Study on Axial Fatigue Performance and Life Prediction of High-Strength Bolts at Low Temperatures
Abstract
1. Introduction
2. Materials and Methods
2.1. Specimen Preparation
2.2. Axial Fatigue Test
2.3. Microscopic Analysis
3. Results and Discussion
3.1. Failure Modes
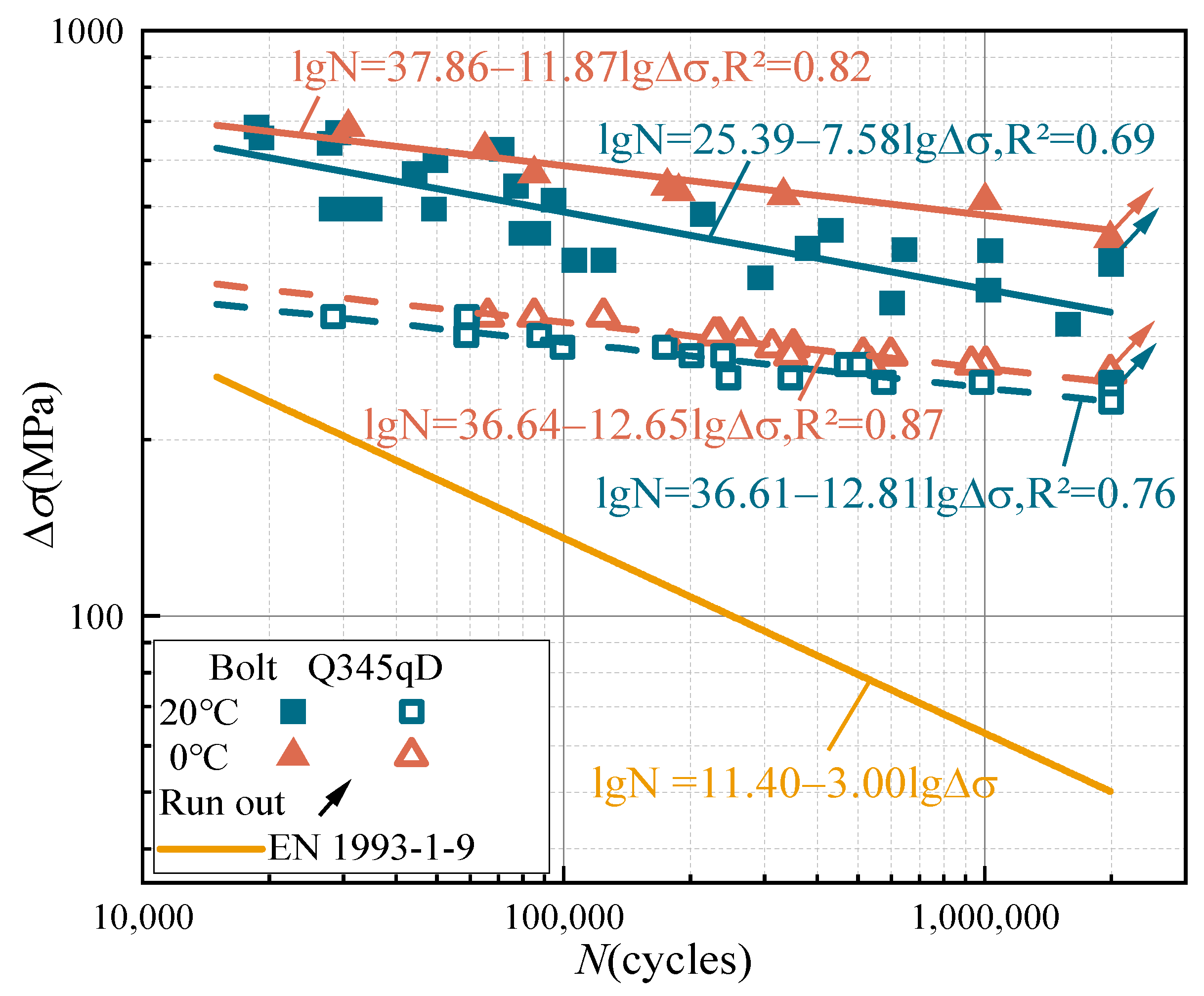
3.2. S-N Curve
3.2.1. S-N Curves for High-Strength Bolts with and without Pretension at Room Temperature
3.2.2. S-N Curves for High-Strength Bolts at 0 °C
3.2.3. Fatigue Limit
3.3. Load–Displacement Curve and Stiffness Degradation
3.4. Fatigue Fractures
4. Fatigue Life Analysis
4.1. Local Stress–Strain Method
4.2. Numerical Model
4.3. Validation of the Fatigue Life Evaluation Method
4.4. Fatigue Life Evaluation at Low Temperatures
5. Conclusions
- S-N curves for bolts with and without pretension at 20 °C were established. It was found that, under the same nominal stress amplitude, the fatigue life and fatigue limit of bolts with pretension were significantly improved due to the pretension. However, the S-N curve for the measured stress of bolts with pretension was similar to that of bolts without pretension, as the pretension reduced the impact of external loads on the actual stress of the bolts. Additionally, existing standards provide conservative yet safe life predictions regardless of the presence of pretension.
- For high-strength bolts with pretension, the S-N curve at 0 °C was gentler, with a significantly higher fatigue life and fatigue limit compared to high-strength bolts at 20 °C. Under different stress amplitudes, the stiffness of high-strength bolts at 0 °C was consistently higher than that at 20 °C. Moreover, pretension significantly enhanced the fatigue life of the bolts, with a 10% increase in fatigue limit at 0 °C compared to 20 °C.
- Fatigue cracks in bolts always initiated at the boundary or defect of the thread root. All bolts exhibited significant stiffness degradation after reaching 0.8 times their fatigue life. The high-strength bolts at 0 °C demonstrated greater stiffness and faster crack propagation rates, with increases of approximately 6% and 8%, respectively.
- The effectiveness of the local stress–strain method in evaluating the fatigue life of bolts without pretension was validated and extended to bolts under low temperatures and pretension conditions. This indicates that the method can be employed for the numerical evaluation of bolt fatigue life. It is recommended that notch sizes of 0.4 mm and 1.1 mm be used for bolts with pretension at 0 °C and 20 °C, respectively.
Author Contributions
Funding
Data Availability Statement
Acknowledgments
Conflicts of Interest
References
- Liao, X.; Wang, Y.; Feng, L.; Shi, Y. Investigation on fatigue crack resistance of Q370qE bridge steel at a low ambient temperature. Constr. Build. Mater. 2020, 236, 117566. [Google Scholar] [CrossRef]
- GB 50017-2017; Standard for Design of Steel Structures. China National Standardization Administration Committee: Beijing, China, 2011. Available online: https://www.chinesestandard.net/PDF.aspx/GB50017-2017 (accessed on 4 March 2017).
- Yang, X.; Lei, H.; Chen, Y.F. Constant amplitude fatigue test research on M20 high-strength bolts in grid structure with bolt–sphere joints. Adv. Struct Eng. 2017, 20, 1466–1475. [Google Scholar] [CrossRef]
- Jiao, J.; Liu, Z.; Guo, Q.; Liu, Y.; Lei, H. Constant-amplitude fatigue behavior of M24 high-strength bolt of end-plate flange connection. Structures 2021, 34, 2041–2053. [Google Scholar] [CrossRef]
- Qiu, B.; Yang, X.; Zhou, Z.; Lei, H. Experimental study on fatigue performance of M30 high-strength bolts in bolted spherical joints of grid structures. Eng. Struct. 2020, 205, 110123. [Google Scholar] [CrossRef]
- Grimsmo, E.L.; Aalberg, A.; Langseth, M.; Clausen, A.H. Failure modes of bolt and nut assemblies under tensile loading. J. Constr. Steel Res. 2016, 126, 15–25. [Google Scholar] [CrossRef]
- Ahn, J.H.; Lee, J.M.; Cheung, J.H.; Kim, I.T. Clamping force loss of high-strength bolts as a result of bolt head corrosion damage: Experimental research A. Eng. Fail. Anal. 2016, 59, 509–525. [Google Scholar] [CrossRef]
- Kim, I.T.; Lee, J.M.; Huh, J.; Ahn, J.H. Tensile behaviors of friction bolt connection with bolt head corrosion damage: Experimental research B. Eng. Fail. Anal. 2016, 59, 526–543. [Google Scholar] [CrossRef]
- Li, M.; Yao, L.; Zhang, S.; Wang, D.; He, Z.; Sun, G. Study on bolt head corrosion influence on the clamping force loss of high strength bolt. Eng. Fail. Anal. 2021, 129, 105660. [Google Scholar] [CrossRef]
- Guo, Q.; Ma, H.; Lu, Y.; Wang, S.; Chen, Q. Experimental study on fatigue performance of corroded high-strength bolts under axial force. J. Constr. Steel Res. 2023, 207, 107952. [Google Scholar] [CrossRef]
- Liu, Y.; Chen, J.; Zhang, X.; Tan, D. Fatigue behaviour of blind bolts under tensile cyclic loads. J. Constr. Steel Res. 2018, 148, 16–27. [Google Scholar] [CrossRef]
- Zampieri, P.; Curtarello, A.; Maiorana, E.; Pellegrino, C. A Review of the Fatigue Strength of Shear Bolted Connections. Int. J. Steel Struct. 2019, 19, 1084–1098. [Google Scholar] [CrossRef]
- Mohammadzadeh, S.; Sharavi, M.; Keshavarzian, H. Reliability analysis of fatigue crack initiation of railhead in bolted rail joint. Eng. Fail. Anal. 2013, 29, 132–148. [Google Scholar] [CrossRef]
- Shakeri, I.; Danielsen, H.K.; Tribhou, A.; Fæster, S.; Mishin, O.V.; Eder, M.A. Effect of manufacturing defects on fatigue life of high strength steel bolts for wind turbines. Eng. Fail. Anal. 2022, 141, 106630. [Google Scholar] [CrossRef]
- Li, Q.; Xu, C.; Luo, Z.; Huang, F.; Zang, X.; Zhang, D. Fatigue performance of Q420C steel fillet-welded joints at low temperatures. Structures 2023, 51, 1341–1353. [Google Scholar] [CrossRef]
- Wang, Y.; Liu, J.; Hu, J.; Garbatov, Y.; Guedes Soares, C. Fatigue strength of EH36 steel welded joints and base material at low-temperature. Int. J. Fatigue 2021, 142, 105896. [Google Scholar] [CrossRef]
- Hu, L.; Li, M.; Yiliyaer, T.; Gao, W.; Wang, H. Strengthening of cracked DH36 steel plates by CFRP sheets under fatigue loading at low temperatures. Ocean Eng. 2022, 243, 110203. [Google Scholar] [CrossRef]
- Jung, D.H.; Kwon, J.K.; Woo, N.S.; Kim, Y.J.; Goto, M.; Kim, S. S–N Fatigue and Fatigue Crack Propagation Behaviors of X80 Steel at Room and Low Temperatures. Metall. Mater. Trans. A 2014, 45, 654–662. [Google Scholar] [CrossRef]
- GB/T 1231-2006; Specifications of High Strength Bolts with Large Hexagon Head, Large Hexagon Nuts, Plain Washers for Steel Structures. China National Standardization Administration Committee: Beijing, China, 2006. Available online: https://www.chinesestandard.net/PDF/English.aspx/GBT1231-2006 (accessed on 14 August 2006).
- ISO 68-1:2023; ISO General Purpose Screw Threads-Basic and Design Profiles Part 1: Metric Screw Threads. Steels for Cold Heading and Cold Extruding. ISO: Geneva, Switzerland, 2023. Available online: https://www.iso.org/standard/85107.html (accessed on 15 August 2023).
- ISO 6892-1:2019; Metallic Materials-Tensile Testing Part 1: Method of Test at Room Temperature. ISO: Geneva, Switzerland, 2019. Available online: https://www.iso.org/obp/ui/#iso:std:iso:6892:-1:ed-3:v1:en (accessed on 13 March 2019).
- GB/T 3632-2008; Sets of Torshear Type High Strength Bolt Hexagon Nut and Plain Washer for Steel Structures. China National Standardization Administration Committee: Beijing, China, 2008. Available online: https://www.chinesestandard.net/PDF/English.aspx/GBT3632-2008 (accessed on 20 March 2008).
- ISO 898-1:2013; Mechanical Properties of Fasteners Made of Carbon Steel and Alloy Steel—Part 1: Bolts, Screws and Studs with Specified Property Classes—Coarse thread and Fine Pitch Thread. ISO: Geneva, Switzerland, 2013. Available online: https://www.iso.org/obp/ui/#iso:std:iso:898:-1:ed-5:v1:en (accessed on 22 March 2013).
- EN 1993-1-9:2005; Eurocode 3: Design of Steel Structures Part 1.9 Fatigue. National Standards Authority of Ireland: Dublin, Ireland, 2005. Available online: https://www.saiglobal.com/pdftemp/previews/osh/is/en/2005/i.s.en1993-1-9-2005.pdf (accessed on 30 March 2005).
- ANSI/AISC 360-16; Specification for Structural Steel Buildings. American Institute of Steel Construction: Chicago, IL, USA, 2016. Available online: https://www.aisc.org/globalassets/aisc/publications/standards/a360-16-spec-and-commentary.pdf (accessed on 5 April 2016).
- Liao, X.W. Investigation on Fatigue Performance of Bridge Steels and Welded Details at a Low Ambient Temperature. Ph.D. Thesis, Tsinghua University, Beijing, China, 2020. [Google Scholar] [CrossRef]
- Reed, R.P.; Clark, A.F. Materials at Low Temperatures; American Society for Metals: Novelty, OH, USA, 1983. [Google Scholar]
- Jiao, J.; Fan, L.; Liu, Y.; Lei, H.; Guo, Q. Investigating fatigue mechanisms and crack growth in 20MNTIB steel high strength bolts: An experimental and simulation study. Adv. Steel Constr. 2023, 19, 329–340. [Google Scholar] [CrossRef]
- Guo, Q.; Xing, Y.; Lei, H.G.; Jiao, J.F.; Chen, Q.W. Fatigue performance and life prediction methods research on steel tube-welded hollow spherical joint. Steel Compos. Struct. 2020, 36, 75–86. [Google Scholar] [CrossRef]
- Han, Q.; Guo, Q.; Yin, Y.; Xing, Y. Fatigue performance of butt welds between cast steel joint and steel tubular members. Fatigue Fract. Eng. Mater. Struct. 2017, 40, 642–651. [Google Scholar] [CrossRef]
- Wen, B.C. Mechanical Design Handbook: Fatigue Strength and Reliability Design; China Machine Press: Beijing, China, 2014. [Google Scholar]


























| No. | (MPa) | δ | ||
|---|---|---|---|---|
| M20-a | 1016.4 | 1090.4 | 209.6 | 10.0 |
| M20-b | 1028.1 | 1094.3 | 205.7 | 10.3 |
| M20-c | 1022.6 | 1106.7 | 210.6 | 12.2 |
| Average | 1022.4 | 1097.1 | 208.6 | 10.8 |
| ISO 898.1-2009 | ≥900 | ≥1000 | - | ≥9 |
| C | Si | Mn | P | S | Ti | B | |
|---|---|---|---|---|---|---|---|
| ISO 898.1-2009 [23] | 0.18–0.23 | 0.10–0.30 | 1.30–1.60 | ≤0.025 | ≤0.025 | 0.04–0.10 | 0.008–0.0035 |
| Tested values (%) | 0.22 | 0.27 | 1.46 | 0.011 | 0.005 | 0.075 | 0.0025 |
| No. | Fm * (kN) | Average (kN) | Standard (kN) | Rm * (MPa) | Average (MPa) | Standard (MPa) |
|---|---|---|---|---|---|---|
| i | 594.43 | 578.22 | GB/T 3632-2008 [22] ≥304 | 1213.12 | 1180.04 | ISO 898.1-2009 [23] ≥1000 |
| ii | 575.54 | 1174.57 | ||||
| iii | 564.70 | 1152.44 |
| Series | Specimen No. | Temperature (°C) | Pretension (kN·m) | Δσ (MPa) | Δσmea (MPa) | Nf (Cycles) |
|---|---|---|---|---|---|---|
| Series I | S-20-N-1 | 20 | 0 | 350 | - | 21,068 |
| S-20-N-2 | 350 | 32,280 | ||||
| S-20-N-3 | 280 | 60,624 | ||||
| S-20-N-4 | 280 | 65,227 | ||||
| S-20-N-5 | 210 | 225,973 | ||||
| S-20-N-6 | 210 | 164,380 | ||||
| S-20-N-7 | 140 | 558,406 | ||||
| S-20-N-8 | 140 | 863,280 | ||||
| S-20-N-9 | 110 | 1,673,545 | ||||
| S-20-N-10 | 110 | 1,795,946 | ||||
| Series II | S-20-Y-1 | 20 | 155 | 685 | 380 | 18,661 |
| S-20-Y-2 | 670 | NA | 29,178 | |||
| S-20-Y-3 | 655 | 300 | 19,167 | |||
| S-20-Y-4 | 640 | 265 | 27,839 | |||
| S-20-Y-5 | 625 | 250 | 71,288 | |||
| S-20-Y-6 | 600 | 280 | 49,638 | |||
| S-20-Y-7 | 570 | 310 | 44,350 | |||
| S-20-Y-8 | 540 | 210 | 76,991 | |||
| S-20-Y-9 | 510 | 225 | 94,748 | |||
| S-20-Y-10 | 495 | 240 | 28,103 | |||
| S-20-Y-11 | 495 | NA | 32,223 | |||
| S-20-Y-12 | 495 | 225 | 34,656 | |||
| S-20-Y-13 | 495 | 185 | 49,162 | |||
| S-20-Y-14 | 485 | NA | 213,944 | |||
| S-20-Y-15 | 455 | 140 | 430,736 | |||
| S-20-Y-16 | 450 | 200 | 79,504 | |||
| S-20-Y-17 | 450 | 190 | 87,079 | |||
| S-20-Y-18 | 425 | 170 | 380,166 | |||
| S-20-Y-19 | 420 | 145 | 646,248 | |||
| S-20-Y-20 | 420 | 120 | 1,030,816 | |||
| S-20-Y-21 | 415 | 95 | Run out | |||
| S-20-Y-22 | 405 | 170 | 106,049 | |||
| S-20-Y-23 | 405 | 170 | 124,244 | |||
| S-20-Y-24 | 400 | 115 | Run out | |||
| S-20-Y-25 | 380 | 160 | 293,280 | |||
| S-20-Y-26 | 360 | 80 | 1,021,264 | |||
| S-20-Y-27 | 340 | 95 | 602,672 | |||
| S-20-Y-28 | 315 | 95 | 1,580,019 | |||
| Series III | S-0-Y-1 | 0 | 155 | 685 | - | 30,848 |
| S-0-Y-2 | 625 | 65,218 | ||||
| S-0-Y-3 | 570 | 85,518 | ||||
| S-0-Y-4 | 540 | 176,805 | ||||
| S-0-Y-5 | 530 | 188,282 | ||||
| S-0-Y-6 | 520 | 334,779 | ||||
| S-0-Y-7 | 510 | 1,007,297 | ||||
| S-0-Y-8 | 440 | Run out |
Disclaimer/Publisher’s Note: The statements, opinions and data contained in all publications are solely those of the individual author(s) and contributor(s) and not of MDPI and/or the editor(s). MDPI and/or the editor(s) disclaim responsibility for any injury to people or property resulting from any ideas, methods, instructions or products referred to in the content. |
© 2024 by the authors. Licensee MDPI, Basel, Switzerland. This article is an open access article distributed under the terms and conditions of the Creative Commons Attribution (CC BY) license (https://creativecommons.org/licenses/by/4.0/).
Share and Cite
Zhang, L.; Wang, G.; Ji, X.; Zhang, S.; Lei, H. Study on Axial Fatigue Performance and Life Prediction of High-Strength Bolts at Low Temperatures. Buildings 2024, 14, 2615. https://doi.org/10.3390/buildings14092615
Zhang L, Wang G, Ji X, Zhang S, Lei H. Study on Axial Fatigue Performance and Life Prediction of High-Strength Bolts at Low Temperatures. Buildings. 2024; 14(9):2615. https://doi.org/10.3390/buildings14092615
Chicago/Turabian StyleZhang, Liang, Guoqing Wang, Xuanzhe Ji, Shujia Zhang, and Honggang Lei. 2024. "Study on Axial Fatigue Performance and Life Prediction of High-Strength Bolts at Low Temperatures" Buildings 14, no. 9: 2615. https://doi.org/10.3390/buildings14092615
APA StyleZhang, L., Wang, G., Ji, X., Zhang, S., & Lei, H. (2024). Study on Axial Fatigue Performance and Life Prediction of High-Strength Bolts at Low Temperatures. Buildings, 14(9), 2615. https://doi.org/10.3390/buildings14092615

