Abstract
The interface of fresh-aged concrete represents a critical vulnerability within monolithic assembled monolithic concrete structures. In this paper, the shear performance of the interface between post-cast epoxy resin concrete and standard concrete is studied using experimental methods and finite element analysis. The objective is to furnish empirical data that support the broader adoption of epoxy resin concrete in assembled structures. A direct shear experiment of 19 Z-shaped samples and a computation of 20 finite element models were completed. The results from both experimental and computational analyses provided insights into several factors influencing the shear performance at the interface. These factors include the pre-cast part of concrete strength, the friction coefficient of the interface, the longitudinal reinforcement ratio at the interface, the compressive strength of concrete in the post-cast part, and confining stress. The findings indicate that utilizing epoxy resin concrete for post-cast material, roughing the interface, and setting keyways can enhance the shear performance of the interface so that it equals or even exceeds the cast-in situ sample. Optimal shear results are obtained when the compressive strength of the post-cast epoxy resin concrete closely matches that of the pre-cast conventional cement. Moreover, increasing the depth of the keyways rather than their width is more effective in improving the shear capacity of the sample. It is recommended that the depth of the keyway should be at least 30 mm, and its width should be no less than three times the depth. As the longitudinal reinforcement ratio at the interface increases, there is an enhancement in shear capacity coupled with a reduction in deformative performance. It is advisable to maintain this ratio below 1.0% to balance the strength and ductility effectively.
1. Introduction
The interface regions within prefabricated concrete structures represent the most vulnerable sections in terms of shear resistance, but are also the critical sections of the fresh-aged concrete to transfer the load, significantly influencing the lifespan of the entire structure. Broad investigations have recently been carried out into the factors affecting the performance of these joints. These factors include the style of the joint, the processing approach of the interface, the setting of the keyway, the type and strength of the post-cast material, and the confining stress. A great deal of in-depth research has been carried out in recent years to address these issues.
Regarding the connection joint type and fresh-aged concrete interface treatment, Momayez et al. [1] showed that rough surface treatment can obtain greater bond shear strength. He et al. [2] observed a roughly linear correlation between bond shear strength and interface roughness, noting that the application of an interfacial agent markedly boosted the robustness of the junction. Julio et al. [3] explored various bond surface treatments, identifying sandblasting as the most effective method to increase bond shear strength, despite its lower construction efficiency; alternatively, keyways proved more practical for routine applications. Jang et al. [4] assessed the shear strength benefits of vertical joints; high-pressure, water-treated joints; and differently sized keyways, concluding that keyways substantially improved the joint shear strength. Reference [5] indicated optimal shear performance when a keyway with a depth of 30 mm was set. Yuan et al. [6] showed a decrease in shear capacity with an increase in the number of keyways, although larger keyways exhibited superior shear capacity compared to smaller ones. Yang et al. [7] studied the bond shear performance across different keyway designs on the UHPC-NC interface, finding that increased keyway width enhanced shear strength, whereas reduced spacing diminished it. Ye et al. [8,9] conducted shear experiments on key connections in pre-cast ultra-high-performance concrete segmental bridges, revealing that samples coated with epoxy resin binder at the keyway demonstrated relatively better ductility and higher stiffness than those with dry-key joints. Wang et al. [10] proposed a compact UHPC wet joint, and through both experimental and numerical simulation studies, demonstrated that this wet joint variant slightly outperformed the epoxy resin dry joint samples, affirming the wet joint’s superior shear strength, robustness, and adhesion properties. Zhang et al. [11] found that augmenting the number or distribution density of dowel bars increased the stiffness and shear strength of the joint surface while decreasing the peak displacement. The reliability of their findings was confirmed through analysis using ABAQUS (2021) finite element software.
In terms of post-cast material types, Deng et al. [12] utilized high ductile concrete (HDC) to replace ordinary concrete in beam–column joints, discovering that HDC significantly enhanced both the deformation potential and energy absorption of the frame joints. Chen et al. [13] performed experiments and numerical simulations on monolithically cast frame beam–column joints and composite frame structures with post-cast ordinary and epoxy resin cement. Their findings indicate that the mechanical characteristics of beam–column joints with post-cast ordinary concrete were lesser than those of cast-in situ joints, while those reinforced with post-cast epoxy resin concrete matched or surpassed the in situ counterparts.
Regarding the effect of confining pressure on the shear strength, Shamass et al. [14] utilized the ABAQUS finite element software tool to model pre-cast concrete segmental box girder bridge nodes, identifying a linear correlation between the perimeter stress and the shear force of epoxy joints. Similarly, Gopal et al. [15] found that the shear capacity of UHPFRC grooved dry joints was enhanced with the application of greater confining stress.
Epoxy resin-based concrete is a compound material that is hardened and molded from a mixture of epoxy resin, a curing agent, and sand aggregate [16]. This substance demonstrates enhanced characteristics relative to standard silicate concrete in terms of tensile strength, crack resistance, material homogeneity, and integrity [17]. Given its robust interfacial bond strength with concrete, along with its thermal resistance, chemical durability, and mechanical characteristics [18], epoxy resin-based concrete is predominantly utilized in reinforcement projects, including concrete crack repair [18,19,20,21,22], as well as road construction. However, its application in building structures remains limited, presenting a broad spectrum of research and development opportunities for this engineering structural material. In 2019, Gil-Martin et al. [23] examined the mechanical properties of epoxy resin cement compared to tire rubber concrete in beam–column joints. Their findings indicated that, while the epoxy resin concrete beam–column joints showed commendable working efficiency, tire rubber cement was found to be inadequate for the central regions of connections. More recently, in 2021, El-Mandouh et al. [24] conducted an experimental investigation on the shear performance of 18 simply supported, super-reinforced epoxy resin concrete beams, demonstrating that these beams experienced less deformation and exhibited higher cracking and ultimate shear capacities, along with improved ductility, compared to beams composed of non-epoxy resin concrete. References [25,26] studied the mechanical properties of epoxy resin concrete members. These results provide valuable perspectives on the possible use of epoxy resin concrete in construction frameworks. However, the high viscosity and rapid hardening speed of epoxy resin concrete complicate the preparation process, which restricts its widespread application. Therefore, optimizing the preparation method of epoxy resin concrete remains a critical issue for future studies.
In summary, this paper advocates for the utilization of epoxy resin concrete as a post-cast material within assembled monolithic structures, focusing on the bond between aged and fresh concrete surfaces. Employing both experimental approaches and finite element analysis, this research aims to evaluate how different elements affect the shear performance of these concrete junctions. These elements encompass post-cast concrete strength class, friction coefficient of interface, confining stress, the longitudinal reinforcement ratio of interface, and the strength class of pre-cast concrete. The objective is to assess the shear behavior of the junction between post-cast epoxy resin concrete and standard concrete, thereby providing empirical data to support the use and advancement of epoxy resin concrete in assembled monolithic concrete frameworks. The research methodology and steps of this paper are depicted in Figure 1.
Figure 1.
Flowchart of research work.
2. Experiment Profile
2.1. Experiment Piece Design
This study designed and fabricated a total of 19 Z-type straight shear samples. The set included two sets of cast-in situ contrasting samples (i.e., samples ZJ1 and ZJ2). Additionally, the experiment comprised four groups of samples featuring post-cast ordinary concrete and thirteen groups utilizing post-cast epoxy resin concrete. Details concerning the characteristics and configurations of these samples are provided in Table 1.
Table 1.
Basic situation of the samples.
The basic composition of the assembled direct shear sample is depicted in Figure 2. Keyway extends horizontally across the entire interface, with the dimensions of the interface measuring b × h = 150 mm × 200 mm. Longitudinal reinforcement passes through the interface and is reliably anchored within both the pre-cast and post-cast parts, respectively. Detailed specifications concerning the dimensions and reinforcement layout of typical samples are illustrated in Figure 3.
Figure 2.
Basic composition of assembled direct shear samples.
Figure 3.
Detailed dimensions and reinforcement of typical samples.
2.2. Basic Mechanical Properties of Material
During the production of the samples, C30-grade concrete was used for both pre-cast and post-cast plain concrete applications. The mixture proportions for the epoxy resin concrete are specified in Table 2. The compressive forces of both the ordinary and epoxy resin concretes were measured and are presented in Table 3. Here, the term “adjusted strength” refers to the strength values recalibrated for comparison using a standard cube sample measuring 150 mm × 150 mm × 15 mm. Additionally, the determined mechanical characteristics of the steel reinforcement are documented in Table 4.
Table 2.
Epoxy resin concrete mixing ratio.
Table 3.
Average cube compressive strength (MPa).
Table 4.
Measured tensile strength of steel reinforcement (MPa).
2.3. Loading Device and Measurement Solution
The configuration of the direct shear test apparatus is depicted in Figure 4. The loading equipment was 50 t hydraulic jack, while the steel beam of a 2000 t electro-hydraulic servo universal testing machine served as the vertical load counter frame. A transducer was placed above the jack to monitor loading metrics. To distribute the vertical load effectively, a 150 mm × 200 mm steel plate was located at the middle of both the top and bottom surfaces of the sample. This setup ensured that the central force applied during testing aligned with the shear surface (the interface of the aged and the fresh concrete), facilitating a pure shear condition. Initially, the sample underwent preloading to 30% of the anticipated cracking load, and the test was repeated several times to ensure uniform force application and the proper functioning of the loading apparatus. In the main loading phase, incremental loads of 10 kN were applied in a force-controlled manner until sample failure occurred.
Figure 4.
Direct shear test device.
The experimental protocol necessitated measuring the relative slip at the bonding surface between the two sides of the bonding surface throughout the loading phase. To eliminate the test errors, dual displacement gauges were strategically positioned on each side of the interface. The configuration of these displacement sensors is outlined in Figure 5. The relative slip across the interface was quantified by calculating the difference between the average readings from the displacement gauges on the left and right sides of the joint.
Figure 5.
Displacement gauge layout.
3. Experimental Results and Analyses
3.1. Experimental Phenomena
- (1)
- Cast-in situ samples ZJ1 and ZJ2
The cast-in situ unreinforced sample ZJ1 was damaged during the demolding process, indicating that the shear bearing capacity of the interface was extremely low.
For the cast-in situ sample ZJ2, with a longitudinal reinforcement ratio of 0.67%, the sample exhibited no signs of damage phenomena when subjected to vertical loads below 70 kN. The initial appearance of a vertical shear crack occurred at the middle and upper parts of the interface when the vertical load reached 70 kN. As the load increased, another vertical crack appeared in the middle and lower parts of the interface, eventually leading to full penetration of the cracks. Upon reaching the ultimate load of 94.3 kN, the relative displacement measured was 2.11 mm, followed by a decrease in the load. The final damage state of the sample, characterized by its distinct shear damage features, is illustrated in Figure 6.
Figure 6.
The failure mode of sample ZJ2 (front).
- (2)
- EC0 group assembled samples with untreated interface
For the unreinforced sample EC01, initially, no apparent damage was observed at the onset of loading. However, upon reaching a load of 53 kN, a sudden “bang” was heard and the sample split along the interface, separating the pre-cast from the post-cast parts. This led to a sharp decline in the bearing capacity, leading to the sample’s failure. Apart from minor concrete spalling on one side of the prefabricated section, the rest of the sample exhibited significant damage, with a flat shear damage surface. This damage is depicted in Figure 7a as typical shear damage.
Figure 7.
Failure modes of EC0 group samples.
For sample EC02, with a longitudinal reinforcement ratio of 0.67%, there was no obvious change in the sample when the vertical load was 10–30 kN. However, when loaded to 40 kN, multiple fine vertical shear cracks began appearing on the interface. As loading continued, the number and width of these cracks gradually increased, accompanied by fine horizontal cracks at the positions of longitudinal reinforcements. The sample’s bearing capacity peaked at 57 kN, after which the load began to decrease slowly. The interface cracks progressively widened and completely penetrated the sample, coupled with continuous spalling of the concrete. Following this, the load exhibited fluctuations and a gradual decline. The damage sustained by the sample is illustrated in Figure 7b, and is classified as typical shear damage.
- (3)
- EC1 and CC1 assembled samples with roughened interfaces
The damage patterns of unreinforced samples EC11 and EC01 of post-cast epoxy resin concrete were similar, exhibiting typical shear damage (Figure 8a). Notably, the shear capacity of the former was slightly greater than that of the latter, indicating a favorable effect of the roughness of the interface on shear performance. Conversely, compared with EC11, the unreinforced samples of post-cast ordinary concrete CC11 sustained damage before formal loading, highlighting the extremely low shear capacity of the interface between the post-cast plain concrete and the pre-cast section.
Figure 8.
Failure modes of samples in EC1 group and CC1 group.
The test phenomena of samples of the EC1 group (EC12~EC14) and EC02 samples showed similar damage patterns, predominantly occurring at the bond surface. With the increasing reinforcement ratio, both the cracking load and ultimate bearing capacity of the samples increased, while the corresponding displacement decreased. For samples EC13 and EC14, the concrete shielding layer at the upper part of the interface spalled off due to the action of longitudinal reinforcement pins. The damage patterns of these samples are depicted in Figure 8b–d.
The experimental phenomena observed for sample CC12 were similar to those of the group EC1. Comparatively, with the same reinforcement rate, the cracking loads for sample CC12 and EC12 were nearly identical, although the ultimate load for CC12 was slightly lower. This suggests greater shear friction between the epoxy resin concrete and the standard concrete. The failure mode of the sample is displayed in Figure 8e.
- (4)
- EC2 and CC2 assembled samples with keyways on the interface
When loaded to 63 kN, the unreinforced sample EC21–7025 was split in two along the interface, where the keyway was sheared off and the damage surface appeared relatively flat, indicative of typical brittle shear damage, as shown in Figure 8a. Conversely, sample CC21–7025 sustained damage at the bond surface during handling, highlighting the minimal shear capacity of the interface between the post-cast ordinary concrete and the pre-cast concrete.
The damage process for the six reinforced samples in the EC22 group followed a similar pattern: initial cracking in tension was observed above the keyway, followed by local compressive vertical cracks forming below the keyway. As the load continued to rise, the number and extent of the cracks below the keyway expanded, and vertical shear cracks along the interface developed until the ultimate load was reached. After reaching this point, the load began to decrease, and the crushing of the concrete below the keyway became pronounced. The keyway appeared to be completely sheared when the width of the keyway root was small (e.g., 70 mm). Moreover, the maximum load of the sample increased with the depth of the keyway, but this also resulted in more severe damage to the prefabricated part. The damage modes for each sample are depicted in Figure 9b–g.
Figure 9.
Failure modes of samples in EC2 group and CC2 group.
The damage process of sample CC22–7025 was similar to those of the six reinforced samples in the EC22 group, although it exhibited a lower ultimate load. During the damage phase, the keyway sheared, as illustrated in Figure 9h.
From the examination of each sample’s damage, several conclusions can be drawn: (1) The shear capacity of the interface was primarily derived from the bond and friction between the old and new concrete. Consequently, the shear capacity of the post-cast epoxy resin concrete samples was significantly greater than that of the post-cast ordinary concrete samples. At ultimate load, these samples typically exhibited a large shear slip and lost load-carrying capacity, characteristic of brittle shear damage. Appropriately configured longitudinal steel reinforcement substantially enhanced both the shear capacity and ductility of the interface. (2) Damage consistently occurred at the interface. Apart from the post-cast epoxy resin concrete and the samples with keyways on the interfaces, the pre-cast and post-cast portions of the rest of the samples remained relatively intact. However, in samples with keyways, damage to the pre-cast part was more severe, primarily due to the significant difference in durability between the post-cast epoxy resin concrete and the pre-cast concrete. When a strong keyway was embedded in a weaker pre-cast component, the interaction under load led to pronounced damage in the weaker pre-cast part. (3) In some cases, the sample loading may not have been fully geometrically centered, and torsional forces on the sample or loading-end stresses induced cracking. However, these effects were generally minor and did not significantly impact the experimental outcomes.
3.2. Load–Displacement Curve
The load–displacement curves of each sample are displayed in Figure 10. Among them, cast-in situ reinforcement sample ZJ2 serves as a comparison sample. The data of the experimental results are displayed in Table 5.
Figure 10.
Comparative analysis of load–displacement curves of each set of samples.
Table 5.
Experimental data of each sample.
- (1)
- Analysis of unreinforced samples
The comparative analyses of the CC*1 and EC*1 groups of samples are depicted in Figure 10a. Among others the CC*1 group includes CC11 and CC21-7025, and the EC*1 group includes EC01, EC11 and EC21-7025.
Both the CC11 and CC21–7025 unreinforced samples made from post-cast ordinary concrete were damaged during the mold removal process, and consequently, no test data were available. In contrast, the three unreinforced samples from the EC*1 group, made from post-cast epoxy resin concrete, all exhibited brittle shear damage. These samples reached their shear capacity and then suddenly experienced shear failure, resulting in an instantaneous decrease in shear capacity. Among these, the sample with a roughened interface and a keyway exhibited the highest shear capacity, while the sample with an unroughened interface and no keyway displayed the lowest shear capacity, as illustrated in Figure 10a.
- (2)
- Comparative analysis of types of post-cast concrete
The comparative analyses of the samples in the CC and EC groups are shown in Figure 10b.
The shear resistance of the CC12 and EC12 samples, which were only subjected to rough treatment on the interface, was derived from two main forces: the shear friction force at the interface and the dowel force exerted by the longitudinal reinforcement. Initially, the shear friction force dominated during the early loading stages. However, as this force waned, the dowel force from the longitudinal reinforcement became pivotal, providing consistent and stable shear resistance. This mechanical interplay is evident from the load–displacement curves for both samples, as shown in Figure 10b. A characteristic small peak occurred early in the loading process, followed by a slight decline in the curve, indicating the loss of shear friction at the interface. Subsequently, as the curve ascended once more, it coincided with significant bond slip, demonstrating that the dowel force of the longitudinal reinforcement assumed the primary role in shear resistance. This continued until the slip reached approximately 16 mm, at which point the curve abruptly fell, signaling the depletion of the interface’s shear capacity. Therefore, although such samples displayed robust late-stage shear bearing and shear deformation capacity, excessive bond slip ultimately undermined the interface’s structural utility. Consequently, the first peak point load observed should be taken as the shear bearing capacity for these samples. Additionally, Figure 9b reveals that, while the initial shear stiffness of the post-cast epoxy resin concrete sample EC12 was slightly smaller than that of the post-cast ordinary concrete sample CC12, its shear bearing capacity was slightly larger. This suggests that post-cast epoxy resin concrete offers a slight advantage in terms of shear friction at the interface over ordinary concrete. Nonetheless, this advantage is subtle, and the overall shear bearing capacity is primarily contingent upon the reinforcement rate of the interface.
The shear capacities of the samples CC22–7025 and EC22–7025, both featuring keyways on the interface, were derived from a tripartite system: the shear friction force at the interface, the shear bearing capacity offered by the keyway, and the dowel force from the longitudinal reinforcement. Within this system, the keyway played a crucial role in the stress mode of the cantilever deep beam. Empirical comparisons revealed a significant enhancement in mechanical performance due to the keyway integration. Specifically, the load-carrying capacity of the sample CC22–7025 showed a substantial increase of 35.3% compared to CC12, with the displacement at the peak load expanding by 23.2%.The sample EC22–7025 exhibited an even more pronounced increase of 91.3% in load-carrying capacity and a 64.6% increase in displacement at the peak load when compared to EC12. These observations underscore the superior initial shear stiffness and overall shear capacity of samples incorporating post-cast epoxy resin concrete, as well as their improved shear ductility. It is also illustrated in Figure 9b that the enhanced shear performance of post-cast epoxy resin concrete samples with keyways on the interface exceeded that of the monolithic cast samples. This highlights the beneficial impact of keyways on improving structural responses and durability, pointing towards the efficacy of keyway integration in complex stress environments.
- (3)
- Comparative analysis of post-cast epoxy resin concrete samples with rough-surface-only and cast-in situ samples
The EC1 group was analyzed in comparison with the cast-in situ sample ZJ2; see Figure 10c.
As previously discussed, for samples without keyways on the interface, the load corresponding to the first peak point should be considered the definitive measure of the sample’s shear bearing capacity. According to Figure 9c, as the longitudinal reinforcement rate on the interface increased, both the shear bearing capacity and the corresponding peak load displacement of the sample rose, indicating an enhancement in shear ductility. Specifically, the shear bearing capacity of sample EC12 (the longitudinal reinforcement rate of the interface was 1.5%) was the highest, 16.6% greater than that of the cast-in situ sample ZJ2. This demonstrates that the shear performance of the interface in post-cast epoxy resin concrete can match or surpass that of cast-in situ samples, provided that the reinforcement rate is sufficiently high. Although the shear performances of other samples in the EC1 group did not achieve the levels observed in the cast-in situ sample, their later-stage shear deformation capacity was superior, highlighting a distinct advantage of using post-cast epoxy resin cement from a constructional perspective.
- (4)
- Comparative analysis of post-cast epoxy concrete samples with keyways on the interface and cast-in situ samples
The comparative analysis between the EC2 group and the cast-in situ sample ZJ2 is depicted in Figure 10d.
The load–displacement curves for each sample within the EC2 group exhibited similar patterns. As evidenced by the test curves of samples EC22–7025, EC22–8025, and EC22–9025, an increase in the width of the keyway root enhances the initial stiffness and shear load capacity of the samples. Nevertheless, this also results in a decrease in peak load–displacement, and the descending section of the curves becomes steeper, indicating a reduction in shear ductility. Further comparisons between pairs of samples, such as EC22–7025 and EC22–7030, EC22–8025 and EC22–8030, and EC22–9025 and EC22–9030, revealed that enhancing the keyway depth augments the shear load capacity. Samples with the narrowest keyway root widths showed the largest increases in load capacity. When examining the test curves of samples EC22–7030, EC22–7030, EC22–8030, and EC22–9030, all of which featured keyway depths of 30 mm, it is evident that there was minimal variation in the shear bearing capacity across these samples. However, samples with wider keyway roots generally displayed lower initial stiffness.
4. Finite Element Analysis
4.1. Constitutive Model of Materials
Concrete was modeled using a plastic damage model. For ordinary concrete, the constitutive equation aligned with the uniaxial stress–strain curve specified in the Code for the Design of Concrete Structures (GB 50010-2010) [27], as illustrated in Figure 11a. Epoxy resin concrete utilized the plastic damage model for concrete, with its constitutive relationship based on the comprehensive curve equation for compressive stress–strain fitted by the research group according to the test and specification [13]. This is de-tailed in Equation (1), The compressive stress–strain curve is displayed in Figure 10b. For the tensile stress–strain curve, epoxy resin concrete refers to that of ordinary concrete, adopting the same constitutive model. The stress–strain curves for the reinforcement were modeled using a bifold model, as depicted in Figure 10c. Table 6 presents the principal parameters of plastic damage for both plain and epoxy resin concrete.
a and b are undetermined parameters with values in the following ranges:
Figure 11.
Stress–strain curves of each material.
Table 6.
Concrete plastic damage parameters.
In this paper, the values for parameters a and b are set at 0.7 and 7, respectively.
4.2. Establishment of Model
In the models, both epoxy resin concrete and ordinary concrete were represented using C3D8R elements and T3D2 elements. The steel reinforcement was treated as fully embedded within the concrete, disregarding any bonding effects with the concrete. The meshing was conducted using a structured division method, with the cell meshing size set to 11 mm for both old and new concrete and to 15 mm for steel reinforcement cells, as depicted in Figure 12. The interface between fresh-aged concrete was modeled using a contact approach that directly considered the interaction between the two surfaces, and the Coulomb friction model was utilized to simulate the bonding effect at the interface. According to the provisions of both U.S. specifications [28] and the provisions of the EU specifications [29], the coefficient of friction μ should be taken as 1.0 for hardened concrete surfaces that are clean, free of slurry, and roughened to a concave and convex depth of at least 1/4 inches. For contact surfaces of rolled structural steel with shear pins or reinforcement, the coefficient of friction μ is set at 0.7. For contact surfaces that are roughened and have a roughness of ≥1.5 mm, the coefficient of friction μ ranges from 0.7 to 1.0. Following several trial computations, the friction coefficient of the joint surface between epoxy resin concrete and ordinary concrete was determined to be 0.8. For models incorporating keyways on the interfaces, the normal action was designated as “hard contact”, which implies there is no limitation to the amount of pressure that can be transferred across the contact surfaces. When the contact pressure becomes negative, indicating the initiation of separation between the two surfaces, the contact constraints at the joints are released. In contrast, models without keyways in the joint feature “soft contact” for normal actions, set as “table”, allowing for some degree of penetration between the two surfaces. This setting is particularly effective for simulating the interactions between old and new concrete, permitting penetration with a displacement of 0.01 mm when the pressure reaches 10 kN.
Figure 12.
Mesh division of the model (with EC12 as an example).
Boundary conditions of the model mirrored the boundary settings employed in the experimental setup, with the sample’s bottom designated as a fixed constraint. A reference point was set at the midpoint of the top of the sample for coupling purposes, and displacement loading was carried out at this reference point to prevent the stress concentration in the loading beam during the loading process. The analysis was carried out in two stages. In the first stage, the translation in the Z direction and the rotational degrees of freedom in the X, Y, and Z directions at the reference point were restricted. In the second stage, a downward displacement of 19 mm was applied at the reference point. The loading system was a replica of that which was used in the test. Figure 13 illustrates the boundary conditions and loading methods under the finite element model.
Figure 13.
Boundary conditions and loading methods.
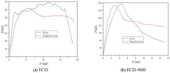
4.3. Model Verification
Samples EC12 and EC22–9030 were selected to confirm the precision of the finite element model. The distribution of the damage factor for concrete under compression served as a proxy for actual sample damage, which is depicted in Figure 14. Figure 14a indicates that the damage to sample EC12 was mainly concentrated in the ordinary concrete on the right side of the lower part of the concrete, which is basically in line with experimental observations. Similarly, as shown in Figure 14b, damage to sample EC22–9030 was primarily concentrated at the upper and lower sides of the keyway, with notable crushing of the concrete below the keyway, closely matching the test results.

Figure 14.
Comparison of failure modes of samples.
Figure 15 and Table 7 present comparisons between the experimental results and the simulation results for the load–displacement curves of the samples. The simulation curves generally reflected the basic trends observed in the test curves. For sample EC12, the discrepancy between the simulated and actual peak loads was approximately 9.0%, and notably, the error in peak load displacement reached about 214%. In contrast, for sample EC22–9030, the error in peak load was around 1.1%, and the error in peak load displacement was 38.6%. These variations can largely be ascribed to the finite element simulation’s omission of certain detrimental factors, including residual stresses and the adjustment of gaps in the test loading apparatus. On the other hand, the test results of the load–displacement curve of sample EC12 showed two peak points. In this paper, the load corresponding to the first peak point is taken as the peak load, which is different from the computation and value method in finite element simulation. If we consider comparing the average value of the load and displacement at the two peak points with the simulation results, the difference between the two was not significant. Despite these discrepancies, the finite element model successfully approximated the mechanical behavior of the direct shear samples on the interface between aged and fresh concrete.
Figure 15.
Comparative analysis of test outcomes and simulation outcomes of load–displacement curve.
Table 7.
Comparative analysis of experimental and simulated values of shear capacity.
4.4. The Influence of Component Parameters on the Shear Performance of the Interface
Recognizing the consensus on the beneficial effect of the keyway on the shear resistance of the interface, this paper mainly focuses on scenarios where no keyway is present on the interface. Based on the EC12, a variable parameter analysis using finite element modeling was conducted. This analysis ensured that certain parameters, such as the strength of the post-cast epoxy resin concrete and the stirrup ratio of the beam–column, remained constant. Conversely, five variables were systematically altered: the interface friction coefficient, the strength of the pre-cast concrete, the longitudinal reinforcement ratio, the confining stress, and both the type and strength of the post-cast material. A total of five groups of 19 finite element models were established, and the specific parameters for each sample are shown in Table 8.
Table 8.
Parameter setting of direct shear model.
4.4.1. Influence of Friction Coefficient of Joint Interface
The coefficients of the friction coefficients μ were derived from the guidelines specified by pertinent American and European standards, as illustrated in Table 9 and Table 10.
Table 9.
Code for design of concrete structures ACI318 [18].
Table 10.
European standard model code 2010 [19].
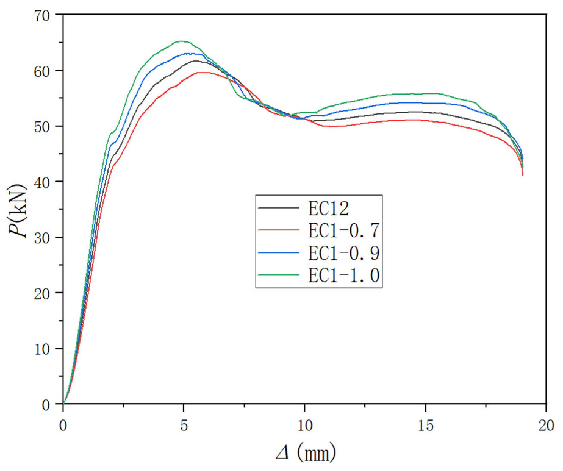
Figure 16 shows the stress cloud diagram for the samples with varying friction coefficients at the peak load, as well as the damage factor distribution diagram at the end of the test. It is evident that the friction coefficient had a slight influence on the failure mode of the samples. The peak stress of the samples appeared at the interface of the fresh-aged concrete. The post-cast part made a major contribution to the stress of the samples, and the damage was primarily localized in the upper part of the pre-cast concrete. Figure 17 presents the P-Δ curves of each sample. It can be observed that, with the rise in the friction coefficient, the initial stiffness of the interface increased slightly. After entering the plastic stress stage, the friction coefficient had a clearer effect on the sample’s load-bearing capacity as the friction coefficient rose from 0.7 to 0.8, and the sample’s load-bearing capacity rose from 59.7 to 61.7 kN, with a growth rate of 3.3%. The friction coefficient rose from 0.8 to 0.9, and the load-bearing capacity rose from 61.7 to 63.0 kN, with an increase rate of 2.0%. The load-bearing capacity rose from 63.0 to 65.3 kN, with a growth rate of 3%. The growth rate was 2.0%. From 0.9 to 1.0, the load carrying capacity increased from 63.0 kN to 65.3 kN, with a growth rate of 3.5%. In conclusion, it can be seen that a larger friction coefficient can maintain the shear load capacity and stiffness of the sample to a certain extent, as well as slow down the stiffness degradation.

Figure 16.
Stress cloud diagram and damage factor distribution diagram of samples with various friction coefficients.
Figure 17.
P-Δ curves of samples with different friction coefficients.
4.4.2. The Influence of Pre-Cast Concrete Strength
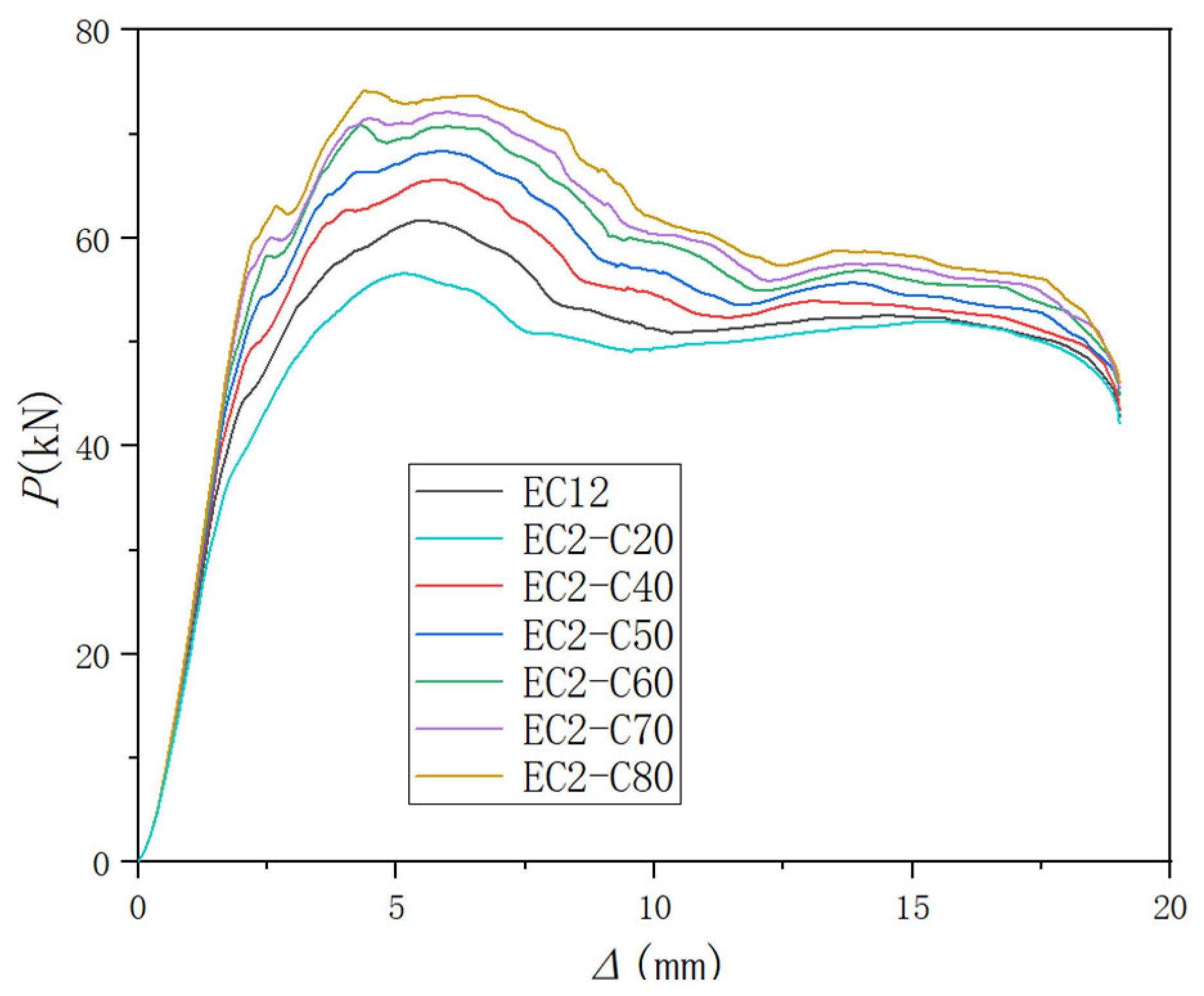
Figure 18 shows the stress cloud diagram and the damage factor distribution diagram at the end of the test for a typical model at peak load. These diagrams illustrate that the strength of the pre-cast concrete does not alter the failure mode of the interface. The peak stress in the sample occurred near the joint between the pre-cast and post-cast parts, with the post-cast section significantly adding to the overall stress. Figure 19 depicts the P-Δ curves of each sample, showing that while the concrete strength had minimal impact on the initial stiffness of the sample, it significantly affected the bearing capacity. As the concrete strength grade increased from C20 to C30, the bearing capacity rose from 56.6 kN to 61.7 kN, an increase of 8.3%. From C30 to C40, the capacity increased from 61.7 kN to 65.7 kN, an increase of 6.1%. From C40 to C50, it escalated from 65.7 kN to 68.4 kN, up by 3.9%. From C50 to C60, it rose from 68.4 kN to 70.7 kN, a rise of 3.3%. From C60 to C70, it increased from 70.7 kN to 72.1 kN, an increase of 1.9%. From C70 to C80, it climbed from 72.1 kN to 73.7 kN, an increase of 2.1%. Subsequently, as the concrete strength continued to increase, the rate of improvement in the sample’s bearing capacity was diminished. Ultimately, the optimal performance of the sample is achieved when the strength of the post-cast epoxy resin concrete was close to or slightly exceeded that of the pre-cast concrete. This is attributed to the optimal interaction capabilities between the fresh and aged concrete at the interface, allowing for the most effective utilization of their combined mechanical properties.

Figure 18.
Stress cloud diagram and damage factor distribution diagram of various pre-cast concrete strength grade samples.
Figure 19.
P-Δ curves of various pre-cast concrete strength grade samples.
4.4.3. The Impact of Longitudinal Reinforcement Ratio of Interface
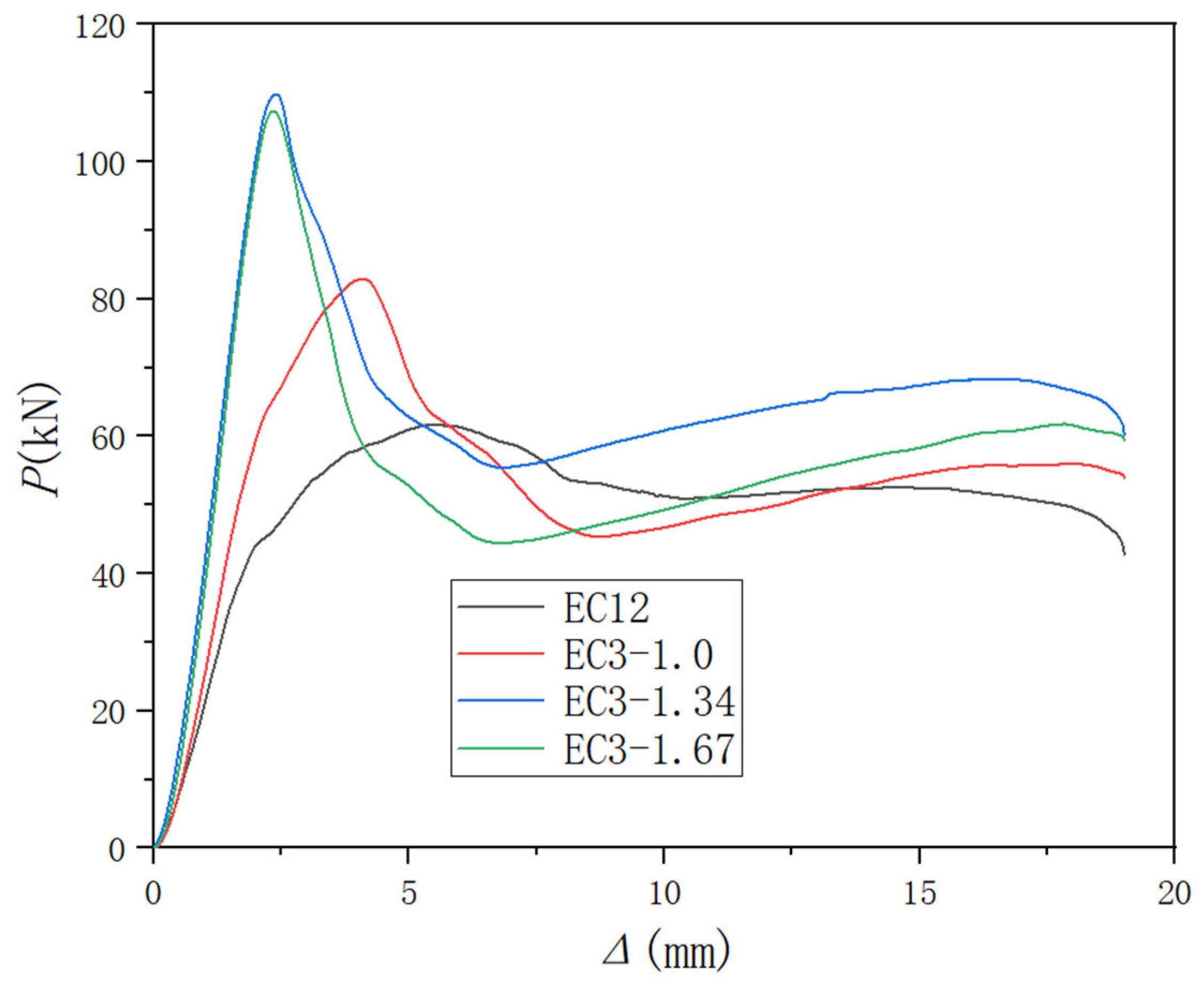
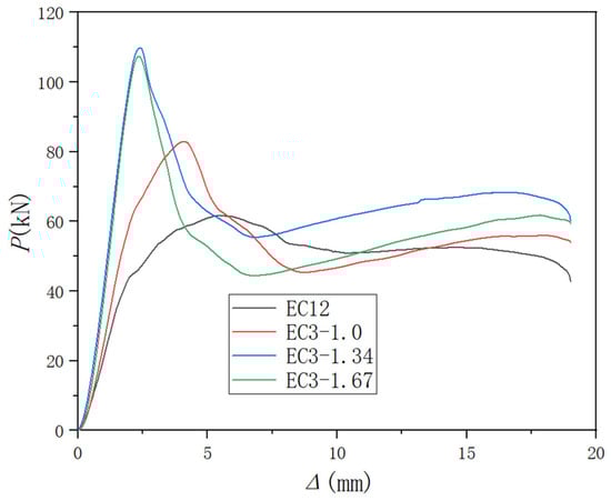
Figure 20 displays the stress contour for each sample under peak load and the damage factor distribution map at the end of the test, varying according to the number of longitudinal reinforcements at the interspersed interface. Figure 21 presents the P-Δ curves for each sample, demonstrating that changes in reinforcement ratios did not alter the failure mode of the joint area, yet significantly impacted the bearing capacity. With the increase in the reinforcement ratio, the peak load increased, the peak displacement decreased, and the descending section of the curve became steeper, signifying accelerated degradation of the bearing capacity over the peak. For example, with a rise in the reinforcement ratio from 0.67% to 1.0%, the bearing capacity rose from 61.7 kN to 82.9 kN, achieving a growth rate of 25.6%. Increasing the reinforcement ratio further from 1.0% to 1.34%, the bearing capacity rose to 109.8 kN, and the growth rate was 24.5%. From 1.34% to 1.67%, it slightly decreased to 107.4 kN. This trend demonstrates that, while lower reinforcement ratios result in significant increases in bearing capacity, higher ratios do not continue to enhance the capacity, and instead lead to steeper post-peak curve descents and reduced ductility. This is primarily due to the interface’s shear bearing capacity increasingly depending on the concrete’s strength as the reinforcement ratio increases, thereby enhancing the brittle failure characteristic.

Figure 20.
Stress cloud diagram and damage factor distribution diagram of each sample, with various reinforcement ratios.
Figure 21.
P-Δ curves of samples with various reinforcement ratios.
4.4.4. The Impact of Concrete Type and Strength of Post-Cast Part
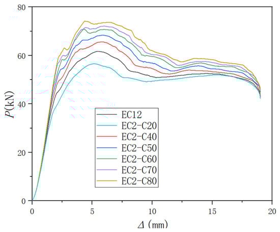
Figure 22 presents the stress cloud diagrams and damage factor distribution diagrams for samples with varying strengths of post-cast ordinary concrete. Meanwhile, Figure 23 showcases the P-Δ curve of each sample. Notably, the damage observed in post-cast ordinary concrete samples is more obvious than in those using post-pouring epoxy resin concrete samples, affecting both old and new concrete. Analysis of Figure 23 reveals that the bearing capacities for samples EC12, CC4-C30, CC4-C40, and CC4-C50 were 61.7 kN, 48.1 kN, 53.0 kN, and 53.7 kN, respectively. Thus, as the strength of post-cast ordinary concrete progressively increased, so too did the bearing capacity of the samples, albeit without reaching the performance levels of samples that utilized epoxy resin concrete as the post-cast material. This outcome underscores the superior performance of epoxy resin materials in the post-cast phase of assembled structures, confirming their effectiveness in enhancing structural integrity and durability.

Figure 22.
Stress cloud diagram and damage factor distribution diagram of various post-cast ordinary concrete strength samples.
Figure 23.
P-Δ curves of different post-cast ordinary concrete strength samples.
4.4.5. Effect of Confining Stress
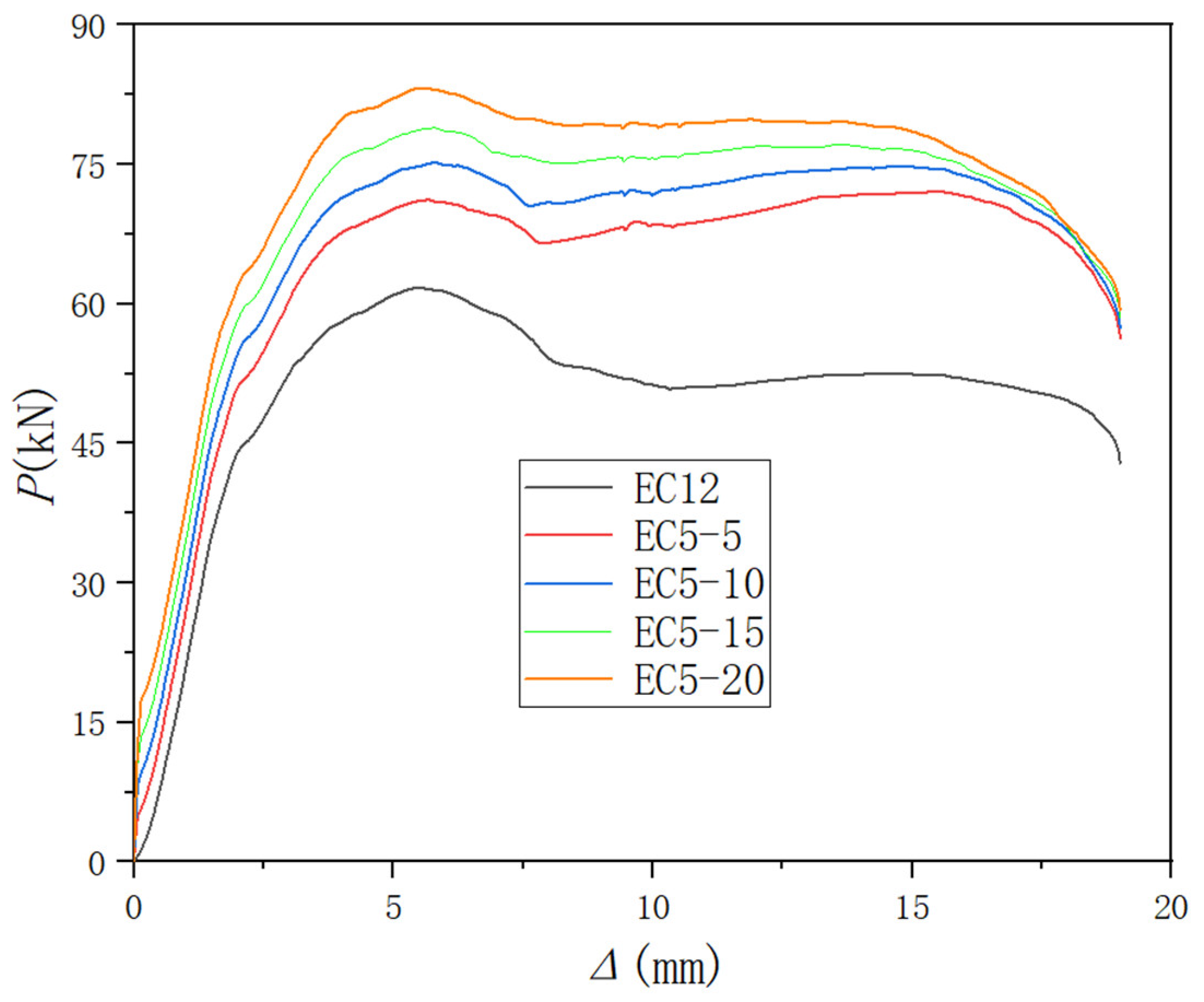
Figure 24 displays the stress cloud diagrams and damage factor distribution diagrams for each sample at peak load under varying levels of confining stress. Figure 25 illustrates the P-Δ curves of these samples. At the first stage of loading, confining stress constrained the shear deformation of the samples, resulting in a steeper slope of the load–displacement curve and increased initial stiffness. As loading progressed, the ultimate load capacity of each sample rose, along with an increase in confining stress. Specifically, when the horizontal restraint force increased from 0 to 5 kN, the shear capacity increased from 61.7 kN to 71.2 kN, marking a growth rate of 13.3%. Further increases in the confining force from 5 kN to 10 kN enhanced the bearing capacity to 75.2 kN, with a growth rate of 5.3%. An increment from 10 kN to 15 kN increased the capacity to 78.9 kN, and the growth rate was 4.7%. When the horizontal restraint force increased from 15 kN to 20 kN, the capacity reached 78.9 kN to 83.1 kN, reflecting a growth rate of 5.1%.

Figure 24.
Stress cloud diagram and damage factor distribution diagram of each sample with different confining stress levels.
Figure 25.
P-Δ curves of samples with different confining stress levels.
5. Conclusions
In this paper, epoxy resin concrete is used as the post-cast material for the direct shear performance testing, finite element simulation, and parameter analysis of fresh-aged concrete joints. The findings offer valuable insights into the broader application of epoxy resin concrete in urban construction:
- (1)
- Epoxy resin concrete has excellent mechanical properties and bonds well with ordinary concrete. Utilizing it as a post-cast material and combining roughening of the interface with the inclusion of a keyway enhances the shear performance to levels comparable to or even surpassing those of cast-in situ samples. Therefore, it is suggested that epoxy resin concrete can be used as a post-cast material for assembled structures, and it is favored over ordinary concrete.
- (2)
- When ordinary concrete is used as the post-cast material, increasing its strength enhances the shear resistance of the interface. Nevertheless, this resistance remains lower than that of both cast-in situ and post-cast epoxy resin concrete samples. Conversely, when the strength of the epoxy resin concrete closely matches that of the pre-cast concrete, the shear resistance of the interface is maximized. Regardless of whether ordinary concrete or epoxy resin concrete is used as the post-cast material, the absence of a keyway on the interface results in suboptimal shear resistance compared to cast-in-place constructions. Therefore, incorporating a keyway is crucial for achieving the desired structural performance. This implies that post-cast epoxy resin concrete, with strength comparable to pre-cast concrete and featuring a keyway joint surface, offers a superior solution for treating the interface between old and new concrete.
- (3)
- The keyway is directly involved in the shear resistance of the interface. Enhancing the depth of the keyway more effectively enhances the shear bearing capacity than expanding its width, as it enlarges the shear working face. In accordance with applicable regulations, it is recommended that the depth of the keyway should be at least 30 mm, and the width of the keyway should not be less than three times the depth. Moreover, raising the friction coefficient of the interface not only boosts its shear bearing capacity, but also stabilizes its deformation performance, underscoring the importance of roughening the interface. The interface treatment methods that can be adopted include wetting treatment, application of interfacial agents, keyway setting, etc. Conversely, while raising the longitudinal reinforcement ratio enhances the shear capacity, it adversely affects the deformation performance, suggesting that this ratio should not exceed 1.0%. Furthermore, enhancing the confining stress improves both the shear bearing capacity and the stability of the deformation performance of the interface.
Author Contributions
Conceptualization, P.C.; Software, H.W. and S.Z.; Writing—original draft, H.W.; Writing—review & editing, P.C. and X.Z.; Project administration, P.C. and X.Z. All authors have read and agreed to the published version of the manuscript.
Funding
This research was funded by the National Natural Science Foundation of China, grant number 51678389.
Data Availability Statement
Data are contained within the article.
Conflicts of Interest
The authors declare no conflict of interest.
References
- Momayez, A.; Ehsani, M.; Ramezanianpour, A.; Rajaie, H. Comparison of methods for evaluating bond strength between concrete substrate and repair materials. Cem. Concr. Res. 2005, 35, 748–757. [Google Scholar] [CrossRef]
- He, Y.; Zhang, X.; Hooton, R.D.; Zhang, X. Effects of interface roughness and interface adhesion on new-to-old concrete bonding. Constr. Build. Mater. 2017, 151, 582–590. [Google Scholar] [CrossRef]
- Julio, E.N.; Branco, F.A.; Silva, V.D. Concrete-to-concrete bond strength. Influence of the roughness of the substrate surface. Constr. Build. Mater. 2004, 18, 675–681. [Google Scholar] [CrossRef]
- Jang, H.O.; Lee, H.S.; Cho, K.; Kim, J. Experimental study on shear performance of plain construction joints integrated with ultra-high performance concrete (UHPC). Constr. Build. Mater. 2017, 152, 16–23. [Google Scholar] [CrossRef]
- Jiang, H.; Hu, Z.; Cao, Z.; Gao, X.; Tian, Y.; Sun, X. Experimental and numerical study on shear perfor-mance of externally prestressed precast UHPC segmental beams without stirrups. In Structures; Elsevier: Amsterdam, The Netherlands, 2022; Volume 46, pp. 1134–1153. [Google Scholar]
- Yuan, A.; Zhao, X.; Lu, R. Experimental investigation on shear performance of fiber-reinforced high-strength concrete dry joints. Eng. Struct. 2020, 223, 111159. [Google Scholar] [CrossRef]
- Yang, J.; Xia, J.; Cheng, C.; Wang, J.; Zhang, J.; Wang, G. Research on the bonding performance of UHPC–NC inter-faces with different sizes of grooves. Front. Mater. 2022, 9, 859717. [Google Scholar] [CrossRef]
- Ye, M.; Li, L.; Li, H.; Zhou, C. Shear behavior of joints in precast UHPC segmental bridges under direct shear load-ing. Constr. Build. Mater. 2022, 357, 129212. [Google Scholar] [CrossRef]
- Cao, J.; Wu, F.; Fan, X.; Lei, S.; Liu, L.; Wang, X.; Peng, K. Experimental and analytical studies on direct shear performance of UHPC keyed joints. Eng. Struct. 2024, 311, 118209. [Google Scholar] [CrossRef]
- Wang, H.; Zhou, Z.; Zhang, Z.; Zou, Y.; Jiang, J.; Zeng, X. Experimental and numerical studies on shear behavior of prefabricated bridge deck slabs with compact UHPC wet joint. Case Stud. Constr. Mater. 2023, 19, e02362. [Google Scholar] [CrossRef]
- Zhang, W.; Yan, B.; Ye, Y.; Yi, W. Direct shear test study on old and new concrete. J. Build. Eng. 2024, 82, 108391. [Google Scholar] [CrossRef]
- Deng, M.K.; Ma, F.D.; Ye, W.; Yin, P.F. Experimental study on aseismic behavior of locally used HDC assembled frame beam-column joints. Eng. Mech. 2019, 36, 68–78. [Google Scholar]
- Chen, P.; Xu, S.; Zhou, X.; Xu, D. An Experimental Study on Flexural-Shear Behavior of Composite Beams in Precast Frame Structures with Post-Cast Epoxy Resin Concrete. Buildings 2023, 13, 3137. [Google Scholar] [CrossRef]
- Shamass, R.; Zhou, X.; Wu, Z. Numerical analysis of shear-off failure of keyed epoxied joints in precast concrete segmental bridges. J. Bridge Eng. 2017, 22, 04016108. [Google Scholar] [CrossRef]
- Gopal, B.A.; Hejazi, F.; Hafezolghorani, M.; Voo, Y.L. Shear Strength of Dry and Epoxy Joints for Ultra-High-Performance Fiber-Reinforced Concrete. ACI Struct. J. 2020, 117, 279–288. [Google Scholar] [CrossRef]
- Beeldens, A.N.N.E.; Monteny, J.; Vincke, E.; De Belie, N.; Van Gemert, D.; Taerwe, L.; Verstraete, W. Resistance to biogenic sulphuric acid corrosion of polymer-modified mortars. Cem. Concr. Compos. 2001, 23, 47–56. [Google Scholar] [CrossRef]
- Qian, Y.; Li, Z.; Jin, Y.; Wang, R. Experimental Study on Axial Tension Members of a New Epoxy Resin Concrete. Sci. Adv. Mater. 2021, 13, 2005–2015. [Google Scholar] [CrossRef]
- Xiang, Q.; Xiao, F. Applications of epoxy materials in pavement engineering. Constr. Build. Mater. 2020, 235, 117529. [Google Scholar] [CrossRef]
- Rahman, M.M.; Akhtarul Islam, M. Application of epoxy resins in building materials: Progress and prospects. Polym. Bull. 2022, 79, 1949–1975. [Google Scholar] [CrossRef]
- El-Hawary, M.; Al-Khaiat, H.; Fereig, S. Fereing Effect of Sea Water on Epoxy-repaired Concrete. Cem. Concr. Compos. 1998, 20, 41–52. [Google Scholar] [CrossRef]
- Yu, T. The Experimental Study of Repairing Concrete Cracks With Epoxy Resin Grouting; Beijing University of Technology: Beijing, China, 2016. (In Chinese) [Google Scholar]
- Zhang, W.; Guan, X.; Ren, J.; Gu, X. Experimental study on chloride permeability of concrete surface-treated with epoxy resin. J. Build. Mater. 2008, 11, 339–344. [Google Scholar]
- Gil-Martín, L.M.; Rodríguez-Suesca, A.E.; Fernández-Ruiz, M.A.; Hernández-Montes, E. Cyclic behavior of RC beam-column joints with epoxy resin and ground tire rubber as partial cement replacement. Constr. Build. Mater. 2019, 211, 659–674. [Google Scholar] [CrossRef]
- El-Mandouh, M.A.; Abd El-Maula, A.S. Shear strength of epoxy-modified reinforced concrete beams. Innov. Infrastruct. Solut. 2021, 6, 1–14. [Google Scholar] [CrossRef]
- Jin, Y. Research of Epoxy Resin Concrete (Mortar) Modified and Application; Jilin Jianzhu University: Changchun, China, 2010. [Google Scholar]
- Li, X. Study on the Behavior of the Axial Compression Members of the New Epoxy Resin Concrete; Jilin Jianzhu University: Changchun, China, 2019. [Google Scholar]
- GB 50010-2010; Code for Design of Concrete Structures. China Architecture & Building Press: Beijing, China, 2015. (In Chinese)
- Joint ACI-ASCE Committee 550. Emulating Castce Detailing in Precast Concrete Structures. 2001. Available online: http://civilwares.free.fr/ACI/MCP04/5501r_01.pdf (accessed on 1 December 2022).
- EN1992-1-2; European Standard. Euro-Code2: Design of Concrete Structures-Part1: General Rules and Rules for Buildings. European Committee for Standardization: Bruxelles, Belgium, 2021.
Disclaimer/Publisher’s Note: The statements, opinions and data contained in all publications are solely those of the individual author(s) and contributor(s) and not of MDPI and/or the editor(s). MDPI and/or the editor(s) disclaim responsibility for any injury to people or property resulting from any ideas, methods, instructions or products referred to in the content. |
© 2024 by the authors. Licensee MDPI, Basel, Switzerland. This article is an open access article distributed under the terms and conditions of the Creative Commons Attribution (CC BY) license (https://creativecommons.org/licenses/by/4.0/).































