Next Article in Journal
Shear Behavior of High-Strength and Lightweight Cementitious Composites Containing Hollow Glass Microspheres and Carbon Nanotubes
Next Article in Special Issue
Preserving Woodcraft in the Digital Age: A Meta-Model-Based Robotic Approach for Sustainable Timber Construction
Previous Article in Journal
Quantifying and Rating the Energy Resilience Performance of Buildings Integrated with Renewables in the Nordics under Typical and Extreme Climatic Conditions
Previous Article in Special Issue
Impact of Wind Pressure Coefficients on the Natural Ventilation Effectiveness of Buildings through Simulations
 
 
Font Type:
Arial Georgia Verdana
Font Size:
Aa Aa Aa
Line Spacing:
Column Width:
Background:
Article

Exploring the Opportunities and Gaps in the Transformation of Modern Rural Housing in Southern China to Net Zero Energy Buildings

by
Dawei Xia
,
Zonghan Chen
,
Jialiang Guo
and
Yukai Zou
*
School of Architecture and Urban Planning, Guangzhou University, Guangzhou 511370, China
*
Author to whom correspondence should be addressed.
Buildings 2024, 14(9), 2822; https://doi.org/10.3390/buildings14092822
Submission received: 27 July 2024 / Revised: 21 August 2024 / Accepted: 5 September 2024 / Published: 7 September 2024

Abstract

This study explores modern residential buildings in rural areas of Wuhan and Guangzhou to assess the feasibility of achieving net zero energy buildings (NZEBs) through the transformation of existing buildings in southern China’s hot-summer–cold-winter and hot-summer–warm-winter regions. Energy simulations under various climatic scenarios identify effective energy-saving measures, such as the use of photovoltaic power generation. The results highlight substantial renovation potential, with energy reductions of approximately 85 kWh/m² (RCP2.6), 90 kWh/m² (RCP4.5), and 115 kWh/m² (RCP8.5). Living patterns significantly influence energy use, especially in buildings with more rooms, where the gaps in the energy demand with net zero standards can reach 560.56 kWh. At the monthly scale, different climate scenarios impact the feasibility of achieving NZEBs, particularly under RCP8.5, where eight rural housing types fail to meet the requirements, with six exceeding 200 kWh energy deficits and the largest energy deficit occurs in June 2090 in Guangzhou, reaching 592.53 kWh, while under RCP2.6, only two buildings with more rooms fail to meet NZE. In summary, in the hot-summer cold-winter region, the energy demand is higher but so is the solar yield. Therefore, under the most adverse RCP8.5 scenario, NZEBs are achievable for 9 months of the year, which is 2 months more compared to Guangzhou under similar conditions. Even after net zero transformation, new rural housing will face greater energy-saving challenges in future climatic conditions, especially under higher concentration pathways.

1. Introduction

Climate change represents one of the most pressing global challenges, demanding concerted efforts from all sectors of society to mitigate its impacts [1]. Achieving carbon neutrality is crucial for stabilizing global temperatures and ensuring a sustainable future [2]. As the largest emitter of greenhouse gasses, China accounts for approximately one-quarter of global carbon dioxide emissions, making its actions pivotal in the global fight against climate change [3,4]. In this context, China’s commitment to reducing peak carbon emissions by 2030 and achieving carbon neutrality by 2060 highlights the nation’s dedication to combating climate change [5]. In line with its commitment, China’s strategies are critical for meeting both national and international climate targets. This ambitious target requires comprehensive strategies across various sectors, including the building sector, which is a significant contributor to carbon emissions.
The building sector is a major consumer of energy and a substantial source of carbon emissions [6,7]. Buildings account for a significant share of global energy consumption, with heating, cooling, and lighting being the primary contributors. In China, the building sector’s energy demand continues to grow, driven by urbanization and improving living standards [8,9]. Reducing energy consumption and carbon emissions from buildings is therefore critical to achieving national and global climate goals [10].
Net zero energy buildings (NZEBs) are designed to produce as much energy as they consume over a year, primarily through energy efficiency measures and on-site renewable energy generation [11]. NZEBs aim to minimize reliance on non-renewable energy sources, thereby reducing carbon emissions. While the concept of NZEBs is gaining traction globally as a viable solution for sustainable and energy-efficient built environments [12], most research has predominantly focused on urban buildings [13,14,15].
However, in a developing country like China, a significant portion of the population resides in rural areas, reaching 34.78% of the national population in 2023, and this population is responsible for considerable energy demands and carbon emissions [16,17]. Rural buildings often lack modern energy-efficient designs and technologies, which typically have a lower construction quality, inadequate insulation, and a poor energy performance compared to their urban counterparts [18]. Optimizing rural buildings for energy efficiency is, therefore, essential to improving living conditions and reducing energy consumption in these areas [19].
Southern China, in particular, has experienced a significant shift in building use patterns, transitioning from a reliance on natural ventilation to an increased use of air conditioning due to rising temperatures and improved living standards [20]. Many buildings in this region were not originally designed with thermal insulation or shading in mind, leading to higher energy consumptions for cooling. Optimizing buildings for energy efficiency, especially in rural areas, is crucial for reducing energy consumption and achieving NZEB standards.
Extensive research has been conducted on transforming buildings’ energy consumption, focusing on both energy-saving measures and the adoption of clean energy technologies [21]. To reduce building energy intensity, typical energy-saving interventions include enhancing the thermal properties of the building envelope [22] and windows [23], implementing the shading devices [24] and improve building airtightness. When strategically combined, these measures can significantly improve buildings’ energy performances [25]. On the other hand, clean energy technologies, such as solar panels [26] and heat pumps [27], contribute to reducing reliance on fossil fuels. However, further research is needed to understand the combined impact of these measures under changing climatic conditions.
Climate change is already affecting building energy use patterns, with implications for future energy demand [28]. Rising temperatures and changing weather patterns are increasing the need for cooling, especially in regions like southern China [29]. However, previous studies have often overlooked the long-term impacts of climate change on energy use of NZEBs [30]. Therefore, there is a growing need to assess and adapt building designs and transformation to ensure resilience of NZEBs to future climatic conditions [31].
This study aims to fill these gaps by examining the energy consumption patterns of modern typical rural housing in southern China, assessing the effectiveness of various energy transformation technologies under future climatic conditions, and identifying the challenges in transforming contemporary rural housing into NZEBs. By providing a comprehensive analysis of energy-saving technologies and their resilience under climate change, this study seeks to contribute to the broader national and global efforts to mitigate climate change, ultimately supporting China’s ambitious carbon neutrality goals.

2. Materials and Methods

This paper primarily explores the opportunities and gaps in transforming typical modern rural houses in hot-summer and cold-winter regions and hot-summer and warm-winter regions into net zero energy buildings in the future, taking typical rural housing in the urban–rural areas of Wuhan and Guangzhou as examples. The research is grounded in an analysis of current and projected building energy performances, employing effective energy-saving renovation techniques. It explores the energy intensity—defined as the annual energy consumption per unit area, encompassing cooling, heating, lighting, and equipment—of these renovated dwellings under both current and future meteorological conditions. Finally, the study evaluates the potential of achieving NZEBs by incorporating energy supplies from rooftop solar photovoltaic systems, examining whether solar energy can meet the energy needs of rural housing on an annual and monthly basis.

2.1. Study Sites

Figure 1 shows climate zones in China based on the GB 50176-2016 Thermal Design Code for Civil Buildings standard. Two climate zones are studied: the hot-summer and warm-winter region, as well as the hot summer-and cold-winter region, characterized by dense population and relatively developed economy. Hot-summer and cold-winter regions and hot-summer and warm-winter regions zones cover approximately 20% and 8% of China’s national land area, respectively. The hot-summer and cold-winter zone spans 15 provinces, and is home to approximately 33.92% of the national population. The hot-summer and warm-winter zone includes 5 provinces, such as Guangdong, representing about 20.55% of the national population. Both zones are situated in the densely populated southern region of China, giving them significant representativeness. In the hot-summer and cold-winter region, the climate is characterized by hot and humid summers, and cold and damp winters. In the hot-summer and warm-winter region, the climate features hot and humid summers and mild winters, though occasionally experiencing cold waves and extreme low temperatures. Wuhan, with a population of 13,774,000, is located in Hubei Province, and is a typical city in the hot-summer and cold-winter zone, with the coordinates 114.13° E, 30.62° N; Guangzhou, with a population of 18,827,000, is located in Guangdong Province, and is a typical city in the hot-summer and warm-winter zone, with the coordinates 113.33° E, 25.52° N.

2.2. Climate Conditions of the Study Sites

The meteorological data utilized in this study come from the China Standard Weather Dataset (CSWD). The CSWD was generated based on long-term real meteorological data collected from 270 weather stations across China from 1971 to 2003. Developed by the Meteorological Information Center of the China Meteorological Administration in collaboration with Tsinghua University, the dataset provides a reliable representation of long-term meteorological conditions in China. The datasets are widely recognized as the primary meteorological data sources for energy consumption simulations in China [32]. The weather data used in this study were downloaded from the official meteorological data website of the reliable energy simulation engine, EnergyPlus.
As shown in Figure 2a,c, the typical meteorological year datasets for Wuhan shows significant differences in monthly average temperatures compared to Guangzhou. Wuhan experiences hotter summers, with an average temperature reaching 29.83 °C in July, and colder winters, with an average temperature dropping to 4.00 °C in January. The lowest monthly average relative humidity in Wuhan occurs in February at 62.84%, whereas in Guangzhou, it occurs in December at 61.56%. Both cities maintain relative humidity levels above 60% throughout the year.
As shown in Figure 2b, Wuhan’s solar energy resources are more abundant than those in Guangzhou, with direct irradiance levels exceeding 150 kW/m2 throughout the year and continually surpassing diffuse irradiance. The highest value reaches 211.60 kW/m2 in June, while the lowest, 173.08 kW/m2, occurs in July. The maximum diffuse irradiance peaks at 121.67 kW/m2 in July.
As shown in Figure 2d, the monthly direct irradiance in Guangzhou is notably lower than in Wuhan, with a peak of 100.24 kW/m2 occurring in November and a minimum of only 25.11 kW/m2, significantly lower than Wuhan’s minimum direct irradiance. The diffuse irradiance is only slightly higher than Wuhan’s from September to January, with a maximum of 106.57 kW/m2, but still less than Wuhan’s peak diffuse irradiance. Overall, Guangzhou receives predominantly diffuse solar radiation, with diffuse values higher than direct irradiance from January to October.
Extensive research indicates that future climate change will significantly impact buildings’ energy consumption. This is crucial for studying the energy-saving transformation of rural housing. Therefore, this paper considers the performance of building energy consumption under the future climates of the hot-summers and cold-winter and hot-summers and warm-winter regions. At a time when carbon emissions are a global priority, it is necessary to consider future climate scenarios under different carbon emission conditions.
The Representative Concentration Pathways (RCPs) are a set of climate scenarios developed to project the potential impacts of different greenhouse gas concentration trajectories on future climate change, which were introduced in the IPCC Fifth Assessment Report. This study uses meteorological data for three RCP scenarios, namely RCP2.6, RCP4.5, and RCP8.5, for the years 2050 and 2090 as input parameters to simulate and explore the trends in residential energy consumption changes in the mid and late 21st century. RCP2.6 represents a relatively low greenhouse gas emission scenario, requiring significant global greenhouse gas reduction measures in the mid-term to maintain greenhouse gas concentrations at lower levels. RCP4.5 represents a relatively moderate greenhouse gas emission scenario, predicting a moderate increase in greenhouse gas concentrations with less ambitious emission reduction targets. RCP8.5 represents a relatively high greenhouse gas emission scenario, predicting a rapid increase in greenhouse gas concentrations with few emission-reduction measures.
Figure 3 shows the annual average temperature changes in Wuhan and Guangzhou under different representative concentration pathways for the years 2050 and 2090, with current meteorological data serving as the baseline reference for annual average temperatures. Under all climate scenarios, the annual average temperatures in Wuhan and Guangzhou are increasing. Under the most moderate RCP2.6 scenario, Wuhan’s annual average temperature is projected to increase from the current 17.29 °C to 19.13 °C by 2090. Under the most extreme RCP8.5 conditions in 2090, the annual average temperature is expected to reach 22.28 °C. Under the most moderate RCP2.6 scenario, Guangzhou’s annual average temperature is projected to increase from the current 22.23 °C to 24.34 °C by 2090. Under the most extreme RCP8.5 conditions in 2090, the annual average temperature is expected to reach 27.35 °C. Under the low greenhouse gas emissions scenario (RCP2.6), for both Wuhan and Guangzhou, the differences in annual average temperature between 2050 and 2090 are relatively small, at 0.43 °C and 0.10 °C, respectively. However, compared to current average temperatures, they still rise by 1.68 °C and 1.84 °C, respectively. Under the moderate greenhouse gas emissions scenario (RCP4.5), the temperature differences between 2050 and 2090 significantly increase for both cities, with Wuhan at 1.02 °C and Guangzhou at 1.17 °C. Under the high greenhouse gas emissions scenario (RCP8.5), the temperature differences between 2050 and 2090 further increase, reaching 2.6 °C for Wuhan and 2.44 °C for Guangzhou. This represents an increase of 4.99 °C and 5.12 °C, respectively, compared to their current annual average temperatures. As the representative concentration pathway (RCP) value increases, the annual average temperature change by 2090 becomes more pronounced, resulting in a smaller difference in annual average temperature between Wuhan and Guangzhou, but a greater difference compared to their current annual average temperatures.

2.3. Typical Modern Rural Housing in Southern China

2.3.1. Building Geometry

This study focuses on self-built houses in the rural areas of southern China, where electricity is the primary energy source. Additionally, the heating/cooling system uses split-type air conditioners, which are the main sources of total energy consumption discussed. According to Figure 4, typical rural buildings in Guangzhou and Wuhan are classified into single-layer, two-layer, and three-layer types based on the residential population. These houses mostly feature flat roofs and are constructed using the same set of materials and structural methods. The window-to-wall ratio is generally around 0.3. Most of these houses were built in the early 21st century when China’s relevant building energy efficiency standards were not systematically implemented. Therefore, energy-saving construction methods and designs were not considered, resulting in poor thermal insulation, air tightness, etc. [33,34]. As a result, these houses have significant potential for energy-saving transformation.

2.3.2. Building Construction

The construction parameters for the rural buildings generally include typical materials and the structural settings of new rural buildings [35,36,37], as presented in Table 1. Most ordinary rural houses built in the early 21st century in southern China lack thermal insulation layers. The windows mostly use the cheapest 3 mm ordinary white plastic-steel windows, with a U-value reaching 4.9 W/m∙K. The materials for the masonry exterior walls mainly consist of gray sand bricks with relatively high thermal conductivity, resulting in a U-value of 0.78 W/m∙K for these walls. The materials for reinforced concrete roofs also use ordinary concrete with the highest thermal transfer coefficient, leading to a roof U-value of 1.06 W/m∙K. Therefore, the overall thermal insulation performance of these rural houses’ envelope structures is poor.

2.3.3. Building Occupancy Patterns and Schedules

The residential patterns of the three typical building types are categorized based on the number of rooms in use: a low-occupancy mode and a high-occupancy mode, as shown in Figure 5. The more residents living in the house, the more rooms are occupied. Within these two modes, there are a total of six categories representing the room usage patterns across the three building types. Considering variations in usage between weekdays and weekends, the occupancy schedules are defined as illustrated in Figure 6. The unit area occupancy schedules, along with the lighting and electrical equipment power densities, are established according to the GB55015-2021 General code for energy efficiency and renewable energy application in buildings, with detailed parameters provided in Table 2.

2.4. Measures for Improving Energy Efficiency

2.4.1. Energy-Saving Measures

The parameters for energy-saving measures are shown in Table 3 and Table 4. Common methods used in the energy-saving renovation of buildings include enhancing the thermal properties of the building envelope and windows, implementing shading devices, and improving building airtightness.
The air leak rates presented in Table 3 correspond to air permeability values measured at a pressure differential of 50 Pa, which aligns with the standard reference for assessing building airtightness, as stipulated in guidelines such as EN 12831. These parameters were employed in our building energy simulations to investigate the impact of varying degrees of airtightness on heating and cooling energy demand. The chosen values are consistent with widely accepted industry benchmarks for air permeability.
In addition, the energy-saving behaviors of occupants also significantly impact energy consumption. Studies have shown that the setting of the set point significantly affects building energy performance [38,39,40]. Reducing energy consumption through reasonable set point adjustments by residents is a viable approach. Existing studies suggest that residents of southern China, particularly in rural areas, exhibit a high tolerance for both high and low temperatures [41,42,43]. Consequently, this study evaluates the energy-saving potential of different cooling and heating set points while maintaining basic occupant comfort. The energy-saving measures and their values are indicated in Table 4. Since actual window construction parameters vary, thermal transmittance coefficients for entire windows are selected based on values from the GB 50176-2016 Thermal Design Code for Civil Buildings, as shown in Table 5.

2.4.2. Rooftop Solar Photovoltaic

In recent years, there has been a significant increase in renewable energy production. The International Energy Agency projects that a substantial portion of future renewable energy growth will come from solar energy, particularly rooftop photovoltaic (PV) systems. In China, a country vigorously promoting clean energy, rural areas hold considerable potential for application, especially in new rural developments where flat roofs are prevalent, facilitating efficient installation of PV panels. Therefore, this paper explores the contribution of PV electricity generation to achieving NZEBs in typical rural household transformation.
In this study, the PV system is installed on the rooftops of the rural houses, providing on-site renewable energy generation. The system is grid-connected, allowing surplus electricity generated by the PV system to be fed back into the grid. The study assumes that the net balance between the electricity produced by the PV system and the building’s energy consumption over a year defines the NZEB status. Although this study does not focus on energy storage or specific compensation mechanisms, it incorporates the concept of grid interaction, where the exported energy offsets the energy consumption to achieve a net zero energy balance.
This study utilizes common specifications and photovoltaic conversion efficiencies found in practice. The spacing between PV panels is determined according to the GB/T 29196-2012 Technical Specification for Stand-Alone Photovoltaic Systems, as shown in Formula (1):
D = 0.707 L sin θ tan sin 1 0.648 cos φ 0.399 sin φ + L c o s θ
where L represents the length of the photovoltaic module’s slope, set at a common residential PV panel dimension of L = 1.65 m; D represents the horizontal distance between two rows of PV panels; θ is the ideal tilt angle of the PV array, which is 20° for the two locations; φ represents the latitude of the PV array location, with 30.62° for Wuhan and 23.17° for Guangzhou. The calculations yield a PV panel spacing of 2.62 m for Wuhan and 2.47 m for Guangzhou.
By utilizing the area available for installing photovoltaic modules and the photovoltaic module’s conversion efficiency, we can calculate the actual solar energy obtained from residential building rooftops using Formula (2):
E r = R S p η
where E r represents the renewable energy generated by photovoltaic modules; R represents the total radiation received by the photovoltaic modules; A g denotes the area of photovoltaic modules available for electricity generation, determined based on three types of residential roof areas and their minimum spacing; η represents the photovoltaic module’s conversion efficiency. Given the maturity of photovoltaic technology, this study adopts the typical conversion efficiency parameter currently used, which is 19%.

2.5. Building Energy Consumption Calculation Method

This study employed the Ladybug Tool components of the Rhino-Grasshopper software (version 7) to carry out simulation computations. The energy consumption simulation utilized the honeybee-energy component interfaced with EnergyPlus. EnergyPlus is widely recognized and utilized internationally as one of the primary software tools for building energy simulation, and is known for its operational flexibility. Its models and algorithms have been developed and validated over many years, ensuring the delivery of high-quality simulation results [44,45,46]. Solar radiation acquisition computations were conducted using the honeybee-radiance component interfaced with the Radiance platform. Radiance employs a physics-based optical model capable of accurately simulating the propagation, reflection, and transmission of light, considering interactions with materials, surfaces, and building structures. It accommodates complex architectural scenarios and large-scale models, with solar radiation data computed to hourly precision, offering rapid and precise solar radiation analysis results.
The residential buildings analyzed in this study are situated in China’s hot-summer, cold-winter and hot-summer, warm-winter climate zones, where centralized heating systems are absent. As a result, these buildings rely primarily on split-type air conditioners for both heating and cooling. Electricity serves as the main energy source for rural buildings, including the operation of air conditioners. The total energy consumption of these buildings is categorized into four components: cooling, heating, lighting, and equipment. The total energy consumption intensity can be calculated using Equation (3):
I = I c + I h + I l + I e
where E denotes the total energy intensity of the entire building; I c , I h , I l , I e are cooling, heating, lighting, and equipment intensity, respectively.
The building energy balance is calculated to clarify whether the house is an NZEB. A positive value indicates that the building’s energy benefits are greater than or equal to its energy consumption during the analyzed period, meaning the building meets the net zero energy requirement. Negative values indicate that the building’s energy benefits are less than its energy consumption during the analyzed period, meaning the building does not meet the net zero energy requirement. The building energy balance E can be calculated using Equations (4) and (5):
E = E r E c
E c = I S b
where E is the building energy balance value; E c represents the total energy consumption of the building; S b denotes the building area. Figure 7 shows the energy consumption and gain of the rural housing.

3. Results

3.1. Energy Performance of the Current Rural Housing

The current energy consumption status of rural housing under the current climate scenario is illustrated in Figure 8. The air conditioner in the simulation is activated whenever the occupants are present and the indoor temperature deviates from the set-point values. The building performance was analyzed on an hourly basis across the entire year, covering both heating and cooling periods for the two locations.
For Wuhan, the annual energy intensity exhibits significant variations, characterized by two peaks during the heating and cooling seasons. This is primarily due to higher heating demands from December to March, whereas Guangzhou experiences lower energy consumption in autumn and winter due to reduced heating requirements. Both cities show substantial fluctuations in energy intensity during summer and adjacent seasons; Wuhan peaks with a maximum difference of 9.03 kWh/m² in August–September, while Guangzhou reaches a peak difference of 7.19 kWh/m² in September–October. Located in a warm-summer and warm-winter zone, Guangzhou requires longer periods of cooling in summer, resulting in a significant decline in monthly energy intensity from September onwards, contrasting with Wuhan where the decline begins in August. Among the three building types, monthly energy intensity peaks highest for single-layer house in July, at 18.33 kWh/m², notably exceeding those of two-layer and three-layer houses.
Additionally, the living patterns also influence the monthly energy intensity. Whether single-layer, two-layer, or three-layer buildings, under similar conditions, the energy intensity is higher in scenarios with more residents compared to scenarios with less residents. However, across the three building types within the same climate zone, the overall trends in monthly energy intensity variations are generally similar.
As shown in Figure 9, future climate scenarios significantly influence the energy intensity of current rural housing. More detailed information is provided in Figure A1 in Appendix A. The impact of different concentration pathways on residential energy consumption is critical, with disparities in energy intensity increasing across years, cities, and living patterns under higher concentration pathways. Under RCP2.6, the lowest energy intensity in 2050 is observed in the residential mode in Guangzhou’s with less residents, at 54.41 kWh/m², whereas Wuhan exhibits the highest intensity in 2090 under the mode with more residents, reaching 114.33 kWh/m². Under RCP4.5, the differences in energy intensity slightly decrease across climate zones, years, and living patterns, with the maximum difference for about 30 kWh/m². Under RCP8.5, however, these differences are maximized, Under the same conditions, the annual energy intensity difference for multi-residential models in single-layer buildings in Wuhan reaches 40 kWh/m² in both 2050 and 2090.
Furthermore, building types also significantly influence annual energy intensity. Under RCP2.6, the highest intensity is observed in Wuhan in 2050 under the single-layer case with more residents, at 114.33 kWh/m². Similarly, under RCP4.5, the highest intensity occurs under the same conditions in Wuhan, at 120.11 kWh/m². Under RCP8.5, the highest intensity remains in the single-layer case with less residents of Guangzhou in 2050, at 156.80 kWh/m². Under different RCP meteorological scenarios, the highest annual energy intensity values all occur in the case of single-layer buildings. Therefore, it is evident that building type has a pronounced effect on residential energy intensity, with first-floor buildings generally exhibiting higher intensity levels compared to second and third floors.

3.2. Effectiveness of Energy Saving Measures in the Current Climate Scenario

As depicted in Figure 10, energy-saving transformation measures have varying impacts on reducing energy intensity under different residential modes and in different regions. Enhancing room airtightness and installing roof and external wall insulation layers show a noticeable effectiveness in reducing energy intensity. However, their effectiveness may vary slightly depending on the building type and residential mode. For Wuhan, improving airtightness proves to be the most effective transformation technique, capable of reducing energy intensity by up to 32.21 kWh/m². The most effective application involves increasing room airtightness in the single-layer, mode with less residents and residences in Wuhan, reducing air leakage rates from 0.0006 (m³/s·m²) to 0.0001 (m³/s·m²). Additionally, setting insulation layers for external walls and roofs within the range of 0.04–0.1 m significantly reduces energy intensity in Wuhan. Similarly, in Guangzhou, enhancing room airtightness is also highly effective, potentially reducing energy intensity by 16.83 kWh/m². The most effective application involves reducing air leakage rates from 0.0006 (m³/s·m²) to 0.0001 (m³/s·m²) in single-layer, mode with less residents and residences in Guangzhou. Furthermore, due to its location in low latitudes, Guangzhou experiences higher solar altitude angles. Therefore, installing insulation layers horizontally on roofs can significantly reduce building energy density compared to installing insulation layers vertically on exterior walls.
After applying the same transformation methods, the energy intensities of the three building types still maintain their original differences, with approximately a 20 kWh/m² variation between two-layer and three-layer residential houses. It is noteworthy that for Wuhan, under the mode with less residents, the energy density of the single-layer and two-layer houses is nearly equivalent, whereas for Guangzhou, the energy intensity of two-layer houses under similar conditions can even be lower than that of single-layer houses. Overall, single-layer residences exhibit significant differences in energy intensity between Wuhan and Guangzhou, whereas the energy intensity differences for three-layer houses are relatively smaller in both regions. Furthermore, in terms of the degree of energy reduction achieved by applying all methods, the energy intensity in modes with less residents is more sensitive to energy-saving transformation techniques compared to modes with more residents, and three-layer houses are more sensitive to transformation compared to one- and two-layer houses.
In addition to constructive transformation measures, modifications to behavioral patterns also play a significant role in reducing a building’s energy consumption. As shown in Figure 11, the set point has a notable influence on the energy intensity of two residential modes for three types of buildings. The energy intensities of these residential types can be ranked from highest to lowest as follows: single-layer mode, two-layer mode; three-layer mode. For instance, in its original state, the annual average energy intensity of the single-layer mode in Wuhan reaches 110.40 kWh/m2, yet significant reductions are achieved post-transformation: setting the cooling set point at 28 °C decreases the intensity to 92.18 kWh/m2, while setting the heating set point at 16 °C lowers it to 102.50 kWh/m2. Based on the slope of the lines, improvements in cooling set points prove more effective in reducing energy intensity.
Similar to the sensitivity patterns observed in energy-saving transformation techniques across different residential modes and building types, the energy intensity of three-layer buildings is particularly sensitive to modifications in occupant behavioral patterns. However, it is noteworthy that in mode with less residents in Wuhan, the energy-saving optimization of set points has nearly identical impacts on single-layer and two-layer buildings.
Although the indicators for the seven energy-saving retrofit methods studied in this paper are set to their most energy-efficient state, which can potentially reduce energy intensity by up to 22.49 kWh/m² (for L-2F rural housing in Guangzhou), the resulting annual average energy intensity remains relatively high at 60.51 kWh/m². This represents a significant challenge to achieving net zero energy buildings.
Therefore, the energy performances of the three types of rural housing with all energy-saving measures are explored, aiming to assess the feasibility or remaining gaps in achieving net zero energy buildings. Transformation parameters include setting the roof and external wall insulation thickness at 0.3 m; constructing windows using 6 mm high-transparency Low-E + 12 mm air + 6 mm clear glass + 12 mm air + 6 mm clear glass; setting the shading depth of 1 m; maintaining air leakage rates of 0.0001 (m³/s·m²); setting the cooling set point at 30 °C; and setting the heating set point at 16 °C. The indicators for the seven energy-saving retrofit methods studied in this paper are set to their most energy-efficient state. The annual energy intensity of the three rural houses with these effective energy-saving measures under future meteorological conditions is depicted in Figure 12.
Despite a noticeable decrease in energy intensity compared to pre-transformation conditions, all post-transformation houses show varying degrees of increase in energy intensity under future meteorological conditions. Under RCP2.6 scenarios, mode with more residents living patterns still exhibit higher energy intensity compared to mode with less residents overall. Moreover, as RCP levels increase, the disparity between these patterns becomes more pronounced. Variations in energy intensity between different cities and living patterns between 2050 and 2090 highlight the increasing influence of future meteorological conditions on energy intensity, with these differences becoming more apparent as the number of buildings increases.

3.3. Gaps in Transforming Rural Housing to NZEBs

Photovoltaic power generation is a commonly used renewable energy source, with mature technology currently available and significant potential for application in rural areas. Therefore, this study considers whether typical rural housing, based on the use of rooftop photovoltaic panels, can achieve a net zero total energy consumption under current and future climatic conditions (As Figure 12 shows, this research considers the shading effect of commonly used opaque photovoltaic panels on rooftops).
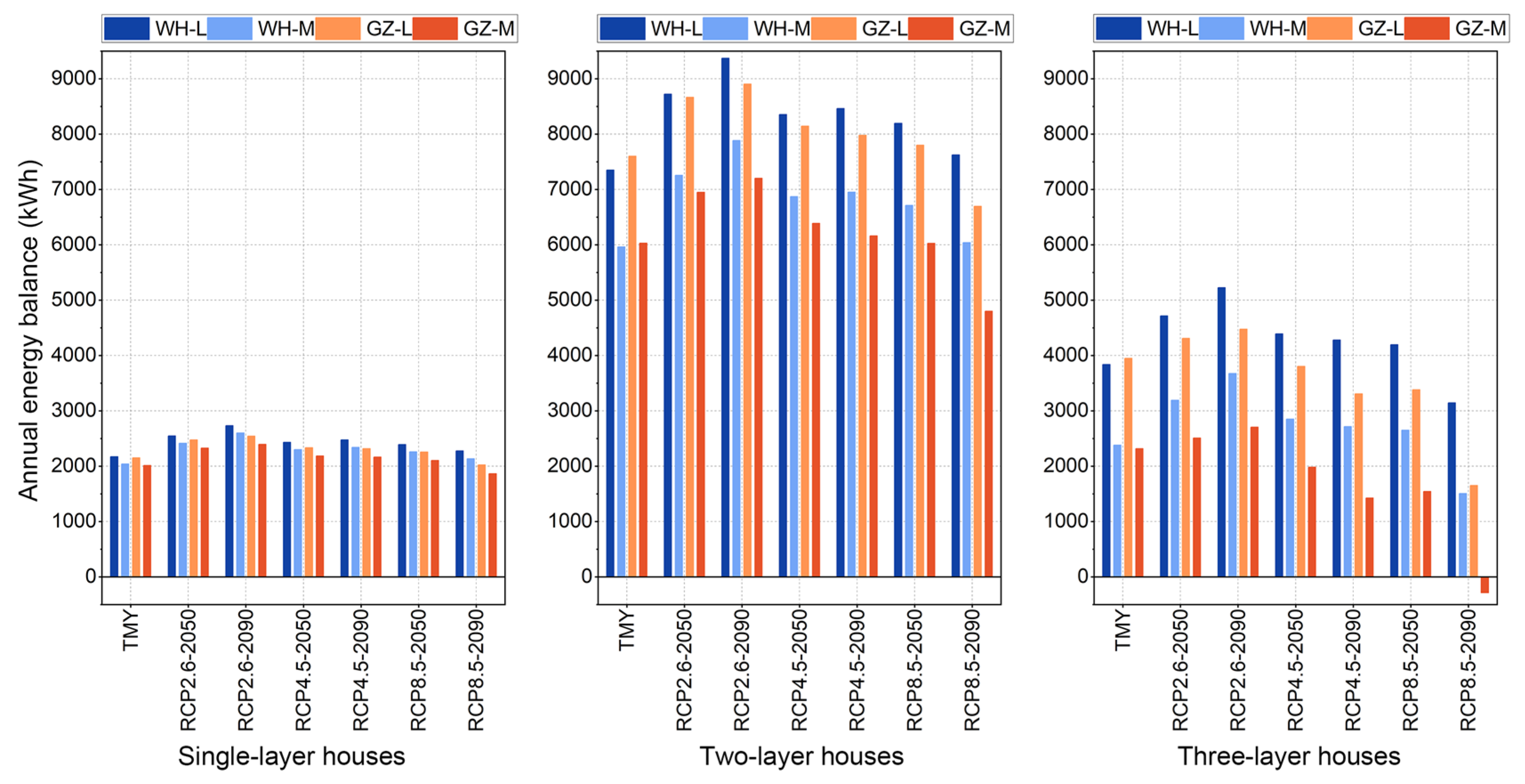
Figure 13 illustrates that, except for the year 2090 in Guangzhou under the RCP8.5 scenario, annual solar radiation gains can cover the average annual energy consumption throughout the year. Under RCP8.5 in 2090, for a scenario with more residents in Guangzhou, there is a deficit of −288.44 kWh between energy gains and consumption, implying an additional input of 288.44 kWh beyond photovoltaic generation is required to achieve NZEBs in buildings. Notably, two-layer buildings exhibit a greater energy surplus. In the year 2090 under the RCP2.6 scenario, the difference between annual solar radiation gains and energy consumption reaches 9374.11 kWh. It is noteworthy that under RCP2.6 emission pathways, energy surplus over consumption for all building types in 2050 and 2090 significantly exceeds current climate conditions, yet this surplus diminishes with increasing years. Thus, even under the lowest concentration pathway, future energy surpluses will gradually decrease after peaking, posing increased energy consumption challenges for buildings.
However, the intensity of solar radiation is significantly influenced by time and weather conditions. Its energy output varies over time and with changing weather conditions. Solar radiation is typically strongest during the daytime, especially under clear skies with no cloud cover, when radiation levels peak. On overcast or cloudy days, radiation levels can significantly decrease. Given the pronounced monthly variations in meteorological data and solar radiation intensity between Wuhan and Guangzhou, evaluating buildings for net zero energy consumption on an annual basis may not necessarily translate to achieving net zero energy consumption in practical applications. Therefore, it is essential to further investigate whether buildings can achieve net zero energy consumption on a monthly time scale.
Figure 14 and Figure 15 show that, further exploration into the monthly timescales under conditions where the annual photovoltaic energy generation exceeds consumption reveals that both the 3F rural housing in two locations and the 2F residential building in Guangzhou fail to achieve net zero energy consumption across different RCP scenarios. Moreover, the trend in the variations in the monthly differences between photovoltaic generation and building energy consumption shows more pronounced differences between Wuhan and Guangzhou: Wuhan experiences troughs in both cold and hot months, whereas Guangzhou only exhibits a trough during hot months. The 3F rural housing in both locations cannot achieve net zero energy consumption from June to August under the RCP8.5 scenarios. Additionally, due to relatively fewer solar resources in Guangzhou, the period during which net zero energy consumption cannot be achieved extends to include May and September, in contrast to Wuhan. The overall trends suggest that, from May to September in both locations, as well as from October to February of the following year in Wuhan, there is a significant likelihood of failing to achieve net zero energy consumption in the future.
Under RCP2.6, the difference in the energy balance for the same residential building type between 2050 and 2090 remains relatively small, staying within 100 kWh. Under RCP4.5, this difference increases to a maximum of 200 kWh, and under RCP8.5, it approaches nearly 400 kWh. This indicates that different RCP meteorological parameters are crucial in determining whether this rural housing can achieve net zero energy consumption in the future.

4. Discussion

This study targets achieving net zero energy consumption in rural housing in the hot-summer and cold-winter areas compared to the hot-summer and warm-winter areas of China. It investigates the opportunities and gaps that exist between these buildings, after energy-saving transformations and adding photovoltaic solar power systems, under current and future meteorological scenarios compared to net zero energy buildings. Overall, the intensity of energy consumption for various building types generally aligns with the severity of representative concentration pathways. Moreover, the difference in cooling and heating energy intensity between the different RCPs increases over time. Detailed information can be found in Appendix A.
For different building types, 3F housing buildings face the biggest challenges to achieve net zero energy consumption in modes with more residents. Despite having relatively lower energy intensity per floor, their larger total floor area results in higher actual energy consumption. Compared to two-layer buildings, they have a reduced roof photovoltaic panel area by 6.53 square meters, which explains why, despite having the lowest energy intensity among the three building types post-renovation, they face greater difficulties in achieving net zero energy consumption.
For both modes with less residents and mode with more residents, the differences in energy gains and consumption are generally smaller in mode with more residents across various conditions compared to those in mode with less residents. This is primarily due to the energy usage of building HVAC systems and appliances. In modes with more residents, more rooms are in use, leading to increased overall energy consumption. In regions with hot summers and cold winters, the energy consumption differences between multi-person and single-person modes mainly stem from heating, while in hot-summer and warm-winter regions, it stems from cooling. This implies that living patterns play a crucial role in whether a building can achieve net zero energy consumption.
Overall, based on the trend in global temperature rise, varying climate scenarios exhibit a reduction in heating energy demand and an increase in cooling energy demand. Consequently, both warm-summer–cold-winter and warm-summer–warm-winter regions experience a similar energy deficit primarily during summer months, notably in July and August. This divergence is specifically reflected in the projected meteorological conditions under different representative concentration pathways: under RCP2.6, neither Wuhan nor Guangzhou can meet net zero energy requirements in July–August; under RCP4.5, the months in which Guangzhou fails to meet net zero energy increase; and under RCP8.5, this situation worsens further. This highlights the significant influence of different concentration pathways on the potential for achieving net zero energy in residential transformation.
Between 2050 and 2090, achieving net zero energy in warm-summer–warm-winter regions will become increasingly difficult, particularly during the critical months of June, July, and August. Similarly, in warm-summer–cold-winter regions, July and August pose the greatest challenge due to the rising cooling energy demands driven by increasing temperatures. As a result, transforming rural housing to achieve net zero energy will face significant hurdles during the summer months. Additionally, the distinct patterns of energy gain and consumption across different climate zones throughout the year necessitate careful consideration of surplus and deficit energy when planning net zero transformations. One promising direction for future research is to explore the optimal combination of energy-saving measures. Although this study identifies a combination of measures that effectively reduce energy intensity, the one-at-a-time sensitivity analysis used here does not fully account for the interactions between different retrofit strategies. Consequently, the identified combination may not represent the absolute optimal solution for achieving net zero energy, particularly given the increasingly challenging climate conditions projected for the future.
In addition to the technical feasibility of transforming rural houses into net zero energy buildings, the economic viability of such transformations is a critical consideration. While this study primarily focused on the technical aspects using mature and widely available technologies, we acknowledge that a detailed economic analysis was not conducted. However, the existing literature indicates that, over time, the conversion to net zero energy buildings can result in considerable economic benefits [47,48,49]. Future research should aim to explore these economic aspects in greater detail, providing a more comprehensive assessment of both the short-term costs and long-term financial returns associated with net zero energy transformations in rural housing.
Moreover, while this study centers on achieving net zero energy, it does not extend to a comprehensive analysis of net zero greenhouse gas emissions. Such an analysis would require converting energy consumption data into CO2 equivalents, factoring in emissions from material production, transportation, construction, operational energy use, and eventual demolition. The complexity of this task, combined with the current lack of reliable carbon emission factors specific to this region, made it beyond the scope of this study. However, addressing this gap will be a priority in future research, which aims to provide a more detailed assessment of the carbon footprint associated with these building transformations.
While this study primarily focuses on widely implemented retrofitting solutions like solar energy, which is already common in rural China, it is important to acknowledge the potential of advanced technologies such as geothermal heat pumps and cutting-edge thermal insulation materials. These alternatives offer promising avenues for further reducing energy consumption and enhancing building performance. As these technologies continue to evolve and become more accessible, they could significantly contribute to the transformation of rural housing into near-zero energy buildings. Future research should explore the feasibility and integration of these advanced solutions, potentially offering even greater improvements in energy efficiency and sustainability.
In addition, future studies should include long-term monitoring of selected case studies to more accurately assess the real-world potential of retrofitting rural housing to achieve net zero energy. This approach would provide deeper insights into the practical challenges and opportunities involved in transforming rural buildings to meet net zero energy targets.

5. Conclusions

  • This study provides research conclusions on the opportunities and gaps in the net zero energy transformation of rural housing in hot-summer cold-winter and hot-summer–warm-winter regions, considering both current and future meteorological conditions. Previous research has mostly focused on urban buildings or existing meteorological conditions, with limited consideration given to transformed scenarios. Thus, a distinctive aspect of this study is its exploration of the gap between transformed buildings and net zero energy buildings over future time scales. The main analytical findings are as follows:
  • In hot-summer–warm-winter and hot-summer–cold-winter regions, non-transformed rural residences exhibit varying energy consumption characteristics under different concentration pathway scenarios. Specifically, by 2050 under RCP2.6 and RCP4.5, residential energy consumption is highest in Wuhan, whereas under RCP8.5, Guangzhou shows the highest energy consumption for multi-person living patterns.
  • After energy-efficient transformation of rural housing, there is a significant reduction in energy intensity, with potential reductions of approximately 85 kWh/m², 90 kWh/m², and 115 kWh/m² under the RCP2.6, RCP4.5, and RCP8.5 scenarios, respectively. This indicates considerable transformation potential for such residences.
  • For different climate zones, such as those represented by Wuhan and Guangzhou in hot-summer–cold-winter and hot-summer–warm-winter regions, there are varying energy consumption patterns and photovoltaic energy generation capacities across different building types and usage modes in different years. Therefore, the opportunities and gaps between these scenarios and net zero energy buildings also vary in degree.
  • Different living patterns have noteworthy impacts on building energy consumption, with buildings accommodating less residents generally being more likely to meet net zero energy requirements under equivalent conditions. Among the 19 types simulated in this study that failed to achieve net zero energy, 12 were characterized by mode with more residents, exhibiting larger disparities from net zero energy buildings, up to 560.56 kWh. In contrast, buildings designed for less occupants showed a maximum gap of 381.53 kWh compared to net zero energy buildings.
  • The impact of different representative concentration pathways on whether transformed buildings can achieve net zero status varies significantly. Under RCP2.6, rural housing shows greater potential to achieve net zero energy consumption, with notable differences across different meteorological scenarios. In regions characterized by hot summers and cold winters, as well as those with hot summers and warm winters, only two types of rural housing with mode with more residents failed to achieve net zero energy consumption. Under RCP4.5, this number increases to seven types, while under the more severe RCP8.5, eight types of buildings fail to achieve net zero energy consumption, with six of them exhibiting energy deficits exceeding 200 kWh.
  • In regions with hot summers and cold winters, the energy demand is higher, yet photovoltaic generation is also more substantial. Therefore, under the most adverse RCP8.5 scenario, net zero energy can still be achieved for nine months of the year, which is two months more compared to regions with hot summers and warm winters under similar conditions.
  • Even after undergoing net zero transformation, rural residential buildings will face greater energy-saving challenges under future meteorological conditions, particularly at higher concentration pathways.
  • While this study may still exhibit some discrepancies from real-world building energy performance, it nonetheless indicates to some extent that achieving net zero energy consumption through limited transformation measures will become increasingly challenging under current technological and policy support conditions amidst the trend in global warming. Without prompt action, we risk losing the only opportunity to enable the majority of residential buildings on Earth to achieve net zero energy consumption.

Author Contributions

Conceptualization, D.X. and Y.Z.; Methodology, D.X. and Y.Z.; Software, Z.C.; Validation, D.X., Z.C. and Y.Z.; Formal analysis, J.G.; Investigation, Z.C.; Data curation, Z.C.; Writing—original draft, D.X., Z.C. and Y.Z.; Writing—review & editing, Y.Z.; Visualization, Z.C.; Supervision, Y.Z.; Funding acquisition, Y.Z. All authors have read and agreed to the published version of the manuscript.

Funding

This research was funded by National Natural Science Foundation of China, grant number 52308016; Guangdong Basic and Applied Basic Research Foundation, grant number 2023A1515011364; Science and Technology Program of Guangzhou University, grant number PT252022006.

Data Availability Statement

Dataset available on request from the authors.

Conflicts of Interest

The authors declare no conflicts of interest.

Appendix A

Figure A1 illustrates the variation in heating and cooling energy consumption for rural housing under future climate scenarios. Notably, while the total energy intensity increases, the in for heating and cooling energy diverge under future climatic conditions. Cooling energy consumption is projected to rise significantly, while heating energy consumption is expected to decrease due to global warming. The reduction in heating energy is particularly pronounced in Wuhan. The cooling energy intensity in both cities is anticipated to increase substantially under the RCP4.5 and RCP8.5 scenarios, leading to an overall upward trend in energy intensity. This analysis highlights the growing challenges buildings will face in achieving NZEBs under future climate conditions.
Figure A1. Heating and cooling energy demands for the study buildings without energy-saving measures under future climates of (a) Wuhan and (b) Guangzhou. (M: more residents; L: less residents).
Figure A1. Heating and cooling energy demands for the study buildings without energy-saving measures under future climates of (a) Wuhan and (b) Guangzhou. (M: more residents; L: less residents).
Buildings 14 02822 g0a1
Figure A2 and Figure A3 illustrate the impact of various energy-saving methods on heating and cooling energy intensity of the rural housing. Among all energy-saving measures, improving building airtightness and adjusting air conditioning set points can significantly reduce the energy required for heating and cooling. Some energy-saving strategies have opposite effects on heating and cooling, especially in regions like Wuhan, where both heating and cooling demands are significant. For instance, while enhancing the thermal performance of windows and increasing shading length can reduce indoor heat gain during summer and lower cooling energy consumption, they may also limit the benefits of solar radiation during winter, leading to increased heating energy consumption. Therefore, these energy-saving strategies must be carefully selected in Wuhan to achieve the best overall results. For roof and wall insulation, moderate improvements compared to the initial uninsulated state have a noticeable impact on reducing heating and cooling energy consumption. However, further increasing wall insulation beyond a certain point yields diminishing returns in energy savings. Thus, selecting a suitable insulation level is crucial for balancing energy efficiency with retrofit costs.
Figure A2. Heating and cooling energy consumption of the studied buildings with different renovation measures under future climates. (L: total layers of the building; U: the untransformed house; T: the transformed house; C: cooling energy; H: heating energy).
Figure A2. Heating and cooling energy consumption of the studied buildings with different renovation measures under future climates. (L: total layers of the building; U: the untransformed house; T: the transformed house; C: cooling energy; H: heating energy).
Buildings 14 02822 g0a2
Figure A3. Heating and cooling energy consumption of the study buildings with different setpoints under future climates of (a) Wuhan and (b) Guangzhou. (WH: Wuhan; GZ: Guangzhou; L: total layers of the building; U: the untransformed house; T: the transformed house; C: cooling energy; H: heating energy).
Figure A3. Heating and cooling energy consumption of the study buildings with different setpoints under future climates of (a) Wuhan and (b) Guangzhou. (WH: Wuhan; GZ: Guangzhou; L: total layers of the building; U: the untransformed house; T: the transformed house; C: cooling energy; H: heating energy).
Buildings 14 02822 g0a3

References

  1. Calvin, K.; Dasgupta, D.; Krinner, G.; Mukherji, A.; Thorne, P.W.; Trisos, C.; Romero, J.; Aldunce, P.; Barrett, K.; Blanco, G.; et al. IPCC, 2023: Climate Change 2023: Synthesis Report: Contribution of Working Groups I, II and III to the Sixth Assessment Report of the Intergovernmental Panel on Climate Change; Core Writing Team, Lee, H., Romero, J., Eds.; IPCC: Geneva, Switzerland, 28 November 2023. [Google Scholar]
  2. Kong, F.; Wang, Y. How to Understand Carbon Neutrality in the Context of Climate Change? Int. J. Environ. Health Sustain. 2022, 8, 2062824. [Google Scholar] [CrossRef]
  3. Liu, Z.; Guan, D.; Moore, S.; Lee, H.; Su, J.; Zhang, Q. Climate Policy: Steps to China’s Carbon Peak. Nature 2015, 522, 279–281. [Google Scholar] [CrossRef] [PubMed]
  4. Wang, C.; Wang, L.; Wang, W.; Xiong, Y.; Du, C. Does Carbon Emission Trading Policy Promote the Corporate Technological Innovation? Empirical Evidence from China’s High-Carbon Industries. J. Clean Prod. 2023, 411, 137286. [Google Scholar] [CrossRef]
  5. Wang, K.; Su, X.; Wang, S. How Does the Energy-Consuming Rights Trading Policy Affect China’s Carbon Emission Intensity? Energy 2023, 276, 127579. [Google Scholar] [CrossRef]
  6. You, K.; Ren, H.; Cai, W.; Huang, R.; Li, Y. Modeling Carbon Emission Trend in China’s Building Sector to Year 2060. Resour. Conserv. Recycl. 2023, 188, 106679. [Google Scholar] [CrossRef]
  7. Hu, S.; Zhang, Y.; Yang, Z.; Yan, D.; Jiang, Y. Challenges and Opportunities for Carbon Neutrality in China’s Building Sector—Modelling and Data. Build. Simul. 2022, 15, 1899–1921. [Google Scholar] [CrossRef]
  8. Yang, J.; Deng, Z.; Guo, S.; Chen, Y. Development of Bottom-up Model to Estimate Dynamic Carbon Emission for City-Scale Buildings. Appl. Energy 2023, 331, 120410. [Google Scholar] [CrossRef]
  9. Xiao, Y.; Huang, H.; Qian, X.-M.; Zhang, L.-Y.; An, B.-W. Can New-Type Urbanization Reduce Urban Building Carbon Emissions? New Evidence from China. Sustain. Cities Soc. 2023, 90, 104410. [Google Scholar] [CrossRef]
  10. Liu, Z.; Yu, C.; Qian, Q.K.; Huang, R.; You, K.; Visscher, H.; Zhang, G. Incentive Initiatives on Energy-Efficient Renovation of Existing Buildings towards Carbon–Neutral Blueprints in China: Advancements, Challenges and Prospects. Energy Build. 2023, 296, 113343. [Google Scholar] [CrossRef]
  11. Abdelhady, S. Techno-Economic Study and the Optimal Hybrid Renewable Energy System Design for a Hotel Building with Net Zero Energy and Net Zero Carbon Emissions. Energy Convers. Manag. 2023, 289, 117195. [Google Scholar] [CrossRef]
  12. Hu, M.; Qiu, Y. A Comparison of Building Energy Codes and Policies in the USA, Germany, and China: Progress toward the Net-Zero Building Goal in Three Countries. Clean Technol. Environ. Policy 2019, 21, 291–305. [Google Scholar] [CrossRef]
  13. Zhou, Z.; Feng, L.; Zhang, S.; Wang, C.; Chen, G.; Du, T.; Li, Y.; Zuo, J. The Operational Performance of “Net Zero Energy Building”: A Study in China. Appl. Energy 2016, 177, 716–728. [Google Scholar] [CrossRef]
  14. Dong, Z.; Zhao, K.; Liu, Y.; Ge, J. Performance Investigation of a Net-Zero Energy Building in Hot Summer and Cold Winter Zone. J. Build. Eng. 2021, 43, 103192. [Google Scholar] [CrossRef]
  15. Zhang, X.; Wang, A.; Tian, Z.; Li, Y.; Zhu, S.; Shi, X.; Jin, X.; Zhou, X.; Wei, S. Methodology for Developing Economically Efficient Strategies for Net Zero Energy Buildings: A Case Study of a Prototype Building in the Yangtze River Delta, China. J. Clean Prod. 2021, 320, 128849. [Google Scholar] [CrossRef]
  16. Yao, C.; Chen, C.; Li, M. Analysis of Rural Residential Energy Consumption and Corresponding Carbon Emissions in China. Energy Policy 2012, 41, 445–450. [Google Scholar] [CrossRef]
  17. Wu, S.; Hu, S.; Frazier, A.E.; Hu, Z. China’s Urban and Rural Residential Carbon Emissions: Past and Future Scenarios. Resour. Conserv. Recycl. 2023, 190, 106802. [Google Scholar] [CrossRef]
  18. Guo, J.; Xia, D.; Zhang, L.; Zou, Y.; Yang, X.; Xie, W.; Zhong, Z. Future Indoor Overheating Risk for Urban Village Housing in Subtropical Region of China under Long-Term Changing Climate. Build. Environ. 2023, 246, 110978. [Google Scholar] [CrossRef]
  19. Jiang, W.; Jin, Y.; Liu, G.; Li, Q.; Li, D. Passive Nearly Zero Energy Retrofits of Rammed Earth Rural Residential Buildings Based on Energy Efficiency and Cost-Effectiveness Analysis. Renew. Sustain. Energy Rev. 2023, 180, 113300. [Google Scholar] [CrossRef]
  20. Xia, D.; Xie, W.; Guo, J.; Zou, Y.; Wu, Z.; Fan, Y. Building Thermal and Energy Performance of Subtropical Terraced Houses under Future Climate Uncertainty. Sustainability 2023, 15, 12464. [Google Scholar] [CrossRef]
  21. Liu, Z.; Liu, Y.; He, B.-J.; Xu, W.; Jin, G.; Zhang, X. Application and Suitability Analysis of the Key Technologies in Nearly Zero Energy Buildings in China. Renew. Sustain. Energy Rev. 2019, 101, 329–345. [Google Scholar] [CrossRef]
  22. Yang, Y.; Chen, S. Dynamic Thermal Performance and Energy-Saving Potential Analysis of a Modular Pipe-Embedded Building Envelope Integrated with Thermal Diffusive Materials. Build. Simul. 2023, 16, 2285–2305. [Google Scholar] [CrossRef]
  23. Hee, W.J.; Alghoul, M.A.; Bakhtyar, B.; Elayeb, O.; Shameri, M.A.; Alrubaih, M.S.; Sopian, K. The Role of Window Glazing on Daylighting and Energy Saving in Buildings. Renew. Sustain. Energy Rev. 2015, 42, 323–343. [Google Scholar] [CrossRef]
  24. Alhuwayil, W.K.; Almaziad, F.A.; Abdul Mujeebu, M. Energy Performance of Passive Shading and Thermal Insulation in Multistory Hotel Building under Different Outdoor Climates and Geographic Locations. Case Stud. Therm. Eng. 2023, 45, 102940. [Google Scholar] [CrossRef]
  25. Chen, R.; Samuelson, H.; Zou, Y.; Zheng, X.; Cao, Y. Improving Building Resilience in the Face of Future Climate Uncertainty: A Comprehensive Framework for Enhancing Building Life Cycle Performance. Energy Build. 2024, 302, 113761. [Google Scholar] [CrossRef]
  26. Dong, H.; Xu, C.; Chen, W. Modeling and Configuration Optimization of the Rooftop Photovoltaic with Electric-Hydrogen-Thermal Hybrid Storage System for Zero-Energy Buildings: Consider a Cumulative Seasonal Effect. Build. Simul. 2023, 16, 1799–1819. [Google Scholar] [CrossRef]
  27. Zhang, L.; Feng, G.; Li, A.; Huang, K.; Chang, S. Comprehensive Evaluation and Analysis of a Nearly Zero-Energy Building Heating System Using a Multi-Source Heat Pump in Severe Cold Region. Build. Simul. 2023, 16, 1949–1970. [Google Scholar] [CrossRef]
  28. Zou, Y.; Xiang, K.; Zhan, Q.; Li, Z. A Simulation-Based Method to Predict the Life Cycle Energy Performance of Residential Buildings in Different Climate Zones of China. Build. Environ. 2021, 193, 107663. [Google Scholar] [CrossRef]
  29. Zou, Y.; Deng, Y.; Xia, D.; Lou, S.; Yang, X.; Huang, Y.; Guo, J.; Zhong, Z. Comprehensive Analysis on the Energy Resilience Performance of Urban Residential Sector in Hot-Humid Area of China under Climate Change. Sustain. Cities Soc. 2023, 88, 104233. [Google Scholar] [CrossRef]
  30. Yuan, J.; Huang, P.; Chai, J. Development of a Calibrated Typical Meteorological Year Weather File in System Design of Zero-Energy Building for Performance Improvements. Energy 2022, 259, 125031. [Google Scholar] [CrossRef]
  31. Neto, A.H.; Durante, L.C.; Callejas, I.J.A.; da Guarda, E.L.A.; Moreira, J.V.R. The Challenges on Operating a Zero Net Energy Building Facing Global Warming Conditions. Build. Simul. 2022, 15, 435–451. [Google Scholar] [CrossRef]
  32. Li, H.; Yang, Y.; Lv, K.; Liu, J.; Yang, L. Compare Several Methods of Select Typical Meteorological Year for Building Energy Simulation in China. Energy 2020, 209, 118465. [Google Scholar] [CrossRef]
  33. He, C.; Tian, W.; Shao, Z. Impacts of Courtyard Envelope Design on Energy Performance in the Hot Summer–Cold Winter Region of China. Buildings 2022, 12, 173. [Google Scholar] [CrossRef]
  34. Li, Y.; Zhou, T.; Wang, Z.; Li, W.; Zhou, L.; Cao, Y.; Shen, Q. Environment Improvement and Energy Saving in Chinese Rural Housing Based on the Field Study of Thermal Adaptability. Energy Sustain. Dev. 2022, 71, 315–329. [Google Scholar] [CrossRef]
  35. Li, Z.; Jin, Y.; Liang, X.; Zeng, J. Thermography Evaluation of Defect Characteristics of Building Envelopes in Urban Villages in Guangzhou, China. Case Stud. Constr. Mater. 2022, 17, e01373. [Google Scholar] [CrossRef]
  36. Lu, S.; Tang, X.; Ji, L.; Tu, D. Research on Energy-Saving Optimization for the Performance Parameters of Rural-Building Shape and Envelope by TRNSYS-GenOpt in Hot Summer and Cold Winter Zone of China. Sustainability 2017, 9, 294. [Google Scholar] [CrossRef]
  37. Li, K.; Zhao, T. The Effect of Envelope Components on Thermal Performance of Rural Houses in Hubei, China. Indoor Built Environ. 2019, 28, 1272–1287. [Google Scholar] [CrossRef]
  38. Wang, N.; Zhang, J.; Xia, X. Energy Consumption of Air Conditioners at Different Temperature Set Points. Energy Build. 2013, 65, 412–418. [Google Scholar] [CrossRef]
  39. Chen, C.; Wang, M.; Shen, C.; Huang, Y.; Zhu, M.; Wang, H.; He, L.; Julien, D.B. Sensitivity Analysis of Factors Influencing Rural Housing Energy Consumption in Different Household Patterns in the Zhejiang Province. Buildings 2023, 13, 463. [Google Scholar] [CrossRef]
  40. Fabi, V.; Andersen, R.V.; Corgnati, S.P. Influence of Occupant’s Heating Set-Point Preferences on Indoor Environmental Quality and Heating Demand in Residential Buildings. HVACR Res. 2013, 19, 635–645. [Google Scholar] [CrossRef]
  41. Xu, T.; Yao, R.; Du, C.; Li, B. Outdoor Thermal Perception and Heatwave Adaptation Effects in Summer–A Case Study of a Humid Subtropical City in China. Urban Clim. 2023, 52, 101724. [Google Scholar] [CrossRef]
  42. Zhang, Z.; Zhang, Y.; Jin, L. Thermal Comfort in Interior and Semi-Open Spaces of Rural Folk Houses in Hot-Humid Areas. Build. Environ. 2018, 128, 336–347. [Google Scholar] [CrossRef]
  43. Han, J.; Yang, W.; Zhou, J.; Zhang, G.; Zhang, Q.; Moschandreas, D.J. A Comparative Analysis of Urban and Rural Residential Thermal Comfort under Natural Ventilation Environment. Energy Build. 2009, 41, 139–145. [Google Scholar] [CrossRef]
  44. Fumo, N.; Mago, P.; Luck, R. Methodology to Estimate Building Energy Consumption Using EnergyPlus Benchmark Models. Energy Build. 2010, 42, 2331–2337. [Google Scholar] [CrossRef]
  45. Anđelković, A.S.; Mujan, I.; Dakić, S. Experimental Validation of a EnergyPlus Model: Application of a Multi-Storey Naturally Ventilated Double Skin Façade. Energy Build. 2016, 118, 27–36. [Google Scholar] [CrossRef]
  46. Crawley, D.B.; Lawrie, L.K.; Winkelmann, F.C.; Buhl, W.F.; Huang, Y.J.; Pedersen, C.O.; Strand, R.K.; Liesen, R.J.; Fisher, D.E.; Witte, M.J.; et al. EnergyPlus: Creating a New-Generation Building Energy Simulation Program. Energy Build. 2001, 33, 319–331. [Google Scholar] [CrossRef]
  47. Abdou, N.; EL Mghouchi, Y.; Hamdaoui, S.; EL Asri, N.; Mouqallid, M. Multi-Objective Optimization of Passive Energy Efficiency Measures for Net-Zero Energy Building in Morocco. Build. Environ. 2021, 204, 108141. [Google Scholar] [CrossRef]
  48. Ahmed, A.; Ge, T.; Peng, J.; Yan, W.-C.; Tee, B.T.; You, S. Assessment of the Renewable Energy Generation towards Net-Zero Energy Buildings: A Review. Energy Build. 2022, 256, 111755. [Google Scholar] [CrossRef]
  49. Wei, M.; Lee, S.H.; Hong, T.; Conlon, B.; McKenzie, L.; Hendron, B.; German, A. Approaches to Cost-Effective near-Net Zero Energy New Homes with Time-of-Use Value of Energy and Battery Storage. Adv. Appl. Energy 2021, 2, 100018. [Google Scholar] [CrossRef]
Figure 1. Climate zones in China and the location of the study sites.
Figure 1. Climate zones in China and the location of the study sites.
Buildings 14 02822 g001
Figure 2. Typical climate characteristic of Wuhan and Guangzhou. (a) Monthly temperature and humidity in Wuhan; (b) monthly solar radiation in Wuhan; (c) monthly temperature and humidity in Guangzhou; (d) solar radiation in Guangzhou.
Figure 2. Typical climate characteristic of Wuhan and Guangzhou. (a) Monthly temperature and humidity in Wuhan; (b) monthly solar radiation in Wuhan; (c) monthly temperature and humidity in Guangzhou; (d) solar radiation in Guangzhou.
Buildings 14 02822 g002
Figure 3. Meteorological parameters in the present and under future different RCP scenarios. (WH: Wuhan; GZ: Guangzhou; 2.6: RCP2.6; 4.5: RCP4.5; 8.5: RCP8.5).
Figure 3. Meteorological parameters in the present and under future different RCP scenarios. (WH: Wuhan; GZ: Guangzhou; 2.6: RCP2.6; 4.5: RCP4.5; 8.5: RCP8.5).
Buildings 14 02822 g003
Figure 4. Appearance and layout of modern rural housing in southern China.
Figure 4. Appearance and layout of modern rural housing in southern China.
Buildings 14 02822 g004
Figure 5. Building types and living patterns.
Figure 5. Building types and living patterns.
Buildings 14 02822 g005
Figure 6. Occupancy schedule in rural housing.
Figure 6. Occupancy schedule in rural housing.
Buildings 14 02822 g006
Figure 7. Building energy gain and consumptions.
Figure 7. Building energy gain and consumptions.
Buildings 14 02822 g007
Figure 8. Monthly energy consumption of rural housing under TMY. (WH: Wuhan; GZ: Guangzhou; M: more residents; L: less residents).
Figure 8. Monthly energy consumption of rural housing under TMY. (WH: Wuhan; GZ: Guangzhou; M: more residents; L: less residents).
Buildings 14 02822 g008
Figure 9. Energy consumption of rural housing under TMY and future climate conditions. (The colored dashed lines show the results of different buildings under TMY; WH: Wuhan; GZ: Guangzhou; M: more residents; L: less residents).
Figure 9. Energy consumption of rural housing under TMY and future climate conditions. (The colored dashed lines show the results of different buildings under TMY; WH: Wuhan; GZ: Guangzhou; M: more residents; L: less residents).
Buildings 14 02822 g009
Figure 10. Annual energy intensity of typical rural housing in (a) Wuhan and (b) Guangzhou.
Figure 10. Annual energy intensity of typical rural housing in (a) Wuhan and (b) Guangzhou.
Buildings 14 02822 g010
Figure 11. Energy-saving potential of implementing energy saving measures in various set point settings. (a) Annual energy intensity of typical rural housing in Wuhan; (b) annual energy intensity of typical rural housing in Guangzhou. (L: total layers of the building; U: the untransformed house; T: the transformed house).
Figure 11. Energy-saving potential of implementing energy saving measures in various set point settings. (a) Annual energy intensity of typical rural housing in Wuhan; (b) annual energy intensity of typical rural housing in Guangzhou. (L: total layers of the building; U: the untransformed house; T: the transformed house).
Buildings 14 02822 g011
Figure 12. Energy performance of rural housing with energy-saving measures. (WH: Wuhan; GZ: Guangzhou; M: more residents; L: less residents).
Figure 12. Energy performance of rural housing with energy-saving measures. (WH: Wuhan; GZ: Guangzhou; M: more residents; L: less residents).
Buildings 14 02822 g012
Figure 13. Annual energy balance considering the solar energy supplement after implementing the energy-saving measures. (WH: Wuhan; GZ: Guangzhou; M: more residents; L: less residents).
Figure 13. Annual energy balance considering the solar energy supplement after implementing the energy-saving measures. (WH: Wuhan; GZ: Guangzhou; M: more residents; L: less residents).
Buildings 14 02822 g013
Figure 14. Comparison of monthly energy consumption and renewable energy generated by PV of Wuhan. (M: more residents; L: less residents).
Figure 14. Comparison of monthly energy consumption and renewable energy generated by PV of Wuhan. (M: more residents; L: less residents).
Buildings 14 02822 g014
Figure 15. Comparison of monthly energy consumption and renewable energy generated by PV of Guangzhou. (M: more residents; L: less residents).
Figure 15. Comparison of monthly energy consumption and renewable energy generated by PV of Guangzhou. (M: more residents; L: less residents).
Buildings 14 02822 g015
Table 1. Thermal properties of current buildings.
Table 1. Thermal properties of current buildings.
Building InterfaceConstruction LayerThickness (m)Density (kg/m3)Specific Heat (J/kg·K)U-Value (W/m∙K)
Exterior roofFine aggregate concrete0.0421009201.06
Asphalt felt0.025351380
Cement mortar0.0218001050
Reinforced concrete0.112500920
Cement mortar0.0218001050
Exterior wallCement mortar0.02180010500.78
Lime–sand brick masonry0.2019001050
Cement mortar0.0218001050
Exposed floorC20 fine stone concrete protective layer0.0821009200.09
Cement mortar0.0218001050
Fine aggregate concrete0.052100920
Reinforced concrete0.202500920
Cement mortar0.0218001050
Interior floorCement mortar0.02180010501.66
Reinforced concrete0.112500920
Cement mortar0.0218001050
Interior wallCement mortar0.02180010501.32
Lime–sand brick masonry0.2019001050
Cement mortar0.0218001050
Window3 mm ordinary white plastic-steel windows- 4.90
DoorOrdinary door- 4.00
Table 2. Initial settings for building simulation.
Table 2. Initial settings for building simulation.
Original Simulation SettingsValue
Cooling set point26 °C
Heating set point18 °C
Num. Of People Per Area0.04 ppl/m2
Equipment Load Per Area3.8 W/m2
Lighting Power Density5.0 W/m2
Table 3. Room airtightness setting and air leak rates.
Table 3. Room airtightness setting and air leak rates.
AirtightnessTightAverageLeaky
Air leak rates(m³/s·m²)0.00010.00030.0006
Table 4. Energy-saving measures implemented.
Table 4. Energy-saving measures implemented.
MinMaxInterval
Insulation thickness of external wall (m)0.040.300.02
Insulation thickness of roof (m)0.040.300.02
Length of horizontal window sunshade (m)0.21.00.2
Cooling set point (°C)26281
Heating set point (°C)16181
Table 5. Energy-saving window construction measures implemented.
Table 5. Energy-saving window construction measures implemented.
TypeWindow ConstructionVisible
Transmittance
Solar Heat Gain CoefficientU-Factor
13 mm ordinary white glass windows0.910.875.26
26 mm low-E glass window0.730.633.72
36 mm white glass + 12 air insulation + 6 mm white glass0.810.752.59
46 mm medium light transmission heat-reflective glass + 12 air insulation + 6 mm White glass0.430.422.45
56 mm medium visible light transmittance low-E glass + 12 air insulation + 6 mm White glass0.570.431.79
66 mm very low visible light transmittance heat-reflective glass + 12 air insulation + 6 mm white glass0.680.451.33
76 mm High visible light transmittance low-E glass + 12 Air insulation + 6 mm white glass + 12 air insulation + 6 mm white glass0.620.421.23
Disclaimer/Publisher’s Note: The statements, opinions and data contained in all publications are solely those of the individual author(s) and contributor(s) and not of MDPI and/or the editor(s). MDPI and/or the editor(s) disclaim responsibility for any injury to people or property resulting from any ideas, methods, instructions or products referred to in the content.

Share and Cite

MDPI and ACS Style

Xia, D.; Chen, Z.; Guo, J.; Zou, Y. Exploring the Opportunities and Gaps in the Transformation of Modern Rural Housing in Southern China to Net Zero Energy Buildings. Buildings 2024, 14, 2822. https://doi.org/10.3390/buildings14092822

AMA Style

Xia D, Chen Z, Guo J, Zou Y. Exploring the Opportunities and Gaps in the Transformation of Modern Rural Housing in Southern China to Net Zero Energy Buildings. Buildings. 2024; 14(9):2822. https://doi.org/10.3390/buildings14092822

Chicago/Turabian Style

Xia, Dawei, Zonghan Chen, Jialiang Guo, and Yukai Zou. 2024. "Exploring the Opportunities and Gaps in the Transformation of Modern Rural Housing in Southern China to Net Zero Energy Buildings" Buildings 14, no. 9: 2822. https://doi.org/10.3390/buildings14092822

APA Style

Xia, D., Chen, Z., Guo, J., & Zou, Y. (2024). Exploring the Opportunities and Gaps in the Transformation of Modern Rural Housing in Southern China to Net Zero Energy Buildings. Buildings, 14(9), 2822. https://doi.org/10.3390/buildings14092822

Note that from the first issue of 2016, this journal uses article numbers instead of page numbers. See further details here.

Article Metrics

Back to TopTop