Effect of Dynamic Window Opening Behaviors on Indoor Thermal Environment and Energy Consumption in Residential Buildings of Different Chinese Thermal Climate Zones
Abstract
1. Introduction
2. Methodology
2.1. Simulation Software
2.2. Simulation Method
2.2.1. Natural Ventilation Simulation
2.2.2. Building Energy Simulation
2.3. Building Model and Simulation Condition
2.3.1. Building Model
2.3.2. Simulation Condition
2.4. Window Opening Model
3. Result and Discussion
3.1. Thermal Environment
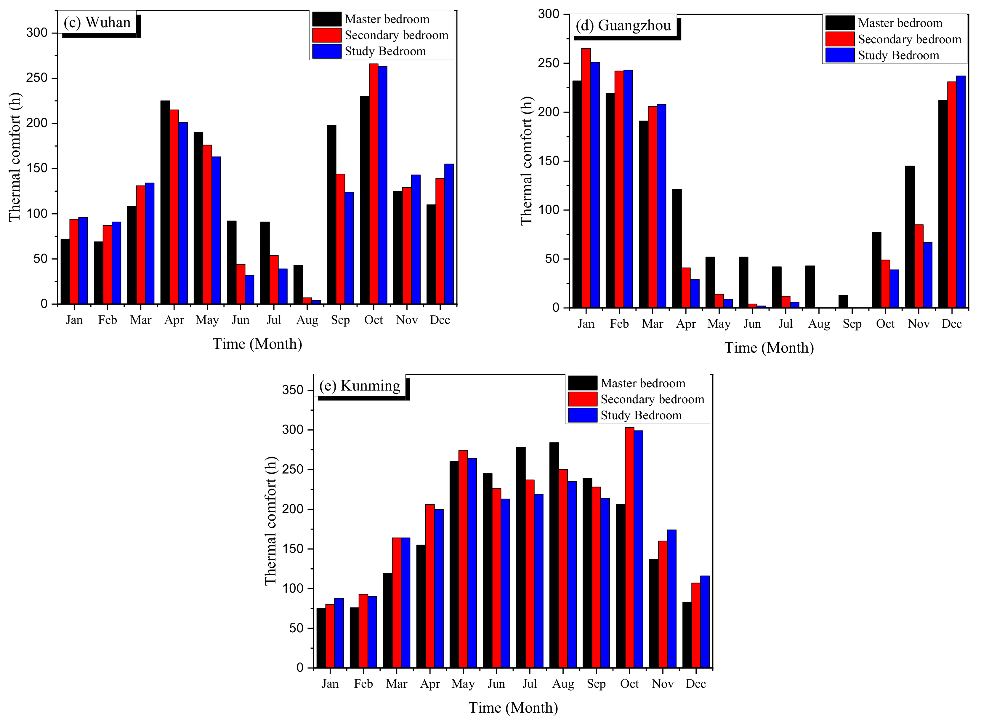
3.1.1. Monthly Thermal Comfort Analysis
3.1.2. Annual Thermal Comfort Analysis
3.2. HVAC Energy Consumption
3.2.1. Cooling Energy
3.2.2. Heating Energy
3.2.3. HVAC Energy
3.3. Discussion
4. Conclusions
- (1)
- In terms of thermal comfort in naturally ventilated rooms, the case with WOM-3 provided the most hours of thermal comfort for Shenyang, Wuhan and Guangzhou, with thermal comfort hours of 2076, 2244 and 3941, while the optimal window model for Beijing and Kunming was WOM-6.
- (2)
- Regarding energy consumption, based on the consideration of minimum cooling energy, the optimal window opening model was WOM-3 for Shenyang, Beijing, Wuhan and Guangzhou and WOM-2 for Kunming, with minimum cooling energies of 456.45 kWh, 900.4 kWh, 1180.69 kWh, 1474.0 kWh and 19.82 kWh, respectively. In relation to minimum heating energy, the optimal window opening model was WOM-3, WOM-4 and WOM-6 for Shenyang, Beijing, Guangzhou and Kunming, with minimum heating energies of 991.32 kWh, 618.85 kWh, 24.30 kWh and 181.84 kWh, and WOM-3 and WOM-4 for Wuhan, with a minimum heating energy of 24.30 kWh. When the total HVAC energy consumption was taken into consideration, the optimal window opening model based on the minimum HVAC energy consumption was WOM-3 for Shenyang, Beijing, Wuhan, Guangzhou and Kunming, with a minimum HVAC energy use of 1447.98 kWh, 1519.55 kWh, 1528.06 kWh, 1498.30 kWh and 205.11 kWh.
- (3)
- Based on the highest thermal comfort and lowest HVAC energy consumption, the simulation result indicated that for cities such as Shenyang, Beijing, Wuhan and Guangzhou, WOM-3 was the best. However, the optimal window opening model for Kunming was WOM-6.
Author Contributions
Funding
Data Availability Statement
Acknowledgments
Conflicts of Interest
Nomenclature
| Tin | indoor air temperature | Tout | outdoor air temperature |
| AFN | air flow network | HVAC | heating, ventilation and air conditioning |
| U | thermal conduction value | ||
| SHGC | Solar Heat Gain Coefficient | WOM | window opening model |
| THR | thermal comfort hour to HVAC energy consumption ratio |
References
- Rijal, H.B.; Tuohy, P.; Humphreys, M.A.; Nicol, J.F.; Samuel, A.; Clarke, J. Using results from field surveys to predict the effect of open windows on thermal comfort and energy use in buildings. Energy Build. 2007, 39, 823–836. [Google Scholar] [CrossRef]
- Hou, J.; Liu, Z.-A.; Zhang, L. Influence and sensitivity evaluation of window thermal parameters variations on economic benefits of insulation materials for building exterior walls–a case study for traditional dwelling in China. Therm. Sci. Eng. Prog. 2023, 46, 102207. [Google Scholar] [CrossRef]
- Xue, P.; Li, Q.; Xie, J.; Zhao, M.; Liu, J. Optimization of window-to-wall ratio with sunshades in China low latitude region considering daylighting and energy saving requirements. Appl. Energy 2019, 233–234, 62–70. [Google Scholar] [CrossRef]
- Vanhoutteghem, L.; Skarning, G.C.J.; Hviid, C.A.; Svendsen, S. Impact of façade window design on energy, daylighting and thermal comfort in nearly zero-energy houses. Energy Build. 2015, 102, 149–156. [Google Scholar] [CrossRef]
- Su, X.; Zhang, X. Environmental performance optimization of window–wall ratio for different window type in hot summer and cold winter zone in China based on life cycle assessment. Energy Build. 2010, 42, 198–202. [Google Scholar] [CrossRef]
- Rijal, H.B. Investigation of Comfort Temperature and Occupant Behavior in Japanese Houses during the Hot and Humid Season. Buildings 2014, 4, 437–452. [Google Scholar] [CrossRef]
- Yao, M.; Zhao, B. Window opening behavior of occupants in residential buildings in Beijing. Build. Environ. 2017, 124, 441–449. [Google Scholar] [CrossRef]
- Jian, Y.; Guo, Y.; Liu, J.; Bai, Z.; Li, Q. Case study of window opening behavior using field measurement results. Build. Simul. 2011, 4, 107–116. [Google Scholar] [CrossRef]
- Lai, D.; Jia, S.; Qi, Y.; Liu, J. Window-opening behavior in Chinese residential buildings across different climate zones. Build. Environ. 2018, 142, 234–243. [Google Scholar] [CrossRef]
- Faheem, M.; Bhandari, N.; Tadepalli, S.; Abinaya, J. Investigation on window opening behavior in naturally ventilated hostels of warm and humid climate. Energy Build. 2022, 268, 112184. [Google Scholar] [CrossRef]
- Du, C.; Yu, W.; Ma, Y.; Cai, Q.; Li, B.; Li, N.; Wang, W.; Yao, R. A holistic investigation into the seasonal and temporal variations of window opening behavior in residential buildings in Chongqing, China. Energy Build. 2021, 231, 110522. [Google Scholar] [CrossRef]
- Chen, W.; Ding, Y.; Bai, L.; Sun, Y. Research on occupants’ window opening behavior in residential buildings based on the survival model. Sustain. Cities Soc. 2020, 60, 102217. [Google Scholar] [CrossRef]
- Cao, Y.; Pan, S.; Liu, Y.; Yu, H.; Wang, X.; Chang, L.; Ni, M.; Liu, H. The window opening behavior of infant families: A case study during transition season in the cold region of China. Energy Build. 2022, 254, 111588. [Google Scholar] [CrossRef]
- Verbruggen, S.; Delghust, M.; Laverge, J.; Janssens, A. Habitual window opening behaviour in residential buildings. Energy Build. 2021, 252, 111454. [Google Scholar] [CrossRef]
- Gu, Y.; Cui, T.; Liu, K.; Yang, F.; Wang, S.; Song, H.; Qi, Q.; Meng, Q.; Li, Y. Study on influencing factors for occupant window-opening behavior: Case study of an office building in Xi’an during the transition season. Build. Environ. 2021, 200, 107977. [Google Scholar] [CrossRef]
- Pan, S.; Xiong, Y.; Han, Y.; Zhang, X.; Xia, L.; Wei, S.; Wu, J.; Han, M. A study on influential factors of occupant window-opening behavior in an office building in China. Build. Environ. 2018, 133, 41–50. [Google Scholar] [CrossRef]
- Liu, Y.; Chong, W.T.; Yau, Y.H.; Wu, J.; Chang, Y.; Cui, T.; Chang, L.; Pan, S. A hybrid learning approach to model the diversity of window-opening behavior. Build. Environ. 2024, 257, 111525. [Google Scholar] [CrossRef]
- Cavalerie, A.; Gosselin, L. Analysis of window opening in arctic community housing and development of data-driven models. Build. Environ. 2024, 258, 111582. [Google Scholar] [CrossRef]
- Zhou, P.; Wang, H.; Li, F.; Dai, Y.; Huang, C. Development of window opening models for residential building in hot summer and cold winter climate zone of China. Energy Built Environ. 2022, 3, 363–372. [Google Scholar] [CrossRef]
- Firląg, S.; Yazdanian, M.; Curcija, C.; Kohler, C.; Vidanovic, S.; Hart, R.; Czarnecki, S. Control algorithms for dynamic windows for residential buildings. Energy Build. 2015, 109, 157–173. [Google Scholar] [CrossRef]
- Chen, S.; Zhang, G.; Xia, X.; Chen, Y.; Setunge, S.; Shi, L. The impacts of occupant behavior on building energy consumption: A review. Sustain. Energy Technol. Assess. 2021, 45, 101212. [Google Scholar] [CrossRef]
- El Khattabi, S.; Fraisse, G.; Leconte, A.; Rouchier, S. Impact of occupant behavior on optimal multi-objective solutions for the design of low-energy buildings. Energy Build. 2024, 317, 114371. [Google Scholar] [CrossRef]
- Ahn, K.-U.; Park, C.-S. Correlation between occupants and energy consumption. Energy Build. 2016, 116, 420–433. [Google Scholar] [CrossRef]
- Sorgato, M.J.; Melo, A.P.; Lamberts, R. The effect of window opening ventilation control on residential building energy consumption. Energy Build. 2016, 133, 1–13. [Google Scholar] [CrossRef]
- Rijal, H.B.; Humphreys, M.A.; Nicol, J.F. Development of a window opening algorithm based on adaptive thermal comfort to predict occupant behavior in Japanese dwellings. Jpn. Archit. Rev. 2018, 1, 310–321. [Google Scholar] [CrossRef]
- Dai, X.; Liu, J.; Zhang, X. A review of studies applying machine learning models to predict occupancy and window-opening behaviours in smart buildings. Energy Build. 2020, 223, 110159. [Google Scholar] [CrossRef]
- Markovic, R.; Grintal, E.; Wölki, D.; Frisch, J.; van Treeck, C. Window opening model using deep learning methods. Build. Environ. 2018, 145, 319–329. [Google Scholar] [CrossRef]
- de Rautlin de la Roy, E.; Recht, T.; Zemmari, A.; Bourreau, P.; Mora, L. Deep learning models for building window-openings detection in heating season. Build. Environ. 2023, 231, 110019. [Google Scholar] [CrossRef]
- Nguyen, T.H.; Ionescu, A.; Géhin, E.; Ramalho, O. Predicting the opening state of a group of windows in an open-plan office by using machine learning models. Build. Environ. 2022, 225, 109636. [Google Scholar] [CrossRef]
- Negendahl, K. Building performance simulation in the early design stage: An introduction to integrated dynamic models. Autom. Constr. 2015, 54, 39–53. [Google Scholar] [CrossRef]
- Fang, Y. Optimization of Daylighting and Energy Performance Using Parametric Design, Simulation Modeling, and Genetic Algorithms. Ph.D. Thesis, North Carolina State University, Raleigh, NC, USA, 2017. [Google Scholar]
- Konis, K.; Gamas, A.; Kensek, K. Passive performance and building form: An optimization framework for early-stage design support. Sol. Energy 2016, 125, 161–179. [Google Scholar] [CrossRef]
- Salamone, F.; Belussi, L.; Danza, L.; Galanos, T.; Ghellere, M.; Meroni, I. Design and Development of a Nearable Wireless System to Control Indoor Air Quality and Indoor Lighting Quality. Sensors 2017, 17, 1021. [Google Scholar] [CrossRef] [PubMed]
- Hoda, B.G.; Dennis, M.U.; David, E.B. Create and Validate Hybrid Ventilation Components in Simulation Using Grasshopper and Python in Rhinoceros. In Proceedings of the Building Simulation 2019: 16th Conference of IBPSA, Rome, Italy, 2–4 September 2019; pp. 4345–4352. [Google Scholar]
- Walton, G. AIRNET—A Computer Program for Building Airflow Network Modeling; NIST: Gaithersburg, MD, USA, 1989. [Google Scholar]
- Gu, L. Airflow Network Modeling in Energyplus. IBPSA 2007—International Building Performance Simulation Association. 2007. Available online: https://www.researchgate.net/publication/252575304_Airflow_network_modeling_in_energyplus (accessed on 15 November 2024).
- Knoll, B.; Phaff, J.; De Gids, W. Pressure Coefficient Simulation Program. 1996. Available online: https://www.researchgate.net/publication/284209725_Pressure_coefficient_simulation_program (accessed on 15 November 2024).

























| Authors | Location and Building Type | Research Method | Target and Finds |
|---|---|---|---|
| Rijal [1] | Japan, Residential building | Investigation; simulation | Explore window opening behavior’s effect on thermal comfort and energy consumption |
| Yao [7]; Jian [8]; Lai [9] | China, Residential building | Investigation; field measurement |
|
| Chen [12]; Zhou [19] | China, Residential building | Field measurement; data analysis |
|
| Firlag [20]; Sorgato [24] | Brazil, Residential building; America, Residential building | Building performance simulation | Explore the thermal comfort and energy consumption based on different window opening algorithms, climate zones, and window configurations |
| Markovic [27]; Roy [28] | France, Residential building; Germany, Office building | Deep learning | Develop window opening model |
| City | Shenyang | Beijing | Wuhan | Guangzhou | Kunming |
|---|---|---|---|---|---|
| Thermal Climate Zone | Severe cold zone | Cold zone | Hot summer and cold winter zone | Hot summer and warm winter zone | Temperate |
| City | Shenyang | Beijing | Wuhan | Guangzhou | Kunming | |
|---|---|---|---|---|---|---|
| Surface Thermal Parameters | ||||||
| outer wall | U value (W/m2·K) | 0.4 | 0.45 | 0.6 | 0.7 | 0.6 |
| outer window | U value (W/m2·K) | 1.8 | 2.0 | 2.5 | 3.5 | 2.5 |
| SHGC | 0.6 | 0.6 | 0.4 | 0.3 | 0.5 |
| Window Opening Model | Ventilation for the Uppermost Outdoor Air Temperature (Tuout/℃) | Ventilation for the Lowest Outdoor Air Temperature (Tlout/℃) | Ventilation for the Uppermost Indoor Air Temperature (Tuin/℃) | Ventilation for the Lowest Indoor Air Temperature (Tlin/℃) | Window Opening Control Algorithm |
|---|---|---|---|---|---|
| WOM-1 | - | Always on | |||
| WOM-2 | - | Always off | |||
| WOM 3 | - | - | 15 | 28 | 15 ≤ Tout ≤ 28 |
| WOM-4 | 15 | 28 | 15 | 28 | 15 ≤ Tout ≤ Tin ≤ 28 |
| WOM-5 | - | - | - | - | Occupant window opening schedules displayed in Figure 5 |
| WOM-6 | 15 | 28 | - | - | Coupled 15 ≤ Tout ≤ 28 and the occupant window opening schedules |
| Month | Jan | Feb | Mar | Apr | May | Jun | Jul | Aug | Sep | Oct | Nov | Dec | |
|---|---|---|---|---|---|---|---|---|---|---|---|---|---|
| City | |||||||||||||
| Shenyang | WOM-1 WOM-3 WOM-4 WOM-5 WOM-6 | WOM-1 WOM-3 WOM-4 WOM-5 WOM-6 | WOM-1 WOM-3 WOM-4 WOM-5 WOM-6 | WOM-3 | WOM-3 | WOM-5 WOM-6 | WOM-2 WOM-3 | WOM-3 WOM-6 | WOM-3 | WOM-3 | WOM-1 WOM-3 WOM-4 WOM-5 WOM-6 | WOM-1 WOM-3 WOM-4 WOM-5 WOM-6 | |
| Beijing | WOM-3 WOM-4 WOM-6 | WOM-3 WOM-4 WOM-6 | WOM-3 | WOM-3 | WOM-6 | WOM-2 WOM-3 | WOM-2 WOM-3 | WOM-2 WOM-3 WOM-5 WOM-6 | WOM-6 | WOM-6 | WOM-3 | WOM-1 WOM-3 WOM-4 WOM-5 WOM-6 | |
| Wuhan | WOM-3 | WOM-3 | WOM-3 | WOM-6 | WOM-2 WOM-3 | WOM-2 WOM-3 | WOM-2 | WOM-2 | WOM-2 WOM-3 WOM-5 WOM-6 | WOM-6 | WOM-3 | WOM-1 WOM-3 WOM-4 WOM-6 | |
| Guangzhou | WOM-1 WOM-3 WOM-4 WOM-6 | WOM-2 WOM-3 WOM-6 | WOM-3 | WOM-2 WOM-3 | WOM-2 WOM-3 | WOM-2 WOM-3 | WOM-2 | WOM-2 WOM-3 | WOM-2 WOM-3 | WOM-2 WOM-3 WOM-5 WOM-6 | WOM-3 | WOM-6 | |
| Kunming | WOM-3 | WOM-3 WOM-5 WOM-6 | WOM-6 | WOM-6 | WOM-5 WOM-6 | WOM-5 WOM-6 | WOM-5 WOM-6 | WOM-5 WOM-6 | WOM-6 | WOM-6 | WOM-6 | WOM-3 WOM-6 | |
| Month | Jan | Feb | Mar | Apr | May | Jun | Jul | Aug | Sep | Oct | Nov | Dec | |
|---|---|---|---|---|---|---|---|---|---|---|---|---|---|
| City | |||||||||||||
| Shenyang | WOM-1 WOM-3 WOM-4 WOM-6 | WOM-1 WOM-3 WOM-4 WOM-6 | WOM-1 WOM-3 WOM-4 WOM-6 | WOM-1 WOM-3 WOM-4 WOM-6 | WOM-3 WOM-4 | WOM-3 WOM-4 | WOM-3 WOM-6 | WOM-3 WOM-6 | WOM-3 | WOM-3 | WOM-1 WOM-3 WOM-4 WOM-6 | WOM-1 WOM-3 WOM-4 WOM-6 | |
| Beijing | WOM-1 WOM-3 WOM-4 WOM-6 | WOM-1 WOM-3 WOM-4 WOM-6 | WOM-1 WOM-3 WOM-4 WOM-6 | WOM-3 WOM-4 WOM-6 | WOM-3 WOM-4 WOM-6 | WOM-3 WOM-4 | WOM-3 | WOM-3 | WOM-3 WOM-6 | WOM-3 WOM-4 WOM-6 | WOM-1 WOM-3 WOM-4 WOM-6 WOM-6 | WOM-1 WOM-3 WOM-4 WOM-6 WOM-6 | |
| Wuhan | WOM-1 WOM-3 WOM-4 WOM-6 | WOM-1 WOM-3 WOM-4 WOM-6 | WOM-1 WOM-3 WOM-4 WOM-6 | WOM-1 WOM-3 WOM-4 WOM-6 | WOM-3 WOM-4 WOM-6 | WOM-3 WOM-6 | WOM-1 WOM-3 WOM-4 WOM-6 | WOM-3 WOM-4 WOM-6 | WOM-3 WOM-4 WOM-6 | WOM-3 WOM-4 WOM-5 WOM-6 | WOM-1 WOM-3 WOM-4 WOM-6 | WOM-1 WOM-3 WOM-4 WOM-6 | |
| Guangzhou | WOM-3 WOM-4 WOM-6 | WOM-3 WOM-4 WOM-6 | WOM-3 WOM-4 WOM-6 | WOM-3 WOM-4 WOM-5 WOM-6 | WOM-3 WOM-4 WOM-6 | WOM-3 WOM-4 WOM-6 | WOM-3 WOM-6 | WOM-3 WOM-6 | WOM-3 WOM-4 WOM-6 | WOM-3 WOM-6 | WOM-3 WOM-4 WOM-5 WOM-6 | WOM-3 WOM-4 WOM-5 WOM-6 | |
| Kunming | WOM-3 WOM-4 WOM-6 | WOM-3 WOM-6 | WOM-3 WOM-6 | WOM-3 | WOM-3 | WOM-3 | WOM-3 | WOM-3 | WOM-3 | WOM-3 WOM-6 | WOM-3 WOM-4 WOM-6 | WOM-3 WOM-4 WOM-6 | |
| Month | Jan | Feb | Mar | Apr | May | Jun | Jul | Aug | Sep | Oct | Nov | Dec | |
|---|---|---|---|---|---|---|---|---|---|---|---|---|---|
| City | |||||||||||||
| Shenyang | WOM-3 WOM-4 WOM-6 | WOM-3 WOM-4 WOM-6 | WOM-3 | WOM-3 | WOM-3 | WOM-3 WOM-6 | WOM-3 | WOM-3 WOM-6 | WOM-3 | WOM-3 | WOM-3 | WOM-3 | |
| Beijing | WOM-1 WOM-3 WOM-4 WOM-6 | WOM-1 WOM-3 WOM-4 WOM-6 | WOM-3 | WOM-3 | WOM-3 | WOM-3 | WOM-3 | WOM-3 | WOM-6 | WOM-6 | WOM-3 | WOM-1 WOM-3 WOM-4 | |
| Wuhan | WOM-3 | WOM-3 | WOM-3 | WOM-3 | WOM-3 | WOM-3 | WOM-3 | WOM-3 | WOM-3 | WOM-6 | WOM-3 | WOM-1 WOM-3 WOM-4 WOM-6 | |
| Guangzhou | WOM-3 | WOM-3 WOM-4 | WOM-3 | WOM-3 | WOM-3 | WOM-3 | WOM-3 | WOM-3 | WOM-3 | WOM-3 | WOM-3 | WOM-6 | |
| Kunming | WOM-3 | WOM-3 WOM-6 | WOM-3 WOM-6 | WOM-3 | WOM-3 | WOM-3 | WOM-3 | WOM-2 WOM-3 WOM-5 WOM-6 | WOM-3 | WOM-6 | WOM-6 | WOM-3 WOM-6 | |
Disclaimer/Publisher’s Note: The statements, opinions and data contained in all publications are solely those of the individual author(s) and contributor(s) and not of MDPI and/or the editor(s). MDPI and/or the editor(s) disclaim responsibility for any injury to people or property resulting from any ideas, methods, instructions or products referred to in the content. |
© 2024 by the authors. Licensee MDPI, Basel, Switzerland. This article is an open access article distributed under the terms and conditions of the Creative Commons Attribution (CC BY) license (https://creativecommons.org/licenses/by/4.0/).
Share and Cite
Guo, F.; Chen, Z.; Wang, J. Effect of Dynamic Window Opening Behaviors on Indoor Thermal Environment and Energy Consumption in Residential Buildings of Different Chinese Thermal Climate Zones. Buildings 2025, 15, 28. https://doi.org/10.3390/buildings15010028
Guo F, Chen Z, Wang J. Effect of Dynamic Window Opening Behaviors on Indoor Thermal Environment and Energy Consumption in Residential Buildings of Different Chinese Thermal Climate Zones. Buildings. 2025; 15(1):28. https://doi.org/10.3390/buildings15010028
Chicago/Turabian StyleGuo, Fangpeng, Zhenqian Chen, and Jun Wang. 2025. "Effect of Dynamic Window Opening Behaviors on Indoor Thermal Environment and Energy Consumption in Residential Buildings of Different Chinese Thermal Climate Zones" Buildings 15, no. 1: 28. https://doi.org/10.3390/buildings15010028
APA StyleGuo, F., Chen, Z., & Wang, J. (2025). Effect of Dynamic Window Opening Behaviors on Indoor Thermal Environment and Energy Consumption in Residential Buildings of Different Chinese Thermal Climate Zones. Buildings, 15(1), 28. https://doi.org/10.3390/buildings15010028

