Next Article in Journal
Study on Mechanical Properties of Steel Fiber-Reinforced Geopolymer Concrete under Multi-Axial Loads
Previous Article in Journal
The Noise: A Silent Threat to the Recovery of Patients in Neonatal Intensive Care Units
 
 
Font Type:
Arial Georgia Verdana
Font Size:
Aa Aa Aa
Line Spacing:
Column Width:
Background:
Article

Pounding Risk Assessment through Soil–Structure Interaction Analysis in Adjacent High-Rise RC Structures

by
Mehdi Ebadi-Jamkhaneh
Department of Civil Engineering, School of Engineering, Damghan University, Damghan 36716-45667, Iran
Buildings 2024, 14(9), 2779; https://doi.org/10.3390/buildings14092779
Submission received: 23 July 2024 / Revised: 31 August 2024 / Accepted: 2 September 2024 / Published: 4 September 2024
(This article belongs to the Section Building Structures)

Abstract

This study investigates the seismic response of two 20-story adjacent reinforced concrete structures with differing lateral load-bearing systems, emphasizing the influence of soil–structure interaction. In total, 72 numerical models explored the combined effects of 9 earthquake motions, 4 soil types, and 2 structural designs. Analytical fragility curves revealed superior seismic resilience for the structure with shear walls compared to the bare frame structure. Shear walls increased the capacity to withstand earthquakes by up to 56% for each damage level. Soil behavior analysis investigated the effect of soil properties. Softer soil exhibited larger deformations and settlements compared to stiffer soil, highlighting soil ductility’s role in the system’s response. The study further assessed potential pounding between structures. The connection between structural stiffness and soil deformability significantly affected pounding risk. The provided gap (350 mm) proved insufficient to prevent pounding under various earthquake scenarios and soil types, leading to damage to RC components. These findings emphasize the crucial need to consider both structural systems and soil properties in seismic assessments.

1. Introduction

Pounding is a phenomenon that occurs when two adjacent structures collide during an earthquake. This can cause significant damage to both structures and can even lead to injuries or fatalities. The risk of pounding is increased when the two structures have different natural frequencies, or when the gap between them is small. The phenomenon of pounding during earthquakes becomes even more critical when considering the soil–structure interaction (SSI). An SSI introduces a set of complex mechanisms that directly influence the risk of pounding, making it imperative to account for these factors when designing earthquake-resistant high-rise buildings. In earthquake-prone regions, understanding the interplay between pounding and an SSI is essential for ensuring the structural integrity and safety of such structures [1]. An SSI can affect the risk of pounding in several ways. This risk is intensified through several mechanisms. Firstly, an SSI can reduce a structure’s natural frequency, making it more prone to vibrate in sync with nearby structures. Secondly, an SSI can amplify a structure’s vibrations, causing contact with neighboring structures, even if their frequencies differ. Thirdly, an SSI might narrow the gap between structures by deforming the soil [2]. The impact of an SSI on pounding risk in tall buildings is intricate and reliant on factors like soil characteristics, design, and earthquake properties. Nevertheless, it is evident that an SSI significantly contributes to pounding risk and demands careful consideration when designing high-rise buildings in earthquake-prone regions [3].
In a study by Elwardany et al. (2019), the influence of an SSI and the presence or absence of masonry infill panels on the pounding of structures was investigated. The research aimed to understand how an SSI affects dynamic pounding between buildings, providing valuable insights into this phenomenon [4]. Forcellini developed a method to assess the earthquake vulnerability of different buildings. This method considers how the soil interacts with the foundation and how adjacent buildings might collide with each other during an earthquake [5]. Bapir et al. (2023) provided an overview of the consequences of dynamic SSI on building structures and discussed the available literature on this topic [6]. Li et al. (2017) researched the response of structures subjected to pounding, taking into account the interaction between structures and soil (SSSI) under seismic loading conditions. Their study offers valuable insights into the nonlinear dynamic behavior of neighboring structures during seismic events [7]. Kermani et al. (2020) investigated the effects of seismic pounding between adjacent structures, focusing on the dynamic interactions that occur through the underlying soil and impact [8]. In a 2022 study, Miari and Jankowski investigated the impact of earthquake-induced pounding on adjacent buildings founded on various soil types. Their findings revealed a significant increase in peak accelerations across all scenarios when pounding occurred. Interestingly, the peak displacements exhibited a complex response, experiencing both amplification and de-amplification. Shear forces, on the other hand, consistently increased throughout all stories, with minimal exceptions observed in the top levels. Notably, the most significant displacements and shear forces were associated with buildings constructed on soft clay soil [9]. Awchat and Monde (2021) investigated the seismic behavior of a 10-storey building in various seismic zones of India considering SSI. The analysis demonstrates that a soil–structure interaction (SSI) leads to an increase in lateral story drift, spectral acceleration, spectral velocity, and the fundamental period of the structure. This can be particularly detrimental for buildings located in high seismic zones (IV and V). These findings highlight the importance of incorporating SSI considerations in the design process, especially for structures founded on soft soil [10].
Miari and Jankowski (2023) addressed a critical gap in seismic engineering by proposing new formulations to determine the optimal seismic gap between buildings founded on varying soil conditions. The existing formulas were found to be inaccurate, so the authors proposed new equations that take into account the correlation factors and the top displacements of adjacent buildings. The equations were validated using five different soil types and the results showed that the error ranges between 2% and 14% [11]. Naderpour et al. (2016) investigated earthquake-induced structural pounding between adjacent buildings using single-degree-of-freedom models. It employs a nonlinear viscoelastic model to simulate impacts, focusing on impact force calculations. Findings showed that impact forces vary with earthquake characteristics and depend on factors like gap size, restitution coefficient, impact velocity, and spring stiffness. The model effectively simulates earthquake-induced structural pounding [12]. The study by Kontoni and Farghaly (2018) investigated seismic effects on pairs of closely situated multi-story buildings with unequal heights and foundation levels, considering SSI. It emphasizes the significance of analyzing earthquake-induced double pounding and SSI in such scenarios, particularly for buildings with varying heights and foundations [13]. Cayci and Akpinar (2021) evaluated pounding effects on typical buildings with a soil–structure interaction and varying heights. Nonlinear analyses with 15 ground motions reveal displacement and drift changes. Impact effects increase inter-story drift demands, influencing damage mechanisms, with results showing scatter due to dynamic analysis complexity [14]. In urban areas, adjacent buildings interact through SSSI and seismic pounding due to limited spacing. Raheem et al. (2021) analyzed SSSI and pounding effects on adjacent buildings with shallow raft foundations on soft soil, considering factors like gap distance, soil conditions, and excitation frequency, focusing on story displacement, shear, and moment responses. The results are compared with fixed support and single-building models [15]. High-rise buildings (HRBs) face seismic vulnerability due to increased urbanization and seismic activity. The performed study by Kontoni and Farghaly (2023) explored methods to enhance HRB stiffness, including shear walls, bracings, and tuned mass dampers, considering the soil–structure interaction. The results showed their positive impact on seismic resistance through base forces, displacement, and the building period [16]. In their 2022 study, Sobhi and Far [17] examined the underexplored area of seismic pounding between adjacent buildings, often disregarded due to complex SSI. Recent research highlights SSI’s role in increasing lateral displacements, inter-story drifts, inelastic behavior, and structural damage. This underscores the imperative of integrating SSI considerations into seismic design practices to mitigate adverse effects on neighboring structures. Pitilakis and Petridis (2022) [18] explored the influence of SSI and site amplification on the fragility of reinforced concrete buildings using a modular approach. Khan et al. (2019) [19] examined the effects of SSI on an unreinforced masonry structure under train-induced vibrations through experimental and numerical methods. Akhoondi and Behnamfar (2021) [20] focused on the seismic fragility of steel moment frame structures considering soil flexibility and uncertainties through probabilistic modeling. These studies highlight the importance of accounting for SSI in seismic assessment and the need for advanced modeling techniques to capture its effects accurately.
Fatollahpour’s [21] research investigated how SSSI affects two 20-story steel moment frames equipped with Tuned Mass Dampers (TMD). Using finite element methods and optimization techniques, the study reveals that SSSI amplifies seismic responses, yet optimized TMD parameters efficiently mitigate seismic impacts in these structures. Kamal et al. (2022) explored the influence of three analytical approaches on the seismic response of mid-rise RC buildings constructed on soft soil. They used 3D nonlinear modeling and examined 65 different model combinations with 21 ground motion records. The study highlights that neighboring buildings on soft soil affect each other’s seismic response, particularly up to 8 stories, even in the absence of physical collisions. For taller structures, considering SSI is crucial in the absence of collisions, and for buildings with seismic pounding potential, accounting for SSI effects from neighboring structures is essential, regardless of building height [22]. Earthquakes, driven by seismic waves and various factors, pose risks to structures. Damage levels depend on intensity, duration, soil conditions, and construction quality. Sai Krishna and Kalyana Rama (2019) investigated the pounding effects between adjacent structures and implemented measures to address the necessary gap between them [23]. Nghiem and Chang (2008) evaluated how tall buildings in earthquake-prone areas respond to seismic forces, with a specific focus on the use of precise analysis methods. It explores various foundation conditions and their impact on 33-story and 20-story structures, revealing intricate effects on top movements and foundation forces. Additionally, it observes distinct behaviors in buildings with irregular shapes [24]. These highlight the need for a comprehensive understanding of the SSI phenomenon and its intricate implications for high-rise buildings.
This paper seeks to extend the existing body of knowledge by examining the influence of SSI effects on the likelihood of structural pounding occurring between two adjacent high-rise RC buildings founded on soils of varying degrees of deformability. The primary innovations of this study include the development of numerical models for the assessment of SSI impacts on adjacent high-rise structures, with a comprehensive characterization of soil properties facilitated by the utilization of the ABAQUS (version 6.14) [25] software. Furthermore, an additional novel aspect of this research involves the execution of a parametric investigation focusing on soil typologies as defined by relevant building codes, wherein variations in soil deformability are systematically explored. The outcomes of this investigation hold the potential to inform and influence the future development of building code provisions in light of the insights gained regarding the effects of SSI on adjacent structures.

2. Materials and Methods

This study proposes a methodology for constructing analytical fragility curves. These curves will be used to evaluate and compare the seismic performance of two high-rise building models (Figure 1). The models, created using the ABAQUS software [25], represent buildings founded on various deformable soil conditions, as detailed in Table 1. The parametric study used four soil types: soil A, soil B, soil C, and soil D. Soil A has the lowest deformability, while soil D has the highest deformability. The four soil types (A, B, C, and D) were carefully chosen to represent a wide range of geotechnical conditions commonly encountered in real-world environments. These soil types were defined based on their shear modulus, damping ratio, and Poisson’s ratio, which are key parameters influencing the seismic response of structures.
The seismic hazard was simulated using nine earthquake motions from the NGA database [26] (Figure 2). The ground motions used for the analysis were chosen to comply with the life-safety limit state as defined by the relevant building code. These motions were specifically selected to represent a seismic event with a return period of 475 years. The ground motions are divided into three groups based on how strong it is. These categories are delineated as follows: low, denoting PGA values ranging from 0.1 g to 0.3 g; moderate, spanning PGA values between 0.4 g and 0.6 g; and high, encapsulating PGA values falling within the range of 0.7 g to 0.9 g. Table 2 details the properties of the chosen ground motions.

3. Numerical Models

Two configurations comprising benchmark structures and soils have been simulated using ABAQUS [25] to investigate the varying responses associated with the two structural schemes. This investigation utilizes two distinct 20-story RC building models, designated S1 and S2, to evaluate the impact of structural configuration on seismic response. Structure S1 represents a conventional bare-frame RC building. In this configuration, non-structural infill walls, such as brick or concrete panels, are absent between the RC columns and beams. Structure S2 employs the same fundamental RC structural system as S1. However, it incorporates additional RC shear walls strategically positioned around the building. These shear walls are interconnected via the floor slabs, creating a more robust lateral load-resisting system. In Section 3.1, the specifications of the structures are presented. Section 3.2 provides information related to the simulation of soil and its behavioral model. Section 3.3 presents information regarding the type of elements and meshing. Section 3.4 provides details including boundary conditions, loading types, and element interaction.

3.1. Structure Specifications

Two adjacent structures (with a distance of 35 cm between them) have been designed with different periods of vibration to enhance the impact of the two structures pounding with each other. The distance between the two structures is determined according to the relationship provided by Filiatrault and Cervantes [27]. The height of each floor for both structures is 3 m to ensure uniform control points at the same level. A synopsis of the key dynamic characteristics of the benchmark building models, including their fundamental vibration periods in the longitudinal direction and the distribution of modal mass participation ratios presents in Table 3. Notably, the presence of RC shear walls in structure S2 significantly increases its lateral stiffness compared to structure S1, as reflected in the corresponding dynamic properties.
The minimum required separation, SAB, between two adjacent buildings A and B, is given by
S A B = u A m a x 2 + u B m a x 2 + 2 γ u A m a x u B m a x
where uAmax and uBmax are the maximum displacements (absolute values) of buildings A and B, respectively, at the level where contact is expected, and are obtained from a first mode spectral analysis and
γ = 8 ξ 2 1 + T B T B T B T A 1.5 1 T B T A 2 2 + 4 ξ 2 1 + T B T A 2 T B T A
where TA and TB are the fundamental elastic periods of buildings A and B, respectively; and ξ is a modal viscous damping ratio, assumed to be common for both buildings (equal to 0.02). uAmax and uBmax are 276.8 mm and 211.7 mm, respectively. Based on Equation (1), the minimum gap between two RC buildings is 350 mm.

3.1.1. Structure S1

In this investigation, a moment-resisting concrete building measuring 13.5 m wide and 60 m high (equivalent to 20 stories) was studied. The building rested on a piled raft foundation system. The superstructure was configured with a symmetrical plan, divided into three equal spans of 4.5 m in both the longitudinal and transverse directions. Design and analysis of the structural components were conducted according to AS3600 [28], using SAP2000 v14 [29] software. The concrete members were assumed to have a compressive strength (f’c) of 32 MPa and a mass density of 2400 kg/m3. The modulus of elasticity of concrete was estimated at 30.1 GPa. The dimensions and arrangement of columns and floors are detailed in Table 4 and depicted in Figure 3.

3.1.2. Structure S2

Structure S2 is the same as structure S1, except that it has RC shear walls distributed in two horizontal directions and throughout the entire height of the structure. In the second structure, an attempt has been made to distribute the RC shear walls in both directions and symmetrically so that the center of stiffness and the center of mass of the structure coincide. The addition of RC shear walls to the second structure increased its stiffness, which outweighed the effect of the increased mass, resulting in a shorter fundamental period. This means that the second structure would be more resistant to earthquakes with high frequencies. The geometrical and reinforcement details of the shear wall in all stories are presented in Figure 4 and Table 5.

3.1.3. Foundation

The foundation system comprises a 1.5 m thick raft footing measuring 15 m × 15 m in width, supported by 16 RC piles. Each pile is 20 m long and has a diameter of 1 m. The concrete and steel used in the foundation system possess the same mechanical properties as the other concrete components of the main structure. Each concrete pile is reinforced with 40 longitudinal rebars, each with a diameter of 25 mm. Additionally, the raft foundation is reinforced with two layers of rebar mesh, spaced 200 mm apart, with a diameter of 20 mm. The geometry and arrangement of the piles and foundation are shown in Figure 5.

3.2. Material Constitutive Model

To model the complex behavior of soil under cyclic loading, a user-defined subroutine (USDFLD) was implemented in ABAQUS [25]. This subroutine extends the Drucker–Prager model by incorporating multi-surface capability. The traditional Drucker–Prager model captures soil’s non-linearity, but the USDFLD allows for a more detailed representation by tracking the evolution of multiple yield surfaces through state variables. These surfaces adapt based on the loading history, mimicking the hysteretic response observed in real soils. The code calculates pressure, deviatoric stress, and the yield function while considering the influence of these changing yield surfaces. Furthermore, the USDFLD determines the plastic flow direction and updates the stress and plastic strain states based on both the Drucker–Prager formulation and the multi-surface effects. This approach provides a more comprehensive description of soil behavior compared to a standard Drucker–Prager model.
This study employs the Concrete Damaged Plasticity (CDP) model in ABAQUS to realistically simulate the response of concrete structures to seismic loads. CDP is effective in capturing essential concrete behaviors such as tensile cracking with stiffness reduction, compressive crushing with strength decrease, and the evolution of damage through specific variables. Key material parameters including elasticity, tensile strength, fracture energy, and stress–strain curves for compression are critical in defining this behavior. By utilizing the capabilities of CDP and carefully choosing these parameters, our numerical simulations aim to accurately depict concrete’s behavior during earthquakes. This allows us to evaluate the seismic performance of the structure and identify any potential vulnerabilities. The building models were constructed with specific concrete material properties to accurately represent their behavior under seismic loads. These properties include compressive and tensile strengths (32 MPa and 3.2 MPa, respectively), along with stiffness and deformation characteristics defined by Young’s modulus (29 GPa) and Poisson’s ratio (0.18). Additionally, the model incorporates the density of the concrete (2400 kg/m3) for accurate mass calculations. To capture more complex material behavior under various types of stress conditions, the analysis considers advanced parameters such as the dilation angle (35°) and flow potential eccentricity (0.1). Furthermore, the model accounts for the influence of biaxial loading on compressive strength (ratio of 1.16) and the behavior of concrete under tension compared to compression (ratio of 0.67). This comprehensive set of material properties ensures a realistic representation of the concrete structures for the subsequent seismic performance evaluation. Figure 6 presents the mechanical properties of concrete used in the numerical models according to the fib Model Code [30] and the tensile and compressive damage characteristics of concrete.
The steel components of the building models were simulated using the elastic–plastic material model for ductile metals available in ABAQUS V 6.14 software. This sophisticated approach considers the steel’s stiffness (200 GPa Young’s Modulus), Poisson’s Ratio of 0.3, density (7850 kg/m3), and yield stress (400 MPa). These properties define how the steel behaves under stress, initially deforming elastically up to the yield stress before transitioning to plastic deformation.

3.3. Element Type and Meshing

The finite element modeling process employed solid elements to represent various structural components. These elements were specifically chosen as eight-node reduced-integration “brick” elements (C3D8R) for the foundation, columns, slabs, and surrounding subsoil. In dynamic analysis, finite elements encounter challenges with vast soil areas [31,32]. Infinite elements serve as effective shock absorbers in such expansive regions, mitigating wave reflections that could distort outcomes. Their suitability for unbounded soil lies in their ability to establish precise boundaries when coupled with finite elements focusing on critical areas. Therefore, CIN3D8 elements have been used for the soil elements surrounding the model. The reinforcement rebars of the structural system were modeled using 2-node linear beam elements (B31). The surrounding soil domain was discretized using a finite element mesh. This mesh encompassed a volume of 120 m × 60 m × 30 m that was built up with 307,344 nodes and 221,427 non-linear C3D8R elements. The details of the number of elements and nodes are given in Table 6. The number of elements and nodes was selected based on a comparison of the numerical model and the model presented in [33]. Sufficient explanations are provided in the model validation section.

3.4. Boundary Conditions, Loading, and Contact

To simulate the fixed-base condition at the bottom of the soil domain, all nodes on the bottom surface were restrained in all directions except for the longitudinal direction, which coincides with the direction of earthquake shaking. The earthquake ground motions were then applied as input parameters at the bedrock level of the soil–structure system. Accurately simulating the contact of pile-surrounding soil and foundation soil is crucial for realistic results in SSI simulations. This interaction involves normal pressure, tangential forces, sliding, and friction. ABAQUS offers two contact formulations, “small sliding” for limited movement and “finite sliding”, for larger separations. For laterally loaded piles, “small sliding” is appropriate. “Hard contact” is used for normal behavior, defining the pressure–clearance relationship between surfaces. When contact pressure becomes zero, the surfaces can separate (“allow separation after contact”).
Coulomb friction defines the interaction between contacting surfaces. This study uses the method that directly specifies static and kinetic friction coefficients, allowing for an exponential decay between them. Overall, the simulation captures both normal and tangential behavior, allowing pressure transfer and separation between soil and pile based on contact pressure. Simulating stiff interfaces with a standard contact method can be tricky because it might be too rigid and lead to convergence problems. The penalty method offers a solution by approximating hard contact with a slightly softer stiffness. This allows some penetration but avoids it being over-constrained. The method also avoids using Lagrange multipliers, improving efficiency. Here, a linear penalty method is used with an iterative approach. If penetration is too high, the contact pressure is increased and the solution process restarts until the penetration is within a small tolerance (5% of a characteristic length). This entirely avoids using Lagrange multipliers in this case.

3.5. Validation of the Numerical Model

Kant et al. [33] investigated the seismic response of three RC buildings with different heights (20, 25, and 30 stories) under the El-Centro earthquake. The 20-story structure had a moment-resisting frame and concrete shear wall lateral system with a 30 m × 30 m plan and a total height of 70 m. Concrete compressive strength was 55 MPa, concrete elastic modulus was 25 GPa, and steel reinforcement yield strength was 413 MPa. The thickness of the concrete slab is equal to 200 mm in all floors and the thickness of the foundation is equal to 1 m. The geometrical properties and reinforcement layout of beams, columns, and shear walls are given in Table 7. The properties of the soft soil used in the numerical model of [28] are given in Table 8. Figure 7 shows the history of the El-Centro earthquake acceleration used in the analysis for validation of the numerical model.
Figure 8 compares the numerical model with the reference model in terms of changes in displacement and drift ratio of each story. It is worth noting that the models were analyzed in two cases: without considering the effect of SSI and with consideration of it. Accounting for SSI in the analysis resulted in a significant increase in the top floor displacement of the structure, with a value approximately 48% higher compared to the scenario without SSI. Also, the maximum drift ratio in both cases of fixed base and considering the effect of SSI occurs at levels 18th and 19th. However, in the case of considering soft soil, the drift ratio is about 80% higher than that of the fixed base case. The results are valid for both the reference model and the numerical model, and the consistency between the results indicates the high accuracy of the numerical model.

4. Results and Discussions

The analysis in this section examines the results of 72 simulations, a combination of 9 earthquake motions, 4 soil typologies, and 2 building designs. Here, the focus is on lateral displacements, specifically how adjacent sections of the two structures respond under these varying conditions. To gain a deeper understanding, time histories—detailed records of displacement over time—were generated for key points on the adjoining parts.

4.1. Analytical Fragility Curves

To gain a deeper understanding of how vulnerable these two benchmark structures are to earthquakes, analytical fragility curves were developed. These curves estimate the likelihood of damage occurring at different earthquake intensities, but they assume the buildings are fixed at the base and do not take SSI into account. For this analysis, 100 ground motion records were chosen from a database provided by the Pacific Earthquake Engineering Research Center (PEER). These records include the 9 specific motions explored earlier (as shown in Figure 2 and Table 2). To quantify the strength of the earthquake excitation, Peak Ground Acceleration (PGA) was used and then four different damage levels under the maximum amount of relative displacement ratio (drift) that the structure experiences during the earthquake. These damage levels, categorized as slight, moderate, extensive, and complete, were adopted from established building safety guidelines (HAZUS, 2010) [34] relevant to similar structures. The specific drift ratios corresponding to each damage level are 0.30% (slight), 0.60% (moderate), 1.60% (extensive), and 4.00% (complete). These damage levels are also visually represented by horizontal lines in Figure 9.
A linear regression model was employed to quantify the statistical properties of the lognormal PGA data. The coefficient of determination (R-squared) for datasets S1 and S2 were 0.885 and 0.867, respectively. Based on the analysis results, the lognormal standard deviation (β) and mean (μ) of the PGA were estimated. These parameters were then employed to calculate the probability of exceeding a specific PGA value using Equation (3).
P D C i P G A = l n S A μ β
The probability (P) of structural damage (D) surpassing the i-th damage state (C) can be expressed using the standard normal cumulative distribution function ( ). This function takes the normalized exceedance variable as input and provides the likelihood that a standard normal variable will be less than or equal to that value. Figure 10 presents the analytical fragility curves developed for all four models. Table 9 presents the lognormal standard deviation (β) and mean (μ) values for the PGA obtained for building models S1 and S2. Notably, the fragility curve for S2 exhibits no points exceeding the “complete damage” state. This observation suggests a more robust structural configuration compared to S1. The introduction of shear walls in S2 effectively reduces damage compared to the original structure (S1). Consequently, the fragility curves for S1 are shifted toward lower peak ground acceleration (PGA) values on the x-axis. This leftward shift visually confirms the increased vulnerability of S1 relative to S2. The mean values for the limit states in structure S2 are considerably higher than those in S1. This indicates a substantial increase in structural capacity for S2. Compared to S1, S2 exhibits a 56% increase in the PGA required to reach the slight damage state, a 43% increase for moderate damage, and a 38% increase for extensive damage.

4.2. Seismic Response of the Soil

In this section, the response of the soil under the foundation is investigated. Figure 11 shows the behavior of two types of hard (Soil A) and soft soil (Soil D) under the most severe earthquake (Cape Mendocino-CM) in the form of a shear stress–shear strain curve. Based on Figure 11a, it can be seen that the soil under structure S1 deforms more than the soil under structure S2. This is due to the difference in the ductility of the structures. Figure 11 depicts the shear stress–strain response of soil type A for the two structures (S1 and S2). It can be seen from this result that the level of soil deformation is much smaller than that of soil type D, which indicates the importance of soil ductility and its importance in amplifying the overall system response. Comparing Figure 11a,b, it can be observed that the hysteresis loops are smaller when the structures are founded on stiffer soil than when they are founded on softer soil. Additionally, the difference between the curves is much smaller in the case of stiff soil than in the case of soft soil. This indicates the importance of structural ductility. Figure 12 shows the time history of the vertical displacement (settlement) of two structures founded on soil type D under earthquake CM. The settlement curves were extracted from a point on the edge of the foundation. It can be seen from the comparison between the two extracted curves that the rotational component in structure S1 is larger and more pronounced than in structure S2.

4.3. Seismic Response of the Structure

When construction or ground activities take place (like building a new foundation, digging a tunnel, or an earthquake), they can induce various mechanisms in the soil below existing foundations. These mechanisms essentially act like a domino effect, transmitting forces and disturbances to adjacent buildings. The way these buildings respond depends heavily on their deformability, which is their ability to resist bending, twisting, or other deformations. The presence of shear walls in building S2 significantly influences its lateral stiffness (Table 3). A stiffer building with well-placed shear walls will experience less lateral displacement when subjected to these forces. Beyond the shear walls, the deformability (how easily the soil can deform) of the ground beneath both buildings plays a crucial role in horizontal displacements and pounding risk. Understanding the interplay between shear wall strength, soil deformability, and lateral displacements is crucial for assessing the risk of pounding between buildings. Figure 13 shows the deformation of two adjacent structures under the CM earthquake (at the time 3 s) and soil D. It is clear from this figure that the two structures collided at several floor levels.
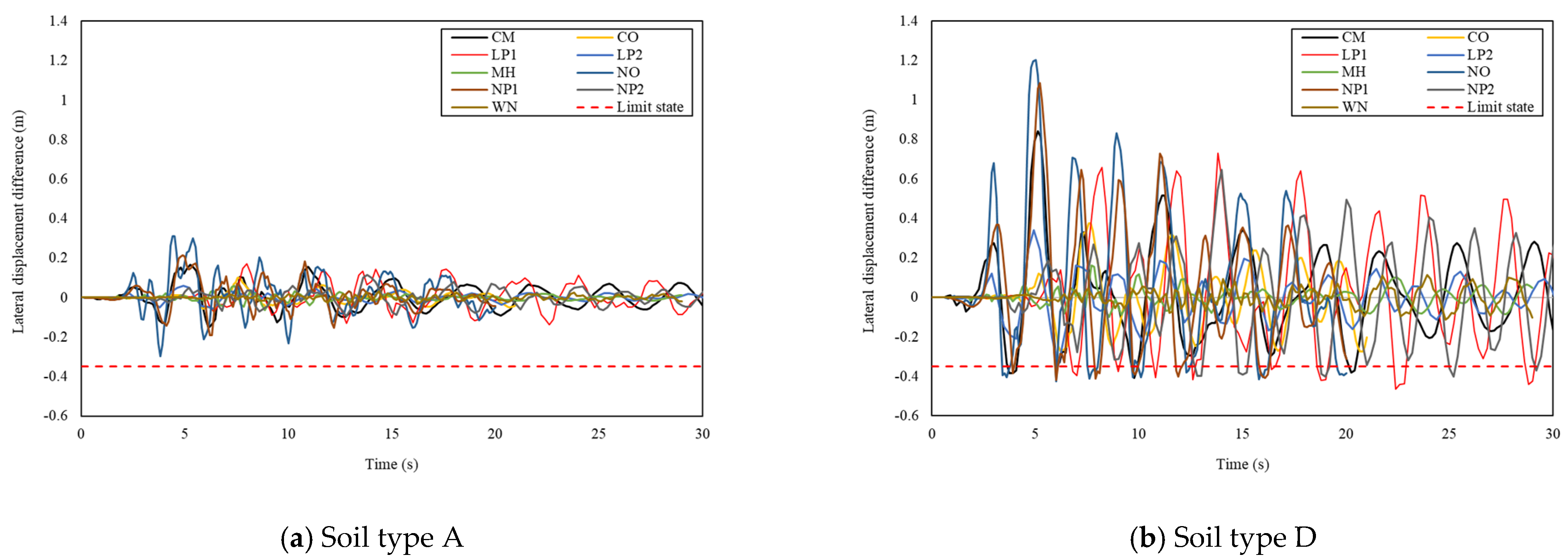
The time-dependent behavior of the horizontal displacement of the node at the corner of the plan at the highest level of both structures is shown in Figure 14. It can be observed from the responses that the difference in the response of the two structures becomes more pronounced when softer soil is used. This highlights the importance of incorporating the effect of SSI in the dynamic analysis of structures. It should be noted that the two structures collide when the difference in their lateral displacement at the roof level exceeds the predefined gap between them. Table 10 presents the values of the relative displacement difference in the roof level of the two structures subjected to various earthquakes and four soil types. Values exceeding 350 mm indicate the collision of the two structures, which are highlighted in red. Figure 15 shows the difference in the lateral displacement of the roof level of two structures resting on soil types A and D, plotted for 9 earthquakes. The limit state is shown as a dashed red line in Figure 15 as the pounding boundary of the two structures. It should be noted that the positive part of the curve represents the movement of the two structures away from each other, and the negative part of the curve depicts the movement of the two structures toward each other. Therefore, the limit state, shown by the dashed red line, is only shown in the negative part of the graph. Data presented in Table 10 and visualized in Figure 15 indicate that the free gap between the two structures (35 cm) cannot prevent the two structures from pounding under 6 earthquakes. Figure 16 shows the distribution of compressive damage and tensile damage in the RC slab and shear wall panels of the S2 structure under the earthquake NP1 (t = 2.78 s) and soil D. Based on Figure 16, it appears that some parts of the wall and roof have been damaged due to the collision of two structures with each other.

4.4. Policy Implications

The findings of this study underscore the critical role of soil conditions in exacerbating the risk of pounding between adjacent high-rise buildings during seismic events. Building codes and design standards must be revised to incorporate more stringent requirements for soil investigations and analysis in high-seismic regions. Moreover, the observed influence of structural configuration on pounding vulnerability highlights the need for performance-based design approaches that explicitly consider the interaction between adjacent structures. By mandating detailed seismic performance evaluations and adopting appropriate design measures, such as increased structural stiffness and optimized building separation distances, policymakers can significantly enhance the resilience of urban environments.
To effectively mitigate the risks associated with pounding, a comprehensive framework is essential. This framework should include guidelines for site selection, geotechnical investigations, structural design, and construction supervision. Furthermore, ongoing research is necessary to refine our understanding of pounding mechanisms and to develop innovative mitigation strategies. By prioritizing these actions, policymakers can contribute to the development of safer and more resilient cities.

4.5. Future Works and Limitations

The present study has certain limitations. Firstly, the investigation was constrained to two specific building configurations and a restricted range of soil types. Expanding the analysis to encompass a broader spectrum of structural typologies and soil conditions would offer a more comprehensive understanding of the problem. Secondly, the study adopted linear elastic material behavior for structural components, which might not accurately represent the inelastic response of structures under intense seismic loading. Incorporating nonlinear material models would enhance the precision of the analysis. Lastly, the influence of uncertainties in soil properties and ground motion records was not explicitly considered. A probabilistic approach could be implemented to quantify these uncertainties.
Several avenues for future research can be explored. Conducting parametric studies with a wider array of structural configurations, including irregular and asymmetric buildings, is essential to assess their susceptibility to pounding and SSI. Integrating nonlinear material models is crucial to accurately capture the inelastic behavior of structures under severe seismic loading. Furthermore, probabilistic analyses can be employed to quantify the uncertainties associated with soil properties and ground motion records. Developing advanced numerical models to simulate the complex interaction between soil, structure, and adjacent buildings, including the effects of pounding and structural damage, is another promising research direction. Finally, investigating the effectiveness of various seismic isolation and energy dissipation systems in mitigating pounding and SSI effects can contribute to the development of more resilient structures.

5. Conclusions

This investigation explored the seismic response of two adjacent RC high-rise structures, designated S1 and S2, subjected to a combination of earthquake motions and soil properties. The primary goal was to illustrate the influence of structural systems on seismic performance and the risk of pounding between adjacent buildings. Structure S1 represented a conventional RC bare frame, whereas S2 integrated RC shear walls positioned at various levels throughout its entire height. The most important findings of the study are mentioned below.
(a) To validate the numerical model, a 20-story building with frame-shear walls examined its seismic response on soft soil under El-Centro shaking. Including SSI significantly increased top floor displacement and drift ratio compared to a fixed base analysis. The good agreement between models validated the numerical model’s accuracy;
(b) Fragility curves assessed the seismic vulnerability of structures S1 and S2. They considered PGA and four damage levels. Structure S2 with shear walls showed a significant improvement in damage resistance compared to S1. This is quantified by a 38–56% increase in PGA required to reach each damage state in S2;
(c) Under the strongest earthquake, softer soil (D) showed significantly higher shear strain (deformation) compared to stiffer soil (A). Structures with lower ductility (S1) also induced more soil deformation in both soil types. This effect was amplified in softer soil, where S1 experienced a larger rotational settlement compared to the more ductile S2;
(d) The 35 cm gap between structures proved insufficient to prevent pounding under various earthquake scenarios. Pounding resulted in damage to S2’s RC components. These findings highlight the importance of considering SSI and potential pounding in seismic assessments.

Funding

This research received no external funding.

Data Availability Statement

Data are contained within the article.

Conflicts of Interest

The author declares no conflicts of interest.

References

  1. Naserkhaki, S.; Aziz, F.N.A.; Pourmohammad, H. Earthquake induced pounding between adjacent buildings considering soil-structure interaction. Earthq. Eng. Eng. Vib. 2012, 11, 343–358. [Google Scholar] [CrossRef]
  2. Uz, M.E.; Jakubczyk-Gałczyńska, A.; Jankowski, R. Numerical Analysis of Seismic Pounding between Adjacent Buildings Accounting for SSI. Appl. Sci. 2023, 13, 3092. [Google Scholar] [CrossRef]
  3. Kazemi, F.; Miari, M.; Jankowski, R. Investigating the effects of structural pounding on the seismic performance of adjacent RC and steel MRFs. Bull. Earthq. Eng. 2021, 19, 317–343. [Google Scholar] [CrossRef]
  4. Elwardany, H.; Seleemah, A.; Jankowski, R.; El-Khoriby, S. Influence of soil–structure interaction on seismic pounding between steel frame buildings considering the effect of infill panels. Bull. Earthq. Eng. 2019, 17, 6165–6202. [Google Scholar] [CrossRef]
  5. Forcellini, D. The role of Soil Structure Interaction (SSI) on the risk of pounding between low-rise buildings. Structures 2023, 56, 105014. [Google Scholar] [CrossRef]
  6. Bapir, B.; Abrahamczyk, L.; Wichtmann, T.; Prada-Sarmiento, L.F. Soil-structure interaction: A state-of-the-art review of modeling techniques and studies on seismic response of building structures. Front. Built Environ. 2023, 9, 1120351. [Google Scholar] [CrossRef]
  7. Li, P.; Liu, S.; Lu, Z. Studies on pounding response considering structure-soil-structure interaction under seismic loads. Sustainability 2017, 9, 2219. [Google Scholar] [CrossRef]
  8. Kermani, M.; Saadatpour, M.M.; Behnamfar, F.; Ghandil, M. Effects of seismic pounding between adjacent structures considering structure-soil-structure interaction. Sci. Iran. 2020, 27, 2230–2246. [Google Scholar] [CrossRef]
  9. Miari, M.; Jankowski, R. Analysis of pounding between adjacent buildings founded on different soil types. Soil Dyn. Earthq. Eng. 2022, 154, 107156. [Google Scholar] [CrossRef]
  10. Awchat, G.M.; Monde, A.S. Influence of Soil-Structure Interaction on the Seismic Response of the Structure on Mat Foundation. Civ. Eng. J. 2021, 7, 1679–1692. [Google Scholar] [CrossRef]
  11. Miari, M.; Jankowski, R. Effective Equations for the Optimum Seismic Gap Preventing Earthquake-Induced Pounding between Adjacent Buildings Founded on Different Soil Types. Appl. Sci. 2023, 13, 9741. [Google Scholar] [CrossRef]
  12. Naderpour, H.; Barros, R.C.; Khatami, S.M.; Jankowski, R. Numerical study on pounding between two adjacent buildings under earthquake excitation. Shock Vib. 2016, 2016, 1504783. [Google Scholar] [CrossRef]
  13. Kontoni, D.P.N.; Farghaly, A.A. Seismic response of adjacent unequal buildings subjected to double pounding considering soil-structure interaction. Computation 2018, 6, 10. [Google Scholar] [CrossRef]
  14. Cayci, B.T.; Akpinar, M. Seismic pounding effects on typical building structures considering soil-structure interaction. Structures 2021, 34, 1858–1871. [Google Scholar] [CrossRef]
  15. Raheem, S.E.A.; Alazrak, T.M.; AbdelShafy, A.G.; Ahmed, M.M.; Gamal, Y.A. Seismic pounding between adjacent buildings considering soil-structure interaction. Earthq. Struct. 2021, 20, 55–70. [Google Scholar] [CrossRef]
  16. Kontoni, D.P.N.; Farghaly, A.A. Enhancing the earthquake resistance of RC and steel high-rise buildings by bracings, shear walls and TMDs considering SSI. Asian J. Civ. Eng. 2023, 24, 2595–2608. [Google Scholar] [CrossRef]
  17. Sobhi, P.; Far, H. Impact of structural pounding on structural behaviour of adjacent buildings considering dynamic soil-structure interaction. Bull. Earthq. Eng. 2022, 20, 3515–3547. [Google Scholar] [CrossRef]
  18. Pitilakis, D.; Petridis, C. Fragility curves for existing reinforced concrete buildings, including soil–structure interaction and site amplification effects. Eng. Struct. 2022, 15, 114733. [Google Scholar] [CrossRef]
  19. Khan, B.L.; Farooq, H.; Usman, M.; Butt, F.; Khan, A.Q.; Hanif, A. Effect of soil–structure interaction on a masonry structure under train-induced vibrations. Proc. Inst. Civ. Eng.-Struct. Build. 2019, 172, 922–934. [Google Scholar] [CrossRef]
  20. Akhoondi, M.R.; Behnamfar, F. Seismic fragility curves of steel structures including soil-structure interaction and variation of soil parameters. Soil Dyn. Earthq. Eng. 2021, 143, 106609. [Google Scholar] [CrossRef]
  21. Fatollahpour, A.; Tafakori, E.; Arjmandi, S.A.A. The effects of structure-soil-structure interaction on seismic response of high-rise buildings equipped with optimized tuned mass damper. Structures 2023, 50, 998–1010. [Google Scholar] [CrossRef]
  22. Kamal, M.; Inel, M.; Cayci, B.T. Seismic behavior of mid-rise reinforced concrete adjacent buildings considering soil-structure interaction. J. Build. Eng. 2022, 51, 104296. [Google Scholar] [CrossRef]
  23. Sai Krishna, P.; Kalyana Rama, J.S. Influence of Bracing Systems on the Seismic Pounding of High-Rise Structure. In Recent Advances in Structural Engineering, Volume 2: Select Proceedings of SEC 2016; Springer: Singapore, 2019; pp. 295–301. [Google Scholar]
  24. Chang, N.Y.; Nghiem, H. Soil-Structure Interaction Effects of High Rise Buildings. In Proceedings of the Sixth International Conference on Case Histories in Geotechnical Engineering, Arlington, Virginia, 13 August 2008. [Google Scholar]
  25. ABAQUS V. 6.14. Online Documentation Help, Theory Manual: Dassault Systems. Available online: http://62.108.178.35:2080/v6.14/index.html (accessed on 2 July 2024).
  26. PEER (Pacific Earthquake Engineering Research Center). PEER Ground Motion Database; University of California: Berkeley, CA, USA, 2012. [Google Scholar]
  27. Filiatrault, A.; Cervantes, M. Separation between buildings to avoid pounding during earthquakes. Can. J. Civ. Eng. 1995, 22, 164–179. [Google Scholar] [CrossRef]
  28. AS3600; Australian Standard: Concrete Structures. Standards Australia: Sydney, Australia, 2009.
  29. Computers and Structures, Inc. SAP2000 v.14 Analysis Reference Manual; Computers and Structures, Inc.: Berkeley, CA, USA, 2010. [Google Scholar]
  30. fib Model Code. fib Model Code for Code for Concrete Structures 2010; Fédération Internationale du Béton (fib): Lausanne, Switzerland; Published Ernst & Sohn: Berlin, Germany, 2013. [Google Scholar]
  31. Bagheri, M.; Jamkhaneh, M.E.; Samali, B. Effect of seismic soil–pile–structure interaction on mid-and high-rise steel buildings resting on a group of pile foundations. Int. J. Geomech. 2018, 18, 04018103. [Google Scholar] [CrossRef]
  32. Ebadi-Jamkhaneh, M.; Homaioon-Ebrahimi, A.; Kontoni, D.P. Numerical finite element study of strengthening of damaged reinforced concrete members with carbon and glass FRP wraps. Comput. Concr. 2021, 28, 137–147. [Google Scholar] [CrossRef]
  33. Kant, R.; Al Agha, W.; Almorad, W.A.; Thakur, M.S.; Umamaheswari, N. Study on seismic performance of reinforced concrete multi-storey building considering soil-structure interaction effect. Mater. Today Proc. 2022, 56, 2158–2166. [Google Scholar] [CrossRef]
  34. HAZUS-MH MR5. Multi-Hazard Loss Estimation Methodology, Technical Manual; Federal Emergency Management Agency (FEMA): Washington, DC, USA, 2010.
Figure 1. Three-dimensional meshed model with details.
Figure 1. Three-dimensional meshed model with details.
Buildings 14 02779 g001
Figure 2. Elastic spectra of seismic records.
Figure 2. Elastic spectra of seismic records.
Buildings 14 02779 g002
Figure 3. Configuration of structure S1.
Figure 3. Configuration of structure S1.
Buildings 14 02779 g003
Figure 4. Configuration of structure S2.
Figure 4. Configuration of structure S2.
Buildings 14 02779 g004
Figure 5. Foundation detail.
Figure 5. Foundation detail.
Buildings 14 02779 g005
Figure 6. Concrete properties in the CDP model. (a) Compressive stress-inelastic strain curve. (b) Tensile stress-displacement curve. (c) Compressive damage parameter-inelastic strain curve. (d) Tensile damage parameter-displacement curve.
Figure 6. Concrete properties in the CDP model. (a) Compressive stress-inelastic strain curve. (b) Tensile stress-displacement curve. (c) Compressive damage parameter-inelastic strain curve. (d) Tensile damage parameter-displacement curve.
Buildings 14 02779 g006
Figure 7. Details of the El-Centro earthquake. (a) Time history acceleration. (b) Fourier amplitude spectrum. (c) Arias intensity. (d) Energy flux.
Figure 7. Details of the El-Centro earthquake. (a) Time history acceleration. (b) Fourier amplitude spectrum. (c) Arias intensity. (d) Energy flux.
Buildings 14 02779 g007
Figure 8. Comparison of lateral displacement of structures between numerical and reference models [33]. (a) Displacement distribution of story levels. (b) Drift ratio of stories.
Figure 8. Comparison of lateral displacement of structures between numerical and reference models [33]. (a) Displacement distribution of story levels. (b) Drift ratio of stories.
Buildings 14 02779 g008
Figure 9. PGA—maximum drift ratio for two structures.
Figure 9. PGA—maximum drift ratio for two structures.
Buildings 14 02779 g009
Figure 10. Probability of exceedance of two structures.
Figure 10. Probability of exceedance of two structures.
Buildings 14 02779 g010
Figure 11. Shear stress–shear strain curves for structures S1 and S2 under CM record.
Figure 11. Shear stress–shear strain curves for structures S1 and S2 under CM record.
Buildings 14 02779 g011
Figure 12. Time history of settlement for two structures founded on soil type D under earthquake CM.
Figure 12. Time history of settlement for two structures founded on soil type D under earthquake CM.
Buildings 14 02779 g012
Figure 13. Deformation of two adjacent high-rise RC buildings relied on soil D under earthquake CM at 3 s.
Figure 13. Deformation of two adjacent high-rise RC buildings relied on soil D under earthquake CM at 3 s.
Buildings 14 02779 g013
Figure 14. Horizontal displacement at the top level of structures S1 and S2 under different records and soil types.
Figure 14. Horizontal displacement at the top level of structures S1 and S2 under different records and soil types.
Buildings 14 02779 g014
Figure 15. Lateral displacement differences for structures under soil types A and D.
Figure 15. Lateral displacement differences for structures under soil types A and D.
Buildings 14 02779 g015
Figure 16. Damages of RC slab and shear wall of structure S2 under the earthquake NP1 and soil D at 2.78 s.
Figure 16. Damages of RC slab and shear wall of structure S2 under the earthquake NP1 and soil D at 2.78 s.
Buildings 14 02779 g016
Table 1. Soil characteristics.
Table 1. Soil characteristics.
Soil TypeShear Wave Velocity (m/s)Soil Density (kN/m3)Shear Modulus (MPa)Poisson Ratio
A10002020000.30
B500184500.35
C300161440.35
D1501533.80.38
Table 2. Features of ground motions.
Table 2. Features of ground motions.
EarthquakeAbbreviationMagnitudeStationPGA (g)PGV (cm/s)PGD (cm)
N. Palm Springs, 1986NP16.0Morongo Valley Fire Station0.2231.238.58
Whittier Narrows, 1987WN6.0San Gabriel—E Grand Ave0.2923.863.78
Morgan Hill, 1994MH6.2Gilroy Array #60.3035.676.63
N. Palm Springs, 1986NP26.0Desert Hot Springs0.3427.456.92
Loma Prieta, 1989LP16.9Coyote Lake Dam—Southwest Abutment0.4841.4010.92
Loma Prieta, 1989LP26.9Saratoga—Aloha Ave0.5141.5816.34
Coalinga, 1983CO5.8Pleasant Valley P.P.—yard0.5934.207.78
Northridge, 1994NO6.7Rinaldi Receiving Sta0.87148.0542.01
Cape Mendocino, 1992CM7.1Cape Mendocino1.0442.3712.95
Table 3. Dynamic properties of S1 and S2.
Table 3. Dynamic properties of S1 and S2.
StructureT1 (s)Mass Participation Ratio (%)T2 (s)Mass Participation Ratio (%)T3 (s)Mass Participation Ratio (%)
S11.9877.581.128.370.586.14
S21.0786.270.676.280.395.33
Table 4. Details of structural elements in structure S1.
Table 4. Details of structural elements in structure S1.
Section TypeType IType IIType IIIType IVType VType VITwo-Way Slab
Dimension (m)0.75 × 0.750.7 × 0.70.65 × 0.650.6 × 0.60.55 × 0.550.5 × 0.513.5 × 13.5 × 0.25
Rebars24f3024f2820f2820f2520f2016f20f14@0.25 m
Level1–34–78–1112–1516–1819–20All levels
Table 5. Details of RC shear wall in structure S2.
Table 5. Details of RC shear wall in structure S2.
Section TypeType IType IIType IIIType IVType VType VI
Thickness (m)0.450.400.350.300.250.20
RebarsVerticalf20@0.2 mf18@0.2 mf16@0.2 mf14@0.2 mf12@0.2 mf12@0.25 m
Horizontalf18@0.2 mf16@0.2 mf16@0.25 mf14@0.25 mf12@0.25 mf12@0.25 m
Level1–34–78–1112–1516–1819–20
Table 6. Numbers of elements and nodes.
Table 6. Numbers of elements and nodes.
PartsSoilFoundationS1S2
Elements221,42714,96560406818
Nodes307,34429,71962576972
Table 7. Details of RC structure in [33].
Table 7. Details of RC structure in [33].
Level1–56–1011–1516–20
ColumnDimension (mm)800 × 800750 × 750700 × 700650 × 650
Rebar24f2820f2820f2816f28
Beam800 × 700750 × 700700 × 600650 × 600
Shear wallThickness (mm)450450350350
Rebarf25@150 mmf20@250 mmf20@250 mmf20@250 mm
Table 8. Soft soil properties in [33].
Table 8. Soft soil properties in [33].
Density (kN/m3)Velocity (m/s)fDilation Angle (y)C (N/m)Poisson Ratio (n)
1615026010000.4
Table 9. Parameters of m and b for two structures.
Table 9. Parameters of m and b for two structures.
StructureParametersLimit States
SlightModerateExtensiveComplete
S1m0.0360.0730.1420.194
b0.1830.4210.6230.706
S2m0.0870.1680.177-
b0.3870.4690.671-
Table 10. Lateral displacement differences in both structures at the top level (Unit in m).
Table 10. Lateral displacement differences in both structures at the top level (Unit in m).
Input RecordsSoil Type
ABCD
NP10.1910.4020.3910.417
CM0.1540.3850.3980.408
LP10.1380.3840.4530.464
NO0.2960.4000.4020.425
NP20.0930.3370.4000.402
LP20.0570.1930.2960.425
WN0.0320.0720.0930.113
MH0.0620.0890.0760.098
CO0.0700.1920.2480.275
Red highlights indicate that the two structures have collided, as evidenced by values exceeding 350 mm.
Disclaimer/Publisher’s Note: The statements, opinions and data contained in all publications are solely those of the individual author(s) and contributor(s) and not of MDPI and/or the editor(s). MDPI and/or the editor(s) disclaim responsibility for any injury to people or property resulting from any ideas, methods, instructions or products referred to in the content.

Share and Cite

MDPI and ACS Style

Ebadi-Jamkhaneh, M. Pounding Risk Assessment through Soil–Structure Interaction Analysis in Adjacent High-Rise RC Structures. Buildings 2024, 14, 2779. https://doi.org/10.3390/buildings14092779

AMA Style

Ebadi-Jamkhaneh M. Pounding Risk Assessment through Soil–Structure Interaction Analysis in Adjacent High-Rise RC Structures. Buildings. 2024; 14(9):2779. https://doi.org/10.3390/buildings14092779

Chicago/Turabian Style

Ebadi-Jamkhaneh, Mehdi. 2024. "Pounding Risk Assessment through Soil–Structure Interaction Analysis in Adjacent High-Rise RC Structures" Buildings 14, no. 9: 2779. https://doi.org/10.3390/buildings14092779

APA Style

Ebadi-Jamkhaneh, M. (2024). Pounding Risk Assessment through Soil–Structure Interaction Analysis in Adjacent High-Rise RC Structures. Buildings, 14(9), 2779. https://doi.org/10.3390/buildings14092779

Note that from the first issue of 2016, this journal uses article numbers instead of page numbers. See further details here.

Article Metrics

Back to TopTop