Abstract
The main objective of this study was to determine the impact of glass waste as a valuable additive in cement mortars. As part of this study, three mortars with different glass waste contents were designed with the addition of 10, 20, and 30% glass waste, as well as a reference mortar without the additive. The selected characteristics of the mixtures were determined, including the consistency, density, air content, and strength properties of the mortar. Strength tests (bending and compressive strength) were performed after 28 and 56 days of maturation. Mortars with the lowest waste content (MC10%) achieved flexural strength of 26% and compressive strength of 18% compared to the average value of standard mortar, whereas MC20% mortars showed a decrease in bending strength of 30% and compressive strength of 24%. Studies have also been conducted to determine the parameters of air trapped in the mortar microstructure and its possible impact on mortar durability in a freezing/thawing environment. A group of experimental studies involved microstructure studies aimed at assessing the changes that occur in mortars containing glass waste. The negative effects of glass waste on the compressive and bending strengths and the positive effect at low temperatures were clearly demonstrated.
1. Introduction
Construction aggregates are commonly used as raw materials in large-scale construction. Importantly, it is one of the three main components of concrete and cement mortars. For years, research has been conducted to completely or partially replace it with other materials, such as waste or raw materials, which can be reused after recycling. According to researchers [1], the most beneficial materials for recycling are metals, rock materials, concrete, glass, and ceramics. With the increasing use of recycled materials, construction has gradually become more environment-friendly, which is an important issue from the perspective of sustainable ecological development.
Glass, next to concrete and steel, is a material commonly used in construction, industry, science and everyday life. Glass is a brittle material, which means that when it reaches its maximum strength, it breaks and is crushed. Glass is a transparent, relatively hard material. On the 10-point Mosh hardness scale, depending on the brand, it takes the fifth or sixth position. The main weakness of this method is its fragility. It is produced from glass sand (source of silica SiO2), sodium potassium feldspar (source of Al2O3), borax (source of the vitreous component B2O3), sodium carbonate, limestone, and other materials. The glass brand components used in construction contain approximately 70–72% SiO2, 15% Na2O, and 10% CaO, as well as MgO, Al2O3, and other components used to improve the glass properties and manufacturing process [2,3]. Compared with steel or concrete, glass has a high compressive strength of 0.8–1 GPa. The tensile and bending strengths of glass are much lower at 30–90 MPa. In addition, glass has a high Young’s modulus of ~70 GPa. This value corresponds to Young’s modulus of aluminium [4,5]. In addition to several other advantages, glass also has disadvantages. One of these factors is the brittleness of a material. When it reached its maximum strength, it broke and became damaged. Previous research has been conducted in several different directions, including the total or partial replacement of coarse or fine aggregates as well as the replacement of powdered glass as a cement substitute. Therefore, comparing the results of research conducted in different centres is difficult, and the results obtained are often contradictory depending on several different factors. Recycled glass concrete (RGC) is a type of concrete that contains glass waste as aggregate to replace recycled aggregate. Such concretes are most often characterised by low strength owing to problems such as large cracks in the transition zone, high porosity, and the presence of numerous Ca(OH)2 crystals [6,7]. At the same time, recycled glass has a low water absorption rate, which causes the cementitious materials in RGC to exhibit different hydration characteristics compared to ordinary concrete [8,9].
It may be interesting to further investigate the findings of previous studies that seem to indicate that the properties of concrete may be improved by replacing waste glass (WG) with cement or aggregate. The optimal replacement level was 20% [10,11,12,13,14]. Furthermore, it was observed that the resistance to chloride ion penetration and strength properties of self-compacting concrete were enhanced with a substitution of 20–30% [15,16,17,18]. Similar trends concerning the increase in compressive strength and durability were observed when fine aggregates were replaced with powdered waste glass [19]. To reduce the reaction of alkaline silica due to the high silica content of the glass and to obtain good strength and durability, WG with different particle sizes at different substitution levels might be replaced as aggregates. It has been observed that the use of ground waste glass as a pozzolan in concrete has the potential to achieve greater strength. In another study, it was reported that replacing coarse aggregates with recycled glass did not appear to have a negative impact on compressive strength. Similarly, finely ground glass has been used as a substitute for cement, with promising results in terms of improving compressive strength and reducing expansion. Researchers have suggested that combining WG with slag may offer an even more promising approach, as evidenced by the observed increase in compressive strength. This analysis suggests that previous studies could have benefited from a more integrated approach that combined waste glass with other by-products. This could be a valuable avenue for further exploration, particularly in the context of environmental and climate protection. Furthermore, many scientific articles have focused on basic and repeated experiments, such as compression and bending tests, with various other aspects sometimes omitted. One way to reduce the load on the mortar is to reduce the consumption of the binder—cement. This can be achieved by partially replacing it with another binding additive or by replacing the standard aggregate with a recycled aggregate. Over the last few decades, there has been a welcome expansion in the range of innovative mineral additives used, which now include new types of waste and raw materials. There has been growing interest in the potential of reusing by-products from various industries in concrete and mortar technology. It is becoming increasingly important to use traditional raw materials such as waste materials as substitutes to reduce the use of natural resources and production costs.
The aims of this experimental and innovative research are as follows:
- assessment of the possibility of using glass waste as a valuable additive in cement mortar technology and thus examining their impact on selected properties of mature mortar, including determining at what percentage of this additive the mortar will achieve the most beneficial properties,
- assessment of the effect of the addition of glass waste on the microstructures of cement mortar,
- determination of the parameters of air trapped in the microstructure of the mortar and its possible impact on the durability of mortar in the freezing/thawing environment.
2. Materials and Methods
2.1. Cement Mortar
The procedures included in the applicable EU regulations and standards were used to perform experimental studies.
To determine the effect of the glass waste additive on flexural and wall strengths, two types of samples were prepared.
- MC0—without additive—standard mortar,
- MC (10, 20, 30)—with the addition of glass waste in the amount of 10, 20, 30% of the aggregate weight. Table 1 presents compositions of individual cementitious mortars.
Table 1. Compositions of individual cementitious mortars.
2.2. Cement and Sand
Samples for experimental tests were made on the basis of fine aggregate (CEN sand) with a grain size of 0–2 mm (Kwarcmix, Tomaszów Mazowiecki, Poland), drinking water—tap water in accordance with EN 1008:2004 and CEM I 42.5 R cement (Cement Ożarów S.A., Ożarów, Poland) in accordance with PN-EN 197-1:2012 [20]. This cement is characterised by high early strength. The declared performance of Portland cement, with grade 42.5 and high early strength (R), is presented in Table 2 and Table 3. These are the average values guaranteed by the manufacturer in 2024. Glass waste from the 0 to 2 mm fraction was used.
Table 2.
Physical properties and phase composition of CEM I 42.5 R cement (data from the manufacturer) [21].
Table 3.
Chemical properties of CEM I 42.5R cement (data from manufacturer) [21].
CEN standard powder was certified in accordance with PN EN 196-1:2016-07 [22]. Natural quartz sand was extracted from the “Biała Góra” sand deposits near Tomaszów Mazowiecki. The grains were rounded, and the mass content of silicon dioxide (SiO2) was 98%. The size distribution of the standard sand was determined by sieve analysis of a sample weighing 1350 ± g (Table 4).
Table 4.
Grain size distribution of CEN standard sand [23].
2.3. Glass Properties
The glass comes in different colours and types with different properties. Green glass was used in this study of 0 ÷ 2 mm. The properties of these glasses are listed in Table 5. Figure 1 shows the cullets used in this study.
Table 5.
Glass properties [24].
Figure 1.
Cullet.
2.4. Methodology of Testing
The volume density of fine aggregate was determined by the pycnometric method in accordance with PN-EN 1097-6:2002 [25]. The density of sand was 2.60 g/cm3.
The consistency of cement mortars was tested using the slump cone method according to PN-EN 1015-3:2000.
Air content according to PN-EN 1015-7:2000, volume density of fresh mortar according to PN-EN 1015-6:2000, and density of hardened mortar according to PN-EN 1015-10:2021 [26,27,28,29]. The determination of consistency involved the determination of the flow of the mortar sample on a shaking table. To assess the impact of glass waste on the properties of cementitious mortars made with their participation, the bending and compressive strengths were evaluated. The test was performed in accordance with the PN-EN 196-1:2016-07 standard for two maturation periods on samples with dimensions of 40 × 40 × 160 mm [22]. Halves of the trabeculae formed after the test were used for the compressive strength test. A Controls Advantest 9 hydraulic press (Controls, Warsaw, Poland) was used in this study. The water absorption of the mortars was determined in accordance with PN 85/B-04500 [30].
The frost resistance test was carried out after 28 days of concrete maturation for 25 freeze-thaw cycles (±20 °C). Three criteria were adopted to assess the degree of frost resistance, the fulfilment of which determines the degree of frost resistance achieved.
- –
- No cracking on the specimens after all freeze-thaw cycles
- –
- Not exceeding the value of a 5% difference in the weight of samples soaked in water before and after the frost resistance test,
- –
- A decrease in compressive strength of not more than 20% between the control and frozen samples percentage.
Microstructural Analyses
The objective of this microstructural research is to gain insight into the changes that occur in mortars containing glass waste. Three types of cement mortars containing various amounts of glass waste (MC10, MC20, and MC30) and mortar without any additives (MC) were prepared for examination under a scanning electron microscope (SEM). Thin slices of approximately 5 mm thickness were cut from each type of mortar at a right angle to the surface of the trowelling. Subsequently, they were dried and immersed in a resin under vacuum. Once the resin samples had been set up, they were carefully ground and polished. For further details on sample preparation, please refer to our previous study [30,31].
Microstructural observations of the mortar samples were conducted by scanning electron microscopy (SEM; Sigma 500 VP, ZEISS, Oberkochen, Germany). We kindly request your attention to the secondary electron (SE) and backscattered electron (BSE) images, which we have collected. We are grateful for the opportunity to collect microarea and map data using the Energy-dispersive X-ray spectroscopy (EDX) detector model Ultim Max 40 produced by University of Oxford in Oxford, England. Air void characteristics: Samples of the mortar bars (40 mm × 40 mm × 160 mm) were cut perpendicular to the troweling surface. The surfaces were polished and contrasted for testing. Air void characteristic tests were conducted according to EN 480-11:2005 Admixtures for concrete, mortar, and grout—Test methods—Part 11: Determination of air void characteristics in hardened concrete, using the automatic air void analyser model RapidAir 457 produced by Isel-Germany, Eichenzell, Germany. For each type of mortar, two samples were analysed, and the average values were calculated. The experimental tests were conducted in the Construction Laboratory at the Faculty of Civil Engineering and Civil Engineering at the Laboratory of Physical Processes at the Water Centre of the Warsaw University of Life Sciences and in the Concrete Laboratory at the Building Research Institute in Warsaw.
3. Test Results of Fresh and Mature Cement Mortar and Their Analysis
3.1. Results of Fresh Cement Mortar
Figure 2 shows the course of the individual tests on the cement mortars, and Table 6 lists the results obtained.
Figure 2.
Cementitious mortar testing: (a) consistency, (b) air content, and (c) density.
Table 6.
Results of tests on cement mortar.
Based on the results of the tests conducted on fresh mortar, it was found that glass waste affects parameters such as consistency, air content, and density. The MC standard mortar obtained the largest flow diameter of 12.7 cm, while the smallest was 10.2 cm of MC30 mortar. The results for the MC10 and MC20 mortars were 12.6 cm and 11.0 cm, respectively. The higher the waste content, the more compact the mortar, and the smaller the flow diameter. The highest air content was recorded for mortar MC30 and the lowest for the MC-base mortar. The highest density of 2.06 g/cm3 was obtained by MC20 mortar and the lowest density of 1.64 g/cm3 by standard mortar. The volume densities of the MC10, MC20, and MC30 samples increased by 25.2, 25.8%, and 24.8%, respectively, compared with those of the MC mortar without the additive.
As a result, the mortar with 20% glass waste reached the highest density, as this proportion of additive was optimal in terms of both the physical properties of the materials.
3.2. Results of Mature Cement Mortar
The highest weight absorbability of 10.18% was achieved with the MC10 mortar and the lowest was 8.71% with the standard mortar. The lowest score (9.58%) among the mortars containing glass waste is observed for the MC30 mortar. The research showed that with an increase in the glass waste content, the weight absorbability decreased but was still higher than that of the standard mortar by 16.8, 10.7%, and 9.9%, respectively (Figure 3).
Figure 3.
Absorbability of cement mortar.
The standard [29,30] does not specify a limit value for absorbability based on which the suitability of samples for use could be assessed. However, the PN-90/B-14501 [31,32] standard offers guidance on the classification of mortar, suggesting that the water absorption in relation to mass should not exceed 10% for the highest possible brand (M20). It is advisable to avoid exceeding this value because this may result in mortars being assigned to a lower brand, which could in turn affect their suitability for use. Note that an excessively high value can potentially lead to a reduction in the durability of the structure. For instance, water penetration can potentially lead to the degradation of the material structure and corrosion of metal elements, as well as insulation issues. Additionally, lower insulation efficiency or dimensional changes could result in swelling and shrinkage, which could, in turn, cause cracks and deformation of the structure. After analysing the results presented in the figure, it found that all mortar samples, except for those in which the aggregate was replaced by 10% cullet, are characterised by absorbability below the limit value and thus qualify as the highest-brand mortars and can be successfully used in construction in places where the mortar is exposed to direct or indirect water. Standard mortar is the most advantageous in this respect; therefore, it should be used first, and only mortars with cullets are used in the composition. Owing to an average water absorption of 10.18%, the mortars from the MC10 grout were assigned to the M7 brand. Figure 4 shows the results of flexural strength and frost resistance tests.
Figure 4.
Testing of cement mortar: (a) bending strength and (b) frost resistance.
The bending strength was determined after 28 and 56 d of maturation on beams with dimensions of 40 mm × 40 mm × 160 mm, subjected to a bending moment in the three-point bending scheme. During the test, the specimens were positioned such that their concrete surfaces were perpendicular to the direction of load application. The results are the arithmetic means obtained from the three measurements, and are presented in Figure 5. Halves of the trabeculae obtained after the test were used to determine average compressive strength. The results are shown in Figure 5.
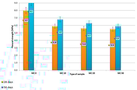
Figure 5.
Flexural strength after 28 and 56 days of maturation.
Based on the conducted tests and the results obtained, it was found that after 28 d of cement mortar maturation, the highest flexural strength of 8.0 MPa was achieved by the samples of standard mortar and the lowest (5.5 MPa) of mortar samples in which 30% of the aggregate was replaced with glass waste (MC30). The mortars with the lowest waste content (MC10) achieved a flexural strength that was 26% lower than the average value of the standard mortar, whereas the MC20 mortars showed a decrease in strength by 30%. Considering the flexural strength after five days of maturation, it was observed that the highest bending strength of 9.1MPa was obtained again by the standard mortar, the smallest by MC30 mortar, and the smallest by 59MPa. The cement composite with the least amount of waste (MC10) achieved a 25% lower strength than the standard mortar, whereas the MC20 mortar samples achieved a 30% lower bending strength. Based on the research conducted, it was found that glass waste reduces the bending strength.
According to the criterion contained in the standard [32], the results of the flexural strength obtained allowed each tested trabeculum to be classified (except for specimen 4 of Z10 and 2 of Z30) as class M20, as they exceeded the minimum value of 5 MPa. It is assumed that the decrease in the strength of the bars with a modified composition in relation to the standard mortar may result from the fact that the cement adheres worse to the glass aggregate than to the standard aggregate. This was related to the characteristics of the material. Glass waste, despite its sharp, variously shaped edges, is not as rough as sand grains, which means that in the slurry-aggregate zone, there is worse adhesion of the hydraulic binder to its grains, which translates into a reduced bending strength. In addition, the presence of glass powder in the composition with a fraction not exceeding 0.063 mm, formed during the material processing process, could have contributed to the obtained results.
By analysing the compressive strength during the two maturation periods, it was observed that this parameter decreased with an increase in the glass waste content (Figure 6). The highest strength (49.4 MPa after 28 d of maturation was obtained by the standard mortar, and the lowest strength (36.8 MPa by MC30. The mortar samples with the lowest amount of glass waste (MC10) achieved a strength 18% lower than that of the standard mortar, whereas the MC20 mortar samples showed a decrease in strength by 24%. Considering the compressive strength after 56 d of maturation, the highest compressive strength of 52.1 MPa was obtained, as in the first period of maturation, by the standard mortar. The lowest compressive strength (37.6 MPa was achieved using the MC30 mortar. Compared to the MC mortar, the strength loss was 28%. The best results among composites with the addition of glass waste were recorded for MC10 mortars. This series exhibited a 20% decrease in strength compared with the standard mortar. Research has shown that glass waste has a negative effect on the compressive strength of mortars prepared with its participation.
Figure 6.
Compressive strength of cement mortar.
Table 7 shows the compressive strength results of the standard mortar samples and the samples after 25 freeze cycles.
Table 7.
Average decrease in strength and mass loss of samples subjected to freezing.
After removing the bars from the frost resistance test chamber, a significant number of pores and mass losses were observed on the surfaces of cement mortars that were not subjected to this process. In addition, it was found that none of the samples was completely destroyed during the cyclic freezing and thawing processes (Figure 7).
Figure 7.
Appearance of samples (a) ripened in water and (b) after frost resistance test.
Considering the comparative samples, the reference samples exhibited the highest compressive strength. The average compressive strength was found to be 49.44 MPa, with the lowest strength of 36.78 MPa observed in the MC30 samples. Upon analysis of the compressive strength of the samples after 25 freezing cycles, it was observed that the best parameters were obtained for samples with a 10% content of 10% glass waste content. On average, the strength was found to be 37.85 MPa. It appears that cement mortar MC30, with a compressive strength of 32.95 MPa, may have exhibited the lowest compressive strength after 25 freeze cycles. Notably, the average decrease in strength of the samples produced with the addition of glass waste subjected to freezing did not exceed 20% in any case. Notably, the standard mortar sample exhibited the greatest decrease in strength, reaching 32.69%. Notably, the average weight loss after freezing cycles was insignificant, ranging from 0.53% for the MC30 sample to 2.44% for the MC10 sample.
3.3. Microstructural Analyses
Figure 8 shows the cut sections of the examined mortar samples after the initial grinding stage.
Figure 8.
Samples of mortar after the preliminary grinding stage.
Before SEM examination, the prepared samples were analysed using optical microscopy. Examples of the collected images are shown in Figure 9.
Figure 9.
The mortar samples were investigated using optical microscopy (the green grains were crushed glass).
Microstructures of the cut sections of the mortars analysed using optical microscopy differed from each other. The reference sample MC 0, without glass particles, was dense and sealed with fewer air voids than the other samples. Green glass particles were observed in the microstructure of mortar with glass waste. These particles had sharp edges and their shapes were mostly elongated. The addition of glass waste caused an observable increase in air content. Under some flat grains, a concentration of air voids was observed, which might weaken the transition zone. Examples of mortar samples for testing air void properties present Figure 10.
Figure 10.
Mortar samples were prepared for the air void characteristics test.
3.3.1. Scanning Electron Microscopy
The objective of the microstructural analysis was to gain insight into the effect of the incorporation of crushed waste glass on the microstructure of the cement mortar. The analysis was centred on the transition zone between the glass aggregate and the cement matrix. It is possible that microscopic examinations may also help shed light on why the addition of crushed glass appears to enhance the durability of mortar in a freeze/thaw environment. Figure 11 shows an illustrative example of the microstructure map of an MC 30 mortar sample.
Figure 11.
Example of microstructure map of MC 30 mortar sample.
By analysing the microstructure of mortars containing crushed glass aggregate, it was observed that the cement matrix was quite sealed on its own, and the glass particles were well bonded to the cement matrix. The transition zone between the glass particles and the cement matrix was sealed, and the C-S-H phase in most of the observed areas was compacted without excessive porosity. However, particles of crushed glass appear to stabilise the air in the mortar or might trap the air in the matrix during the mixing process. This might have been caused by the elongated shape of the glass particles. Figure 12 present examples of the microstructures of the examined mortars.
Figure 12.
Examples of microstructures of examined mortars (red arrows indicate air voids).
3.3.2. Air Void Characteristics
The aim of the air void characteristics test was to determine the parameters of air trapped in the microstructure of the mortar and its possible influence on the durability of mortar in a freeze/thaw environment. Figure 13 presents the surfaces of the samples prepared for the test of air void characteristics, and Table 8 presents the results of the air void characteristics tests.
Figure 13.
Samples of mortar prepared for air void characteristics test.
Table 8.
Results of the air void characteristics test.
On analysis of the results of the air void characteristics test, it appears that there are some differences between the tested mortar samples. It appears that the addition of crushed waste glass to the mortar resulted in an increase in the total air content, which is consistent with the SEM observations. It appears that the distance between the air voids decreases as the glass aggregate content increases. This is likely due to the higher air content. It appears that the MC10 sample has the lowest micro-air content of all samples, including the MC0 sample. It is suggested that the micro-air content (volume of pores with a diameter of less than 300 μm) could be an indicator of the frost resistance of cement composites. The MC10 sample demonstrated the highest frost resistance (the lowest decrease in compressive strength), which appears to be at odds with the results of the air-void test. The shape and distribution of air voids in the MC10 sample may be particularly effective in increasing the durability of mortar exposed to freeze-thaw aggression. It appears that MC20 and MC30 have a higher air content, micro-air content, and air voids that are closer together, which should further increase the frost resistance of the mortar. It seems that an increase in the air content in the cement matrix may result in a corresponding decrease in the compressive strength. Furthermore, an increase beyond the optimal value may also lead to a reduction in frost resistance. In this particular case, it would appear that a mortar containing 10% crushed waste glass may offer the best balance between durability and freeze-thaw resistance when compared to the other mortars that have been tested.
4. Discussion
The use of glass waste in cement mortars provides ecological benefits while contributing to the sustainable development of construction. It should be emphasized that in order to fully use this potential, it is necessary to develop technologies that will improve the mechanical properties of such mortars. Figure 3 shows the water adsorption behaviour of cement mortars with different glass waste ratios. The MC10% sample had the highest absorption rate, which was approximately 10.0%, but the conventional MC0 sample had the lowest uptake rate of approximately 8.7%. In addition, an increase in the percentage of glass waste from 10% to 30% decreased water absorption. On the one hand, MC30% absorbed a bit more than MC0 and less than MC10 and MC20. This trend shows that adding glass waste initially increases water absorbency until it attains a constant dry state with an increase in percentage [33]. The high water absorption content observed in the case of MC10% was due to the presence of glass particles, which caused additional voids inside the mortar, leading to higher porosity properties. This finding is in agreement with several studies suggesting that at the microscopic level, the inclusion of glass waste may alter the permeability of cementitious structures and modify their resistance to damage under certain conditions [34].
It is evident that the flexural strength of cement mortars containing different proportions of glass waste drops significantly compared to that of a standard mortar (MC0). From Figure 5 data, the MC0 sample showed flexural strengths of 8.0 MPa and 9.1 MPa after 28 days and 56 days respectively having the highest for all samples. On the other hand, the flexural strength decreased with an increase in the glass waste content among all samples. The compressive strength of MC10% was measured at 5.9 MPa and 6.8 MPa after 28 and 56 days, respectively, whereas MC20% and MC30% were lower than this value, respectively. The decline in flexural strength that occurs as quantities of glass waste increase can be attributed to the decreased efficiency between bonding glass particles and cement matrices. Unlike conventional aggregates, well-polished surfaces of glass particles can have lower adhesion, leading to a reduction in the mechanical characteristics. This finding is consistent with those of previous studies that have indicated such trends. According to [35], the addition of waste glass to cement mortars can lead to significant reductions in both compressive and flexural strengths owing to the weaker interfacial transition zones and higher porosities that exist in such systems. In the same way, Figure 6 represents the compressive strength results of cement mortars with different proportions of glass waste. In 28 days, conventional mortar (MC0) had a compressive strength of 49.4 MPa which increased to 52.1 MPa after 56 days. There is an observed reduction in the compressive strength as a result of glass waste inclusion; for example, MC10% had a compressive strength of 40.1 MPa at 28 days and 41.7 MPa at day 56 whereas MC20% displayed strengths of 37.1 MPa and 38.8 MPa respectively. Similarly, MC30% experienced the lowest levels of strength whereby it measured at 36.8MPa after 28 days and 37.6 MPa after 56 days. Analysis of the microstructure of cement mortars with different glass waste proportions (0%, 10%, 20%, and 30%) reveals clear changes directly connected to the mechanical properties as shown in Figure 12 Strong interfacial bonding and low porosity are indicated by the thick and compact microstructure with few air gaps of the conventional mortar (Figure 11 MC0). Conversely, having an amount of glass waste results in a change in the dimensions and volume of empty spaces in the material, particularly in the samples including 20% and 30% glass waste (Figure 10 and Figure 11). High-er porosity and a lower mechanical strength follow from this. Whereas the samples with 20% and 30% MC show more noticeable voids, the sample with 10% MC shows a minor increase in voids (Figure 10 and Figure 11) [36].
The discussion clearly shows that research on the use of recycled glass in mortars should be continued. The authors therefore anticipate that this research will be carried out in the following areas:
- Analysis of resistance to aggressive chemical environments, such as acids, bases, salts, which may occur in some conditions of use.
- Influence of different glass fractions: Study of the influence of different sizes and shapes of glass waste on the mechanical and physical properties of mortar.
- Microstructural analysis: Use of microscopic techniques (e.g., scanning electron microscopy—SEM) to study the microstructure of mortar, including the interaction between glass waste and the cement matrix. And conducting a life cycle assessment (LCA) of mortar with glass waste compared to traditional mortars, in order to estimate the impact on the natural environment.
Continuing research in these directions will allow for a comprehensive assessment of the possibilities of using glass waste in construction and will help to optimize their use in various technical and environmental conditions.
5. Conclusions
The main objective of the research was to determine the impact of glass waste as an additive to cement mortars. This method of procedure allows for their “utilization” and, consequently, the possibility of management in accordance with the basic principle of the closed-loop economy. Several tests were carried out on the consistency of the mixture and the hardened cement mortar. Based on the research, the following conclusions can therefore be drawn.
1. That the increase in the conversion of aggregate into cullet translates into a smaller mass loss of mortars, which results in a similar weight of cuboidal beams before and after the test. It is assumed that the final results could have been influenced by the characteristics of the mortar components—cement and glass. The latter has a lower coefficient of thermal expansion and thus is able to better adapt to the changes in ambient temperature, thus avoiding too large volumetric fluctuations in relation to changes taking place outside.
2. The standard [23] does not provide a uniform limit of frost resistance in terms of the percentage of mass loss for cement mortar. Each mortar class has a different limit value, ranging from 10% for class M1 to 1% for class M20. It can be seen that MC20 and MC30 mortars have passed the frost resistance test for the M20 brand. This means that to produce mortar of this strength, the cullet could be used and dosed in the right amount. Due to the results obtained exceeding the limit value, the standard mortar was assigned to the M12 brand, while the profit with 10% cullet was assigned to the M7 brand.
3. The addition of crushed waste glass to the mortar leads to an increase in the air content in the mortar. This phenomenon might lead to an increase in frost resistance. However, it also causes a decrease in the compressive strength of the composite. The amount and shape of air voids trapped in the cement matrix have a crucial role in increasing the durability of freeze/thaw aggression. The shape of analysed air voids is so specific that they seem to be contradicted by the results of air void characteristic tests. The optimal value of crushed waste glass in the cement mortar seems to be close to 10% with the highest frost resistance.
4. Analysing the results of tests in this paper it might be concluded that crushed waste glass might be a valuable addition to cement mortar exposed to freeze/thaw aggression. However, the shape of grains of crushed glass particles seems to be crucial to receive proper air void shape, size and distribution which will increase the frost resistance. The influence of the glass crushing process on receiving addition, which increases the frost resistance of mortar will be a scope of further investigations.
Author Contributions
Conceptualisation, G.R. and P.O.; methodology, P.O.; F.C. and G.R.; software, F.C.; validation, G.R. and A.S.; formal analysis, M.Ż. and P.O.; investigation, G.R.; resources, F.C. and E.K.; data curation, G.R.; writing—original draft preparation, G.R.; writing—review and editing, M.Ż., A.S.; visualisation, M.Ż.; supervision, P.O.; project administration, M.Ż.; funding acquisition, G.R. All authors have read and agreed to the published version of the manuscript.
Funding
Narodowa Agencja Wymiany Akademickiej, Grant/Award Number: BPN/ULM/2023/1/00046.
Data Availability Statement
Data are not publicly available. The data may be made available upon request from the corresponding author.
Conflicts of Interest
The authors declare no conflict of interest.
References
- Stefański, B. General construction. In Construction Materials and Products; Arcades: New York, NY, USA, 2005; Volume 1. [Google Scholar]
- Drzymała, T.; Zegardło, B.; Tofilo, P. Properties of Concrete Containing Recycled Glass Aggregates Produced of Exploded Lighting Materials. Materials 2020, 13, 226. [Google Scholar] [CrossRef] [PubMed]
- Al-Kheetan, M.; Byzyka, J.; Ghaffar, S.H. Sustainable valorization of silane-treated waste glass powder in concrete pavement. Sustainability 2021, 13, 4949. [Google Scholar] [CrossRef]
- Du, H.; Tan, K.H. Properties of high volume glass powder concrete. Cem. Concr. Compos. 2017, 75, 22–29. [Google Scholar] [CrossRef]
- Kamali, M.; Ghahremaninezhad, A. Effect of glass powders on the mechanical and durability properties of cementitious materials. Constr. Build Mater. 2017, 98, 407–416. [Google Scholar] [CrossRef]
- Powęzka, A.; Szulej, J.; Ogrodnik, P. Effect of High Temperatures on the Impact Strength of Concrete Based on Recycled Aggregate Made of Heat-Resistant Cullet. Materials 2020, 13, 465. [Google Scholar] [CrossRef]
- Jóźwik, A. Construction Solutions in the Aspect of New Glass Technologies; Polytech: Warsaw, Poland, 2007; Volume 104, pp. 219–222. [Google Scholar]
- Biswal, U.S.; Dinakar, P. Evaluating Corrosion resistance of recycled aggregate concrete integrating ground granulated blast furnace slag. Constr. Build. Mater. 2023, 370, 130676. [Google Scholar] [CrossRef]
- Weerdt, K.D.; Kjellsen, K.O.; Sellevold, E.; Justnes, H. Synergy between fly ash and limestone powder in ternary cements. Cem. Concr. Compos. 2011, 33, 30–38. [Google Scholar] [CrossRef]
- Ying, X.; Zhao, X.; Cui, H.; Zhao, J. Recycled glass concrete with cementitious materials: Study of mechanical prediction model and dry shrinkage mechanism. Constr. Build. Mater. 2024, 438, 137159. [Google Scholar] [CrossRef]
- Hafez, H.; Kurda, R.; Kurda, R.; Al-Hadad, B.; Mustafa, R.; Ali, B. A critical review on the influence of finerecycled aggregates on technical performance, environmental impact and cost of concrete. Appl. Sci. 2020, 10, 1018. [Google Scholar] [CrossRef]
- Shayan, A.; Xu, A. Value-added utilisation of waste glass in concreto. Cem. Concr. Res. 2004, 34, 81–89. [Google Scholar] [CrossRef]
- Lai, M.H.; Lu, Z.Y.; Luo, Y.T.; Ren, F.M.; Cui, J.; Wu, Z.R.; Ho, J.C.M. Pre- and post-fire behaviour of glass concrete from wet packing density perspective. J. Build. Eng. 2024, 86, 108758. [Google Scholar] [CrossRef]
- Siddiquem, R. Utilization of Industrial By-products in Concrete. Procedia Eng. 2014, 95, 335–347. [Google Scholar] [CrossRef]
- Sobolev, K.; Türker, P.; Soboleva, S.; Iscioglu, G. Utilization of waste glass in ECO-cement: Strength properties and microstructural observations. Waste Manag. 2007, 27, 971–976. [Google Scholar] [CrossRef] [PubMed]
- Afshinnia, K.; Rangaraju, P.R. Impact of combined use of ground glass powder and crushed glass aggregateon selected properties of Portland cement concrete. Constr. Build. Mater. 2016, 117, 263–272. [Google Scholar] [CrossRef]
- Shi, C.; Zheng, K. A review on the use of waste glasses in the production of cement and concrete. Resour. Conserv. Recycl. 2007, 52, 234–247. [Google Scholar] [CrossRef]
- Zeybek, Ö.; Özkılıç, Y.O.; Karalar, M.; Çelik, A.İ.; Qaidi, S.; Ahmad, J.; Burduhos-Nergis, D.P. Influence of replacingcement with waste glass on mechanical properties of concrete. Materials 2022, 15, 7513. [Google Scholar] [CrossRef]
- Saribiyik, M.; Piskin, A.; Saribiyik, A. The effects of waste glass powder usage on polymer concrete properties. Constr. Build. Mater. 2013, 47, 840–844. [Google Scholar] [CrossRef]
- EN 197-1:2012; Cement—Part 1: Composition, Requirements and Compliance Criteria for Common Cements. Malawi Bureau of Standards: Blantyre, Malawi, 2012.
- Data from the Cement Manufacturer. 2024. Available online: https://kwarcmix.pl/ (accessed on 12 March 2024).
- EN 196-1:2016-07; Cement Test Methods—Part 1: Determination of Strength. iTeh Standard: Toronto, ON, Canada, 2016.
- Data from the Manufacturer of Standard Sand–CEN 24. 2023. Available online: https://rominex.com/ (accessed on 20 February 2023).
- Data from the Green Glass Manufacturer. Cement Ożarów. 2023. Available online: https://ozarow.com.pl (accessed on 20 February 2023).
- EN 1097-6:2022-02; Tests of Mechanical and Physical Properties of Aggregates—Part 6: Determination of Grain Density and Water Absorption. iTeh Standard: Toronto, ON, Canada, 2022.
- EN 1015-3:2000; Test Methods for Mortars for Walls—Part 3: Determination of the Consistency of Fresh Mortar (Using a Flow Table). iTeh Standard: Toronto, ON, Canada, 2000.
- EN 1015-7:2000; Test Methods for Mortars for Walls—Part 7: Air Content According. iTeh Standard: Toronto, ON, Canada, 2000.
- EN 1015-6:2000; Test methods for Mortars for Walls—Part 6: Determination of the Bulk Density of Fresh Mortar. iTeh Standard: Toronto, ON, Canada, 2000.
- EN 1015-10:2001; Test methods for Mortars for Walls—Part 10: Determination of the Density of Dried Hardened Mortar. iTeh Standard: Toronto, ON, Canada, 2001.
- PN 85/B-04500; Building Mortars—Testing of Physical and Strength Properties. Polish Committee for Standardization: Warsaw, Poland, 2013.
- Chyliński, F.; Michalik, A.; Kozicki, M. Effectiveness of curing compounds for concrete. Materials 2022, 15, 2699. [Google Scholar] [CrossRef]
- PN-90/B-14501; Ordinary Building Mortars. Polish Committee for Standardization: Warsaw, Poland, 1990.
- Liu, G.; Florea, M.V.A.; Brouwers, H.J.H. Performance evaluation of sustainable high strength mortars incorporating high volume waste glass as binder. Constr. Build. Mater. 2019, 202, 574–588. [Google Scholar] [CrossRef]
- Chen, W.; Dong, S.; Liu, Y.; Liang, Y.; Skoczylas, F. Effect of Waste Glass as Fine Aggregate on Properties of Mortar. Materials 2022, 15, 8499. [Google Scholar] [CrossRef]
- Zhao, Y.; Gao, J.; Wu, S.; Li, Q. Strength development and microcosmic mechanism of waste glass powder cement mortar. J. Exp. Nanosci. 2022, 17, 564–584. [Google Scholar] [CrossRef]
- Ortega, J.M.; Letelier, V.; Miró, M.; Moriconi, G.; Ángel Climent, M.; Sánchez, I. Influence of waste glass powder addition on the pore structure and service properties of cement mortars. Sustainability 2018, 10, 842. [Google Scholar] [CrossRef]
Disclaimer/Publisher’s Note: The statements, opinions and data contained in all publications are solely those of the individual author(s) and contributor(s) and not of MDPI and/or the editor(s). MDPI and/or the editor(s) disclaim responsibility for any injury to people or property resulting from any ideas, methods, instructions or products referred to in the content. |
© 2024 by the authors. Licensee MDPI, Basel, Switzerland. This article is an open access article distributed under the terms and conditions of the Creative Commons Attribution (CC BY) license (https://creativecommons.org/licenses/by/4.0/).












