Next Article in Journal
Future Climate Projections and Uncertainty Evaluations for Frost Decay Exposure Index in Norway
Previous Article in Journal
A Dynamic Impact Evaluation of the High-Quality Development of China’s Construction Industry Using the Panel Vector Autoregressive Model
 
 
Font Type:
Arial Georgia Verdana
Font Size:
Aa Aa Aa
Line Spacing:
Column Width:
Background:
Article

A Study on the Spillover Effects of Children’s Outdoor Activity Space Allocation in High-Density Urban Areas: A Case Study of Beijing

School of Architecture and Urban Planning, Beijing University of Civil Engineering and Architecture, Beijing 100044, China
*
Author to whom correspondence should be addressed.
Buildings 2024, 14(9), 2872; https://doi.org/10.3390/buildings14092872
Submission received: 17 July 2024 / Revised: 3 September 2024 / Accepted: 5 September 2024 / Published: 11 September 2024
(This article belongs to the Section Architectural Design, Urban Science, and Real Estate)

Abstract

In the context of rapid urbanization in third-world countries, many cities adopt high-density development, effectively using land but limiting open space, especially for children, impacting their spatial rights. This study focused on the Dongcheng and Xicheng districts of Beijing. It employed methods such as variance inflation factor, multiple linear regression, spatial autocorrelation, and spatial econometric models to investigate the impact of various configuration factors on children’s satisfaction with outdoor activity space. The study also revealed the spillover effects of outdoor activity space configuration for children in high-density urban environments. The results showed that (1) children’s satisfaction was significantly influenced by the configuration elements. The variables that had the most significant impact on satisfaction were the number of outdoor spaces, facilities’ amusement, advertisements, and service management levels. (2) Using spatial econometric models, we determined that spatial dependency significantly enhances the model’s explanatory power. The quantity of outdoor space had the greatest effect on children’s outdoor activity space satisfaction, followed by facilities’ amusement and advertisement impact, and service management had the least impact, though all categories positively affected satisfaction. This study held significant value and importance in improving the rights of children in mega-cities in developing countries and promoting the physical and mental well-being of children.

1. Introduction

In recent years, countries and societies worldwide have increasingly prioritized the issue of child development, continually exploring policies and measures to ensure the well-being and healthy growth of children. In October 2021, the National Development and Reform Commission of China, along with other relevant departments, jointly issued the “Guiding Opinions on Promoting the Construction of Child-Friendly Cities”. This document advocates for the comprehensive integration of child-friendly principles into urban planning, with the ambitious goal of initiating “pilot projects for child-friendly city construction in 100 cities” during the 14th Five-Year Plan period.
China is currently undergoing a crucial phase in demographic transition, evident in the implementation of the “Two-Child Policy” and the planned advancement of the “Three-Child Policy”. These initiatives underscore China’s commitment to balanced population development and an emphasis on increasing the birth rate. According to the statistics from the seventh national population census, China hosts the world’s largest population of children and adolescents, with approximately 250 million individuals aged 0–14, constituting 17.95% of the total population. Faced with this demographic shift, providing an optimal environment for children’s growth and promoting their comprehensive health development has become a focal point of research for scholars both domestically and internationally.
Particularly in high-density urban areas, the issue of outdoor activity space for children has become increasingly prominent. While rapid urbanization and high-density construction effectively utilize land resources and enhance urban functional concentration, they also introduce challenges such as limited space and environmental congestion. Therefore, addressing these challenges and exploring ways to create child-friendly, high-quality outdoor activity space in high-density urban environments should be a matter of attention and concern.
This study focused on the typical cases of Dongcheng District and Xicheng District in Beijing, representing high-density urban areas. Initially, this study addressed the issue of multicollinearity in the multiple linear regression model using the variance inflation factor (VIF). Subsequently, significant allocation factors influencing children’s outdoor activity space satisfaction were identified through multiple linear regression. Finally, spatial econometric models were employed to obtain a well-fitted explanatory model for satisfaction by selecting allocation factors, and the driving mechanisms behind these factors were explained. This study contributed to enriching research methodologies related to children’s outdoor pace, enhancing the understanding of healthy and livable cities, and held particular significance for promoting the physical and mental well-being of children in mega-cities.

2. Literature Review

In terms of research content, early studies primarily focused on theoretical methodologies, including investigations into children’s cognitive psychology and spatial behavior, as well as assessments and enhancements of children’s activity space environments. Many scholars have advocated that attention should be paid to the developmental needs of children, designing activity space based on the behavioral characteristics, cognition, and preferences of children of varying ages [1]. In recent years, the scholarly focus on children’s activity space has increased, with research largely centered on practical explorations and updates from a child-friendly perspective. For instance, cities in China such as Changsha, Shenzhen, Shanghai, and Beijing have initiated explorations into child-friendly urban planning, incorporating the concept of a “one-meter city” into spatial planning. Changsha, for example, has begun to pilot the safeguarding and expansion of public space and related services around schools and kindergartens, using these as starting points to connect dots and lines, thereby establishing an urban planning and construction management system centered on children.
In the research methodology, relevant studies were primarily divided into qualitative and quantitative categories. Qualitative evaluations often employ methods such as spatial observation, behavior tracking, questionnaires, and interviews. For example, Oloumi et al. (2012) evaluated outdoor activity space from children’s perspectives, qualitatively studying children’s outdoor activity space in terms of scale, comfort, and six other aspects and analyzing children’s preferences and fear factors while using outdoor activity space [2]. Mansournia et al. (2021) used behavioral and psychological mapping to examine children’s activities in public spaces and their psychological perceptions of these spaces [3]. Severcan and Can (2018) conducted comparative studies on children’s place usage and preferences using participatory photography techniques [4]. Quantitative methods mainly include post-occupancy evaluation (POE), principal component analysis (PCA), factor analysis, the analytic hierarchy process (AHP), the Delphi expert consultation method, correlation analysis (SPSS), and geographic information system spatial analysis (GIS), among others. For instance, Reimers and Knapp (2017) conducted quantitative observational studies on children’s activity space, revealing that providing play facilities, opportunities close to nature, and multifunctional areas significantly impacts children’s outdoor activities [5]. Vanos et al. (2017) constructed a predictive model of outdoor thermal comfort and conducted the first assessment of children’s outdoor thermal comfort during outdoor activities [6]. Haifa et al. (2015) conducted a qualitative survey using GIS to study children’s perception of the city center in a Dutch city and used a mixed qualitative and quantitative method (QGIS) to analyze the factors influencing children’s urban cognition [7].
Regarding design optimization strategies, research has primarily focused on optimizing the “point space” of children’s activities arranged in patchy layouts within communities [8] and enhancing “line space”, predominantly along school routes and children’s activity paths [9]. For example, Zhang et al. (2019) integrated urban catalyst theory to construct multidimensional community space for children’s activities [10]; Hui et al. (2021) classified streets into categories such as residential streets, leisure streets, school commuting streets, commercial streets, and others based on children’s activity types, proposing design element selection strategies for different types of streets to create multi-level child-friendly street space [11].
Spatial econometrics, driven by the collaboration between regional science and econometrics, was at the forefront of handling spatial relationships in economics. Its objective was to examine the spatial interaction effects of economic activities among different geographical units, primarily manifested as correlations and heterogeneity among spatial observation units. The First Law of Geography, proposed by American geographer Tobler (1970), stating that “everything is related, but near things are more related”, laid the foundation for spatial quantitative analysis. Spatial econometrics, as an important spatial analysis method, has been increasingly widely used. Many studies have employed spatial econometric models to explore the potential impacts of spatial spillover effects of variables [12]. For instance, Maddison (2006) examined whether the environmental performance of countries depended on neighboring countries and found that per capita emissions were significantly influenced by the per capita emissions of neighboring countries [3]. Ren (2018) utilized spatial econometric models to analyze the driving mechanisms of public service resource allocation in 31 provinces and cities from 2007 to 2016 [13]. The study discovered spatial spillover effects in the level of public service resource allocation, where urbanization level, economic development level, and fiscal expenditure had positive driving effects on the level of public service resource allocation, while population size had a negative driving effect.
Overall, extensive research has been conducted on child-friendly aspects within urban planning. However, there has been limited investigation into the spillover effects of high-density urban children’s outdoor activity space configurations through spatial econometric models. The utility of children’s outdoor activity space configuration remains underexplored. Furthermore, existing studies have insufficiently addressed the needs and rights of children in mega-cities, leading to unresolved issues such as the inadequate, unevenly distributed, and varied quality of children’s outdoor activity space.

3. Material and Methods

3.1. Study Area and Data Sources

This study selected Dongcheng District and Xicheng District in Beijing as the research scope (Figure 1) for the analysis of children’s outdoor activity pace. Beijing is actively promoting the construction of child-friendly cities, with Dongcheng and Xicheng districts serving as the core regions, covering a total area of 92.5 square kilometers. These districts are the central hub for national politics, culture, and international exchanges, designated as a key area for preserving historical and cultural heritage, and serve as a crucial showcase for the capital city’s image. Despite their esteemed status, the dense urban layout and compact land use patterns in this area resulted in a scarcity of outdoor space, making it challenging to meet the physiological and psychological needs of children for outdoor activities. Therefore, this study focused on Dongcheng and Xicheng districts, aiming to creatively optimize the limited space while preserving and respecting the precious historical and cultural heritage within the region. The goal was to create an environment where children could play and learn in a safe, comfortable, and enjoyable setting, providing insights into the development of child-friendly cities.
Data collection utilized 1 km × 1 km grid as sample units, with sample data collected for Dongcheng and Xicheng districts. The satisfaction data for children’s outdoor activity space, used for tests of collinearity, multiple linear regression, and spatial econometric models, were obtained through on-site questionnaire interviews. Corresponding measurements for allocation factors were sourced from Baidu Maps (https://map.baidu.com/, accessed on 1 June 2023) and on-site surveys. Parameters such as 15 Min Walking Accessibility and 5 Min Cycling Accessibility were measured using Baidu Maps to calculate the path distances from each children’s outdoor activity space to the sample center. Quality of Facilities, Service Management Level, Security of Facilities, Amusement of Facilities, Exclusivity of Service Recipients, and Social Property were evaluated through on-site inspections. Details on Number of Children’s Outdoor Activity Spaces, Type of Children’s Outdoor Activity Space, Amount of Charge, Scale Capacity, Open Direction, and Number of Advertisements were obtained through field surveys. Greenery Coverage was determined using satellite imagery from Amap downloaded via BIGEMAP, and supervised classification was performed using ArcGIS 10.2.
To explore the spillover effects of children’s outdoor activity space allocation in high-density urban areas, this study conducted on-site research on all children’s outdoor activity venues in Dongcheng and Xicheng districts, collecting a total of 1420 interview questionnaires after obtaining consent from the respondents.

3.2. Study Method

3.2.1. Variance Inflation Factor

Variance inflation factor (VIF) was employed to assess the issue of multicollinearity in multiple linear regression (MLR). Collinearity test was conducted for various allocation factors related to children’s activity space, and factors were screened to measure multicollinearity among different explanatory variables.
The formula is as follows:
V I F = 1 1 R i 2
where R i 2 represents the correlation coefficient from regression analysis of various allocation factors for children’s outdoor activity space satisfaction. Generally, if V I F > 10, it indicates a severe multicollinearity issue. When 10 > V I F > 0.1, it suggests the absence of collinearity problems among the independent variables.

3.2.2. Multiple Linear Regression

Multiple linear regression (MLR) was employed to analyze the significant allocation factors influencing children’s satisfaction with outdoor activity space.
MLR is a statistical analysis method used to determine the relationships between multiple independent variables and a dependent variable. The general form of MLR is as follows:
Y = β 0 + β 1 x 1 + β 2 x 2 + β 3 x 3 + + β j x j + + β k x k + μ
where k is the number of explanatory variables, β j ( j = 1, 2, , k) represents the regression coefficients, and μ is the random error after removing the influence of k independent variables on Y.

3.2.3. Spatial Autocorrelation

Spatial autocorrelation was employed in this study to determine the spatial distribution characteristics of various allocation factors and their corresponding satisfaction levels.
The primary assessment involves the use of Global Moran’s I, with the formula as follows:
M o r a n s   I = i = 1 n j = 1 n W i j X i X ¯ ( X j X ¯ ) S 2 i = 1 n j = 1 n W i j
where N is the number of grids, S 2 is the variance, and X i and   X j represent the allocation factors and satisfaction related to children’s outdoor activity space. W i j is the spatial connectivity matrix between regions i and j . The values of Moran’s I range from −1 to 1. When M o r a n s   I > 0, it indicates positive spatial correlation and spatial clustering; when M o r a n s   I < 0, it signifies negative spatial correlation and spatial dispersion. When Moran’s I = 0, it suggests a random distribution of the research objects across the grids.

3.2.4. Spatial Econometrics

This study employed the spatial Durbin model (SDM), spatial lag model (SLM), and spatial error model (SEM) from spatial econometrics to investigate the factors influencing children’s outdoor activity space satisfaction. Various models were employed to obtain explanatory models with high fit for each allocation factor and satisfaction, followed by the interpretation of their driving mechanisms.
y = ρ W y + X β + ε
where y represents children’s outdoor activity space satisfaction; X represents various allocation factors; β is the coefficient vector for independent variables; ρ is the spatial lag coefficient; W y is the spatial weight matrix accumulating the dependent variables in neighboring regions and incorporating the influence of surrounding children’s outdoor activity space satisfaction into the formula; ε is the vector of random error terms.
SEM indicates that if the satisfaction in a particular area is also influenced by a set of local features and neglected important variables in geographical space, SEM reflects the impact of random error shocks that are mutually dependent in other regions on the dependent variable, children’s outdoor activity space satisfaction. The formula is as follows:
y = X β + λ W ε + μ
where y represents children’s outdoor activity space satisfaction; X represents various allocation factors; β is the coefficient vector for independent variables; λ is the spatial autocorrelation coefficient; W ε is the spatial weight matrix, incorporating the impact of error terms; μ represents the error terms.
SDM not only observes the impact of the surrounding areas’ children’s outdoor activity space satisfaction on the dependent variable but also considers the spatial spillover effects of different allocation factors on children’s outdoor activity space satisfaction. The formula is as follows:
y = ρ W y + X β + λ W x + ε
where y represents children’s outdoor activity space satisfaction; X represents various allocation factors, β is the coefficient vector for independent variables representing the degree of influence of independent variables on the dependent variable; W y and W x are matrices of spatial lag-dependent variables (surrounding satisfaction) and independent variables (surrounding allocation factors), respectively; ρ and λ are the spatial lag coefficients; ε is the error term.

3.3. Allocation Factors System

To explore the correlation between children’s outdoor activity space satisfaction and allocation factors, a field survey was conducted on all children’s outdoor activity space in the Dongcheng and Xicheng districts of Beijing. A total of 1420 interview questionnaires were collected.
Evaluation indicators form the foundation of the assessment system, with various factors influencing activity space derived from scholars’ continuous experiments and research. This study, adopting a spatial analysis perspective, integrates four key dimensions—spatial accessibility, service accessibility, natural and humanistic environment, and economic affordability—while also considering children’s physio-psychological factors. A systematic evaluation framework for children’s outdoor activity space configuration elements has been developed (Table 1). Spatial accessibility includes 15 Min Walking Accessibility (15-MWA) and 5 Min Walking Accessibility (5-MWA); service accessibility includes Number of Children’s Outdoor Activity Space (NCOAS), Type of Children’s Outdoor Activity Space (TCOAS), Scale Capacity (SC), Quality of Facilities (QF), Service Management Level (SML), Security of Facilities (SF), Amusement of Facilities (AF), Open Direction (OD), and Number of Advertisements (NA); natural and humanistic environment includes Neighborhood Facilities (NF) and Greenery Coverage (GC); economic affordability includes Amount of Charge (AC); physio-psychological factors include Exclusivity of Service Recipients (ESR) and Social Property (SP). The analysis and assessment were carried out by dividing the study area into 97 grids of 1 km × 1 km in the Dongcheng and Xicheng districts of Beijing. Simultaneously, a 5-point rating scale was employed, ranging from −2 to 2, with the points representing extremely dissatisfied (−2), dissatisfied (−1), neutral (0), satisfied (1), and extremely satisfied (2), respectively. Scores were assigned to capture children’s satisfaction with the use of outdoor activity space. The numerical values of allocation factors were measured by researchers based on the actual values of each element, providing an objective evaluation of street space.

4. Result

4.1. Collinearity Test

The issue of multicollinearity in MLR was assessed using VIF. A collinearity test and selection were conducted on the 16 allocation factors related to children’s outdoor activity space to measure multicollinearity among various explanatory variables. The results indicated that the VIF values for all 16 allocation factors were below 5, suggesting the absence of multicollinearity among them (Table 2).

4.2. Allocation Factors Screening

MLR was then employed to evaluate the impact of each allocation factor on children’s outdoor activity space satisfaction. Children’s Outdoor Activity Space Satisfaction (COASS) was chosen as the dependent variable, while representative factors such as 15-MWA, 5-MWA, NCOAS, TCOAS, SC, QF, SML, SF, AF, OD, NA, NF, GC, ESR, SP, AC, representing different aspects of children’s outdoor activity space allocation, were selected as independent variables. MLR analysis was conducted on the data, and their effectiveness was calculated.
The results showed a correlation coefficient R of 0.809, indicating a significant correlation between the independent and dependent variables. The coefficient of determination R Square was 0.654, implying that 64.5% of the variability in the dependent variable could be explained by the variation in the independent variables, demonstrating a reasonable degree of explanatory power. The Durbin–Watson (DW) test was employed to check for first-order auto-regressive serial correlation in the error terms. The obtained DW coefficient of 2.143 suggested no significant auto-correlation, indicating a well-constructed model (Table 3).
The MLR model fit well, signifying a high joint impact of the 16 allocation factors on children’s outdoor activity space satisfaction. The model’s F-value was 9.458 with a p-value of 0.000, indicating the significance of the model according to both the F-test and p-test. At least one of the 16 independent variables had a significant impact on the dependent variable (Table 4).
Following model validation and screening, NCOAS, SML, AF, and NA exhibited significance levels below 0.05 and were included in the final equation (Table 5). The standardized regression coefficients for NCOAS, SML, AF, and NA were 0.208, 0.274, 0.187, and 0.186, respectively, indicating that these four factors positively influenced COASS, with SML having the highest impact, followed by NCOAS, a smaller effect from AF, and the least impact from NA.

4.3. Spatial Spillover Effects Analysis

4.3.1. Establishment of Spatial Econometrics

The traditional regression model treated each observation as an independent element, neglecting the influence of spatial dependence, which could lead to certain errors in calculating the coefficients of influencing factors. To address the impact of spatial dependence and obtain more accurate estimations of parameters, this research introduced spatial econometric models to assess spatial spillover effects among various elements and make more reliable inferences.
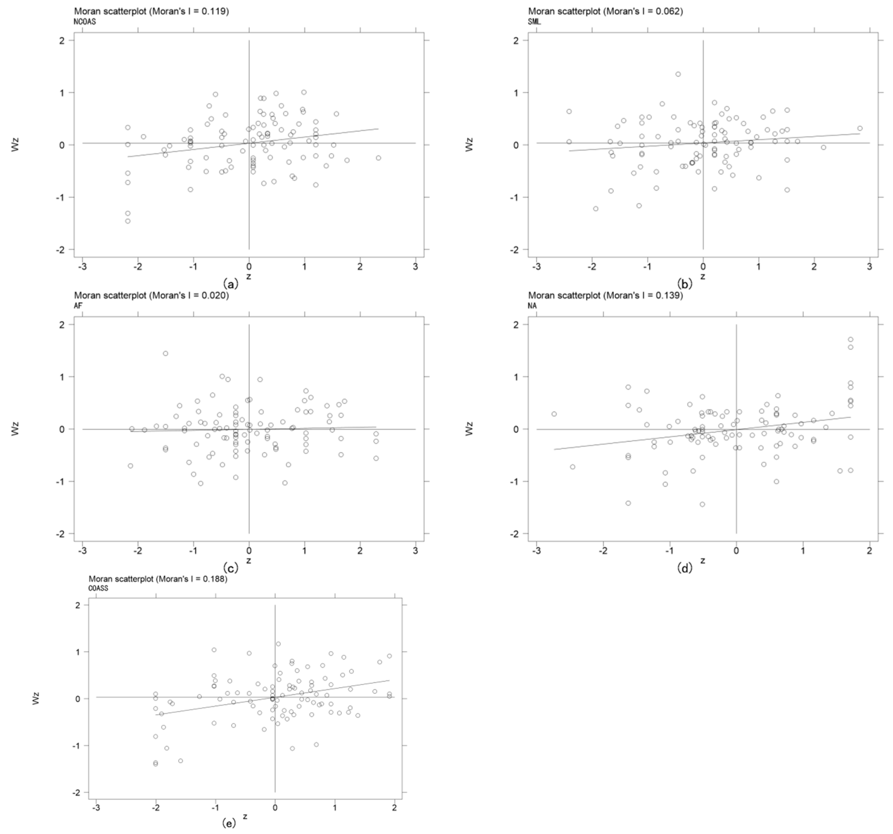
The existence of spatial dependence in allocation factors served as a prerequisite for using spatial econometric models. Therefore, this study conducted spatial autocorrelation tests by calculating Moran’s I index for COASS and the four allocation factors obtained through MLR across 97 grids in Beijing’s Dongcheng and Xicheng districts to analyze the presence of spatial dependence among these factors. Under the standardized geographical distance spatial weight matrix, Moran’s I values for NCOAS, SML, AF, NA, and COASS were 0.059, 0.033, 0.062, 0.098, and 0.118, respectively (Table 6, Figure 2).
In statistical analysis, the choice of p-value threshold depended on the specific aims of the study, the sensitivity of the data, and conventions established in prior research. Typically, a p-value less than 0.05 was considered statistically significant [14]. However, scholars such as Bender and Lange noted that in exploratory research, a more lenient threshold (e.g., p < 0.10) could be chosen to accommodate the stability and reliability of the analysis [15]. For this reason, to avoid prematurely excluding potentially important findings, a p-value < 0.05 was considered statistically significant, and p-values ranging from 0.05 to 0.10 were regarded as suggestively statistically significant.
Additionally, as the Moran’s I values were greater than 0, it suggested a significant positive correlation between these allocation factors and COASS within the study area, implying regions with high NCOAS, SML, AF, NA, and COASS values tended to cluster together, while regions with low values also clustered together.
Spatial autocorrelation analysis revealed spatial dependence among the four allocation factors obtained through MLR and COASS, prompting the consideration of introducing spatial econometric models to eliminate spatial dependence and refine MLR to further determine the coefficients of each allocation factor.
The fundamental models of spatial econometrics include the spatial lag model (SLM), spatial error model (SEM), and spatial Durbin model (SDM). To determine the specific form of spatial correlation in the spatial econometric model, LM-lag and LM-error tests and robust LM-lag and robust LM-error tests were employed [16] (Table 7). Under the setting of adjacent spatial weight matrices, the results of the Lagrange multiplier (lag) and robust LM (lag) tests were significant at the 1% level, indicating that the SLM model passed the test [17]. However, the p-values for the Lagrange multiplier (error) and robust LM (error) were 0.320 and 0.346 respectively, failing to meet the significance level, suggesting that SEM was not valid. As both the Lagrange multiplier (lag) and robust LM (lag) were significant while Lagrange multiplier (error) and robust LM (error) were not, SDM was considered unsuitable for this study. Consequently, SLM was selected to assess the spatial spillover effects of NCOAS, SML, AF, and NA on COASS.

4.3.2. Results of Spatial Econometrics

SLM was chosen in this study to explore spatial spillover effects caused by the spatial dependence of the four allocation factors and satisfaction and to further refine MLR results, thus avoiding the systematic errors caused by the assumption of mutual independence among observations in traditional regression models.
The R2 value for this regression was 0.551, indicating a good fit (Table 8). The formula of SLM was y = ρ W y + X β + ε . The regression results indicated that the spatial lag coefficient ρ was 0.033, passing the test at the 0.1 confidence level, suggesting that the satisfaction of surrounding areas would influence the satisfaction of children’s outdoor activity space in the local area. The coefficients β of various allocation factors were the independent variables, all passing the 0.1 confidence level test. Among them, the coefficients of NCOAS, SML, AF, and NA were 0.392, 0.281, 0.370, and 0.343, respectively, indicating the extent of the impact of these four allocation factors on COASS, with NCOAS being the largest, followed by AF, then NA, and SML being the smallest, all with positive effects (Table 9).
The coefficients of independent variables in the SLM model were positive, indicating that both models demonstrated a positive impact of these four factors on COASS. However, there were some differences in the ranking of coefficients between SLM and MLR, particularly regarding the impact of SML on COASS. This disparity could be attributed to differences in assumptions and methodologies between MLR and spatial lag models. MLR directly considers the impact of independent variables on the dependent variable, while spatial lag models further consider spatial or geographical dependencies, leading to different rankings of coefficients.
In summary, SLM passed the test and showed a good fit, indicating that COASS was influenced not only by local factors but also by similar spatial factors in neighboring areas, reflecting spatial correlation and the existence of spatial spillover effects. On the other hand, the failure of SEM and SDM tests indicated poor model performance, suggesting that COASS was less affected by other variables or independent error terms and was not easily influenced by allocation factors in neighboring areas.

5. Discussion

5.1. Correlation between Allocation Factors and Spatial Satisfaction

Relevant studies have confirmed that, in high-density cities similar to Beijing, the quantity and attractiveness of children’s activity space facilities have a significant positive impact on satisfaction [18,19]. Furthermore, some researchers have suggested that improvements in material infrastructure conditions and community management mechanisms can effectively enhance overall community satisfaction [20,21].
However, the findings of this study regarding the impact of advertising on children’s satisfaction with outdoor activity space show significant differences from research conducted in some Western countries. Experiments by Western psychologists have typically indicated that advertising can have potentially negative effects on children under the age of 12 [22,23]. This discrepancy may be attributed to variations in cultural, geographical, or socio-economic contexts. Specifically, as Beijing is the political, cultural, and international exchange center of China, its Dongcheng and Xicheng districts have been at the forefront of child-friendly development. Notably, the release of the “Child-Friendly Map” has driven innovative practices in child-friendly urban planning, providing children with abundant and effective information, thereby enhancing their satisfaction.
In terms of the degree of influence, the order is NCOAS > AF > NA > SML. The study reveals that COASS is relatively less affected by SML. However, this does not imply that the importance of service management can be overlooked. Due to the limited cognitive level of children, they may not fully and accurately recognize the supportive and protective role of SML in outdoor space for children. This can lead to scoring errors in questionnaire interviews. This indicates that, although the direct impact of service management on COASS is weaker, it still plays a crucial role in ensuring the quality and experience of children’s outdoor activity space. In the construction of child-friendly cities, operational maintenance is equally important as planning and design for children’s outdoor activity space. Efficient, high-quality, and thoughtful service management can significantly enhance the safety, comfort, and enjoyment of children’s outdoor activity space [24].

5.2. Spatial Spillover Effects on Spatial Satisfaction

Utilizing NCOAS, SML, AF, and NA as variables, a spatial lag model was constructed. The good fit of the model indicated the presence of significant spatial spillover effects. Although existing research explored the spatiotemporal patterns and spatial spillover effects of public sports resources for adolescents by constructing SDM [25], there has been less focus on analyzing the spatial econometric models’ impact on children’s satisfaction with outdoor activity space. This approach represents a certain degree of innovation in this study. This study suggested that spatial spillover effects could result from the combined influence of interrelated variables, collectively impacting the overall satisfaction of children’s outdoor activity space. This synergy enhanced various elements in the space, creating a positive feedback loop and improving the overall quality of children’s experiences. Specifically, more outdoor space for children fostered social interaction and shared experiences. Increased service levels could trigger chain reactions across the space, providing children with better experiences and influencing the spatial atmosphere in adjacent areas. More engaging facilities offered diverse play options, making it easier for children to find activities aligned with their interests. Moderate advertising provided relevant information, guiding users to discover more interesting activities and facilities, ultimately enhancing the overall attractiveness and satisfaction of the entire space.

5.3. Inspiration and Limitations

In the rapid urbanization process of third-world countries, the high-density land use pattern has led to a growing scarcity of outdoor space for children in cities, especially in mega-cities. This shortage significantly impacts the growth and development of children, resulting in a range of physical and mental issues such as depression, obesity [26], gaming addiction, and strained family relationships [27]. The existing limited outdoor space for children suffers from rigid design, poor management, monotonous forms, and lackluster appeal, falling short of adequately meeting the urgent needs of children for outdoor activities. The reasons behind these issues are multifaceted. On one hand, due to uneven resource distribution, some regions have a limited supply of outdoor space for children. On the other hand, urban development strategies focused on economic growth and incremental expansion have overlooked the needs of vulnerable groups, especially the psychological and physiological needs of children. This oversight has resulted in the absence of children’s outdoor space in urban and land-use planning from the outset, leaving a vast number of children without adequate outdoor space for exercise in cramped urban environments. This study plays a positive role in promoting intergenerational spatial equity in high-density cities. It provides crucial insights for the construction of outdoor space for children in countries gradually entering the later stages of industrialization and urbanization. Importantly, it holds profound significance for improving the physical and mental health of children in developing countries, especially in densely populated mega-cities.
Moreover, this study had certain limitations. On one hand, the model may not have fully captured all possible spatial dependencies and potential influencing factors, particularly those variables not included in the spatial econometric model. On the other hand, the sample was restricted to Dongcheng and Xicheng districts in Beijing, so the external validity and applicability of the results to other areas still require further verification.

6. Conclusions

In conclusion, this study employed various methods such as VIF, MLR, spatial autocorrelation, and spatial econometric models to investigate the impact of allocation factors on children’s outdoor space satisfaction in Dongcheng and Xicheng districts of Beijing. The results indicated the following:
(1)
COASS was significantly influenced by the factors of their configuration, with the coefficient of determination R² being 0.654. This indicated that approximately 64.5% of the variance in satisfaction could be explained by these configuration elements. Among these, NCOAS, SML, AF, and NA emerged as the most significant variables affecting satisfaction.
(2)
Analyses using spatial econometric models demonstrated that spatial dependency significantly enhanced the explanatory power of the models. In particular, NCOAS had the most substantial impact on COASS, followed by the AF, with a lesser impact from NA and SML, all exerting positive effects. The analysis of the SLM revealed that the satisfaction with COASS was not only influenced by local configuration elements but also exhibited significant spatial spillover effects from surrounding areas. This highlighted the necessity for urban planning and the design of children’s outdoor activity space to consider not only the configuration of individual space but also the interactions and the holistic nature of regional areas.

7. Suggestions

7.1. Enhancing Overall Spatial Provision

To effectively eliminate service blind spots in children’s outdoor activity space and comprehensively improve spatial provision, several measures should be considered (Figure 3). Firstly, there should be a concerted effort to enhance the accessibility and coverage of children’s outdoor activity space by fully utilizing existing urban spatial resources and activating dormant land resources to meet children’s daily usage needs. Furthermore, the configuration of children’s outdoor activity space should be coordinated with the surrounding population density to ensure that these spaces not only meet the practical needs of residents but also effectively serve the local community. This implies starting from the residents’ needs, understanding and adapting to their lifestyles and activity habits [28]. Combining population development trends and demographics, it is important to allocate children’s outdoor activity space reasonably in terms of quantity, scale, and type, based on the behavioral and demand characteristics of the user groups, thus avoiding mismatches between populations and facility configurations.

7.2. Enhancing Interest and Interaction

To enhance the enjoyment and interactivity of outdoor activities for children, four key aspects can be considered (Figure 4). Firstly, increasing the square footage and incorporating diverse landscape elements, such as expansive green areas and varied features, can provide larger activity zones for children, stimulating their curiosity and creativity. Secondly, creating miniature terrains, such as small hills, sandpits, and water channels, not only adds variety to play but also enhances children’s physical coordination and spatial awareness. Thirdly, adding child-friendly facilities, including safe play equipment, interactive walls, and movable toys, can improve the play experience and foster social and practical skills [29]. Lastly, designing open space for diverse activities [30], such as multifunctional sports fields, art creation areas, and learning corners, can cater to children’s needs in movement, creativity, and learning, encouraging participation in various activities and promoting well-rounded development. Implementing these measures can significantly enhance the enjoyment and interactivity of outdoor activities for children, creating a richer and more enjoyable environment for their growth.

7.3. Improving Service Management Standards

To enhance the service management standards of children’s outdoor activity space, there should be a comprehensive optimization and upgrade of current management strategies (Figure 5). Firstly, regular comprehensive inspections of all facilities should be conducted to ensure compliance with relevant safety standards and to ensure that the facilities are always in optimal condition. Secondly, strengthening management and maintenance work is crucial. This can be achieved through establishing effective supervisory mechanisms and implementing regular facility renewal and upgrade plans to ensure that outdoor activity spaces meet the evolving needs and safety standards of children [31]. Additionally, collecting and analyzing user feedback regularly is essential for better understanding their needs and expectations [32,33]. This information will be a valuable resource for improving and optimizing children’s outdoor activity space, further providing a safer, more enjoyable, and comfortable environment for children.

Author Contributions

Conceptualization, Z.Y., Y.L. (Yu Li) and P.L.; methodology, A.Z. and Y.L. (Yue Lu); software, X.H.; validation, A.Z. and Y.L. (Yue Lu); investigation, J.L., Y.C., D.Q. and Q.Z.; data curation, G.C., M.M. and Y.Z.; writing—original draft preparation, X.H.; writing—review and editing, X.H., Z.Y., J.L., Y.C., F.S, G.C., M.M., Y.Z., Y.C., D.Q. and Q.Z.; visualization, Y.C. and F.S.; supervision, Y.L. (Yu Li) and P.L. All authors have read and agreed to the published version of the manuscript.

Funding

This work was supported by the National Natural Science Foundation of China (Grant No. 52178002 and 52208003), the Beijing Natural Science Foundation (Grant No. 8202014), the Quality Improvement Project of Postgraduate Education and Teaching of Beijing University of Civil Engineering and Architecture (Grant No. J2023012), the Research Capacity Enhancement Program for Young Teachers of Beijing University of Civil Engineering and Architecture (Grant No. X22018).

Data Availability Statement

The original contributions presented in the study are included in the article, further inquiries can be directed to the corresponding author/s.

Conflicts of Interest

The authors declare no conflicts of interest.

References

  1. Zhang, S. Children and Living Environments. Archit. J. 1990, 8, 9–10. [Google Scholar]
  2. Oloumi, S.; Mahdavinejad, M.; Namvarrad, A. Evaluation of Outdoor Environment from the Viewpoint of Children. Procedia—Soc. Behav. Sci. 2012, 35, 431–439. [Google Scholar] [CrossRef][Green Version]
  3. Mansournia, S.; Bahrami, B.; Farahani, L.M.; Aram, F. Understanding children’s perceptions and activities in urban public spaces: The case study of Zrbar Lake Waterfront in Kurdistan. Urban Stud. 2021, 58, 372–388. [Google Scholar] [CrossRef]
  4. Severcan, Y.C. Changing places, changing childhoods: Regeneration and children’s use of place in Istanbul. Urban Stud. 2018, 55, 2179–2196. [Google Scholar] [CrossRef]
  5. Reimers, A.K.; Knapp, G. Playground usage and physical activity levels of children based on playground spatial features. J. Public Health 2017, 25, 661–669. [Google Scholar] [CrossRef]
  6. Vanos, J.K.; Herdt, A.J.; Lochbaum, M.R. Effects of physical activity and shade on the heat balance and thermal perceptions of children in a playground microclimate. Build. Environ. 2017, 126, 119–131. [Google Scholar] [CrossRef]
  7. Alarasi, H.; Martinez, J.; Amer, S. Children’s perception of their city centre: A qualitative GIS methodological investigation in a Dutch city. Child. Geogr. 2015, 14, 437–452. [Google Scholar] [CrossRef]
  8. Armstrong, D. A survey of community gardens in upstate New York: Implications for health promotion and community development. Health Place 2000, 6, 319–327. [Google Scholar] [CrossRef]
  9. Ahmadi, E.; Taniguchi, G. Influential Factors on Children′s Spatial Knowledge and Mobility in Home–School Travel A Case Study in the City of Tehran. J. Asian Archit. Build. Eng. 2007, 6, 275–282. [Google Scholar] [CrossRef]
  10. Zhang, Q.; Wu, S.; Wang, X. Multidimensional Construction of Children’s Outdoor Play Spaces as Catalysts for the Renewal of Aging Communities. Archit. Cult. 2019, 11, 146–149. [Google Scholar]
  11. Hui, Y.; Liao, J.; Zhang, X.; Liu, Z. Research on Child-Friendly Street Design Based on Behavioral Activity Patterns. Urban Plan. Forum 2021, 6, 92–99. [Google Scholar]
  12. Tobler, W.R. A Computer Movie Simulating Urban Growth in the Detroit Region. Econ. Geogr. 1970, 46, 234–240. [Google Scholar] [CrossRef]
  13. Ren, X. Spatial Pattern and Driving Mechanism of Urban Public Service Resource Allocation in China. Contemp. Econ. Manag. 2018, 40, 61–68. [Google Scholar]
  14. Fisher, R.A. Statistical Methods for Research Workers. In Breakthroughs in Statistics: Methodology and Distribution; Kotz, S., Johnson, N.L., Eds.; Springer: New York, NY, USA, 1992. [Google Scholar] [CrossRef]
  15. Bender, R.; Lange, S. Adjusting for multiple testing—When and how? J. Clin. Epidemiol. 2001, 54, 343–349. [Google Scholar] [CrossRef]
  16. Kasu, B.B.; Chi, G. Intercity Passenger Rails: Facilitating the Spatial Spillover Effects of Population and Employment Growth in the United States, 2000–2010. J. Urban Plann. Dev. 2018, 144, 04018037. [Google Scholar] [CrossRef]
  17. Li, W.; Sun, B.; Zhao, J.; Zhang, T. Economic performance of spatial structure in Chinese prefecture regions: Evidence from night-time satellite imagery. Habitat Int. 2018, 76, 29–39. [Google Scholar] [CrossRef]
  18. Wang, X.; Tang, P.; He, Y.; Woolley, H.; Hu, X.; Yang, L.; Luo, J. The correlation between children’s outdoor activities and community space characteristics: A case study utilizing SOPARC and KDE methods in Chengdu, China. Cities 2024, 150, 105002. [Google Scholar] [CrossRef]
  19. Kaczynski, A.T.; Henderson, K.A. Environmental Correlates of Physical Activity: A Review of Evidence about Parks and Recreation. Leis. Sci. 2007, 29, 315–354. [Google Scholar] [CrossRef]
  20. Zhao, J.; Wang, X.; Lu, Y.; Zhu, W.; Li, F.; Xie, L. Study on the Layout and Optimization of Preschool Education Facilities from a Child-Friendly Perspective: A Case Study of Lingui District. Urban. Archit. 2023, 20, 41–44. [Google Scholar]
  21. Zheng, B. Research on the Optimization of Outdoor Public Space Environment in Residential Areas of Handan City from a Child-Friendly Perspective. Master’s Thesis, Hebei University of Engineering, Handan, China, 2023. [Google Scholar]
  22. Qiao, J. Advertising and Children: The Shared Responsibility Faced by Advertisers Worldwide—World Advertising Education Forum Interview. CHINAdvertising 2002, 1, 32–33. [Google Scholar]
  23. Sayah, R. Social class, smartphone advertising exposure, self-esteem, and materialism: The case of children in Lebanon. Dig. Middle East Stud. 2024, 33, 282–302. [Google Scholar] [CrossRef]
  24. Tang, P.; Woolley, H. Optimizing Urban Children’s Outdoor Play Spaces: Affordances, Supervision, and Design Dynamics. Sustainability 2023, 15, 14661. [Google Scholar] [CrossRef]
  25. Jiang, L.; Zhang, Y.; Yang, L.; Li, P. Research on the Spatiotemporal Evolution and Spillover Effects of Public Sports Resource Allocation for Chinese Youth: Analysis Based on Spatial Durbin Model Using Interprovincial Panel Data. World Reg. Stud. 2024, 33, 167–182. [Google Scholar]
  26. Chang, S.-H.; Zhang, Y.; Lin, C.-T.; Kao, C.-L.; Lim, B.-H.; Hung, T.-C.; Tseng, C.-Y.; Kuo, C.H. Childhood overweight/obesity and social inequality in peri-urban regions of Taipei. Habitat Int. 2018, 73, 1–5. [Google Scholar] [CrossRef]
  27. Chen, Y.; Liu, Y.; Grekousis, G.; Qian, Z.; Vaughn, M.G.; Bingheim, E.; Yang, B.; Chen, G.; Dong, G. Examining the non-linear association between the built environment around residence and the risk of obesity among children and adolescents at different school stages in Guangzhou and Shenzhen, China. Cities 2024, 145, 104674. [Google Scholar] [CrossRef]
  28. Olsen, H.; Kennedy, E.; Vanos, J. Shade provision in public playgrounds for thermal safety and sun protection: A case study across 100 play spaces in the United States. Landsc. Urban Plan. 2019, 189, 200–211. [Google Scholar] [CrossRef]
  29. Aminpour, F.; Bishop, K.; Corkery, L. The hidden value of in-between spaces for children’s self-directed play within outdoor school environments. Landsc. Urban Plan. 2020, 194, 103683. [Google Scholar] [CrossRef]
  30. Li, D.; Zhai, Y.; Chang, P.J.; Merrill, J.; Browning, M.H.E.M.; Sullivan, W.C. Nature deficit and senses: Relationships among childhood nature exposure and adulthood sensory profiles, creativity, and nature relatedness. Landsc. Urban Plan. 2022, 226, 104489. [Google Scholar] [CrossRef]
  31. Özdemir, A. An approach on children’s experiences of participatory planning. Cities 2019, 93, 206–214. [Google Scholar] [CrossRef]
  32. Li, W. Health implications of environmental and social resources for preadolescents in urban China. Habitat Int. 2015, 50, 347–353. [Google Scholar] [CrossRef]
  33. Simpson, B. Towards the Participation of Children and Young People in Urban Planning and Design. Urban Stud. 1997, 34, 907–925. [Google Scholar] [CrossRef]
Figure 1. The study area.
Figure 1. The study area.
Buildings 14 02872 g001
Figure 2. NCOAS Moran scatterplot (a), SML Moran scatterplot (b), AF Moran scatterplot (c), NA Moran scatterplot (d), COASS Moran scatterplot (e).
Figure 2. NCOAS Moran scatterplot (a), SML Moran scatterplot (b), AF Moran scatterplot (c), NA Moran scatterplot (d), COASS Moran scatterplot (e).
Buildings 14 02872 g002
Figure 3. Enhancing the accessibility and coverage of children’s outdoor space.
Figure 3. Enhancing the accessibility and coverage of children’s outdoor space.
Buildings 14 02872 g003
Figure 4. Specific design techniques to increase interest in children’s outdoor activity space.
Figure 4. Specific design techniques to increase interest in children’s outdoor activity space.
Buildings 14 02872 g004
Figure 5. Process Diagram for Improving Service Management Level.
Figure 5. Process Diagram for Improving Service Management Level.
Buildings 14 02872 g005
Table 1. Children’s outdoor activity space allocation factor system.
Table 1. Children’s outdoor activity space allocation factor system.
DimensionAllocation FactorsClarification
Spatial Accessibility15 min Walking Accessibility (15-MWA)the 15 min walking distance from the center of grids to the location of outdoor activity space
5 min Cycling Accessibility (5-MWA)the 5 min cycling distance from the center of grids to the location of outdoor activity space
Service AccessibilityNumber of Children’s Outdoor Activity Spaces (NCOAS)the number of children’s outdoor activity spaces within the grids
Type of Children’s Outdoor Activity Space (TCOAS)the types of children’s outdoor activity space within the grids.
Scale Capacity (SC)the capacity of children’s outdoor activity space within the grids
Quality of Facilities (QF)the quality of facilities within children’s outdoor activity space
Service Management Level (SML)the service management level of children’s outdoor activity space
Security of Facilities (SF)the safety and extent of equipment damage in children’s outdoor activity space
Amusement of Facilities (AF)the variety and appeal of play features in children’s outdoor activity space
Open Direction (OD)the number of entrances and exits in children’s outdoor activity space within the grid
Number of Advertisements (NA)the quantity of child-related advertisements in children’s outdoor activity space
Natural and Humanistic EnvironmentNeighbourhood Facilities (NF)the number of supporting facilities around children’s outdoor activity space
Greenery Coverage (GC)the green coverage around children’s outdoor activity space
Economic AffordabilityAmount of charge (AC)the fee structure for children’s outdoor activity space
Physio-Psychological FactorExclusivity of Service Recipients (ESR)the specificity of the target audience for children’s outdoor activity space
Social Property (SP)the frequency of crowd contact, conversation, and interaction within children’s outdoor activity space
Table 2. VIF test results.
Table 2. VIF test results.
Allocation FactorsVIF average
15-MWA4.680
5-MWA4.648
NCOAS2.273
TCOAS3.093
SC2.780
QF2.867
SML2.045
SF2.065
AF1.820
OD1.636
NA2.680
NF1.767
GC3.403
ESR2.225
SP3.690
AC2.503
Table 3. Summary table of MLR.
Table 3. Summary table of MLR.
RR2Adjusted R2RMSEDW
0.8090.6540.5850.6582.143
Table 4. ANOVA table of MLR.
Table 4. ANOVA table of MLR.
Sum of SquaresDegrees of FreedomMean SquareFp
regression65.462164.0919.4580.000
residual34.608800.433
total100.07096
Table 5. Result of MLR.
Table 5. Result of MLR.
ModelUnstandardized CoefficientsStandardized CoefficientstSig.
BStd. ErrorBeta
(constant)
15-MWA
−0.118
−3.242 × 10−5
0.186-−0.6350.527
0.001−0.009−0.0600.952
5-MWA0.0000.0010.0360.2550.799
NCOAS0.2400.1140.2082.1080.038
TCOAS0.1620.1320.1391.2250.224
SC0.0980.1300.0830.7530.454
QF−0.0280.141−0.022−0.1990.842
SML0.2410.1200.1872.0110.048
SF0.0010.1080.0000.0050.996
AF0.3660.1180.2743.0970.003
OD−0.0230.110−0.017−0.2080.836
NA0.2060.1250.1862.6870.009
NF0.1800.1220.1341.4810.142
GC0.1420.1040.1281.3580.178
AC−0.1490.109−0.117−1.368AC
ESR0.0030.0930.0030.0330.974
SP0.1610.1320.1371.2200.226
Table 6. Global Moran’s Index.
Table 6. Global Moran’s Index.
VariableMoran’s IE (I)Sd (I)zp-Value
NCOAS0.059−0.0100.0531.3130.095
SML0.033−0.0100.0530.8150.097
AF0.062−0.0100.0551.3220.093
NA0.098−0.0100.0532.0420.021
COASS0.118−0.0100.0532.3300.010
Table 7. Model validation.
Table 7. Model validation.
TestStatisticdfp-Value
Moran’s I (error)1.35710.175
Lagrange Multiplier (error)0.99010.320
Robust LM (error)0.89010.346
Lagrange Multiplier ((lag)4.82710.028
Robust LM ((lag)4.72710.030
Table 8. AIC, BIC, log-likelihood, and R2 of SLM.
Table 8. AIC, BIC, log-likelihood, and R2 of SLM.
AICBICLog-LikelihoodR2
210.1392228.162−98.0700.551
Table 9. SLM regression coefficients.
Table 9. SLM regression coefficients.
Variable β Std. Errzp > |z|
NCOAS0.3920.08304.7300.000
SML0.2810.1102.5500.011
AF0.3700.1003.7000.000
NA0.3430.0883.8800.000
_cons−0.1290.091−1.4200.157
ρ 0.0330.0420.0800.038
Disclaimer/Publisher’s Note: The statements, opinions and data contained in all publications are solely those of the individual author(s) and contributor(s) and not of MDPI and/or the editor(s). MDPI and/or the editor(s) disclaim responsibility for any injury to people or property resulting from any ideas, methods, instructions or products referred to in the content.

Share and Cite

MDPI and ACS Style

Huang, X.; Yang, Z.; Lin, J.; Li, Y.; Chen, Y.; Shi, F.; Zhang, A.; Lu, Y.; Chen, G.; Ma, M.; et al. A Study on the Spillover Effects of Children’s Outdoor Activity Space Allocation in High-Density Urban Areas: A Case Study of Beijing. Buildings 2024, 14, 2872. https://doi.org/10.3390/buildings14092872

AMA Style

Huang X, Yang Z, Lin J, Li Y, Chen Y, Shi F, Zhang A, Lu Y, Chen G, Ma M, et al. A Study on the Spillover Effects of Children’s Outdoor Activity Space Allocation in High-Density Urban Areas: A Case Study of Beijing. Buildings. 2024; 14(9):2872. https://doi.org/10.3390/buildings14092872

Chicago/Turabian Style

Huang, Xiaowen, Zhen Yang, Jiaqi Lin, Yu Li, Yihan Chen, Fangzhou Shi, Anran Zhang, Yue Lu, Guojie Chen, Miaoyi Ma, and et al. 2024. "A Study on the Spillover Effects of Children’s Outdoor Activity Space Allocation in High-Density Urban Areas: A Case Study of Beijing" Buildings 14, no. 9: 2872. https://doi.org/10.3390/buildings14092872

APA Style

Huang, X., Yang, Z., Lin, J., Li, Y., Chen, Y., Shi, F., Zhang, A., Lu, Y., Chen, G., Ma, M., Zhou, Y., Liu, P., Chen, Y., Qin, D., & Zhang, Q. (2024). A Study on the Spillover Effects of Children’s Outdoor Activity Space Allocation in High-Density Urban Areas: A Case Study of Beijing. Buildings, 14(9), 2872. https://doi.org/10.3390/buildings14092872

Note that from the first issue of 2016, this journal uses article numbers instead of page numbers. See further details here.

Article Metrics

Back to TopTop