Abstract
This study investigates the torsional performance of reinforced concrete beams with transverse circular openings and examines methods to mitigate the detrimental effects of these openings using Ultra-High-Performance Concrete (UHPC) and diagonal reinforcement. The experimental component involved casting and evaluating eight beams with dimensions of 150 × 200 × 1200 mm under pure torsion. Among these, two beams were solid (without openings), one was made from normal-strength concrete (NSC), and the rest were cast with UHPC. The beams with openings were categorized into two groups based on the size of the openings—small and large. Each group comprised three beams: the first was cast from NSC and included diagonal reinforcement, the second from UHPC with diagonal reinforcement, and the third from UHPC but without diagonal reinforcement. Results indicated that all beams with openings cast from UHPC exhibited a substantial increase in ultimate torque compared to the control NSC solid beam. NSC beams with small openings showed a marginal decrease in ultimate load capacity by 1.47%, whereas those with large openings experienced a significant reduction of 17.65%. UHPC effectively compensated for the strength lost due to the absence of diagonal reinforcement in both small and large openings. Initial stiffness in NSC beams decreased by 19.4% and 70.1% for small and large openings, respectively. Conversely, UHPC beams demonstrated improved initial stiffness, with increases of approximately 64% for small and 34% for large openings. This study proposes ultimate torsional equations for UHPC beams with various opening sizes. These equations are validated by comparing them with results from previous experimental research, examining the performance of UHPC beams with and without openings.
1. Introduction
As one of the four main structural actions—including axial loading, bending moment, and shear forces—torsion has been the subject of scientific research studies for a long time. Several theories and analytical models were developed to describe the behavior of reinforced concrete beams under torsion both in the pre- and post-cracking regions. Torsion is still an active research area, even on beams with normal-strength concrete (NSC) and high-strength concrete (HSC). Recently, a new innovative cementitious structural material known as Ultra-High-Performance Concrete (UHPC) has been categorized by great tensile and compressive strengths. This new material provides a compressive strength of 150–200 MPa and tensile strength of 8–15 MPa []. Steel fibers are typically mixed into the UHPC mixture to increase ductility. It can be produced as either fine aggregate concrete with a maximum aggregate size of only 0.5 mm or coarse aggregate concrete with a maximum size of 16 mm []. In addition to its high compressive strength, the UHPC exhibits high resistance against all forms of physical and chemical attacks and thus shows very high durability because of its dense structure. UHPC is a high-tech material that allows the construction of exceptionally light, delicate, and highly corrosion-resistant structures. Raw materials and energy are saved, and longer spans are possible for the lower dead weight of the UHPC [].
UHPC facilitates the construction of architecturally complex shapes, often introducing additional torsional loads to the structural system. Over the past two decades, the unique properties of UHPC have garnered extensive research interest, particularly in its performance under various load actions, including tension, shear, punching shear, bending moments, biaxial loading, biaxial compression, and multiaxial and fatigue loads []. Despite its widespread use, data on UHPC’s performance under torsional loads remain scarce, prompting ongoing research to better understand this material’s behavior under such conditions.
In contemporary building construction, a network of ducts and pipes is essential for supporting vital services such as water, drainage, air conditioning, electrical, telecommunication, and internet systems. Traditionally, these utilities are concealed beneath beam soffits and enclosed by suspended ceilings for aesthetic reasons, creating what is often referred to as a ‘dead zone’. By incorporating transverse holes in the floor beams, these installations create less dead space, thus optimizing the design. While the benefits of such modifications may be minimal for smaller buildings, they can lead to significant reductions in the overall height, partition surfaces, plumbing risers, walls, and lengths of electrical and air-conditioning ducts in multi-storied structures, thereby reducing the load on foundations significantly.
The classification of openings in beams, based on their size as either small or large, plays a crucial role in structural integrity. Openings are deemed small if their diameter or depth is less than 40% of the beam’s total depth. The corners of these openings are areas of high-stress concentration, which can lead to undesirable cracking that affects both aesthetics and durability. Unless adequately reinforced, the structural serviceability and strength of beams with openings may be compromised. It is also necessary to increase the number of stirrups, especially under cyclic shear conditions, to maintain shear resistance. The impact of these openings on the behavior of hollow beams, particularly those made from HSC and UHPC, has not been extensively explored. Consequently, the influence of an opening on the structural integrity of hollow beams is being studied using UHPC and HSC composites, with additional reinforcements positioned above and below the openings to withstand cyclic, flexural, and torsional loading.
2. Background
Due to their superior properties, UHPC and HSC are frequently used in hollowed structural elements. While these materials resist bending moments effectively, they exhibit vulnerabilities under tensional stresses. In real-world applications, torsional forces often affect reinforced concrete beams when external loads act outside the shear center, leading to deflections or distortions along the beam’s length. Historically, torsion was considered a secondary effect and was not explicitly addressed in structural design, often being absorbed into the overall safety factor, making designs costly [].
In 2015, Yoo and Yoon [] conducted a detailed study on the structural performance of UHPC beams integrated with various types of steel fibers. Their research revealed that steel fibers greatly enhance crack resistance, stiffness after cracking, and load-bearing capacity, though at the expense of reduced ductility. Specifically, adding 2% volume of steel fibers can increase load-bearing capacity by 27% to 54% while reducing ductility by 13% to 73%. They also found that using longer, smooth steel fibers or twisted steel fibers can improve the beams’ responsiveness and ductility post-peak, although these modifications do not affect the stiffness and load-bearing capacity after cracking. The specific characteristics of the fibers, including their length and type, play crucial roles in influencing the crack response [].
According to Lopes and Bernardo [], the failure modes of HSC beams under torsion are intricately linked to the level of reinforcement and the strength of the concrete. Their research revealed that beams made of HSC exhibit four distinct failure modes, ranging from brittle fractures due to insufficient reinforcement to fragile fracturing at corners, crisp failures from inadequate concrete strength, and ductile failures with higher reinforcement ratios. As the concrete’s strength increases, failures tend to become more sudden and catastrophic, highlighting the crucial role of concrete strength in determining the failure modes of HSC beams.
In 2013, Bernardo and Lopes [] conducted a study to evaluate the plastic behavior and twisting capacity of hollow HSC beams under single torsion. They found that increasing the compressive strength of the concrete slightly reduced the beams’ capacity for plastic deformation []. In the same year, their research extended to examining failure patterns and cracking behaviors in hollow beams subjected to torsion, comparing HSC with NSC. Their findings indicated that HSC beams were less ductile, with fractures that were more brittle and pronounced compared to those in NSC beams [].
Hii and Al-Mahaidi [] investigated the torsional reinforcement of hollow and solid-reinforced concrete (RC) beams that were externally strengthened with carbon fiber-reinforced polymers. Their research highlighted the significant potential of this enhancement to increase the beams’ ultimate strength and cracking resistance, with increases of up to 78% and 40%, respectively. This finding offers hope for the future of reinforced concrete beams. In a separate study, Hafiz et al. [] explored the effects of circular holes on the performance of reinforced concrete beams without specific reinforcements around the openings. They observed that the ultimate load capacity of beams with circular holes smaller than 44% of the beam’s depth remained largely unchanged. However, openings larger than 44% of the beam’s depth reduced the ultimate load capacity by at least 34.29%. Additionally, they noted that circular openings were structurally more effective than square ones, demonstrating a 9.58% higher ultimate load capacity.
Modern building beams are designed to withstand various loads, including dynamic loads from earthquakes, vehicle vibrations, rotating machinery, and other vibration sources. Understanding the failure mechanisms of beams under dynamic loads, which are more complex than those under static loads, is crucial for assessing their behavior under extreme conditions. Numerical techniques are predominantly employed to solve most structural dynamics analysis challenges [].
In 1996, Inoue and Egawa [] explored the shear and flexural performance of hollow beams under cyclic stress. They discovered that hollow beams exhibit lower deformation and energy dissipation capacities than solid beams and are prone to brittle failure. Additionally, diagonal fractures may develop early, significantly increasing the load on the stirrups. Guleria [] examined the seismic response of both hollow and solid-reinforced concrete beams within framed structures. The study found that hollow beams can help reduce internal pressures without failing, thus enhancing the cost-effectiveness of structural designs. Furthermore, using hollow sections decreases both the overturning moment and concrete consumption.
Alnuaimi et al. [] analyzed 14 reinforced concrete beams, divided equally between hollow and solid constructions, designed to withstand combined torsional, bending, and shear loads. These beams, measuring 30 × 30 cm in cross-section and 380 cm in length, featured an inner hollow core of 20 × 20 cm, resulting in a wall thickness of 5 cm. The research highlighted that the concrete core significantly influences beam strength and must be considered in designs involving mixed loading conditions. It was observed that all hollow beams exhibited failures at lower stress levels than their solid counterparts, with the disparity in failure loads attributed to a lower ratio of torsion to bending. Additionally, the longitudinal steel in these beams experienced lower strain levels compared to the transverse steel.
In 2009, Bernardo and Lopes [] examined the torsional performance of hollow beams made from HSC, focusing on their ductility and strength. They tested sixteen beams with a square cross-section and symmetrically distributed reinforcement. The beams’ compressive strengths ranged from 46.2 to 96.7 MPa, with torsional reinforcement varying from 0.30 to 2.68 percent. The study found that beams with smaller proportions of reinforcement exhibited limited torsional ductility. They also compared various international codes of practice, including ACI, European, New Zealand, Canadian, and Norwegian standards. Their analysis revealed that the ACI Code accurately predicted torsional strength and the necessary torsional reinforcement for acceptable ductility.
Abdul-Hussein [] explored the torsional strength of reinforced concrete beams, analyzing the impact of several factors, including the presence of fibers and holes, as well as the direction and proportion of reinforcement. His study tested fifteen beams with steel fiber concentrations varying from zero to one percent. Utilizing finite element analysis, the results were promising, showing that adding 1% steel fiber enhanced the ultimate torque and significantly reduced cracking. Consistent transverse and longitudinal reinforcement proportions led to increases of 43% in cracking torque and 58% in ultimate torque for both hollow and solid sections. The beams with spiral reinforcement exhibited lower torsional capacity than those with tied reinforcement.
In 2019, Al-Tahan [] explored the torsional performance of reinforced concrete beams with horizontal transverse openings reinforced with fiber wire mesh, examining the effects of different shapes and locations of these openings. The study involved casting and testing nine beams measuring 150 × 150 × 1200 mm. Results indicated that all beams with openings showed reduced ultimate torque compared to the reference beam. However, beams reinforced for strength showed an increase in ultimate torque ranging from 8.85% to 14.8%. Notably, beams with circular and square openings at mid-span demonstrated higher ultimate twisting moments than those with openings positioned a quarter span away, with improvements in ultimate torque ranging from 1.23% to 5.8%. Circular openings at mid and quarter spans exhibited an increase in ultimate torque by about 4.72%, 5.19%, 2.31%, and 8.67% compared to square openings at the same locations.
In 2020, Hassan et al. [] explored the effects of steel fiber-reinforced concrete on the torsional strength of beams, focusing on variations in fiber content and beam cross-sectional sizes. Their work finds that SFRC beams, especially those with higher fiber dosages and larger cross-sectional areas, exhibit significantly improved torsional strength and toughness compared to control beams. The study successfully correlates proposed equations for cracking and ultimate torques with experimental outcomes, underscoring steel fiber-reinforced concrete’s potential to enhance the torsional capacity and ductility of concrete beams in structural applications. Moreover, Hassan et al. [] evaluated the torsional performance of hollow reinforced concrete beams with synthetic and steel fibers, exploring how different fiber types and lengths affect torsional strength under pure torsional loads. Their work finds that both fiber types significantly improve torsional strength, particularly longer synthetic fibers, contributing to higher first crack and ultimate load capacities.
Al-Salim et al. [] analyzed the mechanical behavior of fiber-reinforced concrete beams under combined bending and torsional loads using synthetic and steel fibers in various lengths and configurations. The findings reveal that fiber-reinforced concrete beams, particularly those reinforced with hooked steel fibers, demonstrate higher cracking moments and torsional toughness than those made from normal-strength concrete. The study validates the enhanced mechanical properties of fibers, offers design optimization insights for FRC beams in challenging structural applications, and aligns experimental data with existing predictive models to confirm the critical role of fiber length in determining beam capacity. Jaber et al. [] examined the potential of steel fibers to replace traditional transverse reinforcement in concrete beams under torsion. The findings recommend steel fiber dosages of 1.0% and 1.5% for improved ductility and toughness in beams, particularly after initial cracking, suggesting steel fibers as a feasible alternative to conventional reinforcement in specific structural applications.
Bandara et al. [] provided an extensive review of UHPC for structural retrofitting, noting its superior mechanical properties, durability, and compatibility with normal-strength concrete. It details UHPC’s applications in enhancing flexural, axial, shear, impact, and torsional strength of structures, highlighting its benefits like increased ductility, low permeability, and high resistance to abrasion and fire through advanced concrete matrix and steel fibers. The review also addresses the limitations and challenges in deploying UHPC in field applications, suggesting future research directions to maximize its structural benefits and adoption in rehabilitation projects.
3. Objectives
The primary objective of this research is to comprehensively analyze the behavior of UHPC beams with transverse circular openings and examine methods to mitigate the detrimental effects of these openings under pure torsion. This study aims to evaluate the torsional behavior of concrete beams, specifically focusing on the detrimental effects of openings on their structural integrity. Additionally, it investigates UHPC’s capability to compensate for strength deficiencies caused by these openings and explores its feasibility as an alternative to traditional reinforcement methods, such as diagonal reinforcement around openings. Additionally, the reinforcement details were designed to examine the structural integrity under varying conditions of complexity and stress concentration, which are critical factors in the performance of beams with openings.
Moreover, based on the limited analysis of the torsional behavior of UHPC beams, a new equation that accounts for variations in reinforcement and opening sizes is clearly needed. This study proposes ultimate torsional equations for UHPC beams with various opening sizes. These equations are validated by comparing them with results from previous experimental research, examining the performance of UHPC beams with and without openings.
4. Experimental Program
This section describes the characteristics of the materials used in this experiment and all information on casting, equipment, and devices. Initially, several mix designs were tested before starting the experimental work to determine the type and quantities of materials that affected the performance of UHPC.
4.1. Apparatus
Eight reinforcement concrete beams with a cross-sectional area of 15 × 20 cm and a length of 120 cm were cast to investigate the torsion behavior of reinforcement concrete beams for solid beams and beams with openings. Two opening sizes were used: a 75 mm transverse opening with D/H = 37% and a 100 mm transverse opening with D/H = 50%, as shown in Figure 1. According to ACI-318 [], the selection of these opening dimensions was based on common architectural requirements and structural regulations that often specify openings within this range for utility and service integration in building beams.
Figure 1.
Steel reinforcement details: beam with diagonal reinforcement and opening (a) a 75 mm transverse opening with D/H = 37% and (b) a 100 mm transverse opening with D/H = 50%.
Figure 1 and Figure 2 illustrate the geometric and steel reinforcing details of the control beam and beams with the opening. Table 1 demonstrates the beams’ identification details. In the longitudinal direction of the beams, four Ø 10 mm bars were used for all of the reinforced specimens’ beams. In the transverse direction, Ø 5 mm bars were used as closed secondary reinforcement bars with 50 mm spacing. The distance between stirrups was decreased to 33 mm to prevent local failure near the supports. Also, four diagonal reinforcements of 6 mm diameter were placed on each face of the beam around the opening []. Using that reinforcement around openings can control cracking and maintain the strength of the tested beam [].
Figure 2.
Steel reinforcement details: (a) solid beam, (b) beam cross-section, (c) beam with opening and diagonal reinforcement, (d) diagonal reinforcement bar, and (e) beam with opening and without diagonal reinforcement.
Table 1.
The utilized beams’ details for testing.
4.2. Materials
Many experimental mixtures were tested to determine if they could achieve the standard compressive strengths as outlined in ACI 211.1-95 []. The mixing ratios yielded compressive strengths of 35 MPa for NSC beams and 130 MPa for UHPC after a 28-day curing period. The specifics of these mixtures are detailed in Table 2 and Table 3 for NSC and UHPC, respectively. Throughout this study, all samples were cast using Type V sulfate-resistant cement, with the chemical analysis and physical characteristics of the cement presented in Table 4 and Table 5, following Standard (IQS) No. 5 [].
Table 2.
NSC mix details.
Table 3.
UHPC mix details.
Table 4.
Chemical analysis for cement.
Table 5.
Cement’s physical characteristics.
This investigation also utilized crushed gravel, shown in Table 6, and compared it to IQS No. 45/1984 []. The concrete mix included ordinary sand, whose grading is detailed in Table 7 and also compares to IQS No. 45/1984 []. For the UHPC mix, natural sand sifted to a 600 µm size was used. Reinforcement was provided by Ø 10 mm diameter bars for longitudinal tension and compression and Ø 6 mm diameter bars as closed stirrups, with the bars’ strengths listed in Table 8 (ASTM A615-86 []).
Table 6.
Coarse aggregate grading for NSC.
Table 7.
Fine aggregate grading for NSC.
Table 8.
Reinforcing steel properties.
Silica fume, as defined by the American Concrete Institute (ACI 116R/2005 []), is an extremely fine non-crystalline silica produced as a byproduct in electric arc furnaces during the production of silicon or silicon alloys. This additive, ranging in size from 0.1 to 1 µm, enhances concrete through physical micro-filling between cement particles and chemical reactions with the hydration products of Portland cement, forming additional binding materials (hydrated calcium silicates, C-S-H). Specifications for the silica fume used are in accordance with ASTM C1240/2005 [].
The superplasticizers used in this study are third-generation Hyperplastic PC200, based on polycarboxylic polymers, free from chlorides, and designed to optimize the concrete’s moisture retention per ASTM C494/2001 [] standards. Micro steel fibers (see Figure 3) incorporated into the UHPC mix enhance its structural properties, with fibers measuring 13 mm in length and 0.2 mm in diameter and having a tensile strength of 2200 MPa and a density of approximately 7800 kg/m3.
Figure 3.
Steel gibers.
4.3. Specimen Preparation
Eight wooden molds, measuring 150 × 200 × 1200 mm, were prepared for casting. Six cubes, each measuring 150 × 150 × 150 mm, were cast for NSC to evaluate compressive strength, and smaller cubes measuring 50 × 50 × 50 mm were cast to assess the compressive strength of UHPC. Graybeal and Davis [] noted that for UHPC, using smaller-sized specimens can yield accurate compressive strength results while also overcoming logistical issues like testing machine limitations and the preparation required for larger specimens. The 50 mm cubes could effectively replace standard-sized specimens, providing a practical option for testing high-strength concretes when faced with constraints related to machine capacity or specimen handling. Additionally, cylinders of 100 × 200 mm and prisms of 100 × 100 × 400 mm were prepared with NSC, and prisms of 50 × 50 × 300 mm were prepared with UHPC to test splitting and flexural strengths, respectively. Figure 4 illustrates the mixing and pouring methods employed.

Figure 4.
Mixing and casting steps: (a) mixture, (b) flow test, (c) casting UHPC, (d) specimens before casting, and (e) specimens after casting and covered with plastic sheets.
All molds were lubricated before the placement of reinforcing steel frames. The concrete was poured into the molds in three layers, each compacted using an electric vibrator to ensure even distribution and consolidation. After the surface of the concrete was smoothed, the molds were transferred to the curing basin located in the Faculty of Engineering’s construction laboratory. Once the concrete had been set, the molds were removed. After a curing period of twenty-eight days, all specimens were removed from the basin and dried, preparing them for the subsequent testing phase.
4.4. Test Procedure
Figure 5 and Figure 6 illustrate the setup used for testing and loading. The testing apparatus, capable of exerting up to 480 kN, was employed. The beam was fixed at one end with a support that included a torque arm, and all bolts were securely tightened. Positioned on a 100 cm flat span within the machine, the beam was subjected to a concentric load to ensure full contact with the loading system before the force was withdrawn. The loading process was controlled at a steady rate, assessing the beam under a simple torque application.
Figure 5.
(a) The utilized machine for applying load during tests and (b) the beam’s end supports.
Figure 6.
Torsional test setup for beams: this presents the setup used for the torsional testing of beams, showing (a) the front, (b) the side, and (c) the top views.
Throughout each loading cycle, measurements were taken for the twisting angle, initial crack formation, and the point of collapse. To determine the twisting angle, two 0.001 cm dial gauges were positioned at the beam’s end cross-section, 7.5 cm from the center of the beam’s width. The right dial gauge was set to measure uplift magnitudes, while the left gauge recorded downward movements. The twisting angle in radians was calculated by summing the readings from both dial gauges (D1 and D2) and dividing by the 15 cm distance between them.
5. Results and Discussion
As reported earlier, the current research examines the torsional behavior of rectangular reinforced concrete beams with openings using UHPC. To assess the effects of these openings, eight rectangular beams were subjected to pure torsion tests, comparing different types of concrete. This section delves into the test outcomes, discussing the torque–twist relationship, ultimate torque capacities, failure modes, and the theoretical torsional models observed.
5.1. Mechanical Properties
To fully understand the behavior of concrete beam specimens, it is essential to grasp their mechanical properties thoroughly. This research investigates the mechanical properties of hardened concrete, including splitting tensile strength, compressive strength, and rupture modulus, as shown in Figure 7. For NSC, the compressive strength was determined using cube samples with dimensions of 150 mm. In contrast, UHPC compressive strength was assessed using 50 mm cubes. According to BS.1881: Part 116:1989 [], three cubic samples were tested using a hydraulic compression machine with a capacity of 1600 kN. The results showed average compressive strengths of 38.2 MPa for NSC and 134.5 MPa for UHPC. Previous studies indicate that UHPC’s compressive strength can be up to ten times that of NSC, ranging from 124 to 240 MPa, which aligns with the findings of this study [,].
Figure 7.
Tested specimens: (a) compressive UHPC testing, (b) splitting UHPC testing, and (c) flexural UHPC testing.
Additionally, three cylindrical concrete samples were tested to measure the splitting tensile strengths for both NSC and UHPC, following ASTM C496-2004 []. The results revealed average splitting strengths of 3.1 MPa for NSC and 13.8 MPa for UHPC, with UHPC exceeding the previously reported threshold of 9 MPa. These measurements confirm UHPC’s enhanced material properties, as detailed by Graybeal [], who extensively characterizes the material properties of UHPC, noting its exceptional performance in tensile strength. The rupture modulus was determined through flexural testing of prism specimens, measuring 100 × 100 × 400 mm for NSC and 50 × 50 × 300 mm for UHPC. The average flexural strengths were 4.2 MPa for NSC and 24.3 MPa for UHPC, with UHPC’s minimum prism flexure cracking strength surpassing 9 MPa.
5.2. Torsional Behaviors
5.2.1. Torsional Strength and Load–Twist Angle Behavior
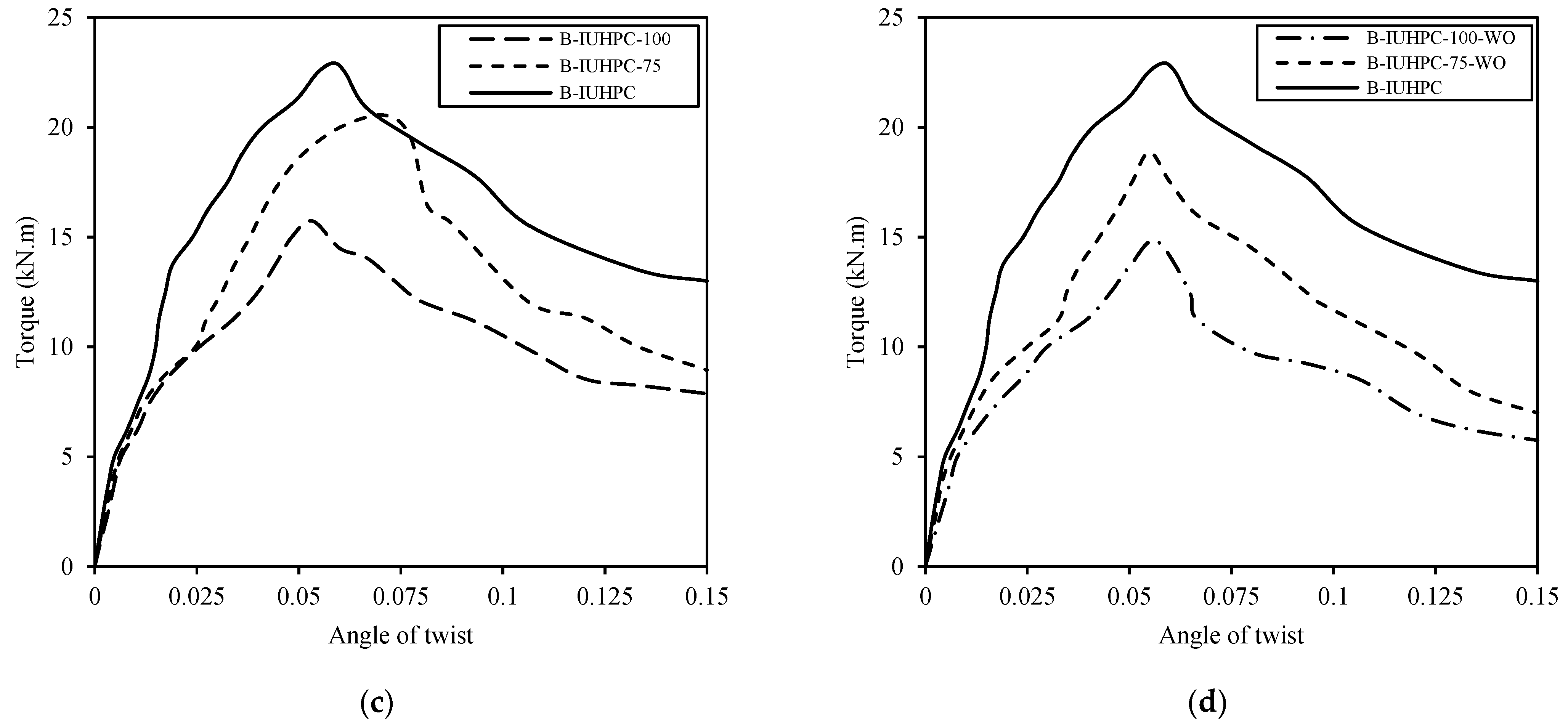
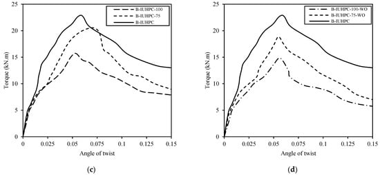
Figure 8 illustrates the torque–twist angle curves for all tested beams. Notably, small openings do not substantially impact the ultimate load capacity due to the compensatory effect of diagonal reinforcement, which offsets the reduction in concrete volume. However, these small openings significantly reduce the torsional stiffness of the beam. Conversely, large openings markedly affect both the ultimate load capacity and torsional stiffness, primarily due to significant alterations in the shear flow mechanism.

Figure 8.
(a) Tested beams without opening, (b) tested NSC beams with opening, (c) tested UHPC beams with opening, and (d) tested beams with opening and without diagonal reinforcement.
As depicted in Figure 8a, beams made of UHPC exhibit greater torsional capacity and stiffness than those made of NSC, attributable to UHPC’s higher tensile strength. However, post-peak NSC beams demonstrate more ductile behavior. Figure 8d explores the performance of UHPC beams with small openings, with and without diagonal reinforcement. In both scenarios, UHPC enhances beam behavior with small openings, though the absence of diagonal reinforcement results in a more brittle response than in beams where it is present.
Additionally, the diagram shows the impact of UHPC on beams with significant openings. Here, UHPC also improves beam behavior with large openings. However, lacking diagonal reinforcement, the beams exhibit brittle behavior compared to those reinforced with diagonal support, underscoring the critical role of reinforcement in maintaining structural integrity under torsional stress.
5.2.2. Torsional Ductility Index
Ductility measures a material’s ability to undergo plastic deformation without fracturing under various types of stress. In this study, we calculated the torsional ductility of structural members using the torsional ductility index, μθ, as defined by Bernardo and Lopes [], as listed in Table 9. This index is calculated based on the deformation per unit length (twisting angle per meter). To determine elastic deformation, two tangents are drawn on the torque–rotation curve: the first tangent intersects the curve at the origin, and the second is a horizontal line that touches the curve at its peak, representing the ultimate torque. A vertical line is drawn from these two tangents’ intersection points. The intersection of this vertical line with the torque–rotation curve indicates the yield point, as detailed by Hadi et al. [].
Table 9.
Torsional ductility of beams.
5.2.3. Torsional Toughness
Reinforced concrete members are fundamentally characterized by their ability to absorb energy and exhibit ductility, effectively transforming mechanical energy into internal potential energy. This absorption occurs through complex mechanisms such as fracturing mechanics, including concrete cracking and plastic and elastic deflections. Numerous studies have demonstrated a proportional relationship between the ductility of reinforced concrete members and their capacity for energy absorption.
In this context, the torsional toughness of each beam was quantified using the model depicted in Figure 9. This involved calculating the area under the torque–rotation curves, segmented into three parts: Part I, the pre-cracking zone; Part II, the post-cracking zone; and Part III, the transition zone. These segments represent the energies absorbed per unit length by the elements throughout the testing process, as depicted in the plots of torque versus rotation angle. The results, detailed in Table 10, indicate that the UHPC beams exhibited substantial toughness in torsion post-cracking. Furthermore, the incorporation of steel fibers in the concrete mix enhances the interfacial connection strength, reducing cracking and improving the structural integrity of the concrete.
Figure 9.
Torsion model.
Table 10.
Torsional toughness for all models in three parts.
5.2.4. Initial Stiffness and Service Stiffness
Initial stiffness was determined by dividing the crack torque by the angle of twist at the onset of cracking in the beams. This measurement reflects the ability of the beam to resist deformation under low levels of stress before any significant damage or cracking occurs. Service stiffness, on the other hand, was defined by the slope of the torque–rotation curve from 30% of the ultimate load to the yield load. This represents the stiffness of the beam during regular service conditions, where the loads do not exceed the yield strength of the material. According to Baran and Arsava [], the service load level for a reinforced concrete beam typically aligns with 60% of the beam’s ultimate torque, which indicates its performance under typical operational conditions.
In Table 11, the results indicate that the presence of openings has a significant effect on both initial and service stiffness in NSC beams. The openings disrupt the continuity of the material, leading to localized stress concentrations and alterations in the path of shear flow. This results in an inefficient transfer of forces across the affected sections of the beam, thereby reducing both initial and service stiffness. Specifically, the reduced cross-sectional area due to the openings lowers the beam’s resistance to torsion, making it less stiff initially and during service.
Table 11.
Initial stiffness and service stiffness of tested beams.
Conversely, UHPC beams with openings demonstrated an increase in initial stiffness. This anomaly can be attributed to UHPC’s inherently higher material strength and density, which may initially counteract the negative effects of openings by more effectively distributing stresses and delaying the onset of significant cracking. However, despite this initial increase, service stiffness in UHPC beams still saw a reduction. This reduction is largely due to the enhanced tensile strength of UHPC, which, while contributing to a higher ultimate torque capacity, also leads to greater rotations and deformations under load. The increased deformations reflect a reduced stiffness when the beam is subjected to sustained or operational loads, highlighting a complex interplay between material properties and geometric modifications like openings.
The structural modifications induced by openings influence the torsional behavior of concrete beams differently, depending on the material. While NSC beams exhibit decreased stiffness across both initial and service phases, UHPC beams show a complex response due to their superior material properties. These findings underscore the necessity of considering material and geometric factors when designing beams to withstand specific loading conditions, especially when openings are involved.
5.2.5. Cracking Patterns and Failure Mode
The beams exhibited distinct behaviors regarding first cracking torque and ultimate torque capacity, with comprehensive results detailed in Table 12. For NSC beams, a small opening had a marginal impact on ultimate loading capacities, primarily due to the compensatory effect of diagonal reinforcement, which helped maintain consistent shear flow. The first crack load, however, was significantly influenced by the opening size, as it directly affects the cross-sectional area and, consequently, the structural integrity.
Table 12.
Torsional feature tabulation of tested specimens.
In contrast, UHPC beams demonstrated notable improvements in ultimate and cracking torque. The higher material strength of UHPC and the strategic placement of diagonal reinforcements contributed to a more controlled crack development. The observed cracking patterns in UHPC beams typically featured fewer but more pronounced cracks due to the material’s high tensile strength, which effectively limits the propagation of cracks.
For the NSC beams, the cracking was typically initiated as inclined cracks distributed along the length of the beam. These cracks were more dispersed and numerous, reflecting the lower tensile strength of NSC compared to UHPC. On the other hand, for UHPC beams, two primary inclined cracks appeared predominantly at the mid-span. This pattern underscores UHPC’s ability to resist further cracking under similar load conditions due to its enhanced material properties. The B-NSC-75 beam showed similar crack propagation to the standard B-NSC beam, indicating that small openings with adequate reinforcement do not significantly alter the failure mode. The B-NSC-100 beam featured three main inclined cracks concentrated at mid-span, suggesting that larger openings can localize stress and prompt more significant cracking, potentially leading to cover spalling. Both B-UHPC-75 and B-UHPC-100 beams exhibited more localized cracking around the openings. The B-UHPC-100, in particular, showed a single pronounced crack traversing the opening, highlighting the critical role of opening size and placement in influencing crack patterns.
Notably, beams like the B-UHPC-75-WO and B-UHPC-100-WO, which lacked diagonal reinforcement, demonstrated a unique pattern where cracks not only formed above and below the opening but also showed a tendency to transition from an inclined to a more vertical direction. This pattern indicates that diagonal reinforcements significantly influence the stress distribution and crack propagation pathways, preventing the premature localization of stress and subsequent structural weaknesses.
Figure 10 provides visual details that complement this discussion, illustrating the varied crack patterns across different beam configurations. This visualization helps in understanding how material choice, opening size, and reinforcement strategies collectively impact the torsional resistance and durability of concrete beams. By expanding on these details, the revised section offers a more nuanced understanding of how different factors contribute to failure modes in beams with openings. This approach not only provides clarity on the structural performance but also aids in the practical design and analysis of reinforced concrete beams subjected to torsional loads.

Figure 10.
Crack patterns of (a) B-NSC, (b) B-UHPC, (c) B-NSC-75, (d) B-NSC-100, (e) B-UHPC-75, (f) B-UHPC-100, (g) B-UHPC-75-WO, and (h) B-UHPC-100-WO specimens.
5.3. Torsional Analytical Models
Based on the limited analysis of the torsional behavior of UHPC beams, a new equation that accounts for variations in reinforcement and opening sizes is clearly needed. This study proposes ultimate torsional equations for UHPC beams with various opening sizes. These equations are validated by comparing them with results from previous experimental research, examining the performance of UHPC beams with and without openings. Akhtaruzzaman [] presents a modification of the ACI Code torsion equations to predict the torsional strength of rectangular concrete beams with transverse openings. is the nominal torsional strength of a concrete beam with the opening.
where is the nominal torsional strength of concrete, is the nominal torsional strength of the stirrups, and is the nominal torsional strength of diagonal reinforcement around the opening.
where is the shorter dimension, is a longer dimension of the rectangular cross section, is the diameter of the opening, and is the rapture strength of concrete.
where is number of stirrups in the critical section, is the area of one leg of stirrups, is the coefficient as a function of y/x, are shorter and longer center-to-center dimensions of stirrups, respectively, and is the yield strength of stirrup steel.
where is number of inclined bars around an opening, intersected by an inclined failure plane.
is the area of an inclined bar around an opening and is the inclination of inclined bars around an opening.
Yang et al. [] explore the torsional behavior of UHPC beams and propose a design approach that includes the tensile contributions of UHPC and its steel fiber reinforcement. This approach is based on a modified thin-walled tube theory, which considers the tensile behavior of UHPC, a key feature due to the ductility provided by steel fiber reinforcement. The modified thin-walled tube theory effectively captures the enhanced ductility and torsional strength of UHPC, making it a viable method for designing UHPC structures subjected to torsional loads. is the nominal torsional strength of the UHPC beam of the solid cross-section.
where is the nominal torsional strength of a concrete beam with an opening and is the nominal torsional strength provided by torsional reinforcement.
where is the area included by the center line of the stirrups, is the splitting tensile strength of UHPC, is the thickness of the thin wall when assuming the UHPC beam is an equivalent thin-walled tube for torsional strength, and is the inclination of the failure plane with a vertical on the tension side,
where is the spacing of the stirrups.
The experimental torques were checked with calculated ultimate torques using Equation (1) [] and Equation (6) [] for the B-NSC beam and other UHPC beams listed in Table 13. As can be seen in Table 6, Equation (1) [] and Equation (2) [] underestimated the torsional strength with the calculated torques by ranging from 17% to 72% difference from the measured torque for opening and solid beams, as listed in Table 13. Therefore, these equations cannot be used due to errors between the experimental and calculated ultimate torques. This study proposes ultimate torsional equations for UHPC beams with various opening sizes. These equations are validated by comparing them with results from previous experimental research, examining the performance of UHPC beams with and without openings. The proposed equation of (the nominal torsional strength of a UHPC beam with an opening) is listed below.
where is a reduction factor for concrete strength due to a circular opening.
Table 13.
Comparison between the experimental and proposed ultimate torques.
This study conducted torsional tests on UHPC beams with openings to validate the proposed design formula. The experimental results confirmed the predicted values for torsional strength, demonstrating the validity of the modified design method. This highlights that the opening in concrete beams significantly affects torsional strength and cracking load, more so than the stirrups, which primarily enhance ductility. This study suggests that design strategies should prioritize utilizing diagonal stirrups around the openings in UHPC structures under torsion.
5.4. Proposed Equation Validation with Experimental Past Research Results
This study introduces new ultimate torsional equations tailored for UHPC beams with varying opening sizes. The validity of the proposed equations is carefully tested by conducting a detailed comparative analysis with the results from previous experimental research, which examined similar UHPC beam configurations under torsional loads. The ultimate torsional strengths from recent studies, specifically references [,,,,,], provide a strong basis for comparison. These studies encompass a range of UHPC beams, both with and without openings, offering a comprehensive dataset for analysis.
Statistical analysis employs regression analysis to assess the alignment between the predicted outcomes from the proposed equations and the observed results from these past studies. This approach measures the accuracy and reliability of the proposed equations. The regression analysis presents a 0.9952 coefficient of determination (R²) used to evaluate the goodness of fit for the proposed equations against the experimental data. The high R² value indicates a strong correlation, suggesting that the proposed equations reliably predict the torsional behavior of UHPC beams with different opening configurations.
Detailed results of this validation are presented in Table 14 and Table 15, where each specimen’s experimental average load capacity and corresponding experimental parameters are listed. These tables facilitate an easy comparison of calculated versus actual load capacities. Figure 11 represents the correlation between the predicted ultimate torsional moments and those measured experimentally, illustrating the practical applicability of the proposed equations in a visual format. The comparison between this study’s results and those from past research demonstrates a strong correlation, affirming the predictive accuracy of the proposed equations. This is particularly evident in cases where beam configurations closely mirror those examined in prior studies. The successful validation of the equations suggests they might be reliably used in the design and assessment of UHPC beams with openings, offering enhanced precision in predicting torsional strength and informing better engineering practices.
Table 14.
Proposed torsional equation comparison with past research with opening and UHPC.
Table 15.
Proposed torsional equation comparison with past research with opening and NSC.
Figure 11.
Experimental and predicted ultimate torsional moment of beams—presented and past research results.
6. Conclusions
The conclusions of this study, derived from empirical results and within the context of its limitations, are as follows:
- A small opening was unaffected by the ultimate torque capacity of the NSC beam when supported by additional diagonal reinforcement. However, the presence of the small opening influenced the first cracking load, initial stiffness, and service stiffness.
- Large openings significantly impacted the torsional behavior of NSC beams. On the other hand, UHPC was found to enhance torsional behavior and compensate for the loss of strength caused by small and large openings.
- In beams cast with UHPC, it was possible to omit diagonal reinforcement from the steel cage without compromising structural integrity.
- Openings were observed to increase ductility in both NC and UHPC beams, with diagonal reinforcement playing a significant role in enhancing ductility in UHPC beams.
- UHPC beams demonstrated increased toughness, particularly in the post-crack zone, with enhancements ranging from 280 to 588%. Conversely, the increments in the transition stage were between 8 and 50%.
This study also noted a sharp drop in the torque–rotation diagrams of all tested UHPC beams. Future research should focus on the performance of hollow concrete beams cast with UHPC under flexural and torsional conditions, a theoretical investigation into the torsional behavior of UHPC beams, and methods to repair damaged beams using UHPC under various loading conditions. Additionally, exploring the behavior of reinforced concrete beams with different cross-sectional shapes, such as L-sections, T-sections, and trapezoidal sections, is recommended. Also, numerical simulations can be undertaken using finite element analysis or other relevant computational methods to validate the proposed equations. This will aim to compare the simulated results with the experimental data, offering a dual validation approach that enhances the robustness of the proposed equations.
Author Contributions
Conceptualization, R.F.H.; Data curation, L.H.A.; Formal analysis, R.F.H.; Investigation, L.H.A.; Methodology, R.F.H.; Resources, R.F.H.; writing—original draft preparation R.F.H.; Supervision, R.F.H. and H.H.H.; writing—review and editing, H.H.H. All authors have read and agreed to the published version of the manuscript.
Funding
This research received no external funding.
Data Availability Statement
The data presented in this study are available on request from the corresponding author.
Conflicts of Interest
The authors declare no conflict of interest.
References
- Fehling, E.; Schmidt, M.; Teichmann, T.; Bunje, K.; Bornemann, B. Entwicklung, Dauerhaftigkeit und Berechnung Ultra-Hochfester Betone (UHPC) (Development, Durability and Calculation of Ultra-High Strength Concretes (UHPC)); Research Report; Schriftenreihe Baustoffe und Massivbau 1: Kassel, Germany, 2004. [Google Scholar]
- Schmidt, M.; Bunje, K.; Dehn, F.; Droll, K.; Fehling, E.; Greiner, S.; Horvath, J.; Kleen, E.; Muller, C.; Reineck, K.-H.; et al. Sachstandsbericht Ultrahochfester Beton; Deutscher Ausschuss für Stahlbeton (Hrsg.) No. 561; Beuth Verlag: Berlin, Germnay, 2008. [Google Scholar]
- Schmidt, M.; Fehling, E. Ultra-Hochfester Beton-Planung und Bau der ersten Brucke mit UHPC in Europa: Tagungsbeitrage zu den 3. Kasseler Baustoff—Und Massivbautagen, (Schriftenreihe Baustoffe und Massivbau), 2nd ed.; Universitat Kassel: Kassel, Germany, 2003. [Google Scholar]
- Namiq, Z.F. Design of Beam as a Hollow Cross Section by Using Steel Fiber Under Pure Torsion. Master’s Thesis, University of Salahaddin, Hawler, Iraq, 2008. [Google Scholar]
- Yoo, D.-Y.; Yoon, Y.-S. Structural performance of ultra-high-performance concrete beams with different steel fibers. Eng. Struct. 2015, 102, 409–423. [Google Scholar] [CrossRef]
- Lopes, S.; Bernardo, L. Twist behavior of high-strength concrete hollow beams–formation of plastic hinges along the length. Eng. Struct. 2009, 31, 138–149. [Google Scholar] [CrossRef]
- Bernardo, L.; Lopes, S. Plastic analysis and twist capacity of high-strength concrete hollow beams under pure torsion. Eng. Struct. 2013, 49, 190–201. [Google Scholar] [CrossRef]
- Lopes, S.; Bernardo, L. Cracking and failure mode in HSC hollow beams under torsion. Constr. Build. Mater. 2014, 51, 163–178. [Google Scholar] [CrossRef]
- Hii, A.K.; Al-Mahaidi, R. An experimental and numerical investigation on torsional strengthening of solid and box-section RC beams using CFRP laminates. Compos. Struct. 2006, 75, 213–221. [Google Scholar] [CrossRef]
- Hafiz, R.B.; Ahmed, S.; Barua, S.; Chowdhury, S.R. Effects of Opening on the Behavior of Reinforced Concrete Beam. IOSR J. Mech. Civ. Eng. 2014, 11, 52–61. [Google Scholar] [CrossRef]
- Torii, A.J.; Machado, R.D. Structural dynamic analysis for time response of bars and trusses using the generalized finite element method. Lat. Am. J. Solids Struct. 2012, 9, 1–31. [Google Scholar] [CrossRef]
- Inoue, S.; Egawa, N. Flexural and Shear Behavior of Reinforced Concrete Hollow Beams under Reversed Cyclic Loads. In Proceedings of the 11th World Conference on Earthquake Engineering, Acapulco, Mexico, 23–28 June 1996. [Google Scholar]
- Guleria, A. Comparison of Seismic Performance of Solid and Hollow Reinforced Concrete members in RCC framed Building using ETABS Software. Int. J. Adv. Eng. Sci. 2014, 4, 43–47. [Google Scholar]
- Alnuaimi, A.; Al-Jabri, K.; Hago, A. Comparison between solid and hollow reinforced concrete beams. Mater. Struct. 2008, 41, 269–286. [Google Scholar] [CrossRef]
- Bernardo, L.; Lopes, S. Torsion in High-Strength Concrete Hollow Beams: Strength and Ductility Analysis. ACI Struct. J. 2009, 106, 39. [Google Scholar]
- Abdul-Hussein, W. Behavior of Reinforced Reactive Powder Concrete Beams in Torsion. Ph.D. Thesis, University of Technology, Baghdad, Iraq, 2010. [Google Scholar]
- Al-Tahan, Z. Torsional Behavior of Reinforced Concrete Beams with Transvers Opening Strengthened with Fiber Wire Mesh. Diploma Thesis, University of Babylon, Hira, Iraq, 2019. [Google Scholar]
- Hassan, R.F.; Al-Salim, N.H.; Mohammed, N.S.; Hussein, H.H. Experimental study and theoretical prediction on torsional strength with different steel fiber reinforced concretes and Cross-Section areas. Eng. Struct. 2022, 251, 113559. [Google Scholar] [CrossRef]
- Hassan, R.F.; Jaber, M.H.; Al-Salim, N.H.; Hussein, H.H. Experimental research on torsional strength of synthetic/steel fiber-reinforced hollow concrete beam. Eng. Struct. 2020, 220, 110948. [Google Scholar] [CrossRef]
- Al-Salim, N.H.; Jaber, M.H.; Hassan, R.F.; Mohammed, N.S.; Hussein, H.H. Experimental Investigation of Compound Effect of Flexural and Torsion on Fiber-Reinforced Concrete Beams. Buildings 2023, 13, 1347. [Google Scholar] [CrossRef]
- aber, M.H.; Abd Al-Zahra, B.I.; Ibrahim, A.A.; Hassan, R.F.; Al-Salim, N.H.; Hussein, H.H. Exploring the effect of varying fiber dosages as stirrup substitutes in torsion-loaded concrete beams. Buildings 2023, 13, 1865. [Google Scholar] [CrossRef]
- Bandara, S.; Wijesundara, K.; Rajeev, P. Ultra-high-performance fibre-reinforced concrete for rehabilitation and strengthening of concrete structures: A suitability assessment. Buildings 2023, 13, 614. [Google Scholar] [CrossRef]
- ACI 318-19; Building Code Requirements for Structural Concrete and Commentary. American Concrete Institute: Farmington Hills, MI, USA, 2009.
- Mansur, M.A.; Tan, K.H. Concrete Beam with Opening, Analysis and Design; Department of civil Engineering, National University of Singapore: Singapore, 1999. [Google Scholar]
- Tan, K.H.; Mansur, M.A.; Wei, W. Design of reinforced concrete beams with circular openings. Struct. J. 2001, 98, 407–415. [Google Scholar]
- Committee 211.1-95; Standard Practice for Selecting Proportions for Normal Heavyweight, and Mass Concrete. ACI Manual of Concrete Practice: Farmington Hills, MI, USA, 1991.
- Iraqi Specifications No. (5), 1984 for “Portland Cement”; Iraqi Central Organization for Standardization and Quality Control: Baghdad, Iraq, 1984.
- Iraqi Specifications No. (45), 1984 for Aggregates of Natural Resources used for Concrete and Construction; Iraqi Central Organization for Standardization and Quality Control: Baghdad, Iraq, 1984.
- ASTM Designation A615/A615M-01b; Standard Specifications for Deformed and Plain Billet-Steel Bars for Concrete Reinforcement. Annual Book of ASTM Standards, American Society for Testing and Materials: Philadelphia, PA, USA, 2001; Volume 1.04.
- ACI 116R; Cement and Concrete Technology (Reapproved 2005). ACI Committee 116, American Concrete Institute 38800: Farmington Hills, MI, USA, 2005.
- ASTM C 1240-05; Standard Specification for Silica Fume Used in Cementitious Mixtures. ASTM International: Philadelphia, PA, USA, 2005; Volume 04.02, pp. 1–7.
- ASTM C496; Standard Test Method for Splitting Strength for Cylindrical Concrete Specimens. American society for Testing and Materials: Philadelphia, PA, USA, 2004.
- Graybeal, B.; Davis, M. Cylinder or Cube: Strength Testing of 80 to 200 MPa (11.6 to 29 ksi) Ultra-High-Performance Fiber-Reinforced Concrete. ACI Mater. J. 2008, 105, 603–609. [Google Scholar]
- BS.1881: Part 116:1989; Standard Test Method for Determination of Compressive Strength of Concrete Cubes. British Standard Institution: London, UK, 1989; p. 3.
- Graybeal, B.A. Material Property Characterization of Ultra-High Performance Concrete; Rep. No. FHWA-HRT-06-103; Federal Highway Administration: Washington, DC, USA, 2006. [Google Scholar]
- Barghlame, H.; Lotfollahi-Yaghin, M.A. Investigating the Capacity of Ultimate Torsion of Concrete Prismatic Beams with Transverse Spiral Bars. Int. J. Comput. Econ. Econom. Int. J. Netw. Sci. (IJCEE-IJNS) 2011, 5, 561–566. [Google Scholar]
- Baran, E.; Arsava, T. Flexural strength design criteria for concrete beams reinforced with high-strength steel strands. Adv. Struct. Eng. 2012, 15, 1781–1792. [Google Scholar] [CrossRef]
- Akhtaruzzaman, A.A. ACI Code Torsion Equations Modified for Rectangular Concrete Beams with an Opening. Eng. Sci. 2019, 2, 95–117. [Google Scholar]
- Yang, I.H.; Joh, C.; Lee, J.W.; Kim, B.S. Torsional behavior of ultra-high-performance concrete squared beams. Eng. Struct. 2013, 56, 372–383. [Google Scholar] [CrossRef]
- Ismail, M. Behavior of UHPC Structural Members Subjected to Pure Torsion; Kassel University Press GmbH: Kassel, Germany, 2015. [Google Scholar]
- Lisantono, A.; Besari, M.S.; Suhud, R.; Soemardi, B.W. Experimental investigation on the effect of web opening dimension on the behavior of R/C hybrid deep T-beam subjected to pure torsion. J. Tek. Sipil ITB 2004, 11, 1–8. [Google Scholar] [CrossRef]
- Abdo, T.; Mabrouk, R. Effect of web openings on the structural behavior of RC beams subjected to pure torsion. In MATEC Web of Conferences; EDP Sciences: Sharjah, United Arab Emirates, 2017; Volume 120, p. 01007. [Google Scholar]
- Fawzy, K.; Hashem, M.M.; Elnady, A.M. Performance of RC beams with web opening subjected to pure torsion strengthened with CFRP. Int. J. Eng. Innov. Technol. (IJEIT) 2014, 4, 197–204. [Google Scholar]
Disclaimer/Publisher’s Note: The statements, opinions and data contained in all publications are solely those of the individual author(s) and contributor(s) and not of MDPI and/or the editor(s). MDPI and/or the editor(s) disclaim responsibility for any injury to people or property resulting from any ideas, methods, instructions or products referred to in the content. |
© 2024 by the authors. Licensee MDPI, Basel, Switzerland. This article is an open access article distributed under the terms and conditions of the Creative Commons Attribution (CC BY) license (https://creativecommons.org/licenses/by/4.0/).