Theoretical Research and Shaking Table Test on Nominal Aspect Ratio of the Isolated Step-Terrace Structure
Abstract
1. Introduction
2. Mechanism of Overturning Failure of Isolated Step-Terrace Structures
2.1. Assumptions
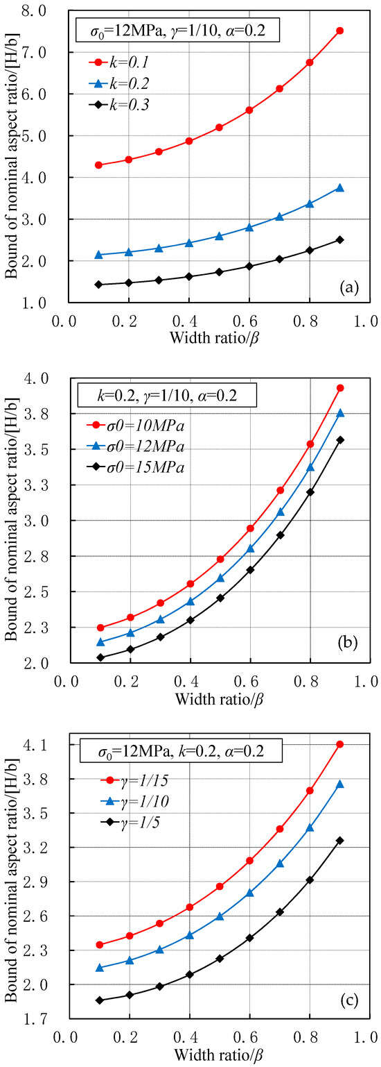
2.2. Theoretical Derivation
3. Shaking Table Tests of Isolated Step-Terrace Structure
3.1. Description of the Prototype Model
3.2. Design of the Structural Model
3.3. Installation of Model and Instrument
3.4. Cases of Shaking Table Test
4. Results and Discussion of the Shake Table Tests
4.1. Floor Acceleration and Displacement Responses
4.2. Seismic Responses of Isolation Layer
4.3. Validation of Overturning Mechanism
- (1)
- Positive overturning mechanism
- (2)
- Negative overturning
5. Summary and Conclusions
Author Contributions
Funding
Data Availability Statement
Acknowledgments
Conflicts of Interest
References
- Tan, Y.; He, J.; Yue, W.; Zhang, L.; Wang, Q. The spatial pattern of changes in arable land area in China before and after the second national land survey. J. Nat. Resour. 2017, 32, 186–197. [Google Scholar]
- Wang, L. Design Ground Motion Input and Control Method of Lateral Stiffness for Building Structures on the Slope. Ph.D. Thesis, Chongqing University, Chongqing, China, 2010. [Google Scholar]
- Khalid, M.; Zia, U.R.; Khalid, F.; Shazim, A.M. One dimensional equivalent linear ground response analysis-A case study of collapsed Margalla Tower in Islamabad during 2005 Muzaffarabad Earthquake. J. Appl. Geophys. 2016, 130, 110–117. [Google Scholar]
- Khalid, M.; Bakht, Z.; Shahid, I.; Zia, U.R.; Sher, A.; Muhammad, S.; Qaiser, I.; Arshad, A. Local site effect on seismic hazard of the relocated new Balakot town. Soil Dyn. Earthq. Eng. 2022, 162, 107451. [Google Scholar]
- Civil and Structural Groups of Tsinghua University; Xinan Jiaotong University; Beijing Jiaotong University. Analysis on seismic damage of buildings in the Wenchuan earthquake. J. Build. Struct. 2008, 4, 1–9. [Google Scholar]
- Mimura, N.; Yasuhara, K.; Kawagoe, S.; Hiromune, Y.; So, K. Damage from the Great East Japan Earthquake and Tsunami-a quick report. Mitig. Adapt. Strateg. Glob. Chang. 2011, 16, 803–818. [Google Scholar] [CrossRef]
- Bayram, H.; Rastgeldi Dogan, T.; Şahin, Ü.A.; Akdis, C.A. Environmental and health hazards by massive earthquakes. Allergy 2023, 78, 2081–2084. [Google Scholar] [CrossRef] [PubMed]
- Pu, X.; Jiang, Q.; Fan, B. Chinese public opinion on Japan’s nuclear wastewater discharge: A case study of Weibo comments based on a thematic model. Ocean. Coast. Manag. 2022, 225, 106188. [Google Scholar] [CrossRef]
- Wang, L.; Li, Y.; Zheng, N.; Liu, L.; Han, J.; Liu, J. Investigation of seismic damage to typical mountain building structures during the 5.12 Wenchuan earthquake. J. Xi’an Univ. Archit. Technol. Nat. Sci. Ed. 2009, 41, 822–826. [Google Scholar]
- Skinner, R.I.; Robinson, W.H.; Mcverry, G.H. An Introduction to Seismic Isolation; John Wiley & Sons: New York, NY, USA, 1993. [Google Scholar]
- Zhou, F. Engineering Structure Vibration Control; Seismological Press: Beijing, China, 1997. [Google Scholar]
- Quaglini, V.; Pettorruso, C.; Bruschi, E. Design and Experimental Assessment of a Prestressed Lead Damper with Straight Shaft for Seismic Protection of Structures. Geosciences 2022, 12, 182. [Google Scholar] [CrossRef]
- Celebi, M. Successful Performance of a base-isolated hospital building 1994 Northridge earthquake. Struct. Des. Tall Build. 1996, 5, 95–109. [Google Scholar] [CrossRef]
- Fujita, T. Demonstration of effectiveness of seismic isolation in the Hanshin-Awaji earthquake and progress of applications of base-isolated buildings. Incede Rep. 1999, 15, 197–216. [Google Scholar]
- Nagarajaiah, S.; Sun, X. Response of base-isolated USC hospital building in Northridge earthquake. J. Struct. Eng. 2000, 126, 1177–1186. [Google Scholar] [CrossRef]
- Furinghetti, M. Definition and Validation of Fast Design Procedures for Seismic Isolation Systems. Vibration 2022, 5, 290–305. [Google Scholar] [CrossRef]
- Belbachir, A.; Benanane, A.; Ouazir, A.; Harrat, Z.R.; Hadzima-Nyarko, M.; Radu, D.; Isık, E.; Louhibi, Z.S.M.; Amziane, S. Enhancing the Seismic Response of Residential RC Buildings with an Innovative Base Isolation Technique. Sustainability 2023, 15, 11624. [Google Scholar] [CrossRef]
- Li, J.; Wang, B.; Liang, J.; Zhao, Y. Analysis on Isolation Technique and Effect Research for Step-Terrace Frame Structures. Urban. Archit. 2019, 16, 122–125. [Google Scholar]
- Zhang, L.; Tao, Z.; Pan, W.; Wu, Z.; Lan, X. Shaking table test on isolated step-terrace frame structure in mountainous area. J. Build. Struct. 2020, 41, 24–32. [Google Scholar]
- Yang, Y.; Yang, T. Study on the progressive collapse of the base-isolated mountain step-terrace structure. J. Chongqing Univ. 2021, 44, 139–148. [Google Scholar]
- Li, H.; Wu, X. Study on limit height-to-width ratio for base-isolated buildings with rubber bearings under earthquake. J. Build. Struct. 2003, 24, 14–19. [Google Scholar]
- Wu, X.; Li, H. Effect of vertical motion on limit ratio of height to width for isolated structure. J. Tongji Univ. 2004, 32, 10–14. [Google Scholar]
- Li, H.; Wu, X. Limitations of height-to-width ratio for base-isolated buildings under earthquake. Struct. Des. Tall Spec. Build. 2006, 15, 277–287. [Google Scholar] [CrossRef]
- Wang, T.; Wang, H.; Liu, W.; Zhang, Y. On large height-width ratio rubber bearings isolation structure. J. Harbin Inst. Technol. 2006, 38, 2060–2064. [Google Scholar]
- Wang, T.; Wang, H.; Liu, W.; Zhang, Y. Shaking table test study on large height-width ratio rubber bearings isolation structure (2). J. Harbin Inst. Technol. 2007, 39, 196–200. [Google Scholar]
- Hino, J.; Yoshitomi, S.; Tsuji, M.; Takewaki, I. Bound of aspect ratio of base-isolated buildings considering nonlinear tensile behavior of rubber bearing. Struct. Eng. Mech. 2008, 30, 351–368. [Google Scholar] [CrossRef]
- Petrov, S.; Koren, D.; Kilar, V. Limit height-to-width aspect ratios for slender base isolated objects of heritage architecture. WIT Trans. Built Environ. 2009, 109, 499–510. [Google Scholar]
- Qi, A.; Shang, H. Analysis on limit of height-width ratio of high-rise base-isolated structure. J. Vib. Shock 2011, 30, 272–280. [Google Scholar]
- He, W.; Liu, W.; Yang, Q.; Qin, C. Study on dynamic response of large and small aspect ratio isolated buildings. Struct. Des. Tall Spec. Build. 2015, 23, 1329–1344. [Google Scholar] [CrossRef]
- Lai, Z.; Pan, W.; Bai, Y.; Ye, L. Analysis on the influence of overturning kinetic energy to Height-width Limit Ratio of Base-isolated Shear- wall Structure. J. Vib. Shock 2019, 38, 146–154. [Google Scholar]
- He, W.; Liu, K.; Xu, H.; Liu, W.; Miyama, T. Theoretical analysis of bearings in tension and seismic response of t high-rise isolation systems. J. Vib. Eng. 2020, 33, 643–652. [Google Scholar]
- Zhao, Y. Study on Dynamic Characteristics and Overturning Stability for Structures Supported by Foundations with Different Horizontal Levels. Master’s Thesis, Chongqing University, Chongqing, China, 2010. [Google Scholar]
- GB/T 51408-2021; Standard for Seismic Isolation Design of Buildings. China Architecture & Building Press: Beijing, China, 2021.
- Architectural Institute of Japan. Recommendation for the Design of Base Isolated Buildings; Liu, W., Ed.; Seismological Press: Beijing, China, 2006. [Google Scholar]
- Shao, Y.; Lai, Z.; Pan, W.; Wu, K.; Lan, X.; Yu, S.; Ma, J. Simplified method of isolation layer in shaking table test considered three-dimensional seismic effect. J. Civ. Environ. Eng. 2017, 39, 65–74. [Google Scholar]
- JGT 118-2018; Rubber Isolation Bearings for Buildings. Standards Press of China: Beijing, China, 2018.
- Qu, Z.; Shi, X. Comparative study on the pulse-like ground motions in the Wenchuan and the Ludian earthquakes. Eng. Mech. 2016, 33, 150–157. [Google Scholar]




















| Rotation Center within the Upper Isolation Layer | Rotation Center within the Lower Isolation Layer | |
|---|---|---|
| Positive overturning | (i) | (ii) |
| Negative overturning | (iii) | (iv) |
| Building Category | The 1st Class Buildings | The 2nd Class Buildings | The 3rd Class Buildings |
|---|---|---|---|
| σ0 (MPa) | 10 | 12 | 15 |
| Physical Factor | Model/Prototype | Physical Factor | Model/Prototype |
|---|---|---|---|
| Geometry Sl | 0.1000 | Volume SV | 0.0010 |
| Time St | 0.3162 | Mass Sm | 0.0025 |
| Acceleration Sa | 1.0000 | Stiffness SK | 0.0250 |
| Force SF | 0.0025 | Modulus SE | 0.2500 |
| Outer diameter D (mm) | 100 | Vertical tensile stiffness Kvt (kN/mm) | 12.01 |
| Inner diameter d (mm) | 10 | Vertical compression stiffness Kvp (kN/mm) | 46.57 |
| Shear modulus G (MPa) | 0.29 | Horizontal equivalent stiffness Kh (kN/mm) | 0.139 |
| Rubber layer thickness Tr (mm) | 26 | Yielded stiffness Kd (kN/mm) | 0.103 |
| First shape factor S1 | 19.23 | Yield force Qy (kN) | 0.92 |
| Second shape factor S2 | 3.85 | Equivalent damping ratio heq (%) | 9.3 |
| Seismic Wave | Station | Direction | PGA/cm/s2 |
|---|---|---|---|
| Artificial ground motion | — | — | 200 |
| Taft 1952 | Taft Lincoln school tunnel | N21E | 949.1 |
| Ludian 2014 | Longtoushan | EW | 152.7 |
| Test No. | Seismic Wave | PGA (g) | Test No. | Seismic Wave | PGA (g) |
|---|---|---|---|---|---|
| 1 | White noise | 0.05 | 10 | Artificial ground motion | 0.40 |
| 2 | Artificial ground motion | 0.07 | 11 | Taft 1952 | 0.40 |
| 3 | Taft 1952 | 0.07 | 12 | Ludian 2014 | 0.40 |
| 4 | Ludian 2014 | 0.07 | 13 | White noise | 0.05 |
| 5 | White noise | 0.05 | 14 | Artificial ground motion | 0.51 |
| 6 | Artificial ground motion | 0.20 | 15 | Taft 1952 | 0.51 |
| 7 | Taft 1952 | 0.20 | 16 | Ludian 2014 | 0.51 |
| 8 | Ludian 2014 | 0.20 | 17 | White noise | 0.05 |
| 9 | White noise | 0.05 | - | - | - |
| Total height H (m) | 1.8 | Nominal vertical compressive stress σ0 (MPa) | 2.3 |
| Height of step-terrace storeys h (m) | 0.6 | Ultimate tensile stress σ1 (MPa) | 1.0 |
| Total width b (m) | 1.5 | Vertical tensile stiffness to compressive stiffness ratio γ | 0.26 |
| Width of step-terrace storeys a (m) | 0.6 | Equivalent horizontal stiffness ratio η | 1.0 |
Disclaimer/Publisher’s Note: The statements, opinions and data contained in all publications are solely those of the individual author(s) and contributor(s) and not of MDPI and/or the editor(s). MDPI and/or the editor(s) disclaim responsibility for any injury to people or property resulting from any ideas, methods, instructions or products referred to in the content. |
© 2024 by the authors. Licensee MDPI, Basel, Switzerland. This article is an open access article distributed under the terms and conditions of the Creative Commons Attribution (CC BY) license (https://creativecommons.org/licenses/by/4.0/).
Share and Cite
Zhang, L.; Lan, X.; Yu, W.; Wu, K.; Tao, Z.; Wu, Z.; Sun, B.; Pan, W. Theoretical Research and Shaking Table Test on Nominal Aspect Ratio of the Isolated Step-Terrace Structure. Buildings 2024, 14, 2002. https://doi.org/10.3390/buildings14072002
Zhang L, Lan X, Yu W, Wu K, Tao Z, Wu Z, Sun B, Pan W. Theoretical Research and Shaking Table Test on Nominal Aspect Ratio of the Isolated Step-Terrace Structure. Buildings. 2024; 14(7):2002. https://doi.org/10.3390/buildings14072002
Chicago/Turabian StyleZhang, Longfei, Xiang Lan, Wenzheng Yu, Kechuan Wu, Zhong Tao, Zhengjia Wu, Baifeng Sun, and Wen Pan. 2024. "Theoretical Research and Shaking Table Test on Nominal Aspect Ratio of the Isolated Step-Terrace Structure" Buildings 14, no. 7: 2002. https://doi.org/10.3390/buildings14072002
APA StyleZhang, L., Lan, X., Yu, W., Wu, K., Tao, Z., Wu, Z., Sun, B., & Pan, W. (2024). Theoretical Research and Shaking Table Test on Nominal Aspect Ratio of the Isolated Step-Terrace Structure. Buildings, 14(7), 2002. https://doi.org/10.3390/buildings14072002

