Next Article in Journal
Comprehensive Study of Residential Environment Preferences and Characteristics among Older Adults: Empirical Evidence from China
Previous Article in Journal
Research on the Spatiotemporal Pattern and Influencing Mechanism of Coastal Urban Vitality: A Case Study of Bayuquan
Previous Article in Special Issue
A Simplified Analytical Model for FRP-Strengthened Curved Brittle Substrates Using the Multi-Linear Bond-Slip Law
 
 
Font Type:
Arial Georgia Verdana
Font Size:
Aa Aa Aa
Line Spacing:
Column Width:
Background:
Study Protocol

Effect of Aggregate-to-Binders Ratio on Water Resistance of Red-Mud-Modified Magnesium Phosphate Repair Mortar

1
Henan Building Materials Research and Design Institute Co., Ltd., Zhengzhou 450002, China
2
School of Architectural Engineering, Zhongyuan University of Technology, Zhengzhou 450007, China
3
School of Materials Science and Engineering, Yancheng Institute of Technology, Yancheng 224051, China
*
Author to whom correspondence should be addressed.
Buildings 2024, 14(7), 2174; https://doi.org/10.3390/buildings14072174
Submission received: 4 June 2024 / Revised: 27 June 2024 / Accepted: 5 July 2024 / Published: 15 July 2024

Abstract

The aggregate-to-binders ratio (A/Bs) is an important parameter for the design and preparation of repair mortars. In this paper, the influences of A/Bs on the physical and mechanical properties of red-mud-modified magnesium phosphate repair mortar (RMPM) were systematically investigated. By exploring the capillary absorption characteristics of RMPM, the effect mechanism of A/Bs on its water resistance and mechanical properties was further clarified. The results indicated that the fluidity of fresh RMPM reduced with an increase in A/Bs, and its setting time was first shortened and then prolonged. The compressive strength, flexural strength, interfacial bonding strength, and water resistance of RMPM increased and then decreased with the increasing A/Bs and reached the maximum when the A/Bs was 1.0. The capillary absorption of RMPM was a linear correlation with the square root of the immersion time, and whose slope, that is, the capillary absorption coefficient, and capillary porosity decreased and then increased with the increase in A/Bs. Capillary porosity had a linear relationship with the strength retention rate, which indicated that A/Bs produced a significant effect on the water resistance of RMPM by modifying its capillary pore characteristics. When the A/Bs was 1.0, RMPM had the lowest capillary absorption coefficient and capillary porosity, and thus possesses appropriate mechanical properties and water resistance.

1. Introduction

Magnesium phosphate repair mortar (MPM) consists of dead-burned magnesium oxide, acid phosphate, retarder, and fine sand in a designed proportion. MPM has the characteristics of rapid hardening, high early strength, high hydration heat, low expansion rate, good abrasiveness, and frost resistance [1]. MPM is usually used for the emergency repair of roads, airport runways, bridges, tunnels, and factory floors, and for construction under cold conditions [2,3,4]. In addition, it is also used as a sealing agent for low-level nuclear waste and other heavy-metal-containing wastes [5], 3D-printing cement-based materials, and biological applications [6,7].
Compared with traditional cementitious rapid repair mortar, MPM has good mechanical properties, chemical corrosion resistance, and steel corrosion resistance [8,9,10]. The hydration products of MPM are able to react with Ca(OH)2 enriched in Portland cement matrix to generate amorphous products and form a chemical bond with the old cement, which further improves its bonding strength [11,12]. In addition, MPM has significant advantages in lower temperature construction, early strength, and the curing environment, but its strength develops slowly or even shrinks when the repaired components are under long-term service in a humid or water environment [13,14]. Yang et al. [15] immersed MPM in water after air-curing for 7 and 28 days and its strength loss rate increased with the increasing immersion time. Fan et al. [16] found that large-sized crystals of hardened MPM gradually decomposed into small sizes under the action of water, resulting in a looser microstructure and a lower water resistance. In the water environment, the phosphate enriched in hardened MPM firstly dissolves and turns the pore solution into an acidic environment, which results in the partial dissolution of struvite crystals and other gels. Eventually, pores and cracks form on the surface and the inside of MPM, and then the porosity, particularly of hazardous pores, significantly increases, which causes a decrease in its mechanical properties and water resistance [17,18].
The mixture ratio, mineral admixture, and chemical admixture all improve the water resistance of MPM by refining its pore structure. Among them, the aggregate-to-binders ratio (A/Bs), particle gradation of raw materials, and mineral admixture are more prominent in optimizing the pore structure and compactness, so as to improve the water resistance of MPM. The aggregate serves to fill the pores of the hardened MPM, in addition to acting as a skeleton, and plays a role in inhibiting crack generation and development, thus improving the compressive strength and reducing the preparation cost [19]. However, an excessively fine sand decreases the relative content of cementitious materials in MPM, and then reduces the amount of struvite, the density, and the mechanical properties of hardened MPM, as well as its water stability [2]. Menéndez et al. [20] indicated that the increase in A/Bs of MPM reduces the content of hydration products among sand particles, which weakens the bonding strength of hardened MPM and increases its porosity, resulting in a decrease in water resistance. With the increasing A/Bs, hydration products are insufficient to thoroughly surround the non-hydrated MgO and sand, which makes it difficult to form a stable and solid structural network. Consequently, the density of hardened MPM decreases significantly, thereby deteriorating its water resistance [21,22].
Mineral admixtures improve the compactness of MPM through its filling and activity effects, as well as providing a crystal nucleus for hydration products, thereby enhancing the mechanical properties and water resistance at 14 and 28 days [23]. As a high-alkaline and harmful solid waste, red mud exhibits relatively low reactivity. However, during the hydration of MPM, the iron salt and aluminum salt are enriched in red mud, generating iron hydroxide and aluminum hydroxide, which fill the pores of hardened MPM, thereby improving its compactness and water resistance [24]. Ma et al. [25] showed that the reactive component enriched in red mud reacts with the phosphate of hardened potassium magnesium phosphate cement, producing Ca2Mg(PO4)2·2H2O, which improves its densification and hinders the penetration of water, and even the dissolution of hydration products, thus improving its water resistance. Ruan et al. [26] demonstrated that the incorporation of red mud increases the pH of the MPM system, which is helpful to prevent the unreacted KH2PO4 from dissolving in water, and it weakens the erosion of H+ on K-struvite, thus improving the compressive strength and water resistance of MPM; however, the reverse result is observed when the dosage of red mud is excessive. In addition, red mud reduces the cost of MPM, while it achieves a high-value utilization.
The low water resistance of MPM somewhat limits its application, which is due to connected pores and soluble phosphate existing in its hardened structure. The nature of magnesium phosphate cement hydration is an acid–base neutralization reaction, which generates water and ammonia in a very short period and releases large heat, resulting in rapid temperature increases and setting of its fresh mixture. Thus, the optimization of the pore structure of MPM is limited during the subsequent hydration and hardening process. In view of the above-mentioned problem, this paper intends to optimize the pore structure and water resistance of red-mud-modified magnesium phosphate repair mortar (RMPM) by adjusting the A/Bs, mainly by studying the physical and mechanical properties, water resistance, and water transport characteristics of RMPM with various A/B ratios. Additionally, the influence mechanism of A/Bs on the water resistance of RMPM is clarified through its capillary absorption characteristics and capillary porosity. Meanwhile, this study will provide fundamental data to stimulate the engineering application of MPM.

2. Experimental Materials and Methods

2.1. Materials

The dead-burned MgO was calcined at 1670 °C, and its chemical composition is listed in Table 1. The dead-burned MgO is produced in China Liaoning Tianyi Refractory Co., Ltd., NH4H2PO4 and Borax were reagents that were both industrially and analytically pure. Among them, NH4H2PO4 was purchased from Sichuan Ronglv Technology Co., Ltd., China, and borax was produced in China Shanghai Xinda Chemical Co., Ltd. The red mud was obtained from the stockyard of Gaoshan Town, Henan Branch of China Aluminum Co., Ltd. Table 1 and Figure 1 illustrate the chemical composition and particle distribution of red mud. The particle size range of quartz sand is 400 μm–600 μm.
The original red mud has a strong alkalinity and contains CaCO3, and reacts rapidly with NH4H2PO4, generating a large amount of gas before hydrolyzation of the dead-burned MgO, and thus reducing the compactness and strength of RMPM. To avoid the above problem, red mud was pretreated with an aqueous solution of NH4H2PO4 before it was incorporated [27]. The specific process was as follows: Firstly, a mass ratio of 5:1:1 of red mud, NH4H2PO4, and water was used. Then, red mud and NH4H2PO4 were mixed in a dry state for 60 s, followed by stirring with water for 600 s to achieve a wet dispersion state. Finally, the mixture was then placed in a sealed container at room temperature for one day to obtain pretreated red mud, with a water demand of 90%.

2.2. Preparation of RMPM

Mixtures of RMPM are presented in Table 2, with M/P representing the mass ratio of dead-burned MgO to NH4H2PO4. A is for aggregate, in this case quartz sand. B is for binders, which is the mass sum of dead-burned MgO, NH4H2PO4, and 15 wt.% pretreated red mud (dry weight). The ratio for A/Bs represents the mass ratio of aggregate-to-binders. The powdered materials are poured into the mixing container and dry mixed at low speed for 120 s. After adding water, the mixtures are stirred at low speed for 30 s, followed by stirring at high speed for 180 s.

2.3. Physical and Mechanical Properties Test

(1)
Setting time and fluidity
In view of the setting and hardening speed of RMPM being fast, the intervals between the initial setting and final setting time were short. Therefore, the initial setting time, as measured using the Vicat instrument, was taken as the setting time of RMPM. The fluidity of RMPM was measured according to Chinese standard GB/T 2419-2005. The fluidity testing is shown in Figure 2.
(2)
Mechanical properties
The compressive and flexural strength testing of RMPM were in accordance with Chinese standard GB/T 17671-2021. The specimens were demolded after being formed for 1 h, with dimensions of 40 mm × 40 mm × 160 mm. The curing methods were divided into air curing and water curing. When the specimens were cured in the air curing box, the temperature and relative humidity were maintained at 20 °C and 50%, respectively. Meanwhile, Water cured specimens were air cured for 3 days and then placed into a water tank, which was put in a curing room to maintain the temperature at 20 ± 2 °C.
The interfacial bonding strength of RMPM was indirectly measured through the measurement of its flexural strength. The Portland cement mortar specimens were molded according to GB/T 17671-2021 and then split into two nearly uniform sections after being cured for 28 days. Half of the Portland cement mortar block was put into a triplex mold, with the fracture cross-section positioned in the middle of each mold. And then, the RMPM mixture was poured into the remaining space and vibrated to mold. At last, the specimens were put into curing boxes after demolding and then cured until reaching the test age. According to the above standards, the specimens were air cured for 1.5 h and 7 days, while the water-immersed specimens were cured for 7 days of air curing followed by 7 days of water curing. The interfacial bonding strength specimens are shown in Figure 3.
The water resistance of RMPM was determined in accordance with GB/T 50082-2009, and was quantitatively evaluated using the strength retention coefficient, which was calculated according to Formula (1).
w n = f c n f c
where wn is the strength retention coefficient; n is the curing time in water; fcn is the compressive strength of specimens cured in water for n days; and fc is the compressive strength of RMPM air curing for 28 days.

2.4. Capillary Water Absorption Test

The capillary water absorption test of RMPM cured for 28 days was carried out according to ASTM C1585 [28]. The size of the specimens used for the test was 40 mm × 40 mm × 80 mm. Firstly, the specimens were dried in a vacuum drying oven at 40 °C for 7 days. And then, all 5 surfaces except the bottom were sealed with epoxy resin. Finally, specimens were placed in a vacuum drying environment at 20 °C for 48 h and weighted. The measuring surface, with dimensions of 40 mm × 40 mm, was immersed in water at an immersion height ranging from 3 to 5 mm. The quality of specimens was tested after being immersed for the following durations: 1 min, 3 min, 5 min, 8 min, 12 min, 16 min, 20 min, 45 min, 1 h, 1.5 h, 2 h, 3 h, 4 h, 6 h, 8 h, 11 h, 23 h, 35 h, 59 h, 83 h, and 131 h.
The following formulas can be obtained according to C. Hall’s expansion of Darcy’s law [29] and the Hagen–Poiseuille equation. The capillary absorption coefficient of RMPM can be calculated by analyzing the experimental data on capillary absorption.
The porous material is assumed to be a cylindrical pore structure with a multidimensional random parallel distribution of n capillaries. The weight increment due to capillary flow is expressed as W(t) [30].
W ( t ) = n π r 2 ρ r γ cos θ 2 η t = A ϕ ρ r γ cos θ 2 η t
The mass increment of the specimen per unit area is expressed by i.
i = W t A = ϕ ρ r γ cos θ 2 η t = S t
The capillary absorption coefficient is expressed by S, and the following formula is obtained.
S = ϕ ρ r γ cos θ 2 η
ϕ = V p V = n π r 2 L A L = n π r 2 A
where γ is the surface tension; ϕ is the capillary porosity; r is the tubule radius; θ is the contact angle (cement-based materials and water are generally considered to be zero); ρ is the density of liquid; η is the viscosity coefficient of liquid; and t is the capillary suction time.

2.5. Capillary Porosity Test

Capillary porosity was tested according to ASTM C462 [31]. The specimens saturated with water for 72 h were wiped with a wet towel to remove their surface water and then weighed. After that, the specimens were suspended in water using a wire mesh hanging basket, and their weight was measured in water. Finally, the specimens were dried to a constant weight in a vacuum drying oven at 40 °C, and then they were weighed. The capillary porosity is calculated according to (6):
ϕ c = m imm m 40 ° C dry m imm m sus
where ϕc is the capillary porosity; mimm is the wet mass of the specimen; msus is the mass of the specimen suspending in water; and m40°C-dry is the dry mass of the specimen after drying at 40 °C.

3. Results and Discussion

3.1. Setting Time and Fluidity

It can be observed in Figure 4 that the fluidity of RMPM decreases with the increase in A/Bs. When the A/B ratio rises from 0.4 to 0.8, the fluidity slightly drops. However, when the ratio increases from 0.8 to 1.4, the fluidity reduces from 278 mm to 100 mm, representing a reduction of 64.0%. As the A/B ratio increases, the slurry of the RMPM mixture is needed to envelop more surface area of aggregate, which leads to a reduction in free slurry, causing a decrease in RMPM fluidity. Therefore, an appropriate A/B ratio is essential for RMPM to have an optimal fluidity, just like any other cementitious-based repair mortar [32].
Additionally, the setting time of RMPM tends to lengthen and then shorten with the increase in A/Bs, with no significant overall change. Among them, the setting time of RMPM is only 10.3 min when the A/B ratio is 0.4, and it is prolonged to 12.1 min when the A/B ratio rises to 0.8, and then it decreased with the even rising of the A/Bs. Overall, since the A/Bs does not change the hydration process of MPC, its effect on the setting time of RMPM is unremarkable.

3.2. Mechanical Properties

As can be seen from Figure 5 and Figure 6, the compressive strength and flexural strength of RMPM shows a trend of first rising and then falling with the increase in A/Bs, reaching their critical value at a ratio of 1.0. When the A/Bs increase from 0.4 to 1.0, the mechanical properties of RMPM are linearly improved. The compressive strength and flexural strength of RMPM cured for 1.5 h are 35.9 MPa and 9.8 MPa, respectively. However, with a continuous increase in A/Bs, the mechanical properties of RMPM decrease significantly at various curing ages. The above results demonstrate that A/Bs has a significant effect on the mechanical properties of RMPM.
The adjustment to A/Bs effectively optimized the compactness of RMPM, and aggregate particles were bonded together with hydration products to form a continuous whole, thus enhancing the mechanical properties of RMPM [33]. However, when the A/Bs exceeded a critical value, the relative content of cementitious materials in RMPM was reduced, so that it was not enough to wrap the aggregate particles, resulting in a weakening of the interfacial bonding force between the cement slurry and fine aggregate. At the same time, the increase in fine aggregate reduced the free water content and fluidity of fresh MPRM, and then hindered the escape of ammonia and degraded the compactness of the hardened MPRM, which was not conducive to the development of its mechanical properties [34].

3.3. Water Resistance

The effects of A/Bs on the compressive strength and its retention rate Wn of RMPM immersed in water for 28 days are shown in Figure 7. It can be seen that the compressive strength of RMPM immersed in water for 28 days is lower than that of air-cured specimens. With the increase in A/Bs, Wn increases first and then decreases. When the A/Bs increases from 1.0 to 1.2, Wn does not change significantly, but it markedly decreases with a continual increase in the A/Bs. When A/Bs of RMPM is 1.0, its compressive strength is 47.7 MPa and Wn is 0.96 after 28 days of immersion. However, when A/Bs decrease to 0.4, the compressive strength and Wn are only 23.2 MPa and 0.70, respectively. This indicates that the A/Bs has a significant effect on the water resistance of RMPM. When RMPM is fabricated with lower A/Bs, the amount of cementitious material is relatively higher, and its water resistance is significantly affected by the performance of MPC itself. Meanwhile, the incorporation of aggregates changes the compactness of MPC, and the water resistance of RMPM is optimized only when A/Bs is appropriate.

3.4. Interfacial Bonding Strength

The interfacial bonding strength between the repair materials and cement mortar was a cooperation of physical and chemical interaction. The former was determined by the bonding ability of the repair mortar, while the latter originated from the chemical composition and hydration products of the repair materials, and the mineral composition of the cement mortar. The chemical bonding strength of RMPM originated from the reaction between the phosphate in the hydration products and the Ca(OH)2 present in the concrete section, resulting in the formation of an amorphous gel. Therefore, RMPM had good interfacial bonding properties [35].
It can be seen from Figure 8 that the interfacial bonding strength of RMPM increases first and then decreases with the growth in A/Bs. When the A/Bs rises from 0.4 to 1.0, the interfacial bonding strength of RMPM cured for 7 days increases from 3.28 MPa to 4.30 MPa, producing an increase of 31.1%. In the early hydration stage of RMPM, the interfacial bonding strength is growing at a faster rate. When A/Bs is 1.0, that of RMPM cured for 1.5 h and 3 days increases from 2.2 MPa to 3.9 MPa, and its increment is 77.3%. This result was consistent with the trend in the early mechanical properties of RMPM. As can be seen in Figure 5 and Figure 6, the compressive and flexural strengths of RMPM cured for 3 days also improves considerably by comparison with that of the 1.5 h curing.
RMPM specimens, which were cured in air for 7 days and then continued to be cured in water for another 7 days, significantly decreased in interfacial bonding strength, even lower than that of the specimens cured in air for 3 days. When the A/Bs was 1.0, the interfacial bonding strength of RMPM dropped from 4.3 MPa to 3.7 MPa after water curing. Due to the fact that the density of the repairing interface was lower than that of the RMPM matrix, the interface bonding strength was significantly reduced after 7 days of water curing.

3.5. Moisture Transportation Characteristics

It can be seen from Figure 9 that the total capillary absorption and its growth rate of RMPM went down first and then increased with the increase in A/Bs, and dropped to the lowest when A/Bs was 1.0. The capillary absorption rapidly increased in the early immersion stage, and tended to be stable in the later stage. The capillary absorption was 26.9% of the total within 100 min of immersion, and rose to 46.7% after immersing for 500 min, reaching 93.9% when subjected to 3600 min of immersion. There was only a slight growth in capillary absorption observed during the 3600–7840 min immersion period. As the A/Bs was up to 1.0, the capillary absorption, growth rate, and total water absorption of RMPM were the smallest. As the A/Bs continued to rise, the growth rate of RMPM capillary water absorption was obviously accelerated, and the total water absorption was apparently improved. In this case, the total amount of capillary water absorption was 20.00 g at the A/Bs of 1.0, and reached 40.87 g and 39.83 g at the A/Bs of 0.4 and 1.4, respectively.
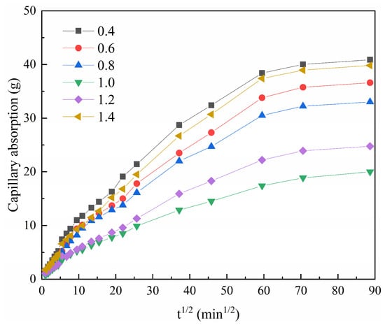
Figure 10 displays the change curve of capillary absorption of RMPM with square root of time. The capillary absorption of RMPM was linearly related to t1/2 before it reaches 60 min1/2, the growth rate is obviously slowed down as t1/2 continually rises. According to Equations (2) and (3), the increment in the capillary absorption of porous materials was proportional to the square root of time. This implies that the slope of each straight line in Figure 10 represents the capillary absorption coefficient of RMPM with various A/Bs. This is similar to the results of Matthew Hall’s research [36], indicating that the study of the initial capillary absorption coefficient can also be applied to the study of the long-term moisture absorption performance of RMPM. This approach can more truly reflect the moisture transfer process and results between the RMPM and its servicing environment.
Figure 11 illustrates the capillary porosity and capillary absorption coefficient of RMPM with various A/Bs. It can be seen that the capillary porosity and capillary absorption coefficient both decrease first and then rises with the increase in A/Bs. Among them, when the A/Bs of RMPM increases from 0.4 to 1.0, its capillary porosity reduces from 24.28 v% to 20.33 v%, and the capillary absorption coefficient decreases from 0.60 mm·min−1/2 to 0.21 mm·min−1/2. Meanwhile, when A/Bs rises to 1.4, the above two parameters increase back to 23.11% and 0.58 mm·min−1/2, respectively. The reason is that an appropriate incorporation of quartz sand helps to improve the compactness of RMPM, resulting in a reduction in capillary porosity and capillary absorption coefficient. When the A/Bs exceeds 1.0, the relative content of cementitious paste in RMPM declines, and the formation of struvite and compactness in hardened RMPM are consequentially reduced, leading to an increase in capillary porosity and capillary absorption coefficient.
The interconnected pores of RMPM were mainly caused by the escape of ammonia, which resulted from the reaction between the dead-burned MgO and NH4H2PO4. The greater the fluidity of the mixture, the lower the pressure for ammonia to escape, and thus the higher the connected porosity. It can be observed from Figure 4 that when A/Bs drops from 1.0 to 0.4, the fluidity increases remarkably, and the capillary porosity of RMPM also improves significantly. When A/Bs shows reversing growth, the hydration products of RMPM are insufficient for connecting into a whole, leading to an ascendent in capillary porosity and the formation of large pores, which reduces its mechanical properties and water resistance.

3.6. Influence Mechanism of Water Resistance

It can be observed from Figure 11 that the changed trends in the capillary absorption coefficient and capillary porosity with A/Bs tend to be similar. According to Equation (4), the capillary water absorption coefficient was positively correlated with the square root of the capillary porosity and capillary radius at the same porous medium and liquid conditions. It can be inferred that the variations in A/Bs changed the capillary porosity of RMPM, thus affecting its capillary water absorption and water resistance. When the A/Bs was between 0.4 and 1.4, the capillary radius, capillary porosity, and capillary absorption coefficient of RMPM reduced and then ascended with the growth in A/Bs, while water resistance, mechanical properties, and interfacial bonding properties show a tendency of first increasing and then decreasing.
Compared with the capillary absorption test, the capillary porosity test can more evenly reflect the capillary absorption characteristics of RMPM, and the latter is closer to the water resistance test, all with six surfaces immersed in water. Figure 12 shows the fitted relationship between strength retention rate and capillary porosity after eliminating a few pieces of invalid data. The strength retention rate is linear correlated with capillary porosity, which indicates that A/Bs produced a significant effect on water resistance by changing the pore structure of RMPM. When A/Bs is greater than 1.0, the capillary porosity of RMPM rises, resulting in an obvious degradation in its pore structure in the presence of capillary water, and thus its water resistance is significantly reduced. Furthermore, during the 72 h immersion period of RMPM cured for 28 days, the soluble ammonium salt in hydration products round the capillary pores dissolved in pore water, the capillary porosity increases, and the pore spacing declines, which leads to a reduction in both the compressive strength and interfacial bonding properties of RMPM.

4. Conclusions

In this study, the fluidity, setting time, mechanical properties, water resistance, and interfacial bonding strength of red-mud-modified magnesium phosphate repair mortar (RMPM) were investigated. The effect of A/Bs on water migration was further discussed by capillary absorption and capillary porosity tests. The mechanism for the variation in the mechanical properties and water resistance with A/Bs was clarified.
(1)
A/Bs significantly affect the physical and mechanical properties of RMPM. With the increase in A/Bs, the fluidity of RMPM decreases significantly, and the setting time extends first and then shortens. The compressive and flexural strength and the interfacial bonding strength increase first and then decrease with the increase in A/Bs. When the A/Bs is 1.0, the compressive strength, flexural strength, and interfacial bonding strength of RMPM cured for 1.5 h reaches 35.9 MPa, 9.8 MPa, and 2.2 MPa, respectively, which indicates that it provides a good capability for emergency repairs.
(2)
RMPM with suitable A/Bs has good water resistance. The compressive strength retention rate of RMPM increases first and then decreases with the increase in A/Bs. When A/Bs is 1.0, the water resistance of RMPM reaches 0.96. However, as A/Bs is 0.4 and 1.2, its water resistance is 0.70 and 0.74, respectively. In addition, water curing also deteriorates the interfacial bonding strength of RMPM.
(3)
An appropriate A/Bs reduces the capillary absorption coefficient and capillary porosity of RMPM, which in turn improves its water resistance. When the immersing time is no longer than 3600 min, the capillary absorption of RMPM has a linear relationship with the square root of time. The capillary porosity and capillary absorption coefficient of RMPM decreases first and then increases with the rise in A/Bs, and reduces to the lowest when A/Bs is 1.0, at which the water resistance, mechanical properties, and interfacial bonding properties of RMPM also achieve the optimal level.

5. Future Work

Future work will focus on the electrical properties and the intelligent sensibility of carbon fiber-modified magnesium phosphate repair mortar under a moist environment.

Author Contributions

Conceptualization, J.L.; formal analysis, Z.Z.; investigation, M.Z., X.Z. and J.L. (Junxia Liu); writing—original draft, X.Z.; editing original draft, M.Z.; supervision, J.L. (Junxia Liu); funding acquisition, M.Z.; validation, J.L. (Jianwei Li); visualization, J.L. (Jianwei Li); methodology, Y.M.; data curation, Y.M.; resources, Z.Z. All authors have read and agreed to the published version of the manuscript.

Funding

This research work was financially supported by the Fundamental Research Fund of Henan Academy of Sciences, Project No. 240609076.

Data Availability Statement

The original contributions presented in this study are included in the article; further inquiries can be directed to the corresponding author.

Conflicts of Interest

The authors declare that they have no known competing financial interests or personal relationships that could have appeared to influence the work reported in this paper.

References

  1. Xu, B.; Lothenbach, B.; Winnefeld, F. Influence of wollastonite on hydration and properties of magnesium potassium phosphate cements. Cem. Concr. Res. 2020, 131, 106012. [Google Scholar] [CrossRef]
  2. Ding, Z.; Li, Z. Effect of aggregates and water contents on the properties of magnesium phospho-silicate cement. Cem. Concr. Compos. 2005, 27, 11–18. [Google Scholar] [CrossRef]
  3. Li, J.; Zhang, W.; Cao, Y. Laboratory evaluation of magnesium phosphate cement paste and mortar for rapid repair of cement concrete pavement. Constr. Build. Mater. 2014, 58, 122–128. [Google Scholar] [CrossRef]
  4. Lee, K.H.; Yoon, H.S.; Yang, K.H. Tests on magnesium potassium phosphate composite mortars with different water-to-binder ratios and molar ratios of magnesium-to-phosphate. Constr. Build. Mater. 2017, 146, 303–311. [Google Scholar] [CrossRef]
  5. Lai, Z.; Lai, X.; Shi, J.; Lu, Z. Effect of Zn2+ on the early hydration behavior of potassium phosphate based magnesium phosphate cement. Constr. Build. Mater. 2016, 129, 70–78. [Google Scholar] [CrossRef]
  6. Coumes, C.C.D.; Lambertin, D.; Lahalle, H.; Antonucci, P.; Cannes, C.; Delpech, S. Selection of a mineral binder with potentialities for the stabilization/solidification of aluminum metal. J. Nucl. Mater. 2014, 453, 31–40. [Google Scholar] [CrossRef]
  7. Wei, M.-L.; Du, Y.-J.; Reddy, K.R.; Wu, H.-L. Effects of freeze-thaw on characteristics of new KMP binder stabilized Zn- and Pb-contaminated soils. Environ. Sci. Pollut. Res. 2015, 22, 19473–19484. [Google Scholar] [CrossRef] [PubMed]
  8. Wang, L.; Yu, I.K.M.; Tsang, D.C.W.; Li, S.; Poon, C.S. Mixture design and reaction sequence for recycling construction wood waste into rapid-shaping magnesia–phosphate cement particleboard. Ind. Eng. Chem. Res. 2017, 56, 6645–6654. [Google Scholar] [CrossRef]
  9. Weng, Y.; Ruan, S.; Li, M.; Mo, L.; Unluer, C.; Tan, M.J.; Qian, S. Feasibility study on sustainable magnesium potassium phosphate cement paste for 3D printing. Constr. Build. Mater. 2019, 221, 595–603. [Google Scholar] [CrossRef]
  10. Wang, A.-J.; Zhang, J.; Li, J.-M.; Ma, A.-B.; Liu, L.-T. Effect of liquid-to-solid ratios on the properties of magnesium phosphate chemically bonded ceramics. Mater. Sci. Eng. C 2013, 33, 2508–2512. [Google Scholar] [CrossRef]
  11. Tang, H.; Qian, J.; Ji, Z.; Dai, X.; Li, Z. The protective effect of magnesium phosphate cement on steel corrosion. Constr. Build. Mater. 2020, 255, 119422. [Google Scholar] [CrossRef]
  12. Qin, J.; Qian, J.; You, C.; Fan, Y.; Li, Z.; Wang, H. Bond behavior and interfacial micro-characteristics of magnesium phosphate cement onto old concrete substrate. Constr. Build. Mater. 2018, 167, 166–176. [Google Scholar] [CrossRef]
  13. Hou, D.; Yan, H.; Zhang, J.; Wang, P.; Li, Z. Experimental and computational investigation of magnesium phosphate cement mortar. Constr. Build. Mater. 2016, 112, 331–342. [Google Scholar] [CrossRef]
  14. Wu, B.; Jiao, Y.; Cao, R.; Zhai, J.; Zhang, Q. Effect of Metakaolin on the Water Resistance of Magnesium Phosphate Cement Mortar. Coatings 2023, 13, 1664. [Google Scholar] [CrossRef]
  15. Yang, Q.; Zhu, B.; Wu, X. Characteristics and durability test of magnesium phosphate cement-based material for rapid repair of concrete. Mater. Struct. 2000, 33, 229–234. [Google Scholar] [CrossRef]
  16. Fan, S.; Chen, B. Experimental research of water stability of magnesium alumina phosphate cements mortar. Constr. Build. Mater. 2015, 94, 164–171. [Google Scholar] [CrossRef]
  17. Le Rouzic, M.; Chaussadent, T.; Stefan, L.; Saillio, M. On the influence of Mg/P ratio on the properties and durability of magnesium potassium phosphate cement pastes. Cem. Concr. Res. 2017, 96, 27–41. [Google Scholar] [CrossRef]
  18. Pang, B.; Liu, J.; Wang, B.; Liu, R.; Yang, Y. Effects of K-struvite on hydration behavior of magnesium potassium phosphate cement. Constr. Build. Mater. 2021, 275, 121741. [Google Scholar] [CrossRef]
  19. Zhang, F.; Poh, L.H.; Zhang, M.H. Effect of bauxite aggregate in cement composites on mechanical properties and resistance against high-velocity projectile impact. Cem. Concr. Compos. 2021, 118, 103915. [Google Scholar] [CrossRef]
  20. Menéndez, E.; Sanjuán, M.; García-Roves, R.; Argiz, C.; Recino, H. Durability of blended cements made with reactive aggregates. Materials 2021, 14, 2948. [Google Scholar] [CrossRef]
  21. Diliberto, C.; Lecomte, A.; Aissaoui, C.; Mechling, J.-M.; Izoret, L. The incorporation of fine recycled concrete aggregates as a main constituent of cement. Mater. Struct. 2021, 54, 197. [Google Scholar] [CrossRef]
  22. Zhang, G.; Li, G.; He, T. Effects of sulphoaluminate cement on the strength and water stability of magnesium potassium phosphate cement. Constr. Build. Mater. 2017, 132, 335–342. [Google Scholar] [CrossRef]
  23. Ruan, W.; Liao, J.; Li, F.; Gu, X.; Zhou, A.; Xie, Y. Effects of water purifying material waste and red mud on performance of magnesium phosphate cement. Constr. Build. Mater. 2021, 303, 124563. [Google Scholar] [CrossRef]
  24. Liu, Y.; Qin, Z.; Chen, B. Experimental research on magnesium phosphate cements modified by red mud. Constr. Build. Mater. 2020, 231, 117131. [Google Scholar] [CrossRef]
  25. Ma, S.; Cao, Z.; Wei, C.; Shao, Y.; Wu, P.; Zhang, Z.; Liu, X. Red mud-modified magnesium potassium phosphate cement used as rapid repair materials: Durability, bonding property, volume stability and environment performance optimization. Constr. Build. Mater. 2024, 415, 135144. [Google Scholar] [CrossRef]
  26. Ruan, W.; Liao, J.; Mo, J.; Li, F.; Gu, X.; Ma, Y.; Zhu, Y.; Ma, X. Effects of red mud on properties of magnesium phosphate cement-based grouting material and its bonding mechanism with coal rock. Ceram. Int. 2023, 49, 2015–2025. [Google Scholar] [CrossRef]
  27. Liu, J.; Yan, Y.; Li, Z.; Yang, F.; Hai, R. Hardening and microstructural properties of red mud modified magnesium ammonium phosphate cements. J. Build. Eng. 2023, 66, 105849. [Google Scholar] [CrossRef]
  28. ASTM C1585-13; Standard Test Method for Measurement of Rate of Absorption of Water by Hydraulic Cement Concretes. ASTM International: West Conshohocken, PA, USA, 2013.
  29. Hall, C.; Yau, M.H.R. Water movement in porous building materials—IX. The water absorption and sorptivity of concretes. Build. Environ. 1987, 22, 77–82. [Google Scholar] [CrossRef]
  30. Debnath, S.; Saha, A.K.; Mazumder, B.; Roy, A.K. Hydrodynamic dispersion of reactive solute in a Hagen–Poiseuille flow of a layered liquid. Chin. J. Chem. Eng. 2017, 25, 862–873. [Google Scholar] [CrossRef]
  31. ASTM C642-13; Standard Test Method for Density, Absorption, and Voids in Hardened Concrete. ASTM International: West Conshohocken, PA, USA, 2013.
  32. Feng, X.; Yao, J.; Wu, P.; Zhang, S.; Sunahara, G.; Ni, W. Effect of water quenched silicomanganese slag as fine aggregate on mechanical properties and microstructure characteristics of solid waste-based mortar and concrete. J. Build. Eng. 2024, 88, 109115. [Google Scholar] [CrossRef]
  33. Wu, H.; Yang, J.; Xue, K.; Zhang, Y.; Xu, L. Effects of spodumene flotation tailings as aggregates on mechanical properties of cement mortar. Colloids Surf. A Physicochem. Eng. Asp. 2022, 640, 128346. [Google Scholar] [CrossRef]
  34. Ganesan, K.; Kanagarajan, V.; Dominic, J.R.J. Influence of marine sand as fine aggregate on mechanical and durability properties of cement mortar and concrete. Mater. Res. Express 2022, 9, 035504. [Google Scholar] [CrossRef]
  35. Li, X.; Xu, C.; Du, P. The Bond Strength of a Calcium Sulfoaluminate Cement-based Repair Mortar. Ceram. Silik. 2020, 64, 100–106. [Google Scholar] [CrossRef]
  36. Hall, M.; Allinson, D. Influence of cementitious binder content on moisture transport in stabilized earth materials analyzed using 1-dimensional sharp wet front theory. Build. Environ. 2009, 44, 688–693. [Google Scholar] [CrossRef]
Figure 1. Particle size distribution of dead-burned MgO and red mud.
Figure 1. Particle size distribution of dead-burned MgO and red mud.
Buildings 14 02174 g001
Figure 2. Fluidity testing.
Figure 2. Fluidity testing.
Buildings 14 02174 g002
Figure 3. The interfacial bonding strength specimens.
Figure 3. The interfacial bonding strength specimens.
Buildings 14 02174 g003
Figure 4. The setting time and fluidity of RMPM with various A/Bs.
Figure 4. The setting time and fluidity of RMPM with various A/Bs.
Buildings 14 02174 g004
Figure 5. The compressive strength of RMPM with various A/Bs.
Figure 5. The compressive strength of RMPM with various A/Bs.
Buildings 14 02174 g005
Figure 6. The flexural strength of RMPM with various A/Bs.
Figure 6. The flexural strength of RMPM with various A/Bs.
Buildings 14 02174 g006
Figure 7. Effect of A/Bs on water resistance of RMPM.
Figure 7. Effect of A/Bs on water resistance of RMPM.
Buildings 14 02174 g007
Figure 8. Effect of A/Bs on the interfacial bonding strength of RMPM.
Figure 8. Effect of A/Bs on the interfacial bonding strength of RMPM.
Buildings 14 02174 g008
Figure 9. Curves of capillary absorption with time.
Figure 9. Curves of capillary absorption with time.
Buildings 14 02174 g009
Figure 10. Curves of capillary absorption with square root of time.
Figure 10. Curves of capillary absorption with square root of time.
Buildings 14 02174 g010
Figure 11. Capillary absorption coefficient and capillary porosity of RMPM.
Figure 11. Capillary absorption coefficient and capillary porosity of RMPM.
Buildings 14 02174 g011
Figure 12. Fitted relationship between strength retention rate and capillary porosity.
Figure 12. Fitted relationship between strength retention rate and capillary porosity.
Buildings 14 02174 g012
Table 1. The main chemical composition of dead-burned magnesium oxide and red mud.
Table 1. The main chemical composition of dead-burned magnesium oxide and red mud.
MaterialsMgOAl2O3SiO2CaOFe2O3K2ONa2OTiO2P2O5
Dead-burned MgO92.281.141.961.361.45---0.32
Red mud0.6724.8617.6212.7318.652.389.654.781.34
Table 2. Mixtures of RMPM.
Table 2. Mixtures of RMPM.
BatchM + P (w%)M/PW/BA/BsN/M (w%)
RA1853/10.200.412
RA2853/10.200.612
RA3853/10.200.812
RA4853/10.201.012
RA5853/10.201.212
RA6853/10.201.412
Disclaimer/Publisher’s Note: The statements, opinions and data contained in all publications are solely those of the individual author(s) and contributor(s) and not of MDPI and/or the editor(s). MDPI and/or the editor(s) disclaim responsibility for any injury to people or property resulting from any ideas, methods, instructions or products referred to in the content.

Share and Cite

MDPI and ACS Style

Zhang, M.; Zhang, X.; Li, J.; Ma, Y.; Zhu, Z.; Liu, J. Effect of Aggregate-to-Binders Ratio on Water Resistance of Red-Mud-Modified Magnesium Phosphate Repair Mortar. Buildings 2024, 14, 2174. https://doi.org/10.3390/buildings14072174

AMA Style

Zhang M, Zhang X, Li J, Ma Y, Zhu Z, Liu J. Effect of Aggregate-to-Binders Ratio on Water Resistance of Red-Mud-Modified Magnesium Phosphate Repair Mortar. Buildings. 2024; 14(7):2174. https://doi.org/10.3390/buildings14072174

Chicago/Turabian Style

Zhang, Maoliang, Xiaorong Zhang, Jianwei Li, Yan Ma, Zheyu Zhu, and Junxia Liu. 2024. "Effect of Aggregate-to-Binders Ratio on Water Resistance of Red-Mud-Modified Magnesium Phosphate Repair Mortar" Buildings 14, no. 7: 2174. https://doi.org/10.3390/buildings14072174

APA Style

Zhang, M., Zhang, X., Li, J., Ma, Y., Zhu, Z., & Liu, J. (2024). Effect of Aggregate-to-Binders Ratio on Water Resistance of Red-Mud-Modified Magnesium Phosphate Repair Mortar. Buildings, 14(7), 2174. https://doi.org/10.3390/buildings14072174

Note that from the first issue of 2016, this journal uses article numbers instead of page numbers. See further details here.

Article Metrics

Back to TopTop