Indoor Air Quality and Personnel Satisfaction in Different Functional Areas of Semi-Underground Buildings
Abstract
1. Introduction
2. Methods
2.1. Survey Site
2.2. Testing Content
2.3. Testing Instruments
2.4. Evaluation Criteria
2.4.1. Pollutant Standards
2.4.2. Subjective Questionnaire
3. Results and Discussion
3.1. Average Concentration Distributions of Indoor Pollutants
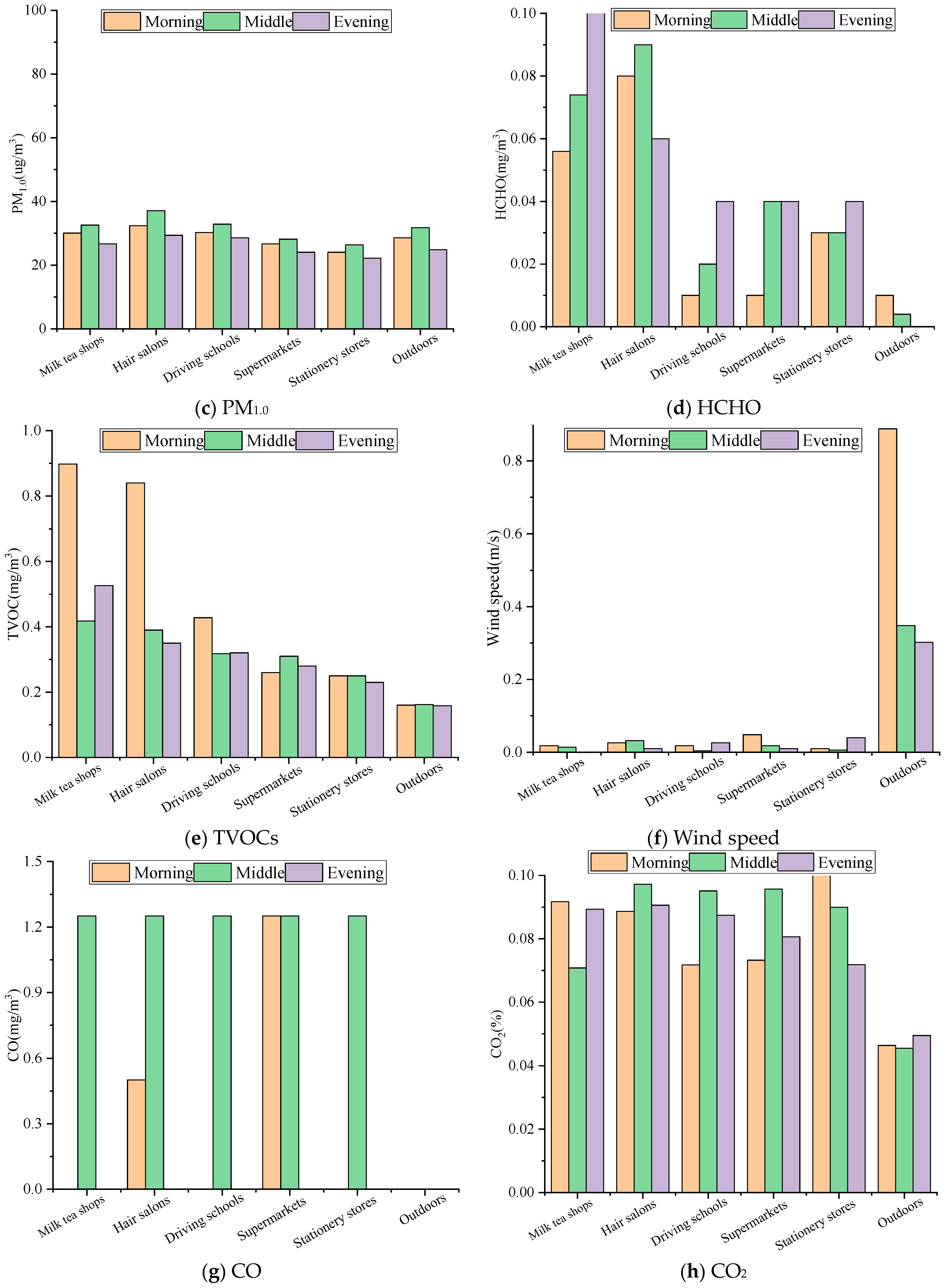
3.2. Distributions of Pollutant Concentrations at Different Times
3.3. The Impact of Outdoor Air on Indoor Pollutant Concentrations
3.4. The Relationship between Human Satisfaction and the Concentrations of Various Pollutants
4. Conclusions
- The places where the concentration of PM2.5 exceeded the standard limit were the milk tea shops, hair salons, and driving schools, presenting 1.01 times, 1.15 times, and 1.08 times the standard limit, respectively. Overall, the concentration of fine particulate matter showed the following trend: hair salons > driving schools > milk tea shops > outdoors > supermarkets > stationery stores. The next most prominent pollutants were HCHO and TVOCs.
- Pollutants exhibited different trends at different times of the day. The mass concentrations of PM10, PM2.5, and PM1.0 reached their maximum at noon, while TVOCs showed their maximum concentration in the morning. The maximum concentration of HCHO occurred in the evening. The indoor wind speed, CO, and CO2 were all within the normal range.
- Excluding those for wind speed, all the outdoor measurement points were below the standard limit, and the indoor concentrations of pollutants were higher than those outside.
- The upper-limit concentration values of human satisfaction for PM1.0, PM2.5, and TVOCs were all higher than the standard limit values. The human satisfaction upper-limit values for PM10, HCHO, wind speed, CO, and CO2 were all below the standard limits. The results of this study, which examined the indoor air quality and personnel satisfaction in different functional areas of a semi-underground building, can contribute to the widespread development and application of such buildings.
Author Contributions
Funding
Data Availability Statement
Conflicts of Interest
References
- Michel, B. Arts and culture in the city: Peripheral centrality, cultural vitality, and urban change in inner suburbs. Cities 2024, 150, 104983. [Google Scholar] [CrossRef]
- Zhang, X.; Sun, H.; Li, K.P.; Nie, X.X.; Fan, Y.S.; Wang, H.; Ma, J.Y. Comparison of the Application of Three Methods for the Determination of Outdoor PM2.5 Design Concentrations for Fresh Air Filtration Systems in China. Int. J. Environ. Res. Public Health 2022, 19, 16537. [Google Scholar] [CrossRef] [PubMed]
- Kumar, P.; Singh, A.B.; Arora, T.; Singh, S.; Singh, R. Critical review on emerging health effects associated with the indoor air quality and its sustainable management. Sci. Total Environ. 2023, 872, 162163. [Google Scholar] [CrossRef] [PubMed]
- Ma, C.; Guerra-Santin, O.; Mohammadi, M. Exploring the influence of indoor environment and spatial layout on changed behaviours of people with dementia in a nursing home. Build. Environ. 2024, 256, 111452. [Google Scholar] [CrossRef]
- Vicente, E.D.; Calvo, A.I.; Sainnokhoi, T.A.; Kováts, N.; de la Campa, A.S.; de la Rosa, J.; Oduber, F.; Nunes, T.; Fraile, R.; Tomé, M.; et al. Indoor PM from residential coal combustion: Levels, chemical composition, and toxicity. Sci. Total Environ. 2024, 918, 170598. [Google Scholar] [CrossRef]
- Brook, R.D.; Motairek, I.; Rajagopalan, S.; Al-Kindi, S. Excess Global Blood Pressure Associated With Fine Particulate Matter Air Pollution Levels Exceeding World Health Organization Guidelines. J. Am. Heart Assoc. 2023, 12, e029206. [Google Scholar] [CrossRef]
- Jeon, J.; Chen, Y.; Kim, H. Influences of meteorology on emission sources and physicochemical properties of particulate matter in Seoul, Korea during the heating period. Atmos. Environ. 2023, 303, 119733. [Google Scholar] [CrossRef]
- Niza, I.L.; de Souza, M.P.; da Luz, I.M.; Broday, E.E. Sick building syndrome and its impacts on health, well-being and productivity: A systematic literature review. Indoor Built. Environ. 2024, 33, 218–236. [Google Scholar] [CrossRef]
- Song, H.; Dong, Y.H.; Yang, J.Y.; Zhang, X.; Nie, X.X.; Fan, Y.X. Concentration Characteristics and Correlations with Other Pollutants of Atmospheric Particulate Matter As Affected by Relevant Policies. Int. J. Environ. Res. Public Health 2023, 20, 1051. [Google Scholar] [CrossRef]
- Yang, D.L.; Zhang, Z.N.; Liu, H.; Yang, Z.Y.; Liu, M.M.; Zheng, Q.X.; Chen, W.; Xiang, P. Indoor air pollution and human ocular diseases: Associated contaminants and underlying pathological mechanisms. Chemosphere 2023, 311, 137037. [Google Scholar] [CrossRef]
- Shaeri, J.; Mahdavinejad, M.; Vakilinejad, R.; Bazazzadeh, H.; Monfared, M. Effects of sea-breeze natural ventilation on thermal comfort in low-rise buildings with diverse atrium roof shapes in BWh regions. Case Stud. Therm. Eng. 2023, 41, 102638. [Google Scholar] [CrossRef]
- Wu, J.L.; Weng, W.G.; Fu, M.; Li, Y.Y. Numerical study of transient indoor airflow and virus-laden droplet dispersion: Impact of interactive human movement. Sci. Total Environ. 2023, 869, 161750. [Google Scholar] [CrossRef] [PubMed]
- Wen, Y.M.; Lau, S.K.; Leng, J.W.; Zhou, K.; Cao, S.J. Passive ventilation for sustainable underground environments from traditional underground buildings and modern multiscale spaces. Tunn. Undergr. Sp. Tech. 2023, 134, 105002. [Google Scholar] [CrossRef]
- Zhydkova, T. Features of the Design of Civil Defense Structures in Catastrophic Flood Zones. In Proceedings of the 17th International Conference Monitoring of Geological Processes and Ecological Condition of the Environment, Kyiv, Ukraine, 7 November 2023; European Association of Geoscientists & Engineers: Utrecht, The Netherlands, 2023; Volume 1, pp. 1–5. [Google Scholar]
- Marino, F.P.R.; Lembo, F. Artificiality and Naturalness: Semi-underground Houses and Their Role in the Construction of a Sustainable Urban Landscape. J. Civ. Eng. Archit. 2022, 16, 331–343. [Google Scholar]
- Jin, L.B.; Zhu, D.D.; Li, C.; Wu, Q.; Wang, Y.H.; Zhang, W.B. Numerical Analysis of Temperature Field of Static Grain Storage in Semi-underground Double-storey Squat Silos. Sci. Technol. Cereals Oils Foods 2024, 32, 153. [Google Scholar]
- Ren, F.; Shi, C.L.; Li, J.; Che, H.L.; Xu, X. Study on natural smoke extraction model in semi-underground tram station fire. China Saf. Sci. J. 2021, 31, 156–161. (In Chinese) [Google Scholar]
- Yuan, L.; Takada, S.; Nagano, Y.; Fukui, K. Quantification of moisture flux from the wall surface in contact with the ground in a semi-underground space based on measurements and hygrothermal analysis. J. Build Eng. 2023, 73, 106803. [Google Scholar] [CrossRef]
- Hasegawa, F.; Yoshino, H.; Matsumoto, S. Optimum use of solar energy techniques in a semi-underground house: First-year measurement and computer analysis. Tunn. Undergr. Sp. Tech. 1987, 2, 429–435. [Google Scholar] [CrossRef]
- Yoshino, H.; Matsumoto, S.; Nagatomo, M.; Sakanishi, T. Five-year measurements of thermal performance for a semi-underground test house. Tunn. Undergr. Sp. Tech. 1992, 7, 339–346. [Google Scholar] [CrossRef]
- Chen, P.; Nie, L.F.; Kang, J.R.; Liu, H. Research on the Influence of Open Underground Space Entrance Forms on the Microclimate: A Case Study in Xuzhou, China. Buildings 2024, 14, 554. [Google Scholar] [CrossRef]
- Ouyang, S.D.; Shan, X.F.; Deng, Q.L.; Ren, Z.G.; Wu, W.Y.; Meng, T.W.; Wu, Y.G. The Evaluation National Green Building Index Based on a Survey of Personnel Satisfaction: The Case of Hubei Province, China. Buildings 2024, 14, 868. [Google Scholar] [CrossRef]
- Amaripadath, D.; Rahif, R.; Velickovic, M.; Attia, S. A systematic review on role of humidity as an indoor thermal comfort parameter in humid climates. J. Build. Eng. 2023, 68, 106039. [Google Scholar] [CrossRef]
- GB/T 18883-2022; National Standard of the People’s Republic of China: Standards for Indoor Air Quality. State Administration for Market Regulation, Standardization Administration of the People’s Republic of China: Beijing, China, 2022.
- Song, W.J.; Calautit, J.K. Inclusive comfort: A review of techniques for monitoring thermal comfort among individuals with the inability to provide accurate subjective feedback. Build. Environ. 2024, 257, 111463. [Google Scholar] [CrossRef]
- Tang, H.; Liu, X.; Geng, Y.; Lin, B.R.; Ding, Y. Assessing the perception of overall indoor environmental quality: Model validation and interpretation. Energy Build. 2022, 259, 111870. [Google Scholar] [CrossRef]
- Tagesse, M.; Deti, M.; Dadi, D.; Nigussie, B.; Eshetu, T.T.; Tucho, G.T. Non-combustible source indoor air pollutants concentration in beauty salons and associated self-reported health problems among the beauty salon workers. Risk Manag. Healthc. Policy 2021, 14, 1363–1372. [Google Scholar] [CrossRef] [PubMed]
- Tian, Y.L.; Li, X.Y.; Sun, H.T.; Xue, W.H.; Song, J.X. Characteristics of atmospheric pollution and the impacts of environmental management over a megacity, northwestern China. Urban Clim. 2022, 42, 101114. [Google Scholar] [CrossRef]
- Jung, C.; Mahmoud, N.S.A.; Qassimi, N.A.; Elsamanoudy, G. Preliminary Study on the Emission Dynamics of TVOC and Formaldehyde in Homes with Eco-Friendly Materials: Beyond Green Building. Buildings 2023, 13, 2847. [Google Scholar] [CrossRef]
- Gao, M.P.; Liu, W.W.; An, X.S.; Nie, L.; Du, Z.X.; Chen, P.J.; Liu, X.Y. Emission factors and emission inventory of volatile organic compounds (VOCs) from hair products application in hair salons in Beijing through measurement. Sci. Total Environ. 2023, 878, 162996. [Google Scholar] [CrossRef] [PubMed]
- Zhang, X.; Fan, Y.S.; Yu, W.Q.; Wang, H.; Zhang, X.L. Variation of Particulate Matter and Its Correlation with Other Air Pollutants in Xi`an, China. Pol. J. Environ. Stud. 2021, 30, 3357–3364. [Google Scholar] [CrossRef]
- Lagmiri, S.; Dahech, S. Temperature Inversion and Particulate Matter Concentration in the Low Troposphere of Cergy-Pontoise (Parisian Region). Atmosphere 2024, 15, 349. [Google Scholar] [CrossRef]
- Azizi, S.; Dehghani, M.H.; Naddafi, K.; Nabizadeh, R.; Yunesian, M. Occurrence of organophosphorus esters in outdoor air fine particulate matter and comprehensive assessment of human exposure: A global systematic review. Environ. Pollut. 2023, 318, 120895. [Google Scholar] [CrossRef] [PubMed]
- Wang, Y.X.; Zhang, X.; Jin, X.Y.; Liu, W.J. An in situ self-charging triboelectric air filter with high removal efficiency, ultra-low pressure drop, superior filtration stability, and robust service life. Nano Energy 2023, 105, 108021. [Google Scholar] [CrossRef]









| Standard | Index | Limit | Note |
|---|---|---|---|
| Standards for Indoor Air Quality (GB/T 18883-2022) | Temperature (°C) | 22~28 | Summer |
| Relative humidity (%) | 40~80 | Summer | |
| Wind speed (m/s) | ≤0.3 | Summer | |
| CO (mg/m3) | ≤10 | 1 h | |
| CO2 (%) | ≤0.10 | 1 h | |
| TVOCs (mg/m3) | ≤0.60 | 8 h | |
| HCHO (mg/m3) | ≤0.08 | 1 h | |
| PM10 (mg/m3) | ≤0.10 | 24 h | |
| PM2.5 (mg/m3) | ≤0.05 | 24 h |
| Satisfaction | Very Bad | Bad | Moderately Bad | Moderate | Moderately Good | Good | Very Good |
|---|---|---|---|---|---|---|---|
| S | −3 | −2 | −1 | 0 | +1 | +2 | +3 |
| Average | Milk Tea Shops | Hair Salons | Driving Schools | Supermarkets | Stationery Stores | Outdoors |
|---|---|---|---|---|---|---|
| PM1.0 (ug/m3) | 29.89 | 32.94 | 30.65 | 26.38 | 24.22 | 28.41 |
| PM2.5 (ug/m3) | 50.40 | 57.27 | 53.80 | 49.40 | 45.80 | 46.47 |
| PM10 (ug/m3) | 59.40 | 65.47 | 64.73 | 54.27 | 52.20 | 57.73 |
| HCHO (mg/m3) | 0.08 | 0.08 | 0.02 | 0.03 | 0.03 | 0.01 |
| TVOCs (mg/m3) | 0.61 | 0.53 | 0.36 | 0.28 | 0.24 | 0.16 |
| Wind speed (m/s) | 0.01 | 0.02 | 0.02 | 0.03 | 0.02 | 0.51 |
| CO (mg/m3) | 0.42 | 0.58 | 0.42 | 0.42 | 0.42 | 0.13 |
| CO2 (%) | 0.08 | 0.09 | 0.08 | 0.08 | 0.09 | 0.05 |
| Temperature (°C) | 25.74 | 26.61 | 27.07 | 27.13 | 26.61 | 26.81 |
| Relative humidity (%) | 46.57 | 46.86 | 46.27 | 46.07 | 45.33 | 36.19 |
| Functional Areas | Males | Females | Total |
|---|---|---|---|
| Milk tea shops | 34 | 87 | 73 |
| Hair salons | 45 | 41 | 82 |
| Driving schools | 17 | 24 | 69 |
| Supermarkets | 23 | 58 | 76 |
| Stationery stores | 11 | 38 | 78 |
| Total | 130 | 248 | 378 |
Disclaimer/Publisher’s Note: The statements, opinions and data contained in all publications are solely those of the individual author(s) and contributor(s) and not of MDPI and/or the editor(s). MDPI and/or the editor(s) disclaim responsibility for any injury to people or property resulting from any ideas, methods, instructions or products referred to in the content. |
© 2024 by the authors. Licensee MDPI, Basel, Switzerland. This article is an open access article distributed under the terms and conditions of the Creative Commons Attribution (CC BY) license (https://creativecommons.org/licenses/by/4.0/).
Share and Cite
Ma, X.; Guo, L. Indoor Air Quality and Personnel Satisfaction in Different Functional Areas of Semi-Underground Buildings. Buildings 2024, 14, 2046. https://doi.org/10.3390/buildings14072046
Ma X, Guo L. Indoor Air Quality and Personnel Satisfaction in Different Functional Areas of Semi-Underground Buildings. Buildings. 2024; 14(7):2046. https://doi.org/10.3390/buildings14072046
Chicago/Turabian StyleMa, Xiaoming, and Lina Guo. 2024. "Indoor Air Quality and Personnel Satisfaction in Different Functional Areas of Semi-Underground Buildings" Buildings 14, no. 7: 2046. https://doi.org/10.3390/buildings14072046
APA StyleMa, X., & Guo, L. (2024). Indoor Air Quality and Personnel Satisfaction in Different Functional Areas of Semi-Underground Buildings. Buildings, 14(7), 2046. https://doi.org/10.3390/buildings14072046
