Next Article in Journal
Mechanical Properties and Mesoscopic Numerical Simulation of Local Weakening in High-Performance Concrete after 10 Years of Alkali Solution Immersion
Previous Article in Journal
The Effect of Slope on Smoke Characteristics of Natural Ventilation Tunnel with Shafts
Previous Article in Special Issue
Temperature Response of Double-Layer Steel Truss Bridge Girders
 
 
Font Type:
Arial Georgia Verdana
Font Size:
Aa Aa Aa
Line Spacing:
Column Width:
Background:
Article

Essential Load-Bearing Characteristics of Steel–Concrete Composite Floor System in Fire Revealed by Structural Stressing State Theory

1
College of Civil Engineering, Huaqiao University, Xiamen 361021, China
2
College of Architecture and Civil Engineering, Xiamen Institute of Technology, Xiamen 361021, China
3
School of Civil Engineering, Harbin Institute of Technology, Harbin 150090, China
*
Author to whom correspondence should be addressed.
Buildings 2024, 14(7), 1964; https://doi.org/10.3390/buildings14071964
Submission received: 29 April 2024 / Revised: 20 June 2024 / Accepted: 26 June 2024 / Published: 28 June 2024
(This article belongs to the Special Issue Fire Science and Safety of Bridge Structure)

Abstract

This study reveals the essential load-bearing characteristics of the steel–concrete composite floor system under fire conditions applying the structural stressing state theory. Firstly, the strain data in the entire process of the fire test are modeled as state variables which can present the slab’s stressing state evolution characteristics. Then, the state variables are used to build the stressing state mode and the parameter characterizing the mode. Further, the Mann–Kendall criterion is adopted to detect the leap points in the evolution curves of the characteristic parameters during the entire fire exposure process. Also, the evolution curves of the stressing state modes are investigated to verify the leap profiles around the leap/characteristic points. Finally, the detected leap points are defined as the failure starting points and elastoplastic branching points, which is unseen in past research focusing on the failure endpoint defined at the ultimate load-bearing state of the composite floor system. The failure starting point and the elastoplastic branching point are the embodiment of natural law from quantitative change to quality change in a system rather than an empirical and statistical judgment. Hence, both characteristic points avoidably exist in the strain data of the composite floor system undergoing the fire process, which can be revealed through the proper modeling methods and update the existing theories and methods on structural analysis and design in fire.

1. Introduction

The steel–concrete composite floor system (SCCFS) is an important horizontal load-bearing component in building structures, and it is composed of reinforcement concrete slabs, the primary and secondary steel beams underneath the concrete slab, and the interface construction measures between steel beams and concrete slabs. In view of fire resistance design, the SCCFS also serves the purpose of spatial separation and preventing the spread of fire. Compared to beams and columns, the concrete slabs of the SCCFS have a larger area exposed to fire, and their thicknesses are relatively small and susceptible to being penetrated. These unfavorable factors could lead to some significant safety hazards when the SCCFS is subjected to fire. In the well-known Cardington fire tests conducted by the Building Research Establishment, systematic experimental research was carried out on the fire resistance of the SCCFSs in the full-scale frame structure. The research showed that all the SCCFSs underwent considerable deflections under fire, but they still maintained their integrity and did not collapse eventually [1,2]. The reason for this could be mainly attributed to the tensile membrane action within the concrete slab under its large deflection, which plays an active role in enhancing the slab’s load-bearing capacity. However, this aspect received little attention in previous studies that were mainly focused on the performance of concrete slabs at small deflections. In the subsequent period, many researchers carried out a series of experimental studies on concrete slabs at both ambient and fire conditions with large deflections, aiming to gain a deeper understanding of the mechanisms of the tensile membrane effect. The research goal was to provide a practical design recommendation for the fire-resistant design of concrete slabs [3,4,5]. In recent years, more researchers have continued to conduct more in-depth and meticulous experimental studies, mainly focusing on the impact of different types of concrete slabs, fire spread patterns, and boundary restraint conditions on fire resistance [6,7,8,9,10,11]. Also, they concerned various types of test data such as temperature field data, vertical deformation, and fire resistance duration.
Conducting fire tests is a time-consuming and labor-intensive work. Therefore, these limitations make it impossible for researchers to conduct a large number of experiments to study the impact of multi-parameter variations in the fire resistance of the SCCFS. In light of this, researchers selected another way to solve this problem. This way was to utilize various finite element analysis software (such as SAFIR 2019 a.5, VULCAN, OpenSEES, LS-DYNA ABAQUS, etc.) to obtain the data of stresses, strains, and internal forces (axial force, bending moment) within the concrete slabs over the fire duration. These data are difficult to measure in fire tests and can provide an alternative effective approach for a deeper understanding of the mechanisms of the tensile membrane effect within concrete slabs [12,13,14,15,16,17,18,19,20]. Additionally, some scholars have established theoretical formulas for calculating the load-bearing capacity of the SCCFS under fire conditions considering the contribution of the tensile membrane effect [21,22,23,24].
Although the achievements acquired over the past decade have offered many valuable recommendations for the fire-resistant design of the SCCFS, there are still some new issues that require further investigation. The past research in structural engineering has focused on structural ultimate/peak states with the considerable and inherent randomness from the initial defects of material composition and structural configuration. Furthermore, in the fire tests of some full-scale SCCFS exposed to fire for over four hours and undergoing significant deflection (exceeding 1/20 of the span), they rarely exhibited structural failure features such as the rupture of reinforcement bars, the compressive failure of concrete, or the formation of large through-cracks. This led to it being impossible to accurately define structural working performance indexes such as structural failure loads and structural design load-bearing capacities, which could be determined by empirical and statistical methods only. Also, the empirical and statistical measurements were successful as they realized great engineering achievements. Gradually, this formed a consensus in structural analysis that there might not be definite characteristic points in the structural working process. In other words, it was commonly thought that there was no physical law and mechanism to accurately define structural working performances such as the structural failure starting point and the design point of structural load-bearing capacity. In addition, the past tests of structural models, members, and specimens recorded a great amount of data, such as strains and displacements, but these data could have limited uses in structural analyses. In sum, the existing theories and methods have not addressed the issues of the overuse of materials and the inadequate use of experimental data, which anticipates the innovative theory and methods to overcome them.
Lately, Zhou [25] established a structural stressing state theory in order to address the issues mentioned above. This new theory and the corresponding analytical methods can reveal the failure starting point and the elastoplastic branching point in the stressing state evolution of a structure under a full loading process, according to the natural law of quantitative change and qualitative change. The structural failure starting point is the embodiment of structural failure law, and the elastoplastic branch point is the embodiment of the structural elastoplastic branch mechanism. Since this theory was established, it has achieved many research results, for instance, both failure starting points and elastoplastic branching points existing in experimental and simulative data were presented through the stressing state analysis of structures such as spiral confined short columns [26] and the mechanical state transformation during the progressive collapse process of steel frame structures [27]. These results provided new references for structural design and safety assessment.
This study intends to apply structural stressing state theory to analyze the stressing state evolution characteristics of the SCCFS under fire conditions. Firstly, the tested data are modeled as state variables, and then they are used to build the stressing state modes and characteristic parameters expressing the stressing state of the SCCFS. Further, the characteristic points are detected by investigating the evolution curves of the stressing state modes and characteristic parameters, according to the natural law of quantitative change to qualitative change in a system. The characteristic points reveal the unseen working characteristics that may appear throughout the entire process of the SCCFS in fire, such as the following: (1) How do the slab strips in the long-span and short-span directions coordinate their work? (2) When do the turning points of the structural normal working state occur? (3) Which direction and where is the “last line of defense” under extreme fire conditions? These characteristics could provide references for the precise design and safety assessment of the SCCFS under fire conditions. And this means that the tested data of structures still contain some working features unseen in conventional structural analyses.

2. Structural Stressing State Theory and Methods

2.1. Brief of Structural Stressing State Theory

Structural stressing state theory is a science used to study the general working characteristics of structures based on the natural law from quantitative change to qualitative change in a system. Modeling and analyzing structural test and simulation data can reveal structural failure starting points and structural elastoplastic branching points, which could result in the precise structural design, safety assessment, and risk early warning. To model and analyze the structural stressing state, it is generally necessary to convert structural response data (such as strains and displacements) into state variables. The state variables are then used to construct stressing state modes and characteristic parameters, called the stressing state characteristic pair. Subsequently, the evolution curves of the stressing state characteristic parameters are examined to identify the leap points. The stressing state mode evolution curves are then inspected to verify the leap features. The leap points reveal the failure starting point and elastoplastic branching point of the SCCFS.
State Variable: The state variable in structural stressing state theory is defined as a quantity/value which can characterize the working state of a location or a point or a relation between two locations/points. A state variable can be one value transferred from a strain and several strains or a displacement and several displacements. Of course, a strain or a displacement can be directly taken as a state variable. The derivation of state variables obeys a basic principle that the stressing state mode and characteristic parameter composed of state variables can present the mutation features (structural failure starting point and elastoplastic branch point) in their evolution curves. In a word, state variables are made quite flexibly as long as they can clearly present the trend change features in the stressing state evolution curves. For instance, in the stressing state analysis of the strain data of the concrete airport pavement [25], three types of state variables are made to present the mutation features in the stressing state evolution. From the basic state variables and compound function state variables to the reconstructed state variables, the trend change features in structural stressing state evolution can be presented gradually. The details can be seen in the published paper.
Here, it needs to be mentioned that some proper state variables can be made purely to reveal the definite characteristic points in stressing state evolution curves since they are the objective law of structural working processes and exist in the experimental data.
Because strain and displacement have directionality and difference from physical meanings, they are transferred into the state variables referring to the generalized strain energy density or the generalized power of force [25]. In this study, the state variable is calculated as follows:
e i j = 1 2 k = 1 j ε i k 2
Stressing State Mode: A matrix or vector composed of state variables, for example:
S j = e 1 j e 2 j e n j T   or   S j = e 11 j e 12 j e 1 n j e 21 j e 22 j e 2 n j e m 1 j e 22 j e m n j
Stressing State Characteristic Parameter: A parameter constructed from state variables (GSED values) that characterizes the stressing state of a structure, for example:
E i j = i = 1 n e i j ,   E j , norm = E j max j = 1 N ( E i j )
The stressing state mode and characteristic parameters are collectively referred to as the stressing state characteristic pair. Their evolution curves can present the leap features at structural failure starting points and elastoplastic branching points.

2.2. Mann–Kendall Criterion

In the evolution curves of the structural stressing state characteristic parameters, the leap points need the proper criterion to detect them. Here, the Mann–Kendall (M-K) criterion is adopted to detect the critical points in the evolution curve of the characteristic parameter. The specific calculation process for the M-K criterion is as follows:
For the EjFj curve, the cumulative number of samples Ej is defined as mi through Equation (4).
m i = { + 1 E i > E j 1 j i 0 o t h e r w i s e
The term “+1” indicates that if the j-th comparison satisfies the inequality on the right side, an additional sample is added to the current value.
The new random variable d1k for the k-th (2 ≤ kx) load step is defined by Equation (5). Its mean and variance are calculated using Equation (6) and Equation (7), respectively.
d 1 k = i = 1 k m i
E ( d 1 k ) = k ( k 1 ) / 4
var ( d 1 k ) = k ( k 1 ) ( 2 k + 5 ) / 72
Equation (8) is used to normalize d1k to obtain the UFkFj curve.
U F k = d 1 k E ( d 1 k ) / var ( d 1 k )
A similar process is carried out for the reverse Ej sequence, named Ej′. For the sequence Ej′, the cumulative number ni and the random variable d2k are defined through Equation (9).
n i = { + 1 E i > E j 1 j i 0 o t h e r w i s e , 2 k = i = 1 k n i
The mean and variance of d2k are calculated using Equation (10) and Equation (11), respectively.
E ( d 2 k ) = k ( k 1 ) / 4
var ( d 2 k ) = k ( k 1 ) ( 2 k + 5 ) / 72
The UBkFj curve is obtained using the following Equation (12).
U B k = d 2 k E ( d 2 k ) / var ( d 1 k ) , U B k = U B x k + 1

2.3. The Detection of Structural Stressing State Characteristics

For the stressing state analysis of a structure or a component, the main steps are as follows:
Convert the tested strain data to obtain the state variables. This approach is not unique and other transformation methods can also be employed as long as they can present the stressing state evolution characteristics.
Construct the stressing state characteristic parameters and stressing state modes using the state variables and plot their evolution curves. Similarly, the construction method is not unique, and other methods can be used as long as they can present the characteristics of the stressing state evolution.
Use the M-K criterion to identify the leap points—trend change points—in the stressing state characteristic parameter curves. The M-K criterion is not unique; other determination criteria can also be adopted as long as they can determine the leap points on the curves.
Investigate the leap features of the stressing state mode curves at the characteristic points identified by the stressing state characteristic parameters to determine or define the start point of structural failure and the elastoplastic branching point.
This paper will focus on the modeling and analysis of the stressing state based on the strain data collected from the fire tests of the SCCFS, revealing the failure starting point and the elastoplastic branching point during the process of significant deflection in the SCCFS.

3. Brief Overview of the Fire Test for the SCCFS

The authors conducted the fire test on the SCCFS with spatially steel restraint frames [28]. The initial purpose of the developed testing device was to calculate and monitor the variation in the restraint forces of the SCCFS through mechanical analysis. Due to the high temperatures beneath the concrete slabs, it is still a challenging technology currently to make the strain measurement points on the steel bars properly work within the concrete slabs subjected to fire.
According to the Chinese code for the design of concrete structures (GB 50010-2010) [29] and the code for composite slabs’ design and construction (CECS273-2010) [30], full-scale specimen of steel–concrete composite slabs were designed. The specimen simulated the real boundary conditions of the SCCFS in actual steel–concrete composite structures, such as the slab being supported on the steel primary beams of the steel frame and connecting them with shear studs. The test model of the SCCFS is shown in Figure 1. The dimensions of the reinforced concrete slab are 6250 mm × 4250 mm × 150 mm, and all the reinforcing bars were 8 mm in diameter and spaced at 150 mm along both the shorter and longer spans, as shown in Figure 2. Both steel columns and steel beams of spatially steel restraint frames are made of Q235 steel, the same as the composite beams. In order to obtain the real fire resistance of a reinforced concrete slab in a building structure, no fire protection is applied to the slab.
The concrete used for the composite slab system specimen is commercial concrete with a nominal compressive strength of 30 MPa. One cubic meter of concrete consists of 168 kg of water, 333 kg of cement, 750 kg of sand, and 1041 kg of gravel (siliceous aggregate). The average compressive strength of the concrete during the fire test, determined through indoor testing of six 150 mm cubic concrete blocks, was 44.6 MPa. The fire resistance test was conducted after 764 days of casting to obtain a lower water content in the concrete, thereby preventing spalling, with an average moisture content of 2.25%.
Furthermore, the test model was mounted on a horizontal furnace for the fire test, as shown in Figure 3a. During the test, a uniformly distributed load was applied to the surface of the composite slab, with a load value of 2.0 kN/m2, according to the Chinese load code for the design of building structures (GB50009-2012) [31]. Four jacks were placed on the top of each column to apply the upper loads from the above floors to simulate the actual working condition. Five strain gauges were arranged along the height of both the long-span and short-span beams in the steel restraint frame, as shown in Figure 3b.
During the fire test, composite floor slabs exhibited warping deformation at the corners. Therefore, the internal forces of composite floor slabs are transmitted to the steel beams and steel columns in the steel restraint frame. To measure the axial forces and bending moment in the steel beams, five strain gauge measurement points are set at the mid-span of the steel beams, with data collected every 5 s. Prior to ignition, all initial values measured by the strain gauges were set to zero simultaneously.
The internal forces (the axial force and bending moment) within the cross-section of the steel beams can be calculated using the obtained strain data of the steel beams. Several deflection transducers were arranged on the top surface of the concrete slabs. During the test, the mentioned steel restraint frame is not exposed to fire directly and is located above the furnace to simulate the surrounding structure. The bottom secondary beams are located underneath the concrete slab and exposed to fire directly.
When the SCCFS was exposed to fire for 300 min and the temperature at the top surface of the concrete slabs exceeded 180 °C, it was considered that the SCCFS reached its insulation criteria, and the fire test was terminated. Simultaneously, the mid-span deflection of the concrete slabs reached 105.8 mm. According to Chinese testing standards, if the maximum deflection of the concrete slabs exceeds 1/50 of the short-span length (i.e., 3600 mm/50 = 72 mm), it is considered that the concrete slabs is no longer suitable to continue bearing external loads. When the furnace was terminated, the maximum deflection of the composite floor slabs reached 105.8 mm, and no sign of penetrating cracks and collapse phenomena was observed.
The test showed the general results at the present analytical paradigm. However, there is a lack of determination of the important characteristic points in the working process of the SCCFS. It is well known that the failure of a structure is a process, and this process should have a beginning point and an end point. Rationally, the existence of a structural failure starting point is an undeniable fact, and it can be inferred that structural response data should contain some information to reflect the failure starting point. However, the current structural analysis could not find out or does not try to detect this essential characteristic point. Zhou [25] indicated that only the new theory could reveal the structural failure starting point from the tested data.

4. Stressing State Analysis of the SCCFS in Fire

To present the stressing state analysis of the tested data for the SCCFS clearly, Figure 4 illustrates the analytical items and route.

4.1. The Evolution Features of Stressing State Characteristic Parameters

By using Equation (13), the stressing state characteristic parameters for the long-span and short-span restraint beams, EjL and EjS, are calculated separately
E j S = i = 1 5 e i j S         E j L = i = 1 5 e i j L
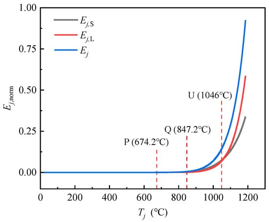
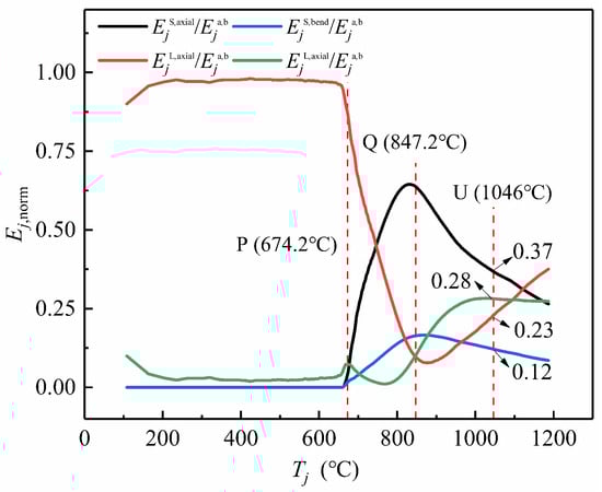
Then, the sum of EjL and EjS values is taken as the characteristic parameter of the whole steel restraint frame, Ej = EjL + EjS. Ej can be normalized to obtain the characteristic parameter Ej,norm. Thus, the evolution curve of Ej,norm with temperature Tj can be plotted in Figure 5, together with the EjLTj and EjSTj curves. As shown in Figure 5, three typical leap points, P, Q, and U, are detected by applying the M-K criterion. It can be seen that the curve remains essentially flat before the temperature reaches the characteristic point Q, indicating that there is no significant change in the stressing state evolution of the SCCFS, and the structure is still in the elastoplastic working stage. After the temperature exceeds point Q, the slopes of the Ej,normTj, EjLTj, and EjSTj curves increase gradually. It is indicated that when the overall stressing state of the SCCFS begins to take place, a qualitative change occurs, and the SCCFS enters the failure stage. When the temperature reaches point U, the slopes of the three curves increase sharply, and the values of EjL exceed those of EjS simultaneously. This means that a qualitative change takes place again in the stressing state evolution of the SCCFS, indicating that point U could be a progressive failure point. In a word, the trending change in the characteristic parameter values for the upper steel restraint frame implies that the SCCFS starts to enter the failure stage. Eventually, the temperature of the top surface of the concrete slabs reaches the insulation failure criterion, and the fire test is terminated after 300 min. According to structural stressing state theory, the leap points P, Q, and U during the entire fire exposure process can be defined as the elastoplastic branching point (TP= 674.2 °C, tP = 10 min), the failure starting point (TQ = 847.2 °C, tQ = 31 min), and the progressive failure point (TU = 1046 °C, tU = 117.2 min), respectively.
Figure 6a presents the sectional strain curves of the steel frame beam during the fire test, and Figure 6b also shows the vertical deflection of the concrete slab. It can be seen that before the temperature reaches point P, the strain at each measurement point has hardly changed, but the deflection curve increases rapidly, with the central point V6 of the slab reaching a deflection of 26.7 mm. This also reveals that at the initial stage of the fire, the mechanical response of the SCCFS is mainly the deformation of the reinforced concrete slab, without obvious internal forces activated in the steel restraint frame. After the temperature exceeds point P, the strain curves of the steel beam at each measurement point begin to increase sharply, whereas the growth rate of the deflection curves at each point begins to decrease. When the temperature exceeds point Q, the structure enters the failure state, and the variation rate of deflection and strain both decrease gradually. Then, the growth rate of the strain and deflection curves slowed down further, and beyond point U, these curves all exhibit a horizontal trend. In a word, some trend in terms of a change is displayed in these raw data of the strain and vertical deflection at each characteristic point, but it is difficult to determine the precise boundary line of each structural working phase.

4.2. The Evolution Features of Stressing State Modes

By utilizing the strain data collected from the long-span and short-span beams of the upper steel restraint frame, as well as the GSED values as stressing state characteristic parameters, a stressing state mode is conducted on the SCCFS under fire conditions. The jump feature of the stressing state is verified, and a detailed analysis of the stressing state of the composite floor system is provided, revealing the changes in the stressing state when the SCCFS undergoes large deflection in fire.
The GSED values of each strain gauge on the long-span and short-span beams are calculated by Equations (14) and (15), and combined with the value of GSED calculated earlier, Ej = EjL + EjS. Then, using Equations (16) and (17), the proportion of the GSED value of an individual strain gauge point to the Ej, denoted as βjL and βjS, is calculated. βjL and βjS can be taken as state variables to construct the stressing state mode Mj, as defined in Equation (18). The correlation curves between βjL, βjS and temperature Tj are plotted in Figure 7, which represent the evolution process of the stressing state mode Mjalong with the increase in temperature.
As shown in Figure 7, the state variables βj maintain the trend without mutation before the temperature reaches elastoplastic branching point P (TP = 674.2 °C). Once the temperature exceeds point P, the curves of MjTj exhibit a significant alteration and undergo a sharp increase or decrease, indicating that the load-bearing proportion between the long-span strip and short-span strip of the SCCFS is gradually changing as the temperature increases.
Subsequently, the values of the GSED proportion βjS4 and βjS5 at the short-span direction are rapidly increasing and reaching a peak at the failure starting point Q (TQ = 847.2 °C), with both accounting for about 60% of the GSED sum. When the temperature exceeds the characteristic point Q, the values of βjS4 and βjS5 at the short-span direction begin to decrease, and the values of βjL3, βjL4, and βjL5 at the long-span direction begin to increase gradually, but the GSED value of the short-span direction still accounts for a larger proportion. When the temperature exceeds the progressive failure point U (TU = 1046 °C), three curves of the long-span direction, βjL3, βjL4, and βjL5, begin to increase sharply. Hence, a turning point (P, Q, U) appears, implying that there is an intrinsic change in the load-bearing mechanism. It is evident that the constructed stressing state mode curve MjTj has verified the evolution characteristics of the stressing state parameter curve of Ej,normTj.
e j L 1 = 1 2 k = 1 j ε k L 1 2 , e j L 2 = 1 2 k = 1 j ε k L 2 2 , ,   e j L 5 = 1 2 k = 1 j ε k L 5 2
e j S 1 = 1 2 k = 1 j ε k S 1 2 , e j S 2 = 1 2 k = 1 j ε k S 2 2 , ,   e j S 5 = 1 2 k = 1 j ε k S 5 2
β j L 1 = e j L 1 E j , β j L 2 = e j L 2 E j , ,   β j L 5 = e j L 1 E j
β j S 1 = e j S 1 E j , β j S 2 = e j S 2 E j , ,   β j S 5 = e j S 1 E j
M j = β j S 1 β j S 2 β j S 5 β j L 1 β j L 2 β j L 5

4.3. The Evolution Feature of Correlative Characteristic Parameter

The GSED values for the long-span and short-span restrained beams, EjL and EjS, were obtained in Section 4.2. Based on these two values, a new stressing state mode is constructed as follows, which is the ratio and the difference in EjL and EjS,
EjRatio = EjS/EjL, EjDV = EjLEjS
The correlation curves of EjRatioTj and EjDVTj are plotted in Figure 8. These two curves remain horizontal without any significant change until the temperature reaches point P (TP= 674.2 °C), indicating that the stressing state of the long-span and short-span steel beams is essentially in similar working conditions. Subsequently, the curve of EjRatioTj exhibits an increasing trend until the temperature reaches the characteristic point Q (TQ = 847.2 °C), where a transformation occurs and begins to decrease gradually. When the temperature is located at the interval between points Q and U, although the curve shows a downward trend rapidly, the characteristic parameter value of the long-span steel beam remains greater than that of the short-span steel beam during this phase. When the temperature exceeds the progressive failure point U (TU = 1046 °C), the value of EjRatio begins to fall below 1.0, indicating that the stressing state characteristic values of the long-span steel beam start to surpass the value of the short-span steel beam. In other words, the long-span strip of the concrete slab starts to carry more external load than short-span strip.
Similarly, the curve of EjDVTj, as shown in Figure 8b, exhibits significant changes at the characteristic points Q and U, displaying the process of the change in the relative magnitude of the characteristic parameter values of the long-span steel beams and the short-span steel beams. The evolution feature of the load-bearing mechanism of the SCCFS is demonstrated when subjected to fire.

4.4. The Evolution Features of Axial and Bending Stressing State Characteristic Pairs

4.4.1. The Evolution Features of Axial and Bending Stressing State Characteristic Parameters

The GSED values generated by the axial force and bending moment on the cross-section of the upper steel beams are taken as the state variables, forming the corresponding stressing state characteristic parameters, that is,
ε j axial = ε 1 j + ε 2 j + ε 3 j + ε 4 j + ε 5 j 5 ,   E j axial = 1 2 i = 1 j ( ε j axial ) 2
ε j bend = ε 5 j ε 1 j 2 ,   E j bend = 1 2 i = 1 j ( ε j bend ) 2
where εjaxial is the average strain of the cross-section of the upper steel beam, Ejaxial is the average axial generalized strain energy density of the cross-section of the steel beam for both the long span and short span, εjbend is the average bending strain of the steel beam’s cross-section, and Ejbend is the average bending generalized strain energy density of the steel beam’s cross-section for both the long span and short span.
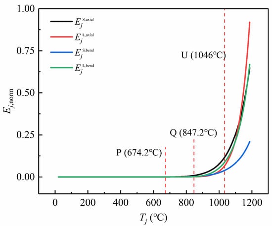
Figure 9 illustrates the correlation curves of the axial stressing state characteristic parameter Ejaxial and the bending state characteristic parameter Ejbend for the steel beams, along with the increase in temperature Tj. As shown, these curves begin to exhibit trending changes at point Q. When the temperature continues to rise up to point U, the curves start to increase rapidly, and the value of the axial stressing state characteristic parameter is always larger than that of the bending stressing state characteristic parameter throughout the later process.

4.4.2. The Evolution Features of Axial and Bending Stressing State Modes

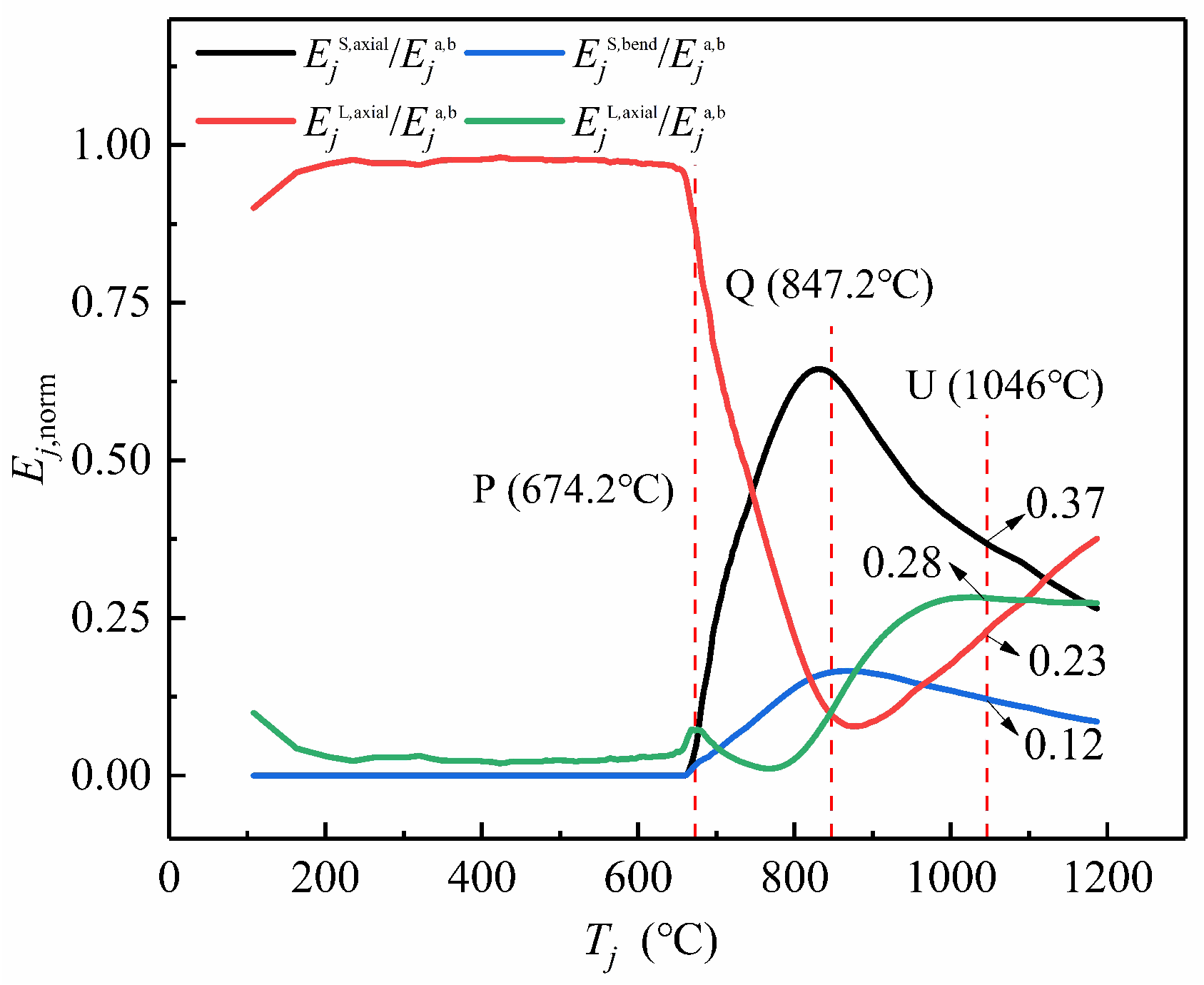
Equations (20) and (21) are used to calculate the axial generalized strain energy (EjS,axial, EjL,axial) and bending generalized strain energy (EjS,bend, EjL,bend) for the long-span and short-span beams, respectively. Meanwhile, these state variables form the overall stressing state mode of the SCCFS, as illustrated by Equation (22),
M j ab = E j S , axial E j L , axial E j S , bend E j L , bend ,   R j ab = E j S , axial / E j a , b E j L , axial / E j a , b E j S , bend / E j a , b E j L , bend / E j a , b
where, Eja,b= Ejaxial + Ejbend.
Figure 10 depicts the MjabTj curves, and it can be seen that all the curves remain horizontal before point Q, meaning that the SCCFS is in a stable working condition. However, it exhibits a trend change beyond point Q, with these curves starting to diverge from each other. Among the four curves, the first one to show an upward trend is EjS,axial, followed by EjL,axial and EjL,bend at the long-span direction, which implies that relative significant deflection occurs along the short-span direction of the SCCFS, causing the upper short-span steel beams to be subjected to a significant compression and the internal forces of the cross-section firstly, and then the same mechanical response appeared, followed by long-span steel beams.
When the temperature reaches point U, all the curves have a more significant transitional feature and rise rapidly. Specifically, EjL,axial and EjL,bend show the fastest growth trend and reach a large value, while the trend of EjS,bend grows slower. These features reflect that the strain energy along the long-span direction accumulates significantly more than that along the short-span direction, which also illustrates the evolution of the stressing state mode.
Figure 11 presents the RjabTj curves, and it is observed that the curves remain straight before elastoplastic branching point P (TP= 674.2 °C), indicating that the upper steel frame has not yet begun to provide its constraint effect at a relative lower temperature.
When the temperature exceeds point P, the proportion of axial and bending GSED for the long-span steel beam starts to decrease, while the proportion for the short-span beam begins to increase, indicating that the SCCFS starts to deform due to fire exposure, along with the short-span strip beginning to bear the external load and showing visible deflection. At the failure starting point Q (TQ = 847.2 °C), the proportion of the axial GSED of long-span and short-span steel beams reaches an extreme value. At the moment, the axial GSED proportion of the short-span steel beam exceeds 60%, and it is indicated that the short-span strip of the concrete slab is the dominating load-bearing element. When entering Q-U intervals, the curves show a reverse trend and begin to converge gradually, i.e., the percentage of each part tends to equalize. When the temperature reaches the progressive failure point U (TU = 1046 °C), it is evident that the ratio of the axial strain energy density and bending strain energy density at the long-span direction exceeds 60% of the total value and continues to increase until the fire test was terminated, indicating that the long-span strip is becoming the primary load-bearing element. In other words, the proportion of the internal force in the short-span direction is diminishing, and the one at the long-span direction is growing simultaneously.
In summary, two stressing state modes, above all, exhibit the characteristics of the evolution of the stressing state, demonstrating the corresponding features of the elastoplastic branch point and the earlier failure point.

4.4.3. The Evolution Features of Axial Stressing State Characteristic Parameter

The long-span and short-span equivalent strain calculated by Equation (20), denoted as εjL, axial and εjS, axial, respectively, is used as the stressing state characteristic parameters directly. Alternatively, these parameters can be taken as state variables to form the stressing state mode of the SCCFS to investigate their variation with the increase in the temperature Tj, i.e., the evolution curve of the stressing state of the SCCFS, as shown in Figure 12.
It can be seen that before point P, the value of εjS, axial is basically unchanged, and εjL, axial shows a fluctuating change. In a word, there is no significant change generally. When the temperature exceeds 674.2 °C, the equivalent strain εjL, axial at the long-span direction showed a growth trend and then decreased (always tensile strain), while the strain εjS, axial in the short-span direction gradually increased and showed a compressive strain. This is mainly due to the expansion deformation in the long-span direction being more obvious than that in the short-span direction, which makes the cross-section of the long-span beam show a tensile force state.
When the temperature increases to point Q, the deflection in the SCCFS starts to increase gradually, and the long-direction steel beams of the upper steel restraint frames are squeezed simultaneously. Hence, the internal force of the cross-section of the long-span steel beams transforms into pressure eventually. Subsequently, the equivalent strain on the steel frame cross-section of both long and short spans maintains an increasing trend, but the growth rate of the long span is larger than that of the short span. When the curve develops to the characteristic point U, the equivalent strain in the direction of the long span begins to exceed the value of the equivalent strain in the direction of the short span, and a turning point appears, indicating that the stressing state of the SCCFS has changed.

5. Discussion

Structural stressing state analysis is suitable for various response data of various structures. Except for the measured strains, structural stressing state analysis could be conducted for the estimated strains or displacements from visual or thermal data, even for the photographs of structural responses taken in an experimental process. However, the data obtained from experiments are universally sensitive and variable [32,33], influenced by a variety of factors. Nevertheless, the several stressing state modes and characteristic parameters above present the same characteristic points, implying that they stably and unavoidably exist in the tested data. The sensitivity of the tested data could cover the manifestation of characteristic points, but this could not affect their existence. This is because the characteristic points are the specific embodiment of the natural law from the quantitative change to qualitative change in the anyny system.
This study indicates that the tested strain data of the SCCFS undergoing the fire process still have some working law which has not been discovered by the existing theories and methods. Generally, the working law coexists with the changeable tested data so that its tendency change feature is covered in the sensitivity of the tested data. Hence, as long as the methods for modeling the structural stressing state are proper to the tested data, the failure starting point and elastoplastic branch point of the structure can be presented even though the tested data are quite sensitive and changeable. This has been verified in the stressing state analysis of other structures [34]. To an extent, the stressing state modeling methods are used to get rid of the sensitivity in the tested data and to protrude their tendency change features.
In addition, the traditional viewpoint without the definite characteristic points limited their discovery from the investigation into the tested data. The structural stressing state theory and methods presented in this study provide a reference to discover the definite working features from the tested data. Also, the stressing state modeling and analysis presented in this study could be referred to similar structures in fire and offer valuable insights for structural design applications.
The elastoplastic branch point P could be used as the accurate design reference value for the fire-resistance capacity of the tested slabs, as it is the ending point of the slab’s normal working state. The design point P has two margins of safety: (1) one is from point P to the failure starting point Q, with the attribute of certainty; (2) the other is from point Q to the ultimate point U, with the attribute of semi-certainty. Thus, the fire-resistance capacity design of the tested slab might not use the empirical and statistical factors. Consequently, the fire-resistance design of slabs could be more simple and reliable than the existing design codes of pavements.
Emphatically, if the provided stressing state characteristic pair does not reveal the leap features at these points clearly, it may be that the adopted method is unsuitable for this case. Anyway, a proper method can be proposed to evidently present the failure starting point and elastoplastic branching points. The construction of state variables, stressing state modes, and stressing state characteristic parameters is quite flexible and not confined to a fixed approach. However, there is one basic goal to create characteristic curves of the structural stressing state characteristic pair, which is able to demonstrate the leap features at the points of failure starting and elastoplastic branching clearly.

6. Conclusions

Structural stressing state analysis is first applied to reveal the evolution characteristics of the load-bearing processes of the SCCFS under fire. The achieved results can draw the following conclusions:
The SCCFS under a fire process certainly presents the failure starting characteristics, complying with the natural law from the quantitative change to qualitative change in the anyny system. The failure starting point exists in the tested strain data, which needs the proper methods for modeling the tested strain data. The methods include those for transferring the strain data into state variables, constructing stressing modes and characteristic parameters, as well as the criterion (such as the M-K criterion) for judging the leap points in the evolution curves of the characteristic parameters. The failure starting points provide the reference to the accurate estimation of safety and the accurate/rational design for the SCCFS in fire.
The SCCFS in fire also presents the definite elastoplastic branching characteristics. Similarly, this needs the proper stressing state modeling methods to position the elastoplastic branching points in the evolution curves of the stressing state characteristic parameters calculated by the tested strain data. The elastoplastic branching point also lays a new foundation to achieve the accurate/reliable design codes of the SCCFS in fire. The fire-resistant design based on the elastoplastic branching characteristic has two margins of safety: one from the elastoplastic branching point to the failure starting point and the other from the failure starting point to the ultimate point. The former is definite, and the latter is semi-definite, which could greatly improve the fire-resistant design of the SCCFS.
Also, structural stressing state analysis in this study indicates the following: At the early stage of fire, the composite floor slabs primarily rely on the short-span strip to bear external loads. As the duration of fire exposure increases, the main direction of load-bearing gradually shifts to the long-span strip of the composite floor slabs. The critical point transition in the entire fire process can be presented through structural stressing states analysis, which provides an important reference to the fire-resistant analysis and design of the SCCFS. Generally, this behavior mainly appears within two-way concrete slabs and has no direct relationship to its own aspect ratio and boundary conditions. In other words, whether the two-way concrete slabs have simply supported edges or fixed-supported edges, they will undergo the transition in the load sharing transition mentioned above.
In a word, this study also indicates that the tested strain data of the SCCFS undergoing the fire process still have some working law which has not been discovered by the existing theories and methods. The structural stressing state theory and methods presented in this study provide a reference to the stressing state modeling and analysis of similar structures in fire.

Author Contributions

Conceptualization, H.W.; data curation, J.Q. and K.W.; formal analysis, J.Q. and G.Z.; funding acquisition, D.Z. and Y.D.; methodology, D.Z., Y.D. and G.Z.; project administration, H.W.; software, H.W.; supervision, D.Z. and G.Z.; visualization, K.W.; writing—original draft, J.Q., H.W. and K.W.; writing—review and editing, D.Z. and Y.D. All authors have read and agreed to the published version of the manuscript.

Funding

This research was funded by the Natural Science Foundation of Fujian Province, China (Grant No. 2023J01107) and Young and Middle-aged Teachers’ Education Science Research Project of Fujian Province, China (Grant No. JAT210570).

Data Availability Statement

The original contributions presented in the study are included in the article, further inquiries can be directed to the corresponding authors.

Conflicts of Interest

The authors declare no conflicts of interest.

References

  1. O’Connor, M. Behaviour of a multi-storey composite steel framed building in fire. Struct. Eng. 2003, 81, 27–36. [Google Scholar]
  2. Lennon, T.; Moore, D.B.; Bailey, C. The behaviour of full-scale steel-framed buildings subjected to compartment fires. Struct. Eng. 1999, 77, 15–21. [Google Scholar]
  3. Bailey, C.G.; Toh, W.S. Small-scale concrete slab tests at ambient and elevated temperatures. Eng. Struct. 2007, 29, 2775–2791. [Google Scholar] [CrossRef]
  4. Fostera, S.J.; Baileyb, C.G.; Burgessa, I.W.; Plankc, R.J. Experimental behaviour of concrete floor slabs at large displacements. Eng. Struct. 2004, 26, 1231–1247. [Google Scholar] [CrossRef]
  5. Lim, L.C.S.; Wade, C.A. Experimental Fire Tests of Two-Way Concrete Slabs; School of Engineering, University of Canterbury: Christchurch, New Zealand, 2002. [Google Scholar]
  6. Thienpont, T.; De Corte, W.; Caspeele, R.; Van Coile, R. Fire resistance and associated failure modes of axially restrained hollow core slabs. Fire Saf. J. 2023, 139, 103827. [Google Scholar] [CrossRef]
  7. Du, L.P.; Ji, X.P.; Wang, Y.X.; Han, F.Y.; Lu, K.W.; Wang, J.Q. Experimental study on thermal behaviors of two-layered functionally graded concrete slabs subjected to fire. Eng. Struct. 2023, 297, 117047. [Google Scholar] [CrossRef]
  8. Bolina, F.L.; Schallenberger, M.; Carvalho, H. Experimental and numerical evaluation of RC ribbed slabs in fire conditions. Structures 2023, 51, 747–759. [Google Scholar] [CrossRef]
  9. Hua, N.; Khorasani, N.E.; Tessari, A.; Ranade, R. Experimental study of fire damage to reinforced concrete tunnel slabs. Fire Saf. J. 2022, 127, 103504. [Google Scholar] [CrossRef]
  10. Wang, Y.; Ren, Z.; Huang, Z.; Gao, W.; Zhong, B.; Bu, Y.; Huang, Y.; Zhang, Y.; Yuan, G.; Ma, S. Experimental and numerical studies of six small-scale continuous concrete slabs subjected to travelling fires. Eng. Struct. 2021, 236, 112069. [Google Scholar] [CrossRef]
  11. Wang, Y.; Bisby, L.A.; Wang, T.Y.; Yuan, G.L.; Baharudin, E. Fire behaviour of reinforced concrete slabs under combined biaxial in-plane and out-of-plane loads. Fire Saf. J. 2018, 96, 27–45. [Google Scholar] [CrossRef]
  12. Lim, L.; Buchanan, A.; Moss, P.; Franssen, J.M. Numerical modelling of two-way reinforced concrete slabs in fire. Eng. Struct. 2004, 26, 1081–1091. [Google Scholar] [CrossRef]
  13. Jiang, L.M.; Orabi, M.A.; Jiang, J.; Usmani, A. Modelling concrete slabs subjected to fires using nonlinear layered shell elements and concrete damage-plasticity material. Eng. Struct. 2021, 234, 111977. [Google Scholar] [CrossRef]
  14. Wang, Y.; Yuan, G.L.; Huang, Z.H.; Lyu, J.L.; Li, Q.T.; Long, B.Y. Modelling of reinforced concrete slabs in fire. Fire Saf. J. 2018, 100, 171–185. [Google Scholar] [CrossRef]
  15. Khalaf, J.; Huang, Z.H. The bond behaviour of reinforced concrete members at elevated temperatures. Fire Saf. J. 2019, 103, 19–33. [Google Scholar] [CrossRef]
  16. Hawileh, R.A.; Kodur, V. Performance of reinforced concrete slabs under hydrocarbon fire exposure. Tunn. Undergr. Sp. Tech. 2018, 77, 177–187. [Google Scholar] [CrossRef]
  17. Qiu, J.; Jiang, L.M. An integrated section model to enable simulating composite slabs in fire simply as modelling a flat slab. Comput. Struct. 2023, 289, 107180. [Google Scholar] [CrossRef]
  18. Qiu, J.; Jiang, L.M.; Orabi, M.A.; Usmani, A.; Li, G.Q. A computational approach for modelling composite slabs in fire within OpenSees framework. Eng. Struct. 2022, 255, 113909. [Google Scholar] [CrossRef]
  19. Hua, N.; Khorasani, N.E.; Tessari, A. Numerical modeling of the fire behavior of reinforced concrete tunnel slabs during heating and cooling. Eng. Struct. 2022, 258, 114135. [Google Scholar] [CrossRef]
  20. Jiang, J.; Li, G.Q. Parameters affecting tensile membrane action of reinforced concrete floors subjected to elevated temperatures. Fire Saf. J. 2018, 96, 59–73. [Google Scholar] [CrossRef]
  21. Bailey, C.G. Membrane action of unrestrained lightly reinforced concrete slabs at large displacements. Eng. Struct. 2001, 23, 470–483. [Google Scholar] [CrossRef]
  22. Qi, H.H.; Chen, S.Y.; Wang, Y.; Li, G.Q. Tensile membrane action of RC slabs and steel-concrete composite slabs at elevated temperatures. Eng. Struct. 2024, 299, 117098. [Google Scholar] [CrossRef]
  23. Jiang, J.; Qi, H.H.; Lu, Y.L.; Li, G.Q.; Chen, W.; Ye, J.H. A state-of-the-art review on tensile membrane action in reinforced concrete floors exposed to fire. J. Build. Eng. 2022, 45, 103502. [Google Scholar] [CrossRef]
  24. Jiang, J.; Pintar, A.; Weigand, J.M.; Main, J.A.; Sadek, F. Improved calculation method for insulation-based fire resistance of composite slabs. Fire Saf. J. 2019, 105, 144–153. [Google Scholar] [CrossRef]
  25. Zhou, G.C. Structural Stressing State Analysis Theory and Its Applications; Harbin Institute of Technology Press: Harbin, China, 2020. [Google Scholar]
  26. Liu, B.; Zhang, Y.; Li, R.; Zhou, G.; Zhao, Y. Essential stressing state features of spirally reinforced concrete short columns revealed by modeling experimental strain data. Structures 2020, 25, 1–7. [Google Scholar] [CrossRef]
  27. Zhou, G.C.; Shi, J.; Li, P.C.; Li, H.H. Characteristics of structural state of stress for steel frame in progressive collapse. J. Constr. Steel Res. 2019, 160, 444–456. [Google Scholar] [CrossRef]
  28. Zhang, D.S.; Lin, X.H.; Wang, H.Q.; Dong, Y.L.; Zhang, J.C.; Hu, H.C. Experimental Investigation on Fire Behavior and Quantitative Restraint Forces of Steel-Concrete Composite Floor Systems. J. Struct. Eng. 2022, 148, 4022156. [Google Scholar] [CrossRef]
  29. GB 50010-2010; Code for the Design of Concrete Structures. MOHURD (Ministry of Housing and Urban-Rural Development of the People’s Republic of China). China Architecture & Building Press: Beijing, China, 2011. (In Chinese)
  30. CECS 273-2010; Code for Composite Slabs Design and Construction. CECS (China Association for Engineering Construction Standardization). China Planning Press: Beijing, China, 2010. (In Chinese)
  31. GB 50009-2012; Load Code for the Design of Building Structures; MOHURD (Ministry of Housing and Urban-Rural Development of the People’s Republic of China). China Architecture & Building Press: Beijing, China, 2012. (In Chinese)
  32. Qaidi, S.; Najm, H.M.; Abed, S.M.; Ahmed, H.U.; Al Dughaishi, H.; Al Lawati, J.; Sabri, M.M.; Alkhatib, F.; Milad, A. Fly ash-based geopolymer composites: A review of the compressive strength and microstructure analysis. Materials 2022, 15, 7098. [Google Scholar] [CrossRef] [PubMed]
  33. Jaf, D.K.I.; Abdulrahman, P.I.; Mohammed, A.S.; Kurda, R.; Qaidi, S.M.; Asteris, P.G. Machine learning techniques and multi-scale models to evaluate the impact of silicon dioxide (SiO2) and calcium oxide (CaO) in fly ash on the compressive strength of green concrete. Constr. Build. Mater. 2023, 400, 132604. [Google Scholar]
  34. Xiao, H.H.; Shi, J.; Liu, J.R.; Zheng, K.K.; Zhou, G.C. Stressing state characteristics of reinforcement concrete box-girders strengthened with carbon fiber reinforced plastic. J. Civ. Eng. Manag. 2020, 26, 1–13. [Google Scholar] [CrossRef]
Figure 1. The test model of steel–concrete composite floor system.
Figure 1. The test model of steel–concrete composite floor system.
Buildings 14 01964 g001
Figure 2. The arrangement of steel reinforcement.
Figure 2. The arrangement of steel reinforcement.
Buildings 14 01964 g002
Figure 3. The test setup.
Figure 3. The test setup.
Buildings 14 01964 g003
Figure 4. The stressing state analysis of the SCCFS in fire.
Figure 4. The stressing state analysis of the SCCFS in fire.
Buildings 14 01964 g004
Figure 5. The Ej,normTj curves and characteristic points of the SCCFS.
Figure 5. The Ej,normTj curves and characteristic points of the SCCFS.
Buildings 14 01964 g005
Figure 6. The test data of the SCCFS.
Figure 6. The test data of the SCCFS.
Buildings 14 01964 g006
Figure 7. The evolution curves and feature of the stressing state mode MjTj.
Figure 7. The evolution curves and feature of the stressing state mode MjTj.
Buildings 14 01964 g007
Figure 8. The evolution curves and features of the characteristic parameters in the directions of long and short spans.
Figure 8. The evolution curves and features of the characteristic parameters in the directions of long and short spans.
Buildings 14 01964 g008
Figure 9. The evolution curves and characteristic points of bending and axial stressing state characteristic parameters.
Figure 9. The evolution curves and characteristic points of bending and axial stressing state characteristic parameters.
Buildings 14 01964 g009
Figure 10. The MjabTj curve and characteristic points.
Figure 10. The MjabTj curve and characteristic points.
Buildings 14 01964 g010
Figure 11. The RjabTj curve and characteristic points.
Figure 11. The RjabTj curve and characteristic points.
Buildings 14 01964 g011
Figure 12. The equivalent strain and temperature curves for the long-span and short-span beam sections.
Figure 12. The equivalent strain and temperature curves for the long-span and short-span beam sections.
Buildings 14 01964 g012
Disclaimer/Publisher’s Note: The statements, opinions and data contained in all publications are solely those of the individual author(s) and contributor(s) and not of MDPI and/or the editor(s). MDPI and/or the editor(s) disclaim responsibility for any injury to people or property resulting from any ideas, methods, instructions or products referred to in the content.

Share and Cite

MDPI and ACS Style

Zhang, D.; Qi, J.; Wang, H.; Wang, K.; Dong, Y.; Zhou, G. Essential Load-Bearing Characteristics of Steel–Concrete Composite Floor System in Fire Revealed by Structural Stressing State Theory. Buildings 2024, 14, 1964. https://doi.org/10.3390/buildings14071964

AMA Style

Zhang D, Qi J, Wang H, Wang K, Dong Y, Zhou G. Essential Load-Bearing Characteristics of Steel–Concrete Composite Floor System in Fire Revealed by Structural Stressing State Theory. Buildings. 2024; 14(7):1964. https://doi.org/10.3390/buildings14071964

Chicago/Turabian Style

Zhang, Dashan, Jianquan Qi, Huiqing Wang, Kang Wang, Yuli Dong, and Guangchun Zhou. 2024. "Essential Load-Bearing Characteristics of Steel–Concrete Composite Floor System in Fire Revealed by Structural Stressing State Theory" Buildings 14, no. 7: 1964. https://doi.org/10.3390/buildings14071964

APA Style

Zhang, D., Qi, J., Wang, H., Wang, K., Dong, Y., & Zhou, G. (2024). Essential Load-Bearing Characteristics of Steel–Concrete Composite Floor System in Fire Revealed by Structural Stressing State Theory. Buildings, 14(7), 1964. https://doi.org/10.3390/buildings14071964

Note that from the first issue of 2016, this journal uses article numbers instead of page numbers. See further details here.

Article Metrics

Back to TopTop