Study on the Influence of Wind Fairing Parameters on the Aerodynamic Performance of Long-Span Double-Deck Steel Truss Suspension Bridge
Abstract
1. Introduction
2. Implementation of Vortex-Induced Vibration
2.1. Parameters of Wind Fairing
2.2. VIV Evaluation Indicator
2.3. Aerodynamic Performance Optimization Process Based on Wind Fairing Parameters
3. Calculation about Dynamic Characteristics of Bridge Structure
3.1. Simple Bridge Description
3.2. Calculation of Structural Dynamic Characteristics
4. Wind Tunnel Test of Main Girder Section with Wind Fairing Measures
4.1. Vortex-Induced Vibration Test of Original Section
4.2. Vortex-Induced Vibration Test of Cross-Section with Wind Fairing Measures
5. Influence of Wind Fairing Parameters on Vortex-Induced Vibration
5.1. Establishment of 2D CFD Model
5.2. Irrelevant Verification
- (1)
- Time step independence verification
- (2)
- Grid number independence verification
- (3)
- The position independence of the web member section verification
5.3. Simulation of Vortex-Induced Vibration under Different Wind Fairing Parameters
6. Conclusions
- (1)
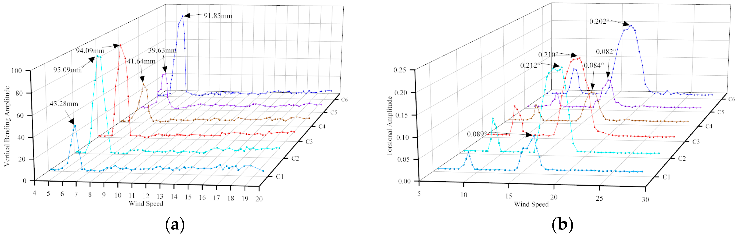
- Through the wind tunnel test, at +3° and +5° wind attack angles, with the addition of wind speed, at the original section of the main girder, what first occurs is the vertical bending VIV, then two torsional VIV with different maximum amplitudes occur, and the peak value of VIV at +5° is higher than that at +3°.
- (2)
- By the VIV test, how impact affects the wind fairing position on VIV is studied. The upper chord is determined to be the optimal position of the fairing. Under two wind attack angle conditions, the average inhibition efficiency of vertical bending VIV is 62.46%, while the average inhibition efficiency of torsional VIV is 42.89%. It can be seen that the inhibition effect of the fairing on vertical bending VIV is greater than that of torsional VIV. Among them, the maximum inhibition efficiency of vertical bending VIV is 71.51%, the minimum is 3.20%, and the average is 34.80%. The highest inhibition efficiency of torsional VIV is 54.73%, the lowest is 0.32%, and the average is 25.34%.
- (3)
- Based on the optimal position of the wind fairing, the height, D, of the truss section is taken as the quantitative value, and the horizontal size, l, of the fairing and the relative height, h, of the fairing are taken as the variables. A total of nine kinds of fairing conditions are set up for numerical simulation. When h/D = 1/4 and l/D = 1, the optimal fairing parameters are attained. From the airflow field distribution, these vortex zones around the upper board dominate vertical bending VIV. Therefore, the upper chord fairing weakens the energy of the shear layer by advancing the airflow separation point, breaking the vortex and reducing the vortex size to suppress VIV so as to achieve the purpose of optimizing the aerodynamic performance of the main girder.
Author Contributions
Funding
Data Availability Statement
Acknowledgments
Conflicts of Interest
References
- Gang, Y.; Yang, Y.; Wu, B.; Liu, L.; Zhang, L.-L. Aerodynamic admittance influence on buffeting performance of suspension bridge with streamlined deck. J. Vibroengineering 2019, 21, 198–214. [Google Scholar] [CrossRef]
- Wu, B.; Zhou, J.; Li, S.; Xin, J.; Zhang, H.; Yang, X. Combining active and passive wind tunnel tests to determine the aerodynamic admittances of a bridge girder. J. Wind. Eng. Ind. Aerodyn. 2022, 231, 105180. [Google Scholar] [CrossRef]
- Zhao, L.; Cui, W.; Shen, X.; Xu, S.; Ding, Y.; Ge, Y. A fast on-site measure-analyze-suppress response to control vortex-induced-vibration of a long-span bridge. Structures 2022, 35, 192–201. [Google Scholar] [CrossRef]
- Yang, Y.; Zhang, J.; Cao, F.; Ge, Y.; Zhao, L. Evaluation and improvement of wind environment and vehicle safety on long-span bridge deck under strong crosswind. J. Wind Eng. Ind. Aerodyn. 2022, 228, 105089. [Google Scholar] [CrossRef]
- Ge, Y.; Zhao, L.; Cao, J. Case study of vortex-induced vibration and mitigation mechanism for a long-span suspension bridge. J. Wind Eng. Ind. Aerodyn. 2022, 220, 104866. [Google Scholar] [CrossRef]
- Xiao, H.; Liu, Z.; Chen, Z.; Liu, Z.; Yan, A.; Yang, O. Experimental and numerical study on vibration response, VIV mechanism and aerostatic coefficients of triple-separated decks under different vertical distances. J. Wind Eng. Ind. Aerodyn. 2024, 250, 105782. [Google Scholar] [CrossRef]
- He, M.; Liang, P.; Zhang, Y.; Wang, Y.; Wang, K. Identification, tracking and warning of vortex induced vibration using k-means clustering method. Struct. Infrastruct. Eng. 2022, 20, 380–393. [Google Scholar] [CrossRef]
- Kim, S.-J.; Shim, J.-H.; Kim, H.-K. How wind affects vehicles crossing a double-deck suspension bridge. J. Wind Eng. Ind. Aerodyn. 2020, 206, 104329. [Google Scholar] [CrossRef]
- He, X.-H.; Li, H. Review of aerodynamics of high-speed train-bridge system in crosswinds. J. Cent. South Univ. 2020, 27, 1054–1073. [Google Scholar] [CrossRef]
- Xu, Z.; Wang, H.; Xing, C.; Tao, T.; Mao, J.; Liu, Y. Physics guided wavelet convolutional neural network for wind-induced vibration modeling with application to structural dynamic reliability analysis. Eng. Struct. 2023, 297, 117027. [Google Scholar] [CrossRef]
- Irwin, P.A. Bluff body aerodynamics in wind engineering. J. Wind Eng. Ind. Aerodyn. 2008, 96, 701–712. [Google Scholar] [CrossRef]
- Bruno, L.; Coste, N.; Fransos, D. Simulated flow around a rectangular 5:1 cylinder: Spanwise discretisation effects and emerging flow features. J. Wind Eng. Ind. Aerodyn. 2012, 104–106, 203–215. [Google Scholar] [CrossRef]
- Bruno, L.; Salvetti, M.V.; Ricciardelli, F. Benchmark on the Aerodynamics of a Rectangular 5:1 Cylinder: An overview after the first four years of activity. J. Wind Eng. Ind. Aerodyn. 2014, 126, 87–106. [Google Scholar] [CrossRef]
- Zhong, Y.; Li, M.; Ma, C. Aerodynamic admittance of truss girder in homogenous turbulence. J. Wind Eng. Ind. Aerodyn. 2018, 172, 152–163. [Google Scholar] [CrossRef]
- Yao, G.; Wu, L.; Yang, Y.; Liu, M.; Chen, Y.; Du, H. Study on the Suppression Effect on Vortex-Induced Vibration of Double-Deck Truss Girder by the Spatial Position of the Deflector Plate. Appl. Sci. 2023, 13, 9764. [Google Scholar] [CrossRef]
- Yao, G.; Chen, Y.; Yang, Y.; Zheng, Y.; Wu, L.; Du, H. Research on Mechanism of Vortex-Induced Vibration Railing Effect of Double-Deck Large-Span Suspension Bridge. Appl. Sci. 2023, 13, 9314. [Google Scholar] [CrossRef]
- Bai, H.; Li, R.; Xu, G.; Kareem, A. Aerodynamic performance of Π-shaped composite deck cable-stayed bridges including VIV mitigation measures. J. Wind Eng. Ind. Aerodyn. 2021, 208, 104451. [Google Scholar] [CrossRef]
- Li, Y.; Chen, X.; Yu, C.; Togbenou, K.; Wang, B.; Zhu, L. Effects of wind fairing angle on aerodynamic characteristics and dynamic responses of a streamlined trapezoidal box girder. J. Wind Eng. Ind. Aerodyn. 2018. [Google Scholar] [CrossRef]
- Yao, G.; Chen, Y.; Yang, Y.; Zheng, Y.; Du, H.; Wu, L. Investigation of Vortex-Induced Vibration of Double-Deck Truss Girder with Aerodynamic Mitigation Measures. J. Mar. Sci. Eng. 2023, 11, 1118. [Google Scholar] [CrossRef]
- Li, P.; Wang, H. A novel strategy for the crossarm length optimization of PSSCs based on multi-dimensional global optimization algorithms. Eng. Struct. 2021, 238, 112238. [Google Scholar] [CrossRef]
- Li, P.; Chen, G.; Qiu, J.; Qian, J.; Ding, D.; Jian, B.; Zhang, X.; Xiong, G. Experimental and numerical investigation into the load-carrying capacity of aluminium alloy H-sectional stocky columns under axial compression. J. Build. Eng. 2024, 87, 108777. [Google Scholar] [CrossRef]
- Chen, X.; Zhu, C.; Ma, C.; Li, Q. Vortex-induced vibration of twin-box girder and its aerodynamic characteristics study based on high-order dynamic decomposition. J. Wind Eng. Ind. Aerodyn. 2024, 249, 105719. [Google Scholar] [CrossRef]
- Zhao, C.-X.; Liu, J.-N.; Li, B.-Q.; Ren, D.; Chen, X.; Yu, J.; Zhang, Q. Multiscale Construction of Bifunctional Electrocatalysts for Long-Lifespan Rechargeable Zinc–Air Batteries. Adv. Funct. Mater. 2020, 30, 2003619. [Google Scholar] [CrossRef]
- Khosravi, M.; Mosaddeghi, F.; Oveisi, M.; khodayari-b, A. Aerodynamic drag reduction of heavy vehicles using append devices by CFD analysis. J. Cent. South Univ. 2015, 22, 4645–4652. [Google Scholar] [CrossRef]
- Wang, C.; Hua, X.; Huang, Z.; Tang, Y.; Chen, Z. Post-critical behavior of galloping for main cables of suspension bridges in construction phases. J. Fluids Struct. 2021, 101, 103205. [Google Scholar] [CrossRef]
- Sarwar, M.W.; Ishihara, T. Numerical study on suppression of vortex-induced vibrations of box girder bridge section by aerodynamic countermeasures. J. Wind Eng. Ind. Aerodyn. 2010, 98, 701–711. [Google Scholar] [CrossRef]
- Xiao, H.; Liu, Z.; He, F.; Chen, Z.; Liu, Z.; Yan, A. Aerodynamic Interference Effects on Vortex-Induced Vibration of Two Parallel Railway– and Highway–Cable-Stayed Bridges with Triple-Separated Decks. J. Bridge Eng. 2024, 29, 04023112. [Google Scholar] [CrossRef]
- Haohong, L.; Liang, L.Z.; Bo, W. Effects of the angle of attack on the aerodynamic characteristics of a streamlined box girder. Adv. Struct. Eng. 2021, 24, 2090–2104. [Google Scholar] [CrossRef]
- Lei, W.; Wang, Q.; Zhang, Y.; Li, Z. Study on VIV performance of streamlined steel box girder of a sea-crossing cable-stayed bridge. Ocean Eng. 2024, 295, 116897. [Google Scholar] [CrossRef]
- Hu, C.; Zhao, L.; Wang, X.; Ge, Y. Spatio-temporal distribution of aerodynamic forces and their associated vortex drift patterns around a closed-box girder during torsional vortex-induced vibration. Eng. Struct. 2024, 302, 117459. [Google Scholar] [CrossRef]
- Sun, H.; Zhu, L.-D.; Tan, Z.-X.; Zhu, Q.; Meng, X.-L. Spanwise layout optimization of aerodynamic countermeasures for multi-mode vortex-induced vibration control on long-span bridges. J. Wind Eng. Ind. Aerodyn. 2024, 244, 105616. [Google Scholar] [CrossRef]
- Liu, Z.; He, F.; Yan, A.; Liu, Z.; Yin, T.; Chen, Z. Mechanism and Aerodynamic Countermeasures of Vortex-Induced Vibration of a Cable-Stayed Bridge with Narrow Π-Shaped Girder Sections. J. Bridge Eng. 2023, 28, 04023090. [Google Scholar] [CrossRef]
- He, H.; Wang, J.; Wang, F. Investigation of the Effects of Vortex Isolation Plates with Different Opening Ratios and Sizes on Vortex-Induced Vibration. Appl. Sci. 2024, 14, 3863. [Google Scholar] [CrossRef]
- Wang, C.; Huang, Z.; Hua, X.; He, X.; Zhou, S.; Chen, Z. Aerodynamic mechanism of triggering and suppression of vortex-induced vibrations for a triple-box girder. J. Wind Eng. Ind. Aerodyn. 2022, 227, 105051. [Google Scholar] [CrossRef]
- Guo, S.; Jiang, Y.; Zhang, W.; Zeng, Y. Study on Dynamic Characteristics of Long-Span Highway-Rail Double-Tower Cable-Stayed Bridge. Buildings 2024, 14, 1733. [Google Scholar] [CrossRef]
- Wang, Y.; Feng, H.; Xu, N.; Zhong, J.; Wang, Z.; Yao, W.; Jiang, Y.; Laima, S. A Data-Driven Model for Predictive Modeling of Vortex-Induced Vibrations of a Long-Span Bridge. Appl. Sci. 2024, 14, 2233. [Google Scholar] [CrossRef]
- Zhang, Y.-M.; Wang, H.; Bai, Y.; Mao, J.-X.; Chang, X.-Y.; Wang, L.-B. Switching Bayesian dynamic linear model for condition assessment of bridge expansion joints using structural health monitoring data. Mech. Syst. Signal Process. 2021, 160, 107879. [Google Scholar] [CrossRef]
























| Order | Frequency | Mass | Moment of Inertia | Vibration Mode |
|---|---|---|---|---|
| 3 | 0.2108 Hz | 6.845 × 104 kg/m | / | first-order symmetric vertical bend |
| 4 | 0.2368 Hz | 7.008 × 104 kg/m | / | first-order objection vertical bend |
| 11 | 0.4777 Hz | / | 1.309 × 107 kg·m2/m | first-order symmetric torsion |
| 25 | 0.7055 Hz | / | 1.228 × 107 kg·m2/m | first-order objection torsion |
| α | VIV Type | Maximum Amplitude | Corresponding Real Speed | Frequency |
|---|---|---|---|---|
| +3° | Vertical bending | 75.54 mm | 6.05 m/s | 2.227 Hz |
| Torsional | 0.079°, 0.181° | 8.60 m/s, 15.28 m/s | 4.289 Hz | |
| +5° | Vertical bending | 98.23 mm | 6.06 m/s | 2.227 Hz |
| Torsional | 0.089°, 0.211° | 9.22 m/s, 16.67 m/s | 4.289 Hz |
| Computational Time Step (s) | 0.001 | 0.0005 | 0.0001 | 0.00005 | 0.00001 | |
|---|---|---|---|---|---|---|
| mean value | 0.6741 | 0.6954 | 0.7221 | 0.7232 | 0.7250 | |
| 0.8137 | 0.8254 | 0.8456 | 0.8451 | 0.8501 | ||
| 0.0181 | 0.0198 | 0.0285 | 0.0289 | 0.0290 | ||
| root mean square error | 0.0345 | 0.0352 | 0.0205 | 0.0201 | 0.0174 | |
| 0.0754 | 0.0711 | 0.0458 | 0.0421 | 0.0418 | ||
| 0.0222 | 0.0187 | 0.0119 | 0.0118 | 0.0125 | ||
| Mesh Number (×104) | 39.3 | 78.5 | 98.0 | 117.6 | |
|---|---|---|---|---|---|
| y+ | 0.1215 | 0.0751 | 0.0749 | 0.0742 | |
| average value | 0.7091 | 0.7221 | 0.7243 | 0.7265 | |
| 0.8217 | 0.8456 | 0.8502 | 0.8514 | ||
| 0.0219 | 0.0285 | 0.0288 | 0.0290 | ||
| standard deviation | 0.0421 | 0.0205 | 0.0265 | 0.0224 | |
| 0.0945 | 0.0458 | 0.0471 | 0.0431 | ||
| 0.0391 | 0.0119 | 0.0108 | 0.0134 | ||
| Cross-Section Number | F1 | F2 | F3 | |
|---|---|---|---|---|
| average value | 0.7186 | 0.7221 | 0.7255 | |
| 0.8245 | 0.8456 | 0.8512 | ||
| 0.0279 | 0.0285 | 0.0291 | ||
| standard deviation | 0.0212 | 0.0205 | 0.0198 | |
| 0.0525 | 0.0458 | 0.0478 | ||
| 0.0103 | 0.0119 | 0.0133 | ||
| Section Number | Maximum Vertical Bending VIV Amplitude (+3°/+5°) | η |
|---|---|---|
| Original section | 85.36 mm/107.14 mm | / |
| F1 section | 42.38 mm/54.22 mm | 50.35%/49.39% |
| F2 section | 48.52 mm/65.37 mm | 43.16%/38.99% |
| F3 section | 56.13 mm/70.64 mm | 34.24%/34.07% |
| F4 section | 39.13 mm/51.62 mm | 54.16%/51.92% |
| F5 section | 37.93 mm/53.34 mm | 55.56%/50.21% |
| F6 section | 35.61 mm/53.71 mm | 58.28%/49.87% |
| F7 section | 34.83 mm/46.52 mm | 59.20%/56.28% |
| F8 section | 33.98 mm/48.53 mm | 60.19%/57.70% |
| F9 section | 29.44 mm/42.32 mm | 65.51%/60.50% |
Disclaimer/Publisher’s Note: The statements, opinions and data contained in all publications are solely those of the individual author(s) and contributor(s) and not of MDPI and/or the editor(s). MDPI and/or the editor(s) disclaim responsibility for any injury to people or property resulting from any ideas, methods, instructions or products referred to in the content. |
© 2024 by the authors. Licensee MDPI, Basel, Switzerland. This article is an open access article distributed under the terms and conditions of the Creative Commons Attribution (CC BY) license (https://creativecommons.org/licenses/by/4.0/).
Share and Cite
Yang, Y.; Li, L.; Yao, G.; Wu, B.; Wang, D.; Yu, H.; Qu, H. Study on the Influence of Wind Fairing Parameters on the Aerodynamic Performance of Long-Span Double-Deck Steel Truss Suspension Bridge. Buildings 2024, 14, 2255. https://doi.org/10.3390/buildings14072255
Yang Y, Li L, Yao G, Wu B, Wang D, Yu H, Qu H. Study on the Influence of Wind Fairing Parameters on the Aerodynamic Performance of Long-Span Double-Deck Steel Truss Suspension Bridge. Buildings. 2024; 14(7):2255. https://doi.org/10.3390/buildings14072255
Chicago/Turabian StyleYang, Yang, Long Li, Gang Yao, Bo Wu, Dawu Wang, Hui Yu, and Hao Qu. 2024. "Study on the Influence of Wind Fairing Parameters on the Aerodynamic Performance of Long-Span Double-Deck Steel Truss Suspension Bridge" Buildings 14, no. 7: 2255. https://doi.org/10.3390/buildings14072255
APA StyleYang, Y., Li, L., Yao, G., Wu, B., Wang, D., Yu, H., & Qu, H. (2024). Study on the Influence of Wind Fairing Parameters on the Aerodynamic Performance of Long-Span Double-Deck Steel Truss Suspension Bridge. Buildings, 14(7), 2255. https://doi.org/10.3390/buildings14072255

