Study of the Rheological Properties of Rubberized Asphalt Mortar: Mechanisms of Action of Rubber Powder and Filler–Binder Ratio
Abstract
1. Introduction
2. Materials and Methods
2.1. Materials
2.1.1. Asphalt
2.1.2. Rubber Powder
2.1.3. Mineral Fines
2.2. Test Scheme
2.2.1. Preparation of Rubber Asphalt Mortar
2.2.2. High-Temperature Rheological Properties Test on the Rubber Asphalt Mortar
2.2.3. Low-Temperature Rheological Properties Test on the Rubber Asphalt Mortar
2.2.4. Multivariate Regression Analysis
3. Results and Discussion
3.1. Study of the Viscosity Characteristics of Rubber Asphalt Mortar
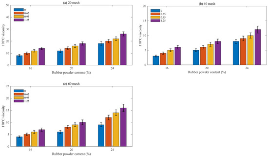
3.1.1. Effect of the Rubber Powder Content on the Viscosity of Mortar
3.1.2. Effect of the Test Temperature on the Viscosity of Mortar
3.2. Study of the Rheological Properties of the Rubber Asphalt Mortar
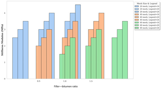
3.2.1. Effect of the Rubber Powder Content on the High-Temperature Performance of Mortar
3.2.2. Effect of the Powder–Binder Ratio on the Viscosity of Mortar
3.2.3. Effect of the Test Conditions on the High-Temperature Performance of Asphalt Mastics
3.2.4. Effect of the Test Conditions on the High-Temperature Performance of Asphalt Mortar
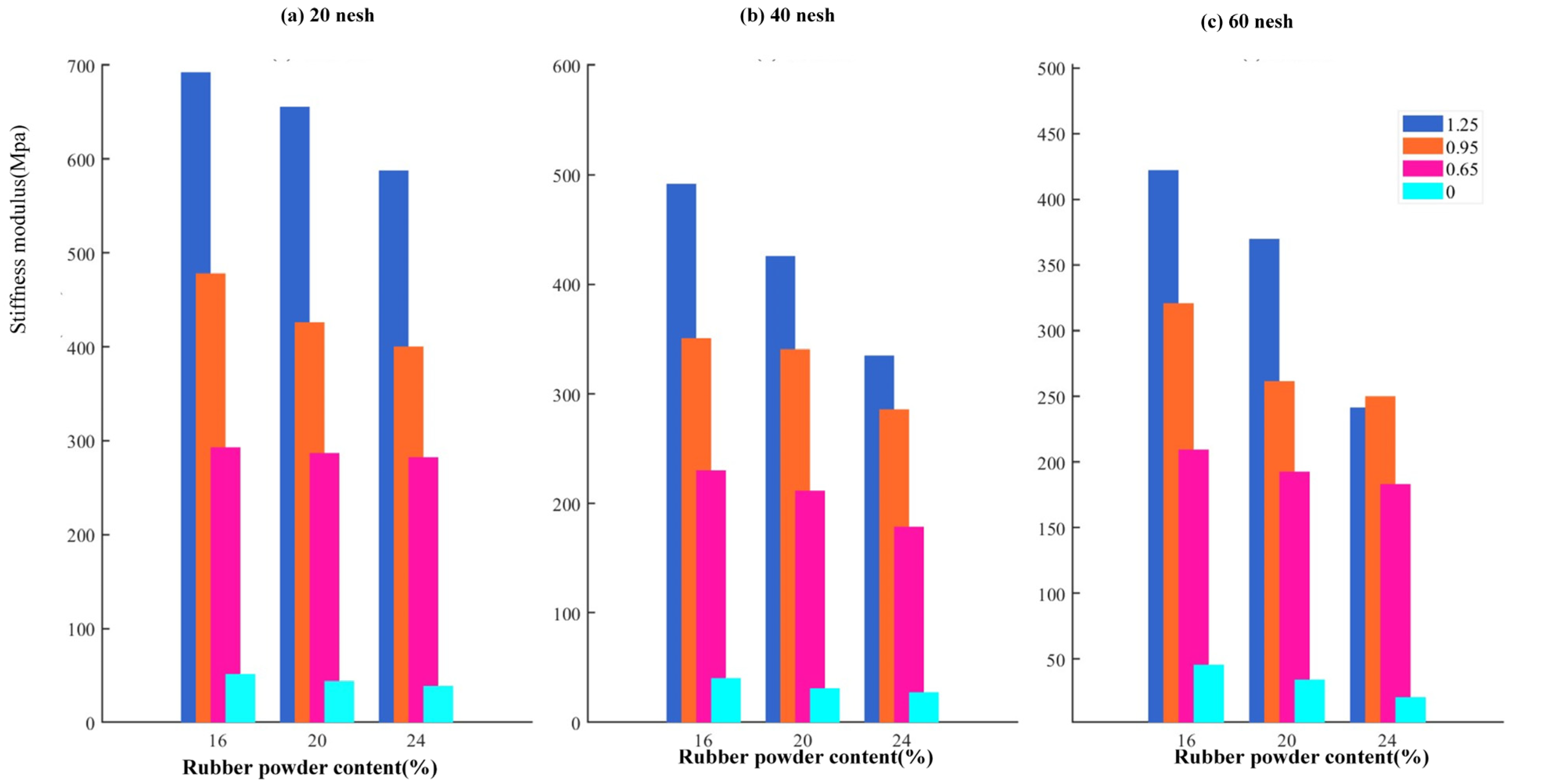
3.2.5. Effect of the Rubber Powder Content on the Low-Temperature Performance of Mortar
3.2.6. Effect of the Rubber Powder Mesh on the Low-Temperature Performance of Mortar
3.2.7. Effect of the Powder–Binder Ratio on the Low-Temperature Performance of Mortar
3.3. Grey Correlation Analysis of the Rheological Properties of Rubber Asphalt Mortar
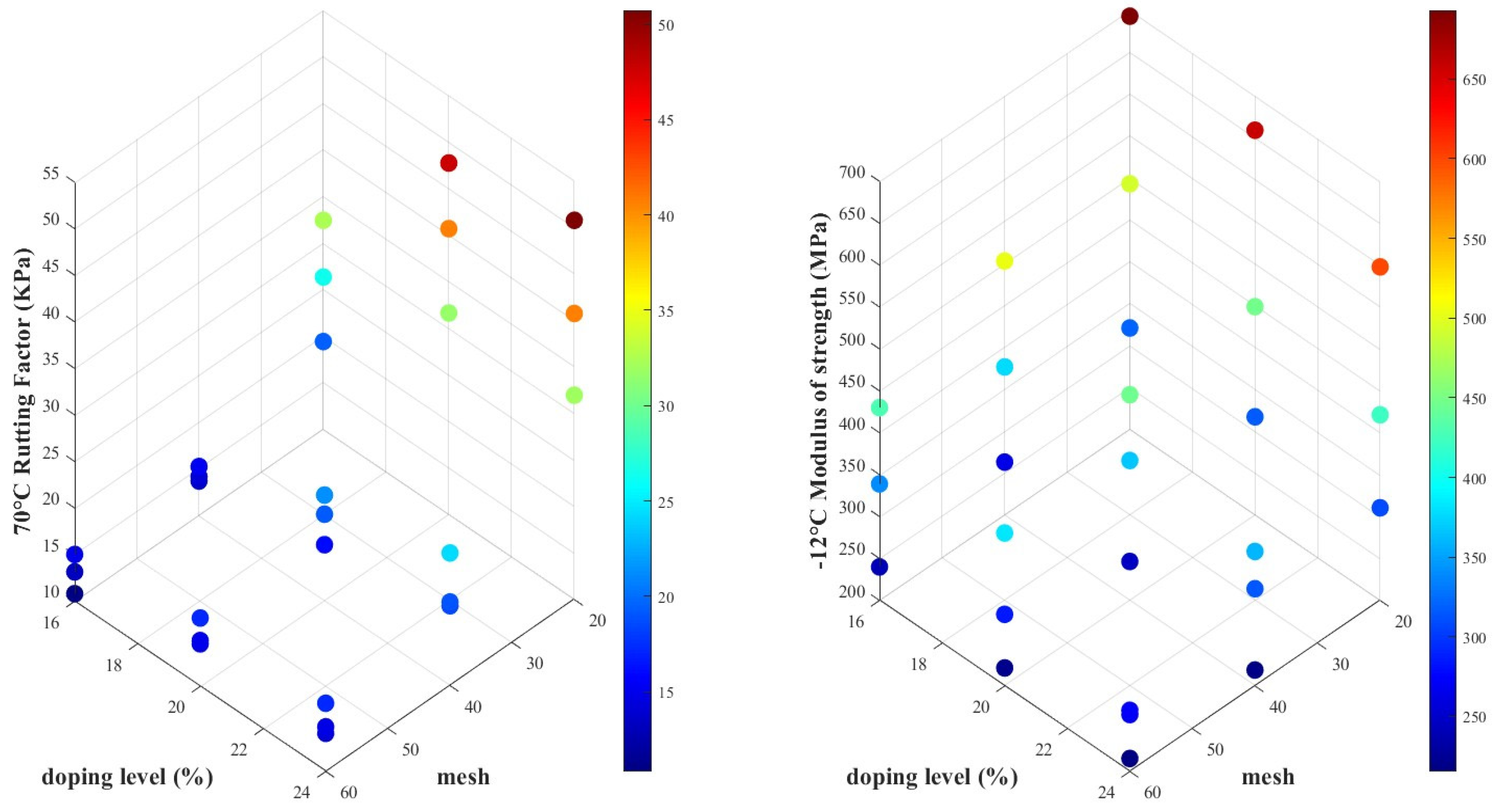
3.3.1. Grey Correlation Analysis of the Various Factors on the High-Temperature Rheological Properties of Rubber Asphalt Mortar
3.3.2. Grey Correlation Analysis of Various Factors on the Low-Temperature Rheological Properties of Rubber Asphalt Mortar
3.3.3. Validation of the Results of the Multiple Regression Analysis
4. Conclusions
- (1)
- The incorporation of rubber powder significantly improved the mortar’s high-temperature rutting resistance and low-temperature crack resistance through the formation of a three-dimensional network structure. Specifically, the 40-mesh rubber powder demonstrated the most consistent and stable performance across the experimental conditions. Nevertheless, an excessive rubber powder content can potentially elevate viscosity, thereby introducing complexities into construction’s implementation.
- (2)
- The filler-to-binder ratio exerts a profound influence on the viscoelastic and rheological characteristics of the mortar. A precisely calibrated ratio not only provides exceptional high-temperature deformation resistance but also preserves mechanical flexibility under low-temperature conditions. Deviations from the optimal ratio, whether toward excessive or minimal values, substantially compromise the material’s comprehensive performance metrics.
- (3)
- Elevated temperatures progressively diminish the elastic components of the mortar while simultaneously enhancing its viscous flow characteristics. Conversely, increased frequency loading substantially augments the material’s elastic response. This nuanced viscoelastic behavior represents a critical mechanism for optimizing mortar performance across diverse mechanical loading scenarios.
- (4)
- Grey correlation analysis definitively identifies the filler-to-binder ratio as the predominant parameter governing mortar performance, with rubber powder content and mesh size serving as secondary influential factors. Moreover, the analysis unveils a sophisticated synergistic interaction between the filler-to-binder ratio and rubber powder content, offering unprecedented insights into their collective rheological modifications. Strategic modulation of these parameters, complemented by precise temperature management during construction, demonstrates significant potential for enhancing the mortar’s thermal stability and structural integrity across temperature extremes.
Author Contributions
Funding
Data Availability Statement
Conflicts of Interest
References
- Badughaish, A.; Wang, J.; Hettiarachchi, C.; Xiao, F. A review on the crumb rubber-modified asphalt in the Middle East. J. Mater. Cycles Waste Manag. 2022, 24, 1679–1692. [Google Scholar] [CrossRef]
- Chen, S.; Cao, J.; Zheng, C.F.; Guo, X.D. Rheological Characteristics of Tire Rubber-Modified Asphalt following Thermal Variation. Geofluids 2021, 2021, 9928562. [Google Scholar] [CrossRef]
- Ma, Q.; Guo, Z.; Guo, P.; Yang, F.; Li, H. Research on the Viscosity-Temperature Properties and Thermal Stability of Stabilized Rubber Powder Modified Asphalt. Sustainability 2021, 13, 13536. [Google Scholar] [CrossRef]
- Zhang, L.; Wang, H.; Zhang, C.; Wang, S. Laboratory testing and field application of devulcanized rubber/SBS composite modified asphalt. Case Stud. Constr. Mater. 2023, 19, e02285. [Google Scholar] [CrossRef]
- Akkenzheyeva, A.; Haritonovs, V.; Bussurmanova, A.; Merijs-Meri, R.; Imanbayev, Y.; Riekstins, A.; Serikbayeva, A.; Sydykov, S.; Aimova, M.; Mustapayeva, G. Study of the Viscoelastic and Rheological Properties of Rubber-Bitumen Binders Obtained from Rubber Waste. Polymers 2023, 16, 114. [Google Scholar] [CrossRef]
- Lv, S.; Yuan, J.; Peng, X.; Cabrera, M.B.; Liu, H.; Luo, X.; You, L. Standardization to evaluate the lasting capacity of rubberized asphalt mixtures with different testing approaches. Constr. Build. Mater. 2020, 269, 121341. [Google Scholar] [CrossRef]
- Subhy, A.; Pires, G.M.; Presti, D.L.; Airey, G. The effects of laboratory ageing on rheological and fracture characteristics of different rubberised bitumens. Constr. Build. Mater. 2018, 180, 188–198. [Google Scholar] [CrossRef]
- Brown, E.R.; Haddock, J.E.; Crawford, C. Investigation of Stone Matrix Asphalt Mortars. Transp. Res. Rec. J. Transp. Res. Board 1996, 1530, 95–102. [Google Scholar] [CrossRef]
- Zeiada, W.; Liu, H.; Ezzat, H.; Al-Khateeb, G.G.; Underwood, B.S.; Shanableh, A.; Samarai, M. Review of the Superpave performance grading system and recent developments in the performance-based test methods for asphalt binder characterization. Constr. Build. Mater. 2022, 319. [Google Scholar] [CrossRef]
- Bi, Y.; Guo, F.; Zhang, J.; Pei, J.; Li, R. Correlation analysis between asphalt binder/asphalt mastic properties and dynamic modulus of asphalt mixture. Constr. Build. Mater. 2021, 276, 122256. [Google Scholar] [CrossRef]
- Ma, F.; Luo, X.; Huang, Z.; Wang, J. Characterization of Recovery in Asphalt Binders. Materials 2020, 13, 920. [Google Scholar] [CrossRef] [PubMed]
- Wu, Z.; Ge, D.; Ju, Z.; Xue, Y. The performance evaluation of extracted asphalt binder from dry process produced rubber modified asphalt mixture. Constr. Build. Mater. 2023, 401, 131864. [Google Scholar] [CrossRef]
- Büchner, J.; Wistuba, M.P. Assessing creep properties of asphalt binder, asphalt mastic and asphalt mixture. Road Mater. Pavement Des. 2022, 23, 116–130. [Google Scholar] [CrossRef]
- Guo, T.; Chen, H.; Tang, D.; Ding, S.; Wang, C.; Wang, D.; Chen, Y.; Li, Z. Rheological Properties of Composite Inorganic Micropowder Asphalt Mastic. Coatings 2023, 13, 1068. [Google Scholar] [CrossRef]
- Li, B.; Liu, M.; Kang, A.; Zhang, Y.; Zheng, Z. Effect of Basalt Fiber Diameter on the Properties of Asphalt Mastic and Asphalt Mixture. Materials 2023, 16, 6711. [Google Scholar] [CrossRef]
- Ma, X.; Chen, H.; Gui, C.; Xing, M.; Yang, P. Influence of the properties of an asphalt binder on the rheological performance of mastic. Constr. Build. Mater. 2019, 227, 116659. [Google Scholar] [CrossRef]
- Mazalan, N.A.A.; Satar, M.K.I.M.; Mohamed, A.; Warid, M.N.M. Rheological properties of asphaltene-modified asphalt binder and mastic. Phys. Chem. Earth Parts A/B/C 2023, 131, 103422. [Google Scholar] [CrossRef]
- Shukry, N.A.M.; Hassan, N.A.; Abdullah, M.E.; Hainin, M.R.; Yusoff, N.I.M.; Mahmud, M.Z.H.; Jaya, R.P.; Warid, M.N.M.; Satar, M.K.I.M. Influence of diatomite filler on rheological properties of porous asphalt mastic. Int. J. Pavement Eng. 2018, 21, 428–436. [Google Scholar] [CrossRef]
- Wang, X.; Ren, J.; Gu, X.; Li, N.; Tian, Z.; Chen, H. Investigation of the adhesive and cohesive properties of asphalt, mastic, and mortar in porous asphalt mixtures. Constr. Build. Mater. 2021, 276, 122255. [Google Scholar] [CrossRef]
- Li, Y.; Lyv, Y.; Fan, L.; Zhang, Y. Effects of Cement and Emulsified Asphalt on Properties of Mastics and 100% Cold Recycled Asphalt Mixtures. Materials 2019, 12, 754. [Google Scholar] [CrossRef]
- Moghaddam, T.B.; Baaj, H. Rheological characterization of high-modulus asphalt mix with modified asphalt binders. Constr. Build. Mater. 2018, 193, 142–152. [Google Scholar] [CrossRef]
- Li, Y.; He, X.; Sun, H.; Tan, Y. Research on viscoelastic-plastic damage characteristics of cement asphalt composite binder. Constr. Build. Mater. 2021, 274, 122064. [Google Scholar] [CrossRef]
- Ding, Z.; Li, P.; Zhang, J.; Bing, H.; Yue, X. Analysis of viscosity test conditions for crumb-rubber-modified asphalt. Constr. Build. Mater. 2020, 245, 118454. [Google Scholar] [CrossRef]
- Xi, L.; Luo, R.; Liu, H. Effect of relative humidity on the linear viscoelastic properties of asphalt mixtures. Constr. Build. Mater. 2021, 307, 124956. [Google Scholar] [CrossRef]
- Liang, C.; Zhang, H.; Gu, Z.; Xu, X.; Hao, J. Study on Mechanical and Viscoelastic Properties of Asphalt Mixture Modified by Diatomite and Crumb Rubber Particles. Appl. Sci. 2020, 10, 8748. [Google Scholar] [CrossRef]
- Rueda, E.J.; Caro, S.; Caicedo, B. Influence of Wetting-Drying cycles on the linear viscoelastic properties of asphalt mixtures. Constr. Build. Mater. 2023, 393, 132072. [Google Scholar] [CrossRef]
- Hicyilmaz, C.; Özün, S.; Altun, N.E. Rheological Properties of Asphaltite−Water Slurries. Energy Fuels 2006, 20, 2037–2045. [Google Scholar] [CrossRef]
- Xiang, Y.; Xie, Y.; Liu, Z.; Long, G. Silane coupling agent on rheological performance of basalt fiber-reinforced asphalt mucilage. Pet. Sci. Technol. 2017, 35, 993–1000. [Google Scholar] [CrossRef]
- Zhang, Y.; Kong, X.; Hou, S.; Liu, Y.; Han, S. Study on the rheological properties of fresh cement asphalt paste. Constr. Build. Mater. 2011, 27, 534–544. [Google Scholar] [CrossRef]
- Gao, L.; Wang, Z.; Liu, Y.; Zheng, J.; Li, H. Influence of Binder Property and Mortar Thickness on High-Temperature Performance of Cold Recycled Mixtures with Asphalt Emulsion. Materials 2019, 12, 2718. [Google Scholar] [CrossRef]
- Xiao, F.; Li, R.; Zhang, H.; Amirkhanian, S. Low Temperature Performance Characteristics of Reclaimed Asphalt Pavement (RAP) Mortars with Virgin and Aged Soft Binders. Appl. Sci. 2017, 7, 304. [Google Scholar] [CrossRef]
- You, Q.; Wei, B.; Ma, J.; Sesay, T.; Wan, H. Interpreting the creep behavior of asphalt mortar at high temperature through experimental and numerical methods. Constr. Build. Mater. 2020, 258, 120317. [Google Scholar] [CrossRef]






















| Test Item | Screenings | Relative-Den | Water Content | Metal Content | Fiber Content |
|---|---|---|---|---|---|
| Unit | % | ---- | % | % | % |
| Measurements | 0.5 | 1.22 | 0.0 | 0.006 | 0.01 |
| Range | <10 | 1.10~1.30 | <1 | <0.03 | <1 |
| Index | Unit | Test Result | Technical Requirement |
|---|---|---|---|
| Apparent density | g·cm−3 | 2.746 | ≥2.45 |
| Hydrophilic coefficient | -- | 0.85 | <1 |
| Water content | % | 0.1 | ≤1 |
| Content less than 0.075 mm | % | 96.4 | 70~100 |
| Filler–Bitumen Ratio | Fitting Equation | |||
|---|---|---|---|---|
| ln η = a − bT | a | b | R2 | |
| 0 | lnη = 8.0266 − 0.0419T | 8.0266 | 0.0419 | 0.9912 |
| 0.65 | lnη = 9.446 − 0.0426T | 9.446 | 0.0426 | 0.9943 |
| 0.95 | lnη = 10.186 − 0.0439T | 10.186 | 0.0439 | 0.9915 |
| 1.25 | lnη = 10.957 − 0.0463T | 10.957 | 0.0463 | 0.9916 |
| Filler–Bitumen Ratio | Fitting Equation | |
|---|---|---|
| y = A + Bω + Cω2 | R2 | |
| 0 | y = 1.4322 + 5.051ω − 0.1439ω2 | 0.9925 |
| 0.65 | y = 1.9157 + 7.7338ω − 0.1928ω2 | 0.995 |
| 0.95 | y = 2.5869 + 10.271ω − 0.2268ω2 | 0.9958 |
| 1.25 | y = 2.0511 + 9.6979ω − 0.2107ω2 | 0.9968 |
| Influencing Factor | R1 | R2 | R3 |
|---|---|---|---|
| Degree of association | 0.603 | 0.736 | 0.737 |
| Influencing Factor | R1 | R2 | R3 |
|---|---|---|---|
| Degree of association | 0.609 | 0.717 | 0.817 |
Disclaimer/Publisher’s Note: The statements, opinions and data contained in all publications are solely those of the individual author(s) and contributor(s) and not of MDPI and/or the editor(s). MDPI and/or the editor(s) disclaim responsibility for any injury to people or property resulting from any ideas, methods, instructions or products referred to in the content. |
© 2024 by the authors. Licensee MDPI, Basel, Switzerland. This article is an open access article distributed under the terms and conditions of the Creative Commons Attribution (CC BY) license (https://creativecommons.org/licenses/by/4.0/).
Share and Cite
Ni, N.; Tang, J.; Li, M.; Zhang, L.; Yuan, H. Study of the Rheological Properties of Rubberized Asphalt Mortar: Mechanisms of Action of Rubber Powder and Filler–Binder Ratio. Buildings 2025, 15, 107. https://doi.org/10.3390/buildings15010107
Ni N, Tang J, Li M, Zhang L, Yuan H. Study of the Rheological Properties of Rubberized Asphalt Mortar: Mechanisms of Action of Rubber Powder and Filler–Binder Ratio. Buildings. 2025; 15(1):107. https://doi.org/10.3390/buildings15010107
Chicago/Turabian StyleNi, Na, Jing Tang, Manzhi Li, Lingkang Zhang, and Haitao Yuan. 2025. "Study of the Rheological Properties of Rubberized Asphalt Mortar: Mechanisms of Action of Rubber Powder and Filler–Binder Ratio" Buildings 15, no. 1: 107. https://doi.org/10.3390/buildings15010107
APA StyleNi, N., Tang, J., Li, M., Zhang, L., & Yuan, H. (2025). Study of the Rheological Properties of Rubberized Asphalt Mortar: Mechanisms of Action of Rubber Powder and Filler–Binder Ratio. Buildings, 15(1), 107. https://doi.org/10.3390/buildings15010107
