Seismic Isolation Layout Optimized of Mid-Rise Reinforced Concrete Building Frame Structure
Abstract
1. Introduction
2. Methodology of Seismic Isolation
2.1. Principles of Horizontal Seismic Isolation
2.2. Selection of Seismic Time History
3. Response Analysis of Isolation Structures under Seismic Excitation
3.1. Structural Modeling
3.2. Seismic Isolation Scheme and Selection of Isolation Bearings
3.3. Verification of the Rationality of the Isolation Schemes
4. Comparison and Analysis of Isolation Effects
4.1. Natural Vibration Characteristics of the Structure
4.2. Horizontal Damping Factors
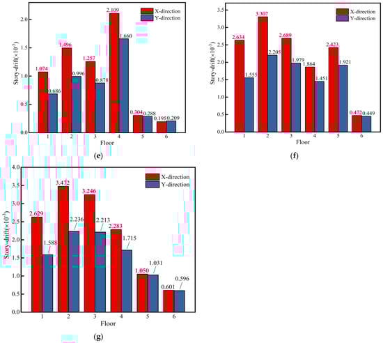
4.3. Inter-Story Drift Angle
5. Conclusions
- (1)
- The position of the isolation layer significantly affects the isolation effectiveness. Placing the isolation layer at the foundation or the top of the first floor yields the most significant isolation effect. Compared to non-isolated structures, the natural period of the base-isolated and first-floor top-isolated structures can be extended by 2.2 times and 2 times, respectively. The damping coefficients can reach 0.35 and 0.36, respectively, and the inter-story drift angles can be reduced by 66% and 67%, respectively.
- (2)
- After setting the isolation layer, the horizontal displacement of the building structure under horizontal seismic excitation is mainly concentrated in the isolation layer, while the horizontal displacement of the structure itself is relatively small.
- (3)
- When the isolation layer is set at a lower position, using isolation bearings with minimal horizontal stiffness can increase the natural period of the isolation layer and the superstructure, allowing the structure to avoid the predominant period of the site, thereby reducing seismic effects.
Author Contributions
Funding
Data Availability Statement
Conflicts of Interest
Appendix A






References
- Su, J.-Y.; Zeng, D.-M. Research and application of seismic isolation of buildings in China. Earthq. Eng. Eng. Dyn. 2001, 21, 94–101. [Google Scholar] [CrossRef]
- Liu, D.R. Research on Parallel Composite Base Isolation System Based on Reactive Spectrum and Sand Cushion Isolation Theory; Hohai University: Nanjing, China, 2007. [Google Scholar]
- Wang, G.H. The Performance-Based Fragility Analysis of Base-Isolated RC Frame Structure; University Of Technology: Lanzhou, China, 2013. [Google Scholar]
- Tsai, H.C.; Kelly, J.M. Seismic Response of Heavily Damped Base-Isolation Systems. Earthq. Eng. Struct. Dyn. 1993, 22, 633–645. [Google Scholar] [CrossRef]
- Okamura, S.; Kamishima, Y.; Negishi, K.; Sakamoto, Y.; Kitamura, S.; Kotake, S. Seismic Isolation Design for JSFR. J. Nucl. Sci. Technol. 2011, 48, 688–692. [Google Scholar] [CrossRef]
- Derham, C.J.; Kelly, J.M.; Thomas, A.G. Nonlinear natural rubber bearings for seismic isolation. Nucl. Eng. Des. 1985, 84, 417–428. [Google Scholar] [CrossRef]
- Huang, J.; Wang, P.; Shi, Q.; Rong, C.; Wang, B. Mechanical Properties and Seismic Loss Assessment of Improved Isolation Bearing with Variable Stiffness. Buildings 2023, 13, 1134. [Google Scholar] [CrossRef]
- Si, M.; Wu, Y.; Xu, H.; Li, A.; Xu, Y.; Lu, S.; Wang, H. The seismic performance evaluation of unbonded laminated rubber bearings with end rotation. Structures 2023, 51, 926–935. [Google Scholar] [CrossRef]
- Wu, Y.; Huang, J.; Lin, S.; Qi, A. Design and application status of seismic isolation constitution of building. China Civ. Eng. J. 2018, 51, 62–73+94. [Google Scholar] [CrossRef]
- Ying, X.; Li, Y.; Li, B.; Sun, L. A new method for vertical damping with TMD system. Earthq. Resist. Eng. Retrofit. 2020, 42, 57–63. [Google Scholar] [CrossRef]
- Chen, B.; Qiu, Y.; Xiong, J.; Liu, Y.; Xu, Y. Seismic Performance and Optimization of a Novel Partial Seismic Isolation System for Frame Structures. Buildings 2022, 12, 876. [Google Scholar] [CrossRef]
- Faiella, D.; Calderoni, B.; Mele, E. Seismic Retrofit of Existing Masonry Buildings through Inter-story Isolation System: A Case Study and General Design Criteria. J. Earthq. Eng. 2022, 26, 2051–2087. [Google Scholar] [CrossRef]
- Faiella, D.; Mele, E. Insights into inter-story isolation design through the analysis of two case studies. Eng. Struct. 2020, 215, 110660. [Google Scholar] [CrossRef]
- Wei, L.; Zhou, F.; Ren, M.; Liu, W.; Tan, P.; Huang, X.; Chen, J. Application of three-dimensional seismic and vibration isolatior to building and site test. Earthq. Eng. Eng. Dyn. 2007, 27, 121–125. [Google Scholar] [CrossRef]
- Zhang, C.W.; Ali, A.; Sun, L. Investigation on low-cost friction-based isolation systems for masonry building structures: Experimental and numerical studies. Eng. Struct. 2021, 243, 112645. [Google Scholar] [CrossRef]
- Abdeddaim, M.; Djerouni, S.; Ounis, A.; Athamnia, B.; Farsangi, E.N. Optimal design of Magnetorheological damper for seismic response reduction of Base-Isolated structures considering Soil-Structure interaction. Structures 2022, 38, 733–752. [Google Scholar] [CrossRef]
- Matsagar Vasant, A.; Jangid, R.S. Base Isolation for Seismic Retrofitting of Structures. Pract. Period. Struct. Des. Constr. 2008, 13, 175–185. [Google Scholar] [CrossRef]
- Yuan, Y.; Wei, W.; Ni, Z. Analytical and experimental studies on an innovative steel damper reinforced polyurethane bearing for seismic isolation applications. Eng. Struct. 2021, 239, 112254. [Google Scholar] [CrossRef]
- Pei, Q.; Qi, P.; Xue, Z.; Zhong, J.; Zhang, Y. Design and Experimental Analysis of Seismic Isolation Bearings for Nuclear Power Plant Containment Structures. Buildings 2023, 13, 2366. [Google Scholar] [CrossRef]
- Chen, X.; Ikago, K.; Guan, Z.G.; Li, J.Z.; Wang, X.W. Lead-rubber-bearing with negative stiffness springs (LRB-NS) for base-isolation seismic design of resilient bridges: A theoretical feasibility study. Eng. Struct. 2022, 266, 114601. [Google Scholar] [CrossRef]
- Dadkhah, H.; Mohebbi, M. A multi-hazard-based design approach for LRB isolation system against explosion and earthquake. Earthq. Struct. 2021, 21, 101–117. [Google Scholar] [CrossRef]
- Shiravand, M.R.; Ketabdari, H.; Rasouli, M. Optimum arrangement investigation of LRB and FPS isolators for seismic response control in irregular buildings. Structures 2022, 39, 1031–1044. [Google Scholar] [CrossRef]
- Zheng, W.Z.; Tan, P.; Li, J.; Wang, H.; Tan, J.J. Sliding-LRB incorporating superelastic SMA for seismic protection of bridges under near-fault earthquakes: A comparative study. Soil Dyn. Earthq. Eng. 2022, 155, 107161. [Google Scholar] [CrossRef]
- Zheng, W.Z.; Wang, H.; Li, J.; Shen, H.J. Parametric Study of Superelastic-Sliding LRB System for Seismic Response Control of Continuous Bridges. J. Bridge Eng. 2020, 25, 04020062. [Google Scholar] [CrossRef]
- Zhou, F.; Zhang, Y.; Tan, P. Theoretical study on story isolation system. China Civ. Eng. J. 2009, 42, 1–8. [Google Scholar]
- Wang, S.-J.; Chang, K.-C.; Hwang, J.-S.; Lee, B.-H. Simplified analysis of mid-story seismically isolated buildings. Earthq. Eng. Struct. Dyn. 2011, 40, 119–133. [Google Scholar] [CrossRef]
- Li, X.-Z.; Ou, H.-L.; Lin, S. Simplified analysis on calculation model of interlayer seismic isolation. Earthq. Eng. Eng. Dyn. 2002, 22, 121–125. [Google Scholar] [CrossRef]
- Murakami, K.; Kitamura, H.; Matsushima, Y. The Prediction for Seismic Responses of the Two-Mass Model with the Mid-Story Isolation System. J. Struct. Constr. Eng. (Trans. AIJ) 2001, 66, 51–58. [Google Scholar] [CrossRef] [PubMed]
- Ryan, K.L.; Earl, C.L. Analysis and Design of Inter-Story Isolation Systems with Nonlinear Devices. J. Earthq. Eng. 2010, 14, 1044–1062. [Google Scholar] [CrossRef]
- Kazemi, F.; Asgarkhani, N.; Jankowski, R. Machine learning-based seismic response and performance assessment of reinforced concrete buildings. Arch. Civ. Mech. Eng. 2023, 23, 94. [Google Scholar] [CrossRef]
- Rayegani, A.; Nouri, G. Seismic collapse probability and life cycle cost assessment of isolated structures subjected to pounding with smart hybrid isolation system using a modified fuzzy based controller. Structures 2022, 44, 30–41. [Google Scholar] [CrossRef]
- Rayegani, A.; Nouri, G. Application of Smart Dampers for Prevention of Seismic Pounding in Isolated Structures Subjected to Near-fault Earthquakes. J. Earthq. Eng. 2022, 26, 4069–4084. [Google Scholar] [CrossRef]
- Rahgozar, N.; Pouraminian, M.; Rahgozar, N. Structural optimization of vertical isolated rocking core-moment frames. J. Vib. Control 2023, 29, 3451–3460. [Google Scholar] [CrossRef]
- Yang, Q.; Rao, C.; He, W.; Liu, W. Study on fundamental mechanic properties for composed bearing with high compression stress. World Earthq. Eng. 2017, 33, 158–165. [Google Scholar]
- GB 50011-2010; Code for Seismic Design of Buildings. The Ministry of Housing and Urban-Rural Development of the People’s Republic of China: Beijing, China, 2010; 499p.
- GB 50009-2012; Load Code for the Design of Building Structures. Ministry of Housing and Urban-Rural Construction of the People’s Republic of China: Beijing, China, 2012; 259p.















| Name | Information of the Seismic Records | PGA (cm/s2) |
|---|---|---|
| Tangshan wave 1 | Tangshan—Beijing Hotel—East–West Direction | 65.94 |
| El Centro wave | El Centro | 341.7 |
| Artificial wave | Artificially simulated seismic acceleration records | 429.19 |
| Tangshan wave 2 | Tangshan—Beijing Hotel—North–South Direction | 55.48 |
| Seismic Wave | El Centro | Artificial Wave | Tangshan Wave 1 | Tangshan Wave 2 | Mean Value | |
|---|---|---|---|---|---|---|
| In X-direction | Time-history analysis (kN) | 9012.74 | 7045.16 | 6948.55 | 16511 | 9879.36 |
| Response spectrum (kN) | 6992.41 | |||||
| Ratio between time-history and response spectrum results | 128.89% | 100.75% | 99.37% | 236.13% | 141.29% | |
| In Y-direction | Time-history analysis (kN) | 11151.17 | 5767.19 | 7017.35 | 7856.23 | 7947.98 |
| Response spectrum (kN) | 7448.71 | |||||
| Ratio between time-history and response spectrum results | 149.71% | 77.00% | 94.00% | 105.00% | 106.70% | |
| Isolation Scheme | ID of Bearings | X-Direction (mm) | Y-Direction (mm) | Allowable Displacement (mm) |
|---|---|---|---|---|
| Base isolation | 9 | 154.66 | 142.31 | 216 |
| 10 | 149.70 | 125.28 | 216 | |
| 11 | 147.38 | 125.50 | 216 | |
| 12 | 142.02 | 126.11 | 216 | |
| First-floor isolation | 9 | 130.81 | 125.93 | 216 |
| 10 | 131.09 | 106.40 | 216 | |
| 11 | 135.99 | 102.36 | 216 | |
| 12 | 135.43 | 120.75 | 216 | |
| Second-floor isolation | 9 | 128.79 | 116.74 | 216 |
| 10 | 130.91 | 108.94 | 216 | |
| 11 | 119.24 | 97.80 | 216 | |
| 12 | 121.13 | 104.75 | 216 | |
| Third-floor isolation | 9 | 193.0 | 172.1 | 216 |
| 10 | 193.1 | 156.6 | 216 | |
| 11 | 194.0 | 159.0 | 216 | |
| 12 | 193.2 | 172.7 | 216 | |
| Fourth-floor isolation | 9 | 156 | 134 | 165 |
| 10 | 150 | 117 | 216 | |
| 11 | 152 | 118 | 165 | |
| 12 | 150 | 129 | 165 | |
| Fifth-floor isolation | 9 | 157.7 | 120.8 | 165 |
| 10 | 160.5 | 104.1 | 165 | |
| 11 | 159.1 | 102.2 | 165 | |
| 12 | 157.1 | 117.2 | 165 |
| Isolation Scheme | Direction | Design Value of Wind Load (kN) | Horizontal Bearing Capacity (kN) |
|---|---|---|---|
| Base isolation | X | 679.04 | 1324.00 |
| Y | 198.05 | 1324.00 | |
| First-floor isolation | X | 562.63 | 1092.06 |
| Y | 164.10 | 1092.06 | |
| Second-floor isolation | X | 446.22 | 849.66 |
| Y | 130.15 | 849.66 | |
| Third-floor isolation | X | 130.15 | 669.84 |
| Y | 329.82 | 669.84 | |
| Fourth-floor isolation | X | 213.41 | 487.44 |
| Y | 62.24 | 487.44 | |
| Fifth-floor isolation | X | 97.01 | 469.20 |
| Y | 28.29 | 469.20 |
| Modal Order | Structural Period before Isolation (s) | Base Isolation (s) | First-Floor Isolation (s) | Second-Floor Isolation (s) | Third-Floor Isolation (s) | Fourth-Floor Isolation (s) | Fifth-Floor Isolation (s) |
|---|---|---|---|---|---|---|---|
| 1 | 0.6416 | 1.6656 | 1.5054 | 1.3189 | 1.1755 | 1.0307 | 0.6843 |
| 2 | 0.5832 | 1.6206 | 1.4715 | 1.2643 | 1.1277 | 0.9955 | 0.6502 |
| 3 | 0.5514 | 1.4925 | 1.3463 | 1.2270 | 1.0910 | 0.9467 | 0.6039 |
| 4 | 0.2172 | 0.3121 | 0.2945 | 0.2330 | 0.2823 | 0.4083 | 0.4588 |
| 5 | 0.1913 | 0.3003 | 0.2830 | 0.2224 | 0.2422 | 0.3595 | 0.4298 |
Disclaimer/Publisher’s Note: The statements, opinions and data contained in all publications are solely those of the individual author(s) and contributor(s) and not of MDPI and/or the editor(s). MDPI and/or the editor(s) disclaim responsibility for any injury to people or property resulting from any ideas, methods, instructions or products referred to in the content. |
© 2024 by the authors. Licensee MDPI, Basel, Switzerland. This article is an open access article distributed under the terms and conditions of the Creative Commons Attribution (CC BY) license (https://creativecommons.org/licenses/by/4.0/).
Share and Cite
Liu, S.; Chen, Z.; Liu, Y. Seismic Isolation Layout Optimized of Mid-Rise Reinforced Concrete Building Frame Structure. Buildings 2024, 14, 2172. https://doi.org/10.3390/buildings14072172
Liu S, Chen Z, Liu Y. Seismic Isolation Layout Optimized of Mid-Rise Reinforced Concrete Building Frame Structure. Buildings. 2024; 14(7):2172. https://doi.org/10.3390/buildings14072172
Chicago/Turabian StyleLiu, Shengkun, Zhidong Chen, and Yongdou Liu. 2024. "Seismic Isolation Layout Optimized of Mid-Rise Reinforced Concrete Building Frame Structure" Buildings 14, no. 7: 2172. https://doi.org/10.3390/buildings14072172
APA StyleLiu, S., Chen, Z., & Liu, Y. (2024). Seismic Isolation Layout Optimized of Mid-Rise Reinforced Concrete Building Frame Structure. Buildings, 14(7), 2172. https://doi.org/10.3390/buildings14072172

