Struct. J. 2000, 97, 11–25. [Google Scholar]
- Wang, H.T.; Qi, H.Y.; Chen, L.; Cao, X.Y.; Shi, J. Experimental and model evaluation of cyclic compressive performance for RAC-filled BFRP tube composite columns. Structures 2024, 69, 107601. [Google Scholar] [CrossRef]
- Wu, H.; Zhang, J.; Chen, Y.; Jiang, R.; Zhu, Z.; Li, P. Stress-strain behavior and failure criterion study of polypropylene fiber reinforced recycled aggregate concrete under triaxial stress state. Constr. Build. Mater. 2024, 448, 138185. [Google Scholar] [CrossRef]
- Saingam, P.; Hussain, Q.; Sua-Iam, G.; Nawaz, A.; Ejaz, A. Hemp fiber-reinforced polymers composite jacketing technique for sustainable and environment-friendly concrete. Polymers 2024, 16, 1774. [Google Scholar] [CrossRef] [PubMed]
- Wang, C.; Du, Z. Microscopic interface deterioration mechanism and damage behavior of high-toughness recycled aggregate concrete based on 4D in-situ CT experiments. Cem. Concr. Compos. 2024, 153, 105720. [Google Scholar]
- Wu, H.; Liu, X.; Wang, C.; Zhang, Y.; Ma, Z. Micro-properties and mechanical behavior of high-ductility engineered geopolymer composites (EGC) with recycled concrete and paste powder as green precursor. Cem. Concr. Compos. 2024, 152, 105672. [Google Scholar]
- Wang, C.Q.; Zhang, Z.Y.; Xiu, X.; Zhang, Y.C.; Ma, Z.M. Elucidating the role of recycled concrete aggregate in ductile engineered geopolymer composites: Effects of recycled concrete aggregate content and size. J. Build. Eng. 2024, 95, 110150. [Google Scholar]
- Wang, C.Q.; Yuan, J.Y.; Zhang, Y.C.; Ma, Z.M. A comparative study of low cyclic loading effects on plastic strain, nonlinear damping, and strength softening in fiber-reinforced recycled aggregate concrete. J. Build. Eng. 2024, 97, 110774. [Google Scholar] [CrossRef]
- Rodriguez-Gutierrez, J.A.; Aristizabal-Ochoa, J.D. Bending moment-axial force-curvature interactions for metal beam-column sections. Structures 2017, 10, 139–146. [Google Scholar]
- Valipour, H.; Khorsandnia, N.; Crews, K.; Palermo, A. Numerical modelling of timber/timber-concrete composite frames with ductile jointed connection. Adv. Struct. Eng. 2016, 19, 299–313. [Google Scholar]
- Wang, C.; Yuan, J.; Lu, B.; Zhang, Y.; Ma, Z. Mesoscopic 3D simulation and in-situ 4D CT investigation on the mechanical behaviors of high-toughness recycled aggregate concrete. Constr. Build. Mater. 2024, 442, 137560. [Google Scholar]
- Chen, S.; Wang, C.; Zhang, Y.; Wang, X.; Ma, Z. Exploring seismic resilience in frame structures through advanced numerical modeling and dynamic nonlinear analysis of recycled aggregate concrete. Structures 2024, 63, 106420. [Google Scholar] [CrossRef]
- Scott, B.D.; Park, R.; Priestley, M.J.N. Stress-strain behavior of concrete confined by overlapping hoops at low and high strain rates. ACI J. 1982, 79, 13–27. [Google Scholar]
- Mander, J.B.; Priestley, M.J.N.; Park, R. Theoretical stress-strain model for confined concrete. J. Struct. Eng. ASCE 1988, 114, 1804–1826. [Google Scholar] [CrossRef]
- Wang, C.; Du, Z.; Zhang, Y.; Li, L.; Ma, Z. Meso-structural insights into post-peak behaviors of micro steel fiber-reinforced recycled aggregate concrete using in-situ 4D CT and DVC techniques. J. Build. Eng. 2024, 100, 111674. [Google Scholar] [CrossRef]
- Wang, C.; Xiao, J.; Liu, W.; Ma, Z. Unloading and reloading stress-strain relationship of recycled aggregate concrete reinforced with steel/polypropylene fibers under uniaxial low-cycle loadings. Cem. Concr. Compos. 2022, 131, 104597. [Google Scholar] [CrossRef]
- Saatcioglu, M.; Razvi, S.R. Strength and ductility of Confined Concrete. J. Struct. Eng. 1992, 118, 1590–1607. [Google Scholar] [CrossRef]
- Fu, H.C.; Seckin, M.; Erki, M.A. Review of effects of loading rate on reinforced concrete. J. Struct. Eng. ASCE 1991, 117, 3660–3670. [Google Scholar] [CrossRef]
- Lin, F.; Stangenberg, F.; Gu, X.L. Dynamic constitutive model for confined concrete based on a consideration of loading history. J. Tongji Univ. (Nat. Sci.) 2008, 36, 432–437. [Google Scholar]
- Wang, C.Q.; Xiao, J.Z. Vibration table test of recycled concrete frame structure model. J. Tongji Univ. (Nat. Sci. Ed.) 2012, 40, 52–58. [Google Scholar]
- Hosseinzadehfard, E.; Mobaraki, B. Investigating concrete durability: The impact of natural pozzolan as a partial substitute for microsilica in concrete mixtures. Constr. Build. Mater. 2024, 419, 135491. [Google Scholar] [CrossRef]
- Joyklad, P.; Nawaz, A.; Hussain, Q. Effect of fired clay brick aggregates on mechanical properties of concrete. Suranaree J. Sci. Technol. 2018, 25, 349–362. [Google Scholar]
- Wu, H.; Gao, J.; Liu, C.; Chen, G. Cementitious properties of sustainable alkali-activated materials with ground GGBS-based geopolymer waste powder as recycled precursor. J. Build. Eng. 2024, 88, 109210. [Google Scholar] [CrossRef]
- Wang, C.; Liu, J.; Lu, B.; Zhang, Y.; Ma, Z. Stiffness degradation and mechanical behavior of microfiber-modified high-toughness recycled aggregate concrete under constant load cycling. Eng. Fract. Mech. 2024, 312, 110608. [Google Scholar] [CrossRef]
- Wu, H.; Gao, J.; Liu, C.; Luo, X.; Chen, G. Combine use of 100% thermoactivated recycled cement and recycled aggregate for fully recycled mortar: Properties evaluation and modification. J. Clean. Prod. 2024, 450, 141841. [Google Scholar] [CrossRef]
- Liu, M.; Hu, R.; Zhang, Y.; Wang, C.; Ma, Z. Effect of ground concrete waste as green binder on the micro-macro properties of eco-friendly metakaolin-based geopolymer mortar. J. Build. Eng. 2023, 68, 106191. [Google Scholar] [CrossRef]
- Wu, H.; Gao, J.; Liu, C.; Guo, Z.; Luo, X. Reusing waste clay brick powder for low-carbon cement concrete and alkali-activated concrete: A critical review. J. Clean. Prod. 2024, 449, 141755. [Google Scholar] [CrossRef]
- Zhou, S.Q.; Diao, H.F.; Wang, J.H.; Jia, W.Y.; Xu, H.W.; Xu, X.D.; Wang, M.; Sun, C.H.; Qiao, R.L.; Wu, Z.Q. Multi-stage optimization framework for synergetic grey-green infrastructure in response to long-term climate variability based on shared socio-economic pathways. Water. Res. 2025, 274, 123091. [Google Scholar] [CrossRef]
- Mushtaq, S.F.; Ali, A.; Khushnood, R.A.; Tufail, R.F.; Majdi, A.; Nawaz, A.; Durdyev, S.; Nergis, D.D.B.; Ahmad, J. Effect of bentonite as partial replacement of cement on residual properties of concrete exposed to elevated temperatures. Sustainability 2022, 14, 11580. [Google Scholar] [CrossRef]










| Floor No. | Cover Concrete | Confine Concrete | Elastic Modulus | ||||||
|---|---|---|---|---|---|---|---|---|---|
| (MPa) | (10−3) | (MPa) | (10−3) | (MPa) | (10−3) | (MPa) | (10−3) | (GPa) | |
| 1F | 35 | 2.65 | 0.00 | 4.70 | 39.57 | 3.10 | 7.93 | 38.50 | 24.45 |
| 2F | 42 | 3.08 | 0.00 | 4.64 | 46.60 | 3.40 | 9.33 | 38.48 | 26.20 |
| 3F | 35 | 2.84 | 0.00 | 4.73 | 40.20 | 3.18 | 8.08 | 38.51 | 24.30 |
| 4F | 31 | 2.61 | 0.00 | 4.83 | 36.10 | 2.97 | 7.30 | 38.57 | 23.34 |
| 5F | 27. | 2.53 | 0.00 | 5.16 | 32.14 | 2.91 | 6.50 | 38.90 | 21.20 |
| 6F | 35 | 2.95 | 0.00 | 4.88 | 40.06 | 3.30 | 8.20 | 38.72 | 23.24 |
| Floor No. | Cover Concrete | Confine Concrete | Elastic Modulus | ||||||
|---|---|---|---|---|---|---|---|---|---|
| (MPa) | (10−3) | (MPa) | (10−3) | (MPa) | (10−3) | (MPa) | (10−3) | (GPa) | |
| 1F | 35.40 | 2.83 | 0.00 | 4.70 | 38.50 | 3.04 | 7.80 | 30.01 | 24.45 |
| 2F | 42.41 | 3.10 | 0.00 | 4.71 | 45.49 | 3.41 | 9.20 | 29.80 | 26.26 |
| 3F | 35.85 | 2.92 | 0.00 | 4.69 | 39.21 | 3.10 | 7.62 | 30.12 | 24.21 |
| 4F | 31.79 | 2.71 | 0.00 | 4.79 | 35.12 | 2.90 | 7.10 | 30.21 | 23.16 |
| 5F | 27.76 | 2.60 | 0.00 | 5.21 | 31.13 | 2.81 | 6.30 | 30.51 | 21.23 |
| 6F | 35.82 | 3.00 | 0.00 | 4.90 | 39.00 | 3.51 | 7.91 | 30.23 | 23.42 |
| Floor No. | Cover Concrete | Confine Concrete | Elastic Modulus | ||||||
|---|---|---|---|---|---|---|---|---|---|
| (MPa) | (10−3) | (MPa) | (10−3) | (MPa) | (10−3) | (MPa) | (10−3) | (GPa) | |
| 1F | 35.13 | 2.46 | 0.00 | 4.70 | 38.10 | 3.00 | 7.41 | 20.56 | 24.82 |
| 2F | 42.63 | 3.12 | 0.00 | 4.70 | 45.18 | 3.13 | 9.12 | 20.54 | 26.12 |
| 3F | 35.64 | 2.78 | 0.00 | 4.69 | 38.75 | 3.24 | 7.46 | 20.82 | 24.54 |
| 4F | 31.86 | 2.59 | 0.00 | 4.79 | 34.60 | 2.79 | 6.89 | 20.87 | 23.30 |
| 5F | 27.89 | 2.49 | 0.00 | 5.09 | 30.59 | 2.69 | 6.08 | 21.10 | 21.20 |
| 6F | 35.82 | 3.00 | 0.00 | 4.90 | 38.49 | 3.09 | 7.89 | 20.80 | 23.24 |
| Floor No. | Cover Concrete | Confine Concrete | Elastic Modulus | ||||||
|---|---|---|---|---|---|---|---|---|---|
| (MPa) | (10−3) | (MPa) | (10−3) | (MPa) | (10−3) | (MPa) | (10−3) | (GPa) | |
| 1F | 35.12 | 2.56 | 0.00 | 4.70 | 39.00 | 3.12 | 7.85 | 22.54 | 24.45 |
| 2F | 42.32 | 3.10 | 0.00 | 4.37 | 46.24 | 3.54 | 9.15 | 22.57 | 26.24 |
| 3F | 35.70 | 2.58 | 0.00 | 4.29 | 39.56 | 3.14 | 7.30 | 22.56 | 24.31 |
| 4F | 31.69 | 2.71 | 0.00 | 4.20 | 35.61 | 2.85 | 7.24 | 22.54 | 23.36 |
| 5F | 27.95 | 2.64 | 0.00 | 5.45 | 31.58 | 2.92 | 6.54 | 23.24 | 21.31 |
| 6F | 35.27 | 2.89 | 0.00 | 4.59 | 39.64 | 3.34 | 7.54 | 22.51 | 23.54 |
| Floor No. | (MPa) | (MPa) | (10−5) | (GPa) |
|---|---|---|---|---|
| 1F | 38.40 | 2.16 | 8.51 | 2.51 |
| 2F | 45.00 | 2.34 | 8.61 | 2.73 |
| 3F | 37.54 | 2.15 | 8.43 | 2.51 |
| 4F | 33.86 | 1.94 | 8.34 | 2.26 |
| 5F | 33.81 | 1.91 | 8.54 | 2.24 |
| 6F | 39.21 | 2.12 | 9.01 | 2.52 |
| Test Units | Yield Moment | Yield Curvature | Max Moment | Max Curvature | Ultimate Moment | Ultimate Curvature | Max Moment Ductility Factor | Ultimate Moment Ductility Factor |
|---|---|---|---|---|---|---|---|---|
| Corner column | 4840.26 | 0.034 | 5310.00 | 0.078 | 4513.50 | 0.188 | 2.316 | 5.552 |
| Edge and middle column | 4563.63 | 0.033 | 5046.00 | 0.079 | 4289.10 | 0.199 | 2.359 | 5.961 |
| Beam KL1 | 4473.10 | 0.028 | 5263.00 | 0.065 | 4473.55 | 0.229 | 2.306 | 8.126 |
| Beam KL2 | 3050.83 | 0.032 | 3552.00 | 0.079 | 3019.20 | 0.185 | 2.439 | 5.715 |
| Test Units | Yield Moment | Yield Curvature | Max Moment | Max Curvature | Ultimate Moment
| Ultimate Curvature | Max Moment Ductility Factor | Ultimate Moment Ductility Factor |
|---|---|---|---|---|---|---|---|---|
| Corner column | 5572.21 | 0.036 | 6108.00 | 0.065 | 5191.80 | 0.186 | 1.813 | 5.179 |
| Edge and middle column | 5351.21 | 0.036 | 5865.00 | 0.079 | 4985.25 | 0.202 | 2.214 | 5.689 |
| Beam KL1 | 5481.04 | 0.032 | 6142.00 | 0.079 | 5220.70 | 0.207 | 2.456 | 6.431 |
| Beam KL2 | 3691.47 | 0.035 | 4076.00 | 0.079 | 3464.60 | 0.190 | 2.240 | 5.384 |
| Test Units | Yield Moment | Yield Curvature | Max Moment | Max Curvature | Ultimate Moment | Ultimate Curvature | Max Moment Ductility Factor | Ultimate Moment Ductility Factor |
|---|---|---|---|---|---|---|---|---|
| Corner column | 4788.30 | 0.035 | 5446.00 | 0.079 | 4629.10 | 0.234 | 2.291 | 6.819 |
| Edge and middle column | 4563.63 | 0.033 | 5046.00 | 0.079 | 4289.10 | 0.199 | 2.359 | 5.961 |
| Beam KL1 | 4473.10 | 0.282 | 5263.00 | 0.065 | 4473.55 | 0.229 | 2.306 | 8.126 |
| Beam KL2 | 3097.96 | 0.324 | 3639.00 | 0.065 | 3093.15 | 0.293 | 2.008 | 9.034 |
| Test Units | Yield Moment | Yield Curvature | Max Moment | Max Curvature | Ultimate Moment | Ultimate Curvature | Max Moment Ductility Factor | Ultimate Moment Ductility Factor |
|---|---|---|---|---|---|---|---|---|
| Corner column | 5590.25 | 0.037 | 6278.00 | 0.079 | 5336.30 | 0.248 | 2.152 | 6.778 |
| Edge and middle column | 5350.48 | 0.357 | 5897.00 | 0.079 | 5012.45 | 0.214 | 2.206 | 6.004 |
| Beam KL1 | 5357.33 | 0.031 | 6093.00 | 0.065 | 5179.05 | 0.272 | 2.085 | 8.722 |
| Beam KL2 | 3616.56 | 0.035 | 4160.00 | 0.065 | 3536.00 | 0.345 | 1.848 | 9.785 |
Disclaimer/Publisher’s Note: The statements, opinions and data contained in all publications are solely those of the individual author(s) and contributor(s) and not of MDPI and/or the editor(s). MDPI and/or the editor(s) disclaim responsibility for any injury to people or property resulting from any ideas, methods, instructions or products referred to in the content. |
© 2025 by the authors. Licensee MDPI, Basel, Switzerland. This article is an open access article distributed under the terms and conditions of the Creative Commons Attribution (CC BY) license (https://creativecommons.org/licenses/by/4.0/).
Share and Cite
Qi, C.; Wang, C.; Ma, Z. Nonlinear Analysis and Optimization of Recycled Aggregate Concrete Cross-Sections Based on Restoring Force Models. Buildings 2025, 15, 173. https://doi.org/10.3390/buildings15020173
Qi C, Wang C, Ma Z. Nonlinear Analysis and Optimization of Recycled Aggregate Concrete Cross-Sections Based on Restoring Force Models. Buildings. 2025; 15(2):173. https://doi.org/10.3390/buildings15020173
Chicago/Turabian StyleQi, Chaolong, Changqing Wang, and Zhiming Ma. 2025. "Nonlinear Analysis and Optimization of Recycled Aggregate Concrete Cross-Sections Based on Restoring Force Models" Buildings 15, no. 2: 173. https://doi.org/10.3390/buildings15020173
APA StyleQi, C., Wang, C., & Ma, Z. (2025). Nonlinear Analysis and Optimization of Recycled Aggregate Concrete Cross-Sections Based on Restoring Force Models. Buildings, 15(2), 173. https://doi.org/10.3390/buildings15020173

