Abstract
This study aims to investigate the impact of moderate and elevated temperatures on compressive strength, mass loss, ultrasonic pulse velocity (UPV), and gas permeability of mortars made using metakaolin (MK) or Ordinary Portland cement (OPC). The geopolymer mortar comprises MK, activated by a solution of sodium hydroxide (SH) and sodium silicate (SS) with a weight ratio of SS/SH equal to 2.5. For most of the tests, the MK and OPC mortar specimens were cured for 7 and 28 days before exposure to elevated temperatures, ranging from 100 °C to 900 °C in increments of 100 °C. In the permeability tests, conducted at temperatures ranging from 100 °C to 300 °C in 50 °C increments, the results revealed significant findings. When exposed to 200 °C, MK geopolymer mortar demonstrated an increase in compressive strength by 83% and 37% for specimens initially cured for 7 and 28 days, respectively. A strong polynomial correlation between UPV and compressive strength in MK mortar was observed. Prior to heat exposure, the permeability of MK mortar was found to be four times lower than that of OPC mortar, and this difference persisted even after exposure to 250 °C. However, at 300 °C, the intrinsic permeability of MK mortar was measured at 0.96 mD, while OPC mortar exhibited 0.44 mD.
1. Introduction
Portland cement-based concrete has been primarily used for 100–150 years in construction for its good mechanical properties, durability, and thermal performance. However, with the urbanization increase, significant pressure affected the cement industry, leading to high energy consumption, natural resource impoverishment, and greenhouse emissions, namely carbon dioxide [1,2]. One ton of ordinary Portland cement (OPC) production releases one ton of carbon dioxide emissions, contributing to about 5–8% of the carbon dioxide threat to global climate change [3]. Another downside of OPC is that prolonged temperature exposure causes physio-chemical changes that diminish strength and durability [4]. Thus, losing the integrity and stability of the cement matrix results in a jeopardized structure or even total collapse. Hence, it is imperative to examine a new solution called green concrete, namely the geopolymer. It is an environmentally friendly and inorganic cement binder substitute that was explored in a new light by Davidovits [5].
Geopolymer, having ceramic-like properties, is formulated from an alkaline solution (hydroxide, silicate) utilizing high aluminosilicate-rich materials like metakaolin (MK), fly ash, and/or slag [6]. Many researchers were interested in studying geopolymers due to their low environmental effect and excellent properties. A zero-cement geopolymer excels environmentally and shows an 80% reduction in carbon dioxide emissions compared to that of OPC [1,2]. Furthermore, geopolymer mortar or concrete with its denser matrix is perceived to enhance thermal stability in contrast to OPC [3,4]. It exhibits advantages over OPC, showing significantly better mechanical and durability properties, e.g., low porosity, sulfate resistance, high early strength gain, and the most crucial property in this study, the high resistance to elevated temperatures [6,7,8].
2. Relevant Literature
Some of the most relevant parameters to be explored after heat or fire exposure include compressive strength, mass loss, and durability indicators, such as gas permeability. A lower degradation in compressive strength was observed for geopolymer materials [4,7]. Indeed, resistance to elevated temperatures varies according to the mix design and the materials comprising both silica and alumina, including industrial waste and natural resources like MK [1,2,3]. A complex interplay unfolds within the geopolymer microstructure as temperatures rise. Between 100 and 300 °C, rapid evaporation of free water occurs, causing potential micro-cracks [4]. Above 200 °C, dehydration expels chemically bound water from the gel phase, primarily sodium aluminosilicate hydrate (N-A-S-H) gel. Additionally, high thermal incompatibility, especially at temperatures beyond 200 °C, between the geopolymer paste and fine aggregates in geopolymer mortar can potentially lead to micro-cracking in the material bulk and at the interfacial transition zone of the paste-aggregates [4]. This can lead to microcracking and pore enlargement, potentially compromising strength and increasing permeability [8,9]. However, even up to 600 °C, further geopolymerization reactions might occur, depending on the specific mix design and heating regime. These reactions can densify the microstructure and counter the negative effects of dehydration, potentially leading to an increase in compressive strength. Beyond 600 °C, thermal decomposition of the gel phase and even the MK itself begins. This can result in significant reductions in strength and increased porosity, rendering the material unsuitable for most service requirements [4,8,9,10].
2.1. Previous Studies on Effect of Temperature on Selected Properties of Geopolymers
Zhang et al. [4] investigated the compressive strengths of OPC and geopolymer mortars based on a 1:1 fly-ash to MK blend before and after exposure to moderate and elevated temperatures ranging from 100 to 700 °C in 200 °C increments. It was observed that the geopolymer mortars exhibited an increase in compressive strength after exposure to 100 °C, but the strength began to diminish within the range of 300–700 °C, with a lower strength degradation rate compared to OPC mortars. However, the mechanical properties after exposure to temperatures of 200, 400, and 600 °C, as well as beyond 700 °C, were not studied. Duan et al. [11] studied the influence of elevated temperatures on the compressive strength of a geopolymer combining fly ash and MK, activated with an alkaline solution and cured by microwave radiation. They observed that compressive strength continued to increase with temperature exposure up to 400 °C. Razak et al. [12] found that for fly ash-based geopolymers, a residual compressive strength increase was attained at a temperature of 500 °C, unlike OPC, which exhibited a strength decrease, indicating more geopolymerization reactions occurring within the geopolymer concrete matrix at higher temperatures. Regarding mass loss, researchers have found that geopolymer mass loss is less than that of OPC due to the decomposition of hydrated and unhydrated compounds beyond 400 °C [13,14]. A summary of the key findings obtained from many research articles [1,2,3,4,6,7,8,10,11,12] on the influence of temperature exposure on selected properties of geopolymers is given in Table 1. It is worth noting that all research gaps are also summarized in the table.
Table 1.
Summary of the findings of previous researchers on the influence of temperature exposure on selected properties of geopolymers.
2.2. Previous Studies on Permeability of Geopolymers
The permeability of materials measures the ease with which aggressive agents, like chlorides and chemicals, infiltrate, or fluids, escape due to pressure gradients in structures requiring tightness. This property is widely studied in OPC-based materials [15,16,17,18] but less so for geopolymers. Permeability can be seen as a durability indicator: lower permeability means reduced penetration by agents, enhancing corrosion resistance, freeze-thaw resistance, and protection against chemical attacks [19,20]. Gas permeability tests are preferred over water permeability tests to avoid interactions between percolating water and material components [16,17]. Analyzing gas permeability is complex because it requires accounting for gas compressibility and the non-viscous flow of gas in tight porous media [15,21]. Gas molecules interacting with pore walls result in slip flow, which affects apparent permeability and is influenced by mean gas pressure. Klinkenberg’s theory states that slip flow and apparent permeability vary linearly with the reciprocal of mean gas pressure [21]. For materials with very small pores or low gas pressures, with Knudsen numbers between 0.1 and 10, gas molecules’ interactions lead to transitional flow [22,23,24,25], making apparent permeability nonlinear and complicating intrinsic permeability determination. The intrinsic permeability of OPC-based materials increases exponentially with temperature, significantly reducing material durability [16,17,18]. Some studies have indicated that geopolymers have lower permeability than OPC-based materials before heat application [26,27,28,29]. Table 2 presents a summary of research findings on the permeability of Portland cement-based materials and geopolymers, along with identified research gaps.
Table 2.
Summary of the findings of previous researchers on permeability.
2.3. Research Gap and Novelty
Numerous studies have been conducted on geopolymers, including those based on MK [1,2], fly ash [6,7,10,12,26,29,30], or a blend of MK and fly ash [3,4,11,31]. However, there is limited information available on the effects of elevated temperatures on the properties of MK-based geopolymer mortar, specifically regarding its gas permeability characteristics, over a wide range of temperatures from ambient to 1000 °C, with increments of 100 °C. Nevertheless, to the best of the authors’ knowledge, there has been no documented research on the gas permeability of geopolymers after exposure to elevated temperatures. As such, this work focuses on the gas permeability of geopolymers incorporating MK after exposure to elevated temperatures.
This study delves into the influence of exposure to moderate and elevated temperatures ranging from 80 to 900 °C on selected properties of MK-based geopolymer mortars: compressive strength, ultrasonic pulse velocity (UPV), mass loss, and gas permeability. The study of the permeability evolution versus the temperature is limited to the temperature range of 80 to 300 °C. Investigating the combined effects of elevated temperatures on compressive strength, UPV, and transfer properties will provide valuable insights into the performance and limitations of MK-based geopolymer mortars. This knowledge will pave the way for their safe and effective utilization in various applications, particularly those involving potential exposure to high temperatures. One control mix based on OPC and another geopolymer mix based on MK are prepared. Different temperatures of a 100 °C increment will be presented, ranging from 100 °C to 500 °C for OPC-based mortars and ranging from 100 to 900 °C for MK-based geopolymer mortar. For the permeability tests, temperatures ranging from 100 to 300 °C with 50 °C increment are particularly considered in this study.
3. Materials and Methods
Two mortar mixes are prepared in this experimental study: a typical OPC-based mortar and a geopolymer MK-based mix that is alkali-activated by an alkaline solution. For both mortars, a ratio by weight between fine aggregates and binder is set equal to 3.
3.1. Materials
3.1.1. Binders
The binders that are used to produce Ordinary Portland cement (OPC) and geopolymer-based mortars are Portland cement conforming to ASTM C150 Type I [32] and MK (MEFISTO K05), respectively. The cement is provided by the Lebanese company for cement Al Sabeh with a specific gravity equal to 3.1. MK is provided by the company České lupkové závody, (MEFISTO K05) of a specific gravity equals to 2.65. Its chemical composition is given in Table 3. The specific surface of this MK is equal to 10,200 , which is much higher compared to the Portland cement-specific surface of around 400 . It is important to shed light on the following: as can be seen in Table 3, MK features a high amount of Silica and Alumina compared to lime, which is a negligible amount.
Table 3.
Chemical Composition by weight of Metakaolin (MEFISTO K05).
3.1.2. Aggregates
Locally graded sand is used as the fine aggregate, with a specific gravity of 2.65, a fineness modulus of 2.8, and an absorption rate of 5%. Figure 1 shows the particle size distribution of used sand. This sand conforms to ASTM C33 specifications for fine aggregates [33].
Figure 1.
Particle size distribution of the sand.
3.1.3. Alkaline solution
The geopolymerization reaction of the geopolymer mortar is catalyzed by alkaline activators consisting of sodium hydroxide () and sodium silicate (). The is obtained by totally dissolving about 640 g within about 500 mL of tap water. The mixture should be stirred occasionally for proper dissolution. The beaker should be placed in a cold water bath due to its exothermic reaction to avoid water evaporation. After totally dissolving and cooling the solution, more water is added to attain 1000 mL of sodium hydroxide solution of molarity, which is equal to 16, it should then be left to cool completely 1 day prior to casting. On the other hand, the sodium silicate (OTERSIL SN40) is acquired locally from the Lebanese company OTERI and is characterized by a specific gravity of 1.41, with and percentages by weight being 8.3 and 27.7%, which form 36% of total solids and a ratio of of 3.3. The mass ratio between sodium hydroxide and sodium silicate is chosen equal to 2.5.
3.2. Mix Design
The mix design for mortars is based on the absolute volume method. Proportions are calculated for 1 of mortar. The water-to-cement ratio for OPC mortar chosen is equal to 0.71 so that the flow table values of both mortars are alike, which was found to be equal to around 17 cm.
3.2.1. OPC Mix Design
Table 4 summarizes the ratios to binder by mass and mixture proportions per 1 for the OPC-based mortar mixture. The masses given in Table 4 for cement and sand are the dry masses. Correction water is added to compensate for the absorption of the Sand.
Table 4.
Ordinary Portland Cement Mortar by Mass Ratios and Proportions per 1 .
3.2.2. Metakaolin-Based Geopolymer Mortar Mix Design
Table 5 summarizes the mass ratios and details for the MK-based geopolymer mortar mixture. It shows the dry mass of geopolymer mortar mixture per 1 . Extra water is added to compensate for the absorption of the Sand. The alkaline solution to metakaolin ratio is 1.2. The alkaline solution is prepared with a molarity of 16 and a ratio of 2.5.
Table 5.
Mass Ratios and Details for Metakaolin-Based Geopolymer Mortar Mixture.
3.3. Mixing, Casting, and Curing
The dry components of the OPC mortar mixture (i.e., Portland cement and sand) are mixed for about 4 to 5 min until a homogenous mixture is achieved. Afterward, the water is added gradually to the mixer while mixing with the dry components for an additional 3 to 4 min until a homogeneous mortar mixture is obtained. The mixture is cast in cubic molds of 50 mm in size for compressive strength, mass loss, and UPV tests. For the permeability tests, cylindrical specimens of 36 mm diameter and 45 mm height are used. Specimens were demolded 24 h after casting, submerged totally in a water tank at ambient temperature, and left for 7 and 28 days to cure for most tests. However, for the permeability tests, the specimens are cured for 28 days.
For the preparation of MK-based geopolymer mortar, the sodium hydroxide solution is prepared 1 day prior to mixing to allow the solution to cool down. The MK-based mortar mix is prepared by initially mixing the dry materials, MK and sand, for 5 min. Then, the sodium hydroxide and sodium silicate solutions are mixed until a homogenous solution is obtained. The solution is added gradually to the dry materials, and the mixing continues for another 5 min. Geopolymer mortar is cast in cubic molds of 50 mm in size for compressive strength, mass loss, and UPV tests and is cast in cylinders of 36 mm diameter and 45 mm height for the permeability test. The top surface is smoothened and wrapped with aluminum foil and left for 48 h to set. Specimens are demolded, collected, and wrapped individually with aluminum foil under ambient conditions. For most tests, the specimens are left to cure for 7 or 28 days of age. However, for the permeability tests, specimens are cured for 28 days.
3.4. Specimens, Testing and Heating Procedure
After initial curing for 7 and 28 days, three OPC and three MK geopolymer cubic specimens of 50 mm length are exposed to elevated temperatures, and their mass, UPV, and compressive strength are determined. The compressive strengths and UPV of mortar specimens are evaluated following the guidelines outlined in BS EN 196-1:2016 [34] and ASTM C597 [35], respectively. Two cylindrical specimens of 36 mm diameter and 45 mm height, cured for 28 days, are used for permeability testing per temperature. All selected properties are assessed initially at 80 °C after complete drying of the specimens and are considered as control values. Elevated temperatures from 100 to about 500 °C with a 100 °C increment are considered for OPC specimens and from 100 to about 900 °C with a 100 °C increment for MK specimens. For the permeability tests, specimens are exposed to temperatures ranging from 100 to about 300 °C with a 50 °C increment. All specimens are heated using an electric oven with an increasing temperature rate of about 9 °C/minute, starting from ambient temperature to the target temperature for two hours. After heat exposure, the specimens were left to cool down to room temperature. Afterward, mass loss, UPV, and compressive strength tests are conducted on cubic specimens, and permeability tests are conducted on cylindrical specimens.
3.5. Permeability Assessment Procedure
To assess the gas permeability, a typical Cembureau permeameter is used [15]. The permeability assessment procedure consists of injecting nitrogen gas from one side of the cylindrical specimen at an absolute pressure ranging from 1.7 to 11.7 bars, which is available in the lab. Five to six different inlet pressures ranging from 4.87 to 10.04 bars were used for each specimen. The gas percolates in the longitudinal direction of the mortar cylindrical specimen due to gas pressure gradient through interconnected pores and pathways like cracks due to heat exposure [16,17]. The gas flows out from the other side of the specimen at an atmospheric pressure of 1.013 bar. The Cembureau permeameter applies a low confining pressure in the radial direction on the lateral surface of the cylindrical specimen to ensure tightness and a unidirectional longitudinal flow. Assuming that the flow is laminar, after ensuring that the steady state is reached and taking into consideration the compressibility of the gas, an apparent permeability can be calculated using Darcy’s law [36] for compressible fluids [15,16,17]. According to the Klinkenberg approach, the gas flow in porous media like mortar is not purely viscous [21]. Thus, the permeability is called apparent and is dependent on the mean gas pressure [21]. In tight porous media, for low mean gas pore pressure and high Knudsen number (0.1 to 10), nonlinear dependency is observed between the apparent permeability and the mean gas pore pressure [20,21,22,23].
Geopolymer specimens L1 and L6 are used to assess the permeability of MK geopolymer mortars for temperature exposure of 80, 100, 200, and 300 °C. Geopolymer specimens L12 and L16 are used to assess the permeability of MK geopolymer mortars for temperature exposure of 150 and 250 °C. Also, two OPC specimens are used to assess permeabilities for temperature exposure of 100, 150, 200, 250, and 300 °C.
4. Results and Discussion
4.1. Compressive Strength
The residual compressive strength of both OPC and MK-based geopolymer mortars at 7 and 28 days of curing after heat exposure for two hours is presented in Figure 2. As shown in Figure 2a,b, elevated temperatures ranging from 100 to 500 °C adversely affect the impact on the compressive strength of OPC mortar. Notably, a slight increase in strength is observed at 100 °C. The adverse effect becomes more pronounced with increasing temperature. The reasons for the strength loss in OPC mortar, such as microstructural degradation, dehydration, and thermal deformations, are extensively documented in the literature [37]. The compressive strength of OPC mortar decreases steadily up to 500 °C, reaching 3.53 MPa with a residual strength decrease of 78.72% at 7 days of curing. Complete failure occurs in OPC mortars at 600 °C for specimens cured for 7 days and at 500 °C for specimens cured for 28 days.
Figure 2.
Residual compressive strength evolution versus temperature.
On the other hand, the compressive strength of MK-based geopolymer mortar demonstrates a significant increase with temperature. For instance, at 7 days of curing, the strength rises from 26.99 MPa at 25 °C to 49.31 MPa at 200 °C, and from 37.25 MPa to 51.16 MPa for 28 days of curing. The compressive strength of MK geopolymer mortars continues to increase with temperatures up to 500 °C for 7 days of curing and up to 300 °C for 28 days of curing. The most notable strength gains occur between 100 and 300 °C. The peak strength for MK geopolymer mortar, observed after exposure to 200 °C, is approximately 183% and 137% higher than the initial strength for 7 and 28 days of curing, respectively. Peak strength values after exposure to 200 °C are similar for both 7 and 28 days of curing, averaging around 50 MPa. This indicates that 7 days of curing followed by heat treatment at 200 °C for two hours is sufficient to achieve the maximum strength of the geopolymer. Notably, even after 28 days of curing, the compressive strength only reaches 37.2 MPa at 25 °C.
The influence of elevated temperature on the compressive strength of MK-based geopolymer mortars can be characterized as follows: In the low-temperature range of 100–200 °C, the highest compressive strength is observed. This enhancement is attributed to improved geopolymerization, increased densification, and better precursor dissolution [2,4,6,7,8,10,11]. The compressive strength of MK-based geopolymer mortar undergoes several changes with increasing temperature. In the intermediate temperature range of 300–500 °C, the compressive strength initially remains high but eventually plateaus. Although geopolymerization persists, its contribution to strength diminishes. Additionally, there may be some softening due to slight increases in pore volume and thermal softening of the gel network [2]. At high temperatures (600–900 °C), the compressive strength steadily decreases. This decline is attributed to amorphization, where the highly ordered geopolymer gel loses its structure and becomes amorphous, reducing its rigidity and strength. Furthermore, higher temperatures can lead to the formation of less stable and weaker secondary crystalline phases within the matrix. Differential thermal expansion behavior can also induce internal stresses and microcracks, compromising the integrity of the mortar structure and further contributing to strength loss [4].
Indeed, while the peak compressive strength of MK-based geopolymer mortar is achieved at lower temperatures, the strength within the low and intermediate temperature range (100–600 °C) remains significantly higher than or equal to the initial compressive strength measured at room temperature (25 °C) without heat exposure. This observation underscores the potential of these temperature ranges for producing geopolymer mortars that are both strong and thermally stable.
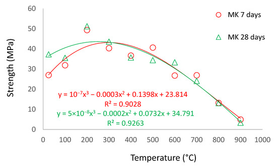
Figure 3 presents the correlation between compressive strength and temperature for MK-based geopolymer mortar at curing ages of 7 and 28 days. The experimental data are well-represented by a third-degree polynomial function, with R2 values exceeding 0.9 for 7 days of curing and 0.92 for 28 days of curing. Notably, an increase in compressive strength and an inflection point are observed in the temperature range of 500–600 °C, which may be attributed to further delayed geopolymerization occurring within this range.
Figure 3.
Correlation of Strength (MPa) with Temperature (℃) for MK geopolymer mortars.
4.2. Mass Loss
The masses of the specimens are taken before and after heat exposure to assess the % of mass loss caused by the impact of the elevated temperatures. Figure 4a,b gives the values of % mass loss for OPC and MK specimens for 7 and 28 days of curing ages, respectively. The OPC specimens with curing ages of 7 and 28 days are similarly affected by heat, leading to mass loss as the constituents within the mortar undergo changes. Initially, mass loss in OPC mortar specimens can be attributed to the evaporation of free and bound water, which occurs at temperatures higher than 100 °C [4,6]. The higher percentage of mass loss observed beyond 200 °C, depicted in Figure 4, is attributed to the decomposition of hydrated and unhydrated compounds [2,4,10].
Figure 4.
Mass Loss (%) evolution with Temperature (°C): (a) 7 days curing; (b) 28 days curing.
Figure 4a,b illustrates an increase in mass loss percentage for MK-based geopolymer mortar between temperatures of 100 °C and 300 °C. Beyond 400 °C, the mass loss percentage shows minimal variation up to approximately 900 °C. The primary reason for mass loss between 100 °C and 300 °C is the evaporation of both free and chemically bound water [4]. The relatively stable mass loss percentage beyond 300 °C may be attributed to a slow dihydroxylation reaction among the geopolymer chains [4] or a delayed geopolymerization process, resulting in a denser matrix with reduced mass loss [2,4,6].
4.3. Ultrasonic Pulse Velocity (UPV)
The results of the UPV tests for the MK geopolymer mortar specimens after fire exposure at different curing ages (7 and 28 days) are shown in Figure 5. The UPV test reflects the material’s density, stiffness, porosity distribution, and defects. Higher UPV values indicate better material quality and vice versa. Initially, at 25 °C, the UPV values are 2.98 km/s and 2.92 km/s for 7 and 28 days of curing, respectively. The UPV evolutions versus temperature are generally consistent with those of compressive strength. A slight decrease in UPV is observed at 100 °C, which may be attributed to water evaporation from the material pores, as water has a higher sound wave velocity compared to air. A peak in UPV is observed at 200 °C, attributed to the further geopolymerization process.
Figure 5.
Variation of the UPV with the increase in temperature °C, 7 and 28 days curing.
Beyond 200 °C, the UPV continuously decreases, reflecting the trend observed in compressive strength. An inflection point is noted in the UPV evolution within the 500–600 °C temperature range (see Section 3.1 for further details). Third-degree polynomial functions fitting the UPV data exhibit R2 values greater than 0.97 for both curing ages, as shown in Figure 5. Additionally, clear correlations exist between the compressive strength and the UPV of the material for the two curing ages (7 and 28 days), as illustrated in Figure 6. These correlations are also modeled using third-degree polynomial functions with R2 values exceeding 0.95. Practically, the derived mathematical expressions can be employed to estimate the compressive strength of similar MK-based geopolymer mortars by measuring the UPV of the material after heat exposure.
Figure 6.
Correlations between Strength and UPV for 7 and 28 days of curing.
4.4. Discoloration of MK Geopolymer Mortar Specimens
Table 6 presents photos of MK-based geopolymer mortar cubic specimens after heat exposure at temperatures ranging from 100 to 900 °C. For both curing periods (7 and 28 days), the specimens exhibit a light brown color before any heat treatment. Up to 300 °C, this light brown color remains unchanged. Beyond 300 °C, the specimens’ color gradually darkens and shifts to a pinkish hue, continuing until 500–600 °C. At higher temperatures, more pronounced color changes are observed: the color turns red, darkening further with increasing temperature until it reaches an orange hue at 900 °C. The reddish color is attributed to the oxidation of iron within the fine aggregates [8] and the metakaolin, as well as the significant decomposition of the geopolymer network [38].
Table 6.
Discoloration of MK-based geopolymer mortar after heat exposure.
No visible cracking appeared in the MK-based geopolymer mortar until 700 °C, at which point cracks initiated with minimal spalling. This is due to the high-temperature differential between the surface and the core of the specimen, leading to thermal cracking [4,11,38]. Similar visual observations were reported in a study on the behavior of MK-based geopolymer concrete at ambient and elevated temperatures [2].
4.5. Transfer Properties (Gas Permeability)
4.5.1. Analysis of Apparent Permeability
The apparent permeability results, given in millidarcy (mD), versus the reciprocal of mean pressure for MK geopolymer specimens dried at 80 °C and for MK geopolymer specimens heated at temperatures between 100 and 200 °C are shown in Figure 7a and between 250 and 300 °C in Figure 7b. Figure 8a depicts the apparent permeability results versus the reciprocal of mean pressure for OPC specimens. It can be observed that with the increase in temperature, the apparent permeability becomes higher for both OPC and MK mortars. Furthermore, the evolution of the apparent permeability is found to be nonlinear with respect to the gas mean pressure for all specimens as shown in Figure 7 and Figure 8a. As reported in [22,23,24,25], when gas flows in multiscale micro-pores and nano-pores, and for low mean gas pressure and high Knudsen number (0.1 to 10), the flow regime is defined as transition flow, in which the slip effect on the pore wall becomes more pronounced. For instance, Hu et al. [23] observed that the apparent permeability of shale evolved linearly, with the mean gas pressure only beyond 50 bars. The apparent permeabilities shown in the figures are found to evolve exponentially with the reciprocal of mean pressure. Exponential fittings are obtained with > 0.97 for all cases. Theoretically, the intersection of the curves shown in Figure 7 and Figure 8a with the vertical axis should give the intrinsic permeabilities of the materials, which are independent of the fluid type and gas pressure.
Figure 7.
Apparent permeability evolutions versus the inverse of mean pressure of the following: (a) Geopolymer specimens after temperature exposure ranging from 80 to 200 °C; (b) Geopolymer specimens after temperature exposure of 250 and 300 °C.
Figure 8.
(a) Apparent permeability evolutions versus the inverse of mean pressure for OPC specimens subjected to temperature exposure ranging from 100 to 300 °C. (b) Slip factor evolutions of OPC and MK-based mortars versus temperature.
Moreover, the rate of change of the exponential can be regarded as the slip factor. Figure 8b gives the slip factor b in bars. By comparing OPC and MK transfer properties, it could be noticed that initially, at 100 °C, the apparent permeability of MK mortar is significantly lower, whereas the slip factor is higher. This is attributed to the denser pore size for MK geopolymer mortars compared to OPC mortars. Indeed, Yang et al. [39] performed pore size distribution and porosity tests for MK and OPC-based pastes of the same strength level. It was shown that MK-based geopolymer paste displays a single peak in the pore size distribution curve and that it exhibits an average pore diameter of less than 50 nm, whereas OPC-based paste exhibits a larger average pore diameter falling between 50 and 100 nm. Moreover, the pore size distribution of MK-based geopolymer paste ranges from 0 to 100 nm only, while for OPC-based paste, it is distributed within 1000 nm. They have also found that MK-based geopolymer paste gives a higher total porosity (40%) compared to OPC-based paste (25%). It is worth noting that the slip factor for temperatures between 100 and 300 °C does not seem to change with the temperature for OPC-based mortars. This may be attributed to the fact that initially, the apparent permeability at 100 °C of OPC-based mortars is much higher than MK-based geopolymer mortars, as can be seen in Figure 7a and Figure 8a. This means that at 100 °C, microcracking in OPC-based mortars is already initiated and propagated. Moreover, thermal expansion, stresses due to hydration products, and water evaporation all lead to micro-cracking and/or pores enlargement, which yields high permeability and low slip factor at 100 °C. Further heat at temperatures beyond 100 °C does not affect the slip flow of OPC-based mortars but only the viscous part of the flow. However, for MK-based geopolymer mortars, the interplay between dehydration, potential further geopolymerization, and thermal expansion can lead to a complex influence on slip flow. As shown in Figure 8b, the slip factor b for MK-based geopolymer mortars exhibits a non-monotonic behavior of decrease–increase–decrease. In fact, slip flow initially decreases due to a significant increase in pore size from dehydration, which is slowed down due to the occurrence of further geopolymerization. Therefore, it increases after 200 °C, followed by another slight decrease at higher temperatures due to micro-crack formation caused by thermal stresses.
4.5.2. Apparent and Intrinsic Permeability Versus Temperature
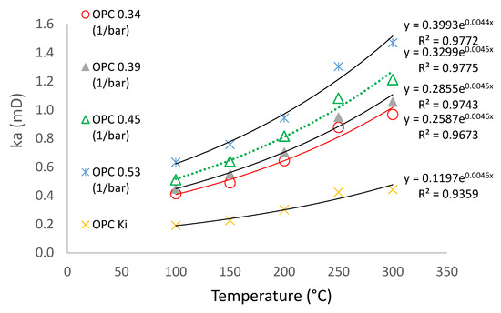
Figure 9 shows the evolutions of the apparent and intrinsic permeabilities of OPC mortars versus temperature for various mean gas pressures. The permeability of OPC mortars increases exponentially with the temperature. This behavior is already widely reported in the literature for OPC concrete [16,17,18,40,41]. Expectedly, the apparent permeability is higher for the higher reciprocal of mean gas pressure since the slip effect is more pronounced. Exponential fittings of the apparent permeability evolutions versus temperature are given in Figure 8 with R2 > 0.96. The intrinsic permeability of OPC mortar is found to be equal to 0.192 mD at 100 °C, which is very close to the value obtained in [42] where a similar mortar mixture was tested. The rate of change is found to be equal to approx. 0.0045 . It can be deducted from the results that after exposure to 300 °C, the permeability, whether intrinsic or apparent for any reciprocal mean gas pressure, has increased by only a factor of approx. 2.3 with respect to the initial correspondent permeability at 100 °C.
Figure 9.
Apparent permeabilities of OPC mortars versus temperature for various mean gas pressures.
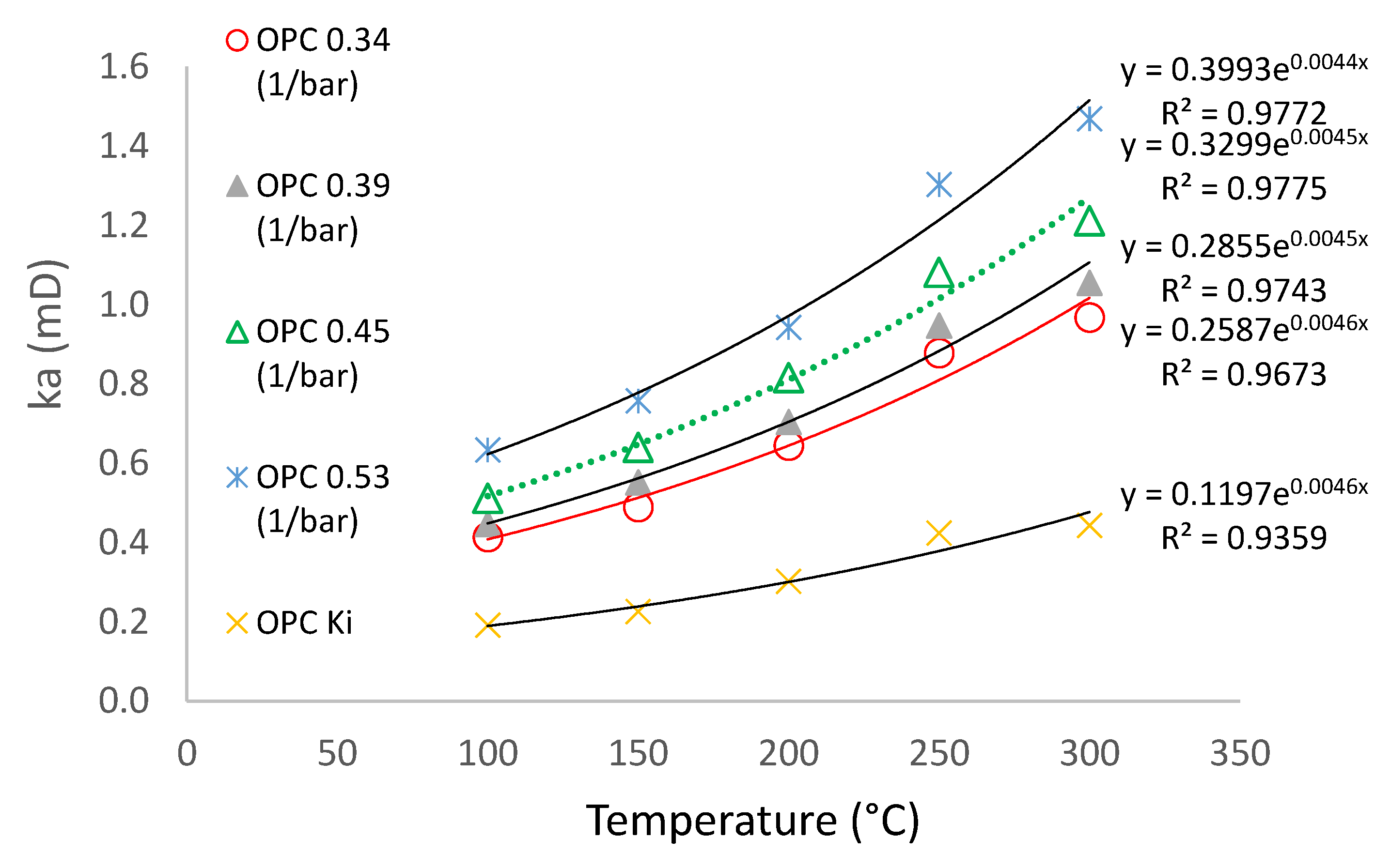
Figure 10 shows the evolutions of the apparent and intrinsic permeabilities of MK geopolymer mortars versus temperature for various mean gas pressures. Expectedly, the apparent permeability is higher for the higher reciprocal of mean gas pressure since the slip effect is more pronounced. The apparent permeability initially after drying at 80 °C is found to be 0.11 mD to 0.28 mD for the reciprocal of mean gas pressure of 0.34 to 0.53 respectively. Figure 10 gives the intrinsic permeability evolutions of MK and OPC-based mortars versus temperature. The initial intrinsic permeability of MK-based mortars is found to be equal to only 0.02 mD after drying at 80 °C and to be equal to 0.05 mD after exposure to a temperature of 100 °C, almost 4 times lower compared to the initial intrinsic permeability of OPC-based mortars at 100 °C (0.192 mD). This is attributed to the initial pore size distribution, which is limited to 100 nm for geopolymer pastes, while it is extended to 1000 nm for OPC paste [39]. Pasupathy et al. [43] also reported that fly ash-based geopolymer concrete contained 62% mesopores (1.25–25 nm), 19% macropores (25–5000 nm), and 19% air voids/cracks (5000–50,000 nm) whereas ordinary concrete contained 12% mesopores, 48% macropores and 39.2% air voids/cracks.
Figure 10.
Apparent permeabilities of MK geopolymer mortars versus temperature for various mean gas pressures.
The behavior of apparent and intrinsic permeability of MK-based mortar, unlike OPC-based mortar, does not show an exponential evolution, as observed in Figure 10 and Figure 11. It can be described as follows: Unexpectedly, unlike UPV and compressive strength of MK-based mortar, the apparent or intrinsic permeability evolution versus temperature was found to be continuously non-decreasing (except from 80 to 100 °C, where apparent permeability in some cases slightly decreased). Between 80 and 200 °C, an interplay between enhanced geopolymerization on one side [6,10,11,12,13] and dehydration [4], pores interconnection by forming new routes [44,45], and micro-cracks generation due to thermal stresses on the other side [46], yields a slower increase in permeability. At 200 °C, the behavior shows an inflection point where the permeability starts to decrease rapidly (like an exponential increase) attributed to less contribution of the geopolymerization and an increase in the thermal stresses, potentially leading to pores enlargement, interconnection, and new micro-cracks. Compared to OPC-based mortar, MK-based mortar’s intrinsic permeability (see Figure 11) tends to increase at a higher rate, especially beyond 200 °C. This could be attributed to higher initial pore size for OPC, which facilitates the release of internal vapor pressure that builds up during heating, thus yielding a lower sensitivity to temperature [39]. The intrinsic permeability of MK-based mortars after exposure to heat at a temperature of 300 °C has become equal to 0.96 mD. It has increased by only a factor of approx. 19 with respect to the initial intrinsic permeability at 100 °C. Nevertheless, it is remarkable that in the range of low to moderate temperatures (80 to 250 °C), the intrinsic permeability of MK-based geopolymer mortars is still lower or equal compared to OPC-based mortar permeability (see Figure 11). From the obtained results, it can be deduced that exposing geopolymer to heat at temperatures between 100 and 200 °C can be regarded as curing temperature from the strength enhancement point of view. Nevertheless, the durability of MK-based geopolymer mortars is adversely affected by the influence of the temperature. A compromise between strength and durability can be made by choosing an intermediate temperature in the range of 100 to 200 °C. Finally, third polynomial functions best fit the obtained apparent and intrinsic permeabilities with > 0.99 for most cases, as shown in Figure 10 and Figure 11.
Figure 11.
Intrinsic permeabilities of OPC and MK geopolymer mortars versus temperature.
5. Practical Applications and Use of the Data
While MK-based geopolymer mortars may currently be more expensive compared to OPC mortar, it is important to consider the potential long-term cost savings. Geopolymer mortars have a lower carbon footprint than OPC mortars, which reflects positively on the environment on the one hand and can lead to cost savings in the form of carbon taxes or credits on the other hand. The durability of MK geopolymers is significantly superior. Geopolymer mortars can be more resistant to fire, chemicals, and corrosion, which can reduce maintenance costs over time. Moreover, some geopolymer mortars can incorporate recycled materials, further reducing costs and environmental impact. Not to mention that, as technology advances and production becomes more efficient, geopolymer mortars are expected to become more cost competitive. When considering the long-term costs and environmental benefits, geopolymer mortars can be a valuable alternative to traditional OPC mortars.
MK-based geopolymer mortars with fire resistance, excellent mechanical properties, and low permeability can be employed in a variety of applications. Due to its high thermal stability even up to very high temperatures, MK geopolymer mortars may be used for fire protection, as in the following:
- Masonry chimneys and flues in which the mortar needs to withstand high temperatures from burning fuel.
- Firewalls and compartmentation walls that separate different areas of a building to contain fires. The mortar needs to maintain its integrity and bond the bricks or blocks together.
- Industrial furnaces and kilns in which mortars must handle extreme heat without degrading or failing.
Given their very low permeability, MK geopolymer mortars can be applied to the following:
- Exterior brick and stonework to prevent water infiltration, protecting the masonry from damage caused by moisture, freezing, and salt erosion.
- Basements and foundations, to prevent water seepage and dampness in below-ground structures.
- Swimming pools and water features in which mortars are required to be resistant to water penetration and chemical erosion from pool chemicals.
Another suitable application is the geological sequestration of carbon dioxide to maintain wellbore integrity by zonal isolation. OPC-based mortars have been used in injection wells and have been recorded to undergo degradation and are unstable under CO2-rich down-hole conditions. Given the thermal stability of MK-based geopolymer mortars, their excellent mechanical properties, and their low permeability, especially in the temperature range up to 200 °C, they are nominated and regarded as an excellent candidate.
6. Conclusions
This paper investigated the mechanical and transfer properties of MK-based geopolymer mortar, focusing on compressive strength, mass loss, UPV, and discoloration. The study examined these properties before and after exposure to elevated temperatures up to 900 °C for mechanical properties and up to 300 °C for transfer properties. The main findings can be summarized as follows:
- MK-based geopolymer mortars possess better compressive strength and thermal stability than OPC-based mortars after exposure to elevated temperatures.
- MK-based geopolymer mortars retained their initial strength after exposure to temperatures in the range of 600–700 °C, whereas OPC-based mortars completely lost their strength after exposure to temperatures in the range of 500–600 °C.
- The compressive strength peak for MK-based geopolymer mortars is achieved after exposure to 200 °C. This can be attributed to increased geopolymerization occurring after 28 days of curing, followed by heat treatment, ideally at 200 °C.
- The mass loss evolution with temperature exposure for both OPC and MK-based geopolymer mortars is found to be similar. Most of the mass loss occurs in the temperature range of 100–200 °C, primarily due to the evaporation of free and bound water.
- UPV is found to be correlated with the compressive strength of MK-based geopolymer mortar.
- The initial intrinsic permeability of MK-based geopolymer mortars is found to be significantly lower, at 3.84 units, compared to that of OPC-based mortars after exposure to a temperature of 100 °C.
- In OPC-based mortar, the permeability shows an exponential increase with temperature. In contrast, MK-based mortars exhibit a continuous increase in permeability, albeit at a slower rate between 100 and 200 °C. Beyond 200 °C, the permeability of MK-based mortars begins to increase exponentially. This indicates that MK-based mortars are significantly more thermally sensitive in terms of permeability compared to OPC mortar.
Finally, it can be concluded that MK-based geopolymer mortars are found to be a superior replacement for OPC-based mortars, given the thermal stability of MK-based geopolymer mortars, their excellent mechanical properties, and their low permeability. Further work could be dedicated to exploring the mechanical and transfer properties of other OPC-based and geopolymer-based mixes. The heating rate and sealing conditions’ effects on both mechanical and transfer properties must also be assessed.
Author Contributions
Conceptualization, M.E.E.D.; Methodology, M.E.E.D.; Validation, M.E.E.D.; Formal analysis, L.H.; Investigation, M.E.E.D. and L.H.; Resources, M.E.E.D., L.H. and J.M.K.; Data curation, L.H.; Writing—original draft, M.E.E.D. and L.H..; Writing—review & editing, M.E.E.D., A.E.-M. and J.M.K.; Visualization, M.E.E.D. and L.H.; Supervision, M.E.E.D. and J.M.K.; Project administration, J.M.K.; Funding acquisition, J.M.K. All authors have read and agreed to the published version of the manuscript.
Funding
This research received no external funding.
Data Availability Statement
The original contributions presented in the study are included in the article, further inquiries can be directed to the corresponding authors. Data available on request due to privacy.
Conflicts of Interest
The authors declare no conflict of interest.
References
- Akarken, G.; Cengiz, U. Fabrication and characterization of metakaolin-based fiber reinforced fire resistant geopolymer. Appl. Clay Sci. 2023, 232, 106786. [Google Scholar] [CrossRef]
- Albidah, A.; Alqarni, A.S.; Abbas, H.; Almusallam, T.; Al-Salloum, Y. Behavior of Metakaolin-Based geopolymer concrete at ambient and elevated temperatures. Constr. Build. Mater. 2022, 317, 125910. [Google Scholar] [CrossRef]
- Zhang, H.Y.; Qiu, G.H.; Kodur, V.; Yuan, Z. Spalling behavior of metakaolin-fly ash based geopolymer concrete under elevated temperature exposure. Cem. Concr. Compos. 2020, 106, 103483. [Google Scholar] [CrossRef]
- Zhang, H.Y.; Kodur, V.; Wu, B.; Cao, L.; Wang, F. Thermal behavior and mechanical properties of geopolymer mortar after exposure to elevated temperatures. Constr. Build. Mater. 2016, 109, 17–24. [Google Scholar] [CrossRef]
- Davidovits, J. Geopolymers. J. Therm. Anal. 1991, 37, 1633–1656. [Google Scholar] [CrossRef]
- Razak, S.N.A.; Shafiq, N.; Guillaumat, L.; Farhan, S.A.; Kumar, V. Fire-Exposed Fly-Ash-Based Geopolymer concrete: Effects of burning temperature on mechanical and microstructural properties. Materials 2022, 15, 1884. [Google Scholar] [CrossRef] [PubMed]
- Zhao, J.; Wang, K.; Wang, S.; Wang, Z.; Yang, Z.; Gong, X. Effect of elevated temperature on mechanical properties of High-Volume Fly Ash-Based geopolymer concrete, mortar and paste cured at room temperature. Polymers 2021, 13, 1473. [Google Scholar] [CrossRef] [PubMed]
- De Oliveira, L.B.; De Azevedo, A.R.G.; Marvila, M.T.; Pereira, E.C.; Fediuk, R.; Vieira, C.M.F. Durability of geopolymers with industrial waste. Case Stud. Constr. Mater. 2022, 16, e00839. [Google Scholar] [CrossRef]
- Amran, M.; Huang, S.; Debbarma, S.; Rashid, R.S.M. Fire resistance of geopolymer concrete: A critical review. Constr. Build. Mater. 2022, 324, 126722. [Google Scholar] [CrossRef]
- Yang, Z.; Mocadlo, R.; Zhao, M.; Sisson, R.D.; Tao, M.; Liang, J. Preparation of a geopolymer from red mud slurry and class F fly ash and its behavior at elevated temperatures. Constr. Build. Mater. 2019, 221, 308–317. [Google Scholar] [CrossRef]
- Duan, P.; Yan, C.; Zhou, W.; Luo, W.; Shen, C. An investigation of the microstructure and durability of a fluidized bed fly ash–metakaolin geopolymer after heat and acid exposure. Mater. Eng. 2015, 74, 125–137. [Google Scholar] [CrossRef]
- Razak, S.N.A.; Shafiq, N.; Nikbakht, E.; Mohammed, B.S.; Guillaumat, L.; Farhan, S.A. Fire performance of fly-ash-based geopolymer concrete: Effect of burning temperature on mechanical and microstructural properties. Mater. Today Proc. 2022, 66, 2665–2669. [Google Scholar] [CrossRef]
- Razak, S.N.A.; Shafiq, N.; Guillaumat, L.; Wahab, M.M.A.; Farhan, S.A.; Husna, N.; Ismail, F.I. Fire performance of Fly Ash-Based Geopolymer concrete: Effect of burning temperature. IOP Conf. Ser. Earth Environ. Sci. 2021, 945, 012062. [Google Scholar] [CrossRef]
- Zhang, H.; Sarker, P.K.; Wang, H.; He, B.; Kuri, J.C.; Jiang, Z. Comparison of compressive, flexural, and temperature-induced ductility behaviours of steel-PVA hybrid fibre reinforced OPC and geopolymer concretes after high temperatures exposure. Constr. Build. Mater. 2023, 399, 132560. [Google Scholar] [CrossRef]
- Picandet, V.; Khelidj, A.; Bellegou, H. Crack effects on gas and water permeability of concretes. Cem. Concr. Res. 2009, 39, 537–547. [Google Scholar] [CrossRef]
- Ezzedine El Dandachy, M.; Briffaut, M.; Pont, S.D.; Dufour, F. Induced Anisotropic Gas Permeability of Concrete due to Coupled Effect of Drying and Temperature. Key Eng. Mater. 2016, 711, 871–878. [Google Scholar] [CrossRef]
- Choińska, M.; Khelidj, A.; Chatzigeorgiou, G.; Pijaudier-Cabot, G. Effects and interactions of temperature and stress-level related damage on permeability of concrete. Cem. Concr. Res. 2007, 37, 79–88. [Google Scholar] [CrossRef]
- Hager, I.; Tracz, T.; Choińska, M.; Mróz, K. Effect of cement type on the mechanical behavior and permeability of concrete subjected to high temperatures. Materials 2019, 12, 3021. [Google Scholar] [CrossRef]
- Hachem, Y.; Dandachy ME, E.; Khatib, J. Physical, Mechanical and transfer Properties at the Steel-Concrete Interface: A review. Buildings 2023, 13, 886. [Google Scholar] [CrossRef]
- Bouhjiti, D.E.-M.; Ezzedine El Dandachy, M.; Dufour, F.; Dal Pont, S.; Briffaut, M.; Baroth, J.; Masson, B. New Continuous Strain-Based Description of Concrete’s Damage-Permeability Coupling. Int. J. Numer. Anal. Methods Geomech. 2018, 42, 1671–1697. [Google Scholar] [CrossRef]
- Klinkenberg, L.J. The Permeability of Porous Media to Liquids and Gases. In Drilling and Production Practice; API-41-200; American Petroleum Institute: New York, NY, USA, 1 January 1941. [Google Scholar]
- Fathi, E.; Tinni, A.; Akkutlu, I.Y. Correction to Klinkenberg slip theory for gas flow in nano-capillaries. Int. J. Coal Geol. 2012, 103, 51–59. [Google Scholar] [CrossRef]
- Hu, Z.; Duan, X.; He, Y.; Wu, J.; Chang, J.; Liu, L.; Wu, K.; Ma, Z. Influence of reservoir primary water on shale gas occurrence and flow capacity. Nat. Gas Ind. B 2019, 6, 71–78. [Google Scholar] [CrossRef]
- Li, Z.; Wang, A.; Li, L.; Li, J.; Zhang, N.; Jin, K.; Chang, J. Influence mechanism of gas pressure on multiscale dynamic Apparent Diffusion-Permeability of coalbed methane. ACS Omega 2023, 8, 35964–35974. [Google Scholar] [CrossRef] [PubMed]
- Wang, J.; Yu, L.; Yuan, Q. Experimental study on permeability in tight porous media considering gas adsorption and slippage effect. Fuel 2019, 253, 561–570. [Google Scholar] [CrossRef]
- Nasvi, M.; Ranjith, P.; Sanjayan, J.; Bui, H.H. Effect of temperature on permeability of geopolymer: A primary well sealant for carbon capture and storage wells. Fuel 2014, 117, 354–363. [Google Scholar] [CrossRef]
- Liang, X.; Ji, Y. Mechanical properties and permeability of red mud-blast furnace slag-based geopolymer concrete. SN Appl. Sci. 2021, 3, 23. [Google Scholar] [CrossRef]
- Van Den Heede, P.; Gruyaert, E.; De Belie, N. Transport properties of high-volume fly ash concrete: Capillary water sorption, water sorption under vacuum and gas permeability. Cem. Concr. Compos. 2010, 32, 749–756. [Google Scholar] [CrossRef]
- Sitarz, M.; Choińska, M.; Hager, I.; Khelidj, A. Mechanical behaviour and permeability of geopolymer mortars. MATEC Web Conf. 2020, 322, 01043. [Google Scholar] [CrossRef]
- Sagoe–Crentsil, K.; Brown, T.; Yan, S.Q. Medium to long term engineering properties and performance of High-Strength geopolymers for structural applications. Adv. Sci. Technol. 2010, 69, 135–142. [Google Scholar] [CrossRef]
- Barbhuiya, S.; Pang, E. Strength and Microstructure of Geopolymer Based on Fly Ash and Metakolin. Materials 2022, 15, 3732. [Google Scholar] [CrossRef]
- ASTM C150/C150M-20; Standard Specification for Portland Cement. ASTM International: West Conshohocken, PA, USA, 2020. [CrossRef]
- ASTM C33/C33M-18; Standard Specification for Concrete Aggregates. ASTM International: West Conshohocken, PA, USA, 2003. [CrossRef]
- BS EN 196-1:2016; Methods of Testing Cement Determination of Strength. British Standards Institution: Cambridge, UK, 2016.
- ASTM C597-22-22; Standard Test Method for Ultrasonic Pulse Velocity through Concrete. ASTM International: West Conshohocken, PA, USA, 2022. [CrossRef]
- Darcy, H. Les Fontaines Publiques de la Ville de Dijon; Dalmont: Paris, France, 1856; 647p. [Google Scholar]
- Lion, M.; Skoczylas, F.; Lafhaj, Z.; Sersar, M. Experimental study on a mortar. Temperature effects on porosity and permeability. Residual properties or direct measurements under temperature. Cem. Concr. Res. 2005, 35, 1937–1942. [Google Scholar] [CrossRef]
- Gambo, S.; Ibrahim, K.; Aliyu, A.M.; Ibrahim, A.; Abdulsalam, H. Performance of metakaolin based geopolymer concrete at elevated temperature. Niger. J. Technol. 2020, 39, 732–737. [Google Scholar] [CrossRef]
- Yang, Y.; Wang, B.; Yuan, Q.; Huang, D.; Peng, H. Characterization, factors, and fractal dimension of pore structure of fly ash-based geopolymers. J. Mater. Res. Technol. 2023, 26, 3395–3407. [Google Scholar] [CrossRef]
- Pont, S.D.; Schrefler, B.A.; Ehrlacher, A. Intrinsic Permeability evolution in High Temperature Concrete: An Experimental and Numerical analysis. Transp. Porous Media 2005, 60, 43–74. [Google Scholar] [CrossRef]
- Gawin, D.; Alonso, C.; Andrade, C.; Majorana, C.; Pesavento, F. Effect of damage on permeability and hygro-thermal behaviour of HPCs at elevated temperatures: Part 1. Experimental results. Comput. Concr. Int. J. 2005, 2, 189–202. [Google Scholar] [CrossRef]
- Ezzedine El Dandachy, M.; Briffaut, M.; Dufour, F.; Pont, S.D. An original semi-discrete approach to assess gas conductivity of concrete structures. Int. J. Numer. Anal. Methods Geomech. 2016, 41, 940–956. [Google Scholar] [CrossRef]
- Pasupathy, K.; Berndt, M.; Sanjayan, J.; Rajeev, P.; Cheema, D.S. Durability of low-calcium fly ash based geopolymer concrete culvert in a saline environment. Cem. Concr. Res. 2017, 100, 297–310. [Google Scholar] [CrossRef]
- He, R.; Dai, N.; Wang, Z. Thermal and mechanical properties of geopolymers exposed to high temperature: A literature review. Adv. Civ. Eng. 2020, 2020, 7532703. [Google Scholar] [CrossRef]
- Hager, I.; Sitarz, M.; Mróz, K. Fly-ash based geopolymer mortar for high-temperature application—Effect of slag addition. J. Clean. Prod. 2021, 316, 128168. [Google Scholar] [CrossRef]
- Kong, D.L.; Sanjayan, J.G. Effect of elevated temperatures on geopolymer paste, mortar and concrete. Cem. Concr. Res. 2010, 40, 334–339. [Google Scholar] [CrossRef]
Disclaimer/Publisher’s Note: The statements, opinions and data contained in all publications are solely those of the individual author(s) and contributor(s) and not of MDPI and/or the editor(s). MDPI and/or the editor(s) disclaim responsibility for any injury to people or property resulting from any ideas, methods, instructions or products referred to in the content. |
© 2024 by the authors. Licensee MDPI, Basel, Switzerland. This article is an open access article distributed under the terms and conditions of the Creative Commons Attribution (CC BY) license (https://creativecommons.org/licenses/by/4.0/).






























