Optimizing Solar Power Generation in Urban Industrial Blocks: The Impact of Block Typology and PV Material Performance
Abstract
1. Introduction
- (1)
- What are the differences between the distribution of solar radiation and the radiation potential of building facades in different layouts of industrial blocks?
- (2)
- What are the PV installation rates on the exterior surfaces of industrial blocks with different layouts when different materials are selected for PV equipment?
- (3)
- How will the PV equipment match different layouts of industrial blocks to obtain the best exploitation of solar resources?
2. Materials and Methods
2.1. Classification Criteria and Selection of Cases for Industrial Blocks
2.2. Selection of PV Materials and Performance Parameters
2.3. Acquisition of Radiation Data
2.3.1. Acquisition of Solar Radiation Data from Building Facades in Blocks
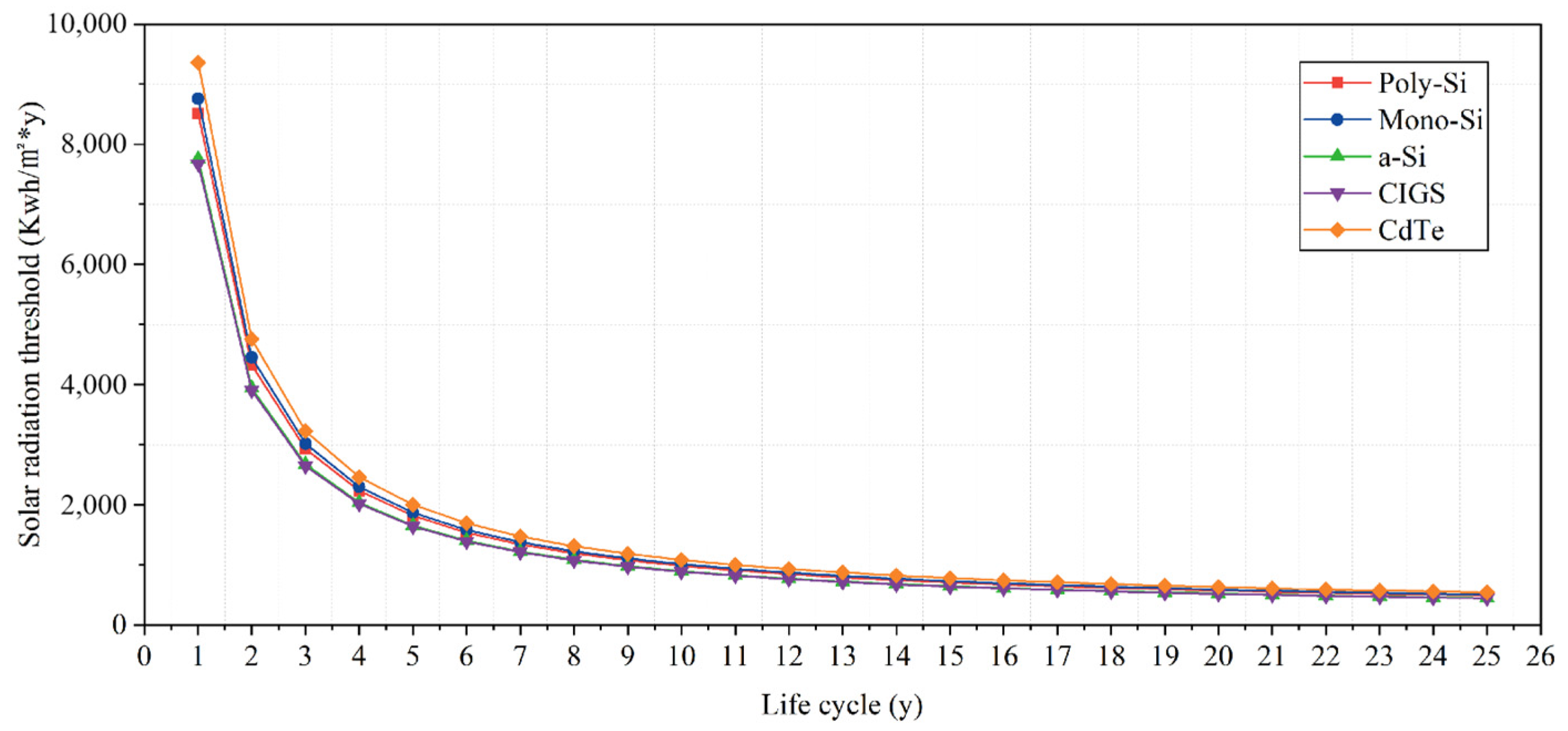
2.3.2. Calculation of Radiation Thresholds
2.4. Calculation of PV Power Generation
2.4.1. PV Power Generation
2.4.2. PV System Cost of Power Generation
3. Result and Discussion
3.1. Solar Radiation Potential Results
Characteristics of the Distribution of Solar Radiation on Building Surfaces in Various Types of Industrial Blocks
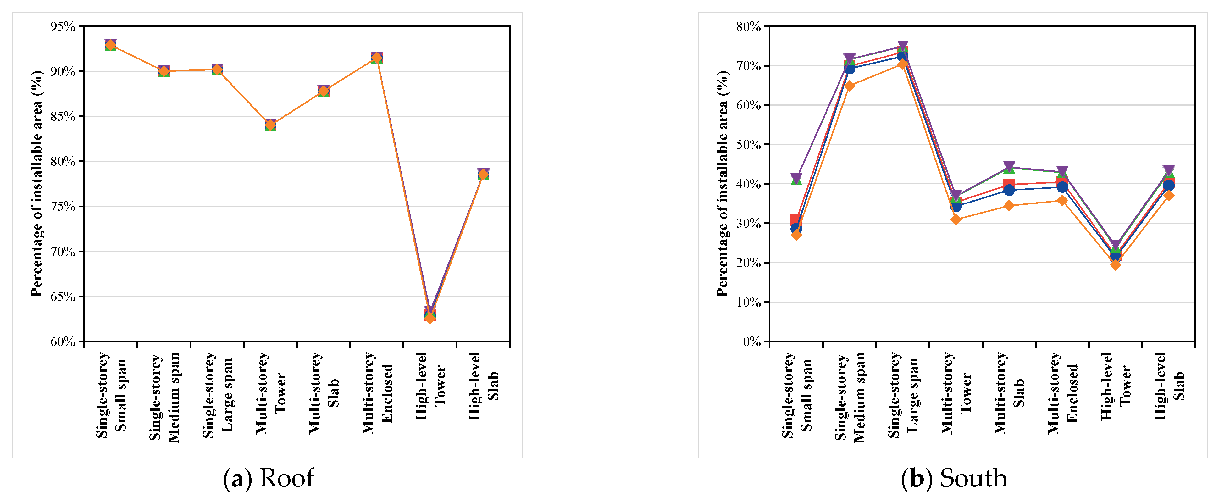
3.2. Analysis of PV Installation Rates
3.2.1. Percentage of the Area Meeting the Radiation Threshold
3.2.2. Installation Rates in Different Types of Blocks
3.3. Influence of the Different PV Materials on the Power Generation in Each Type of Block
3.3.1. Impact of PV Material Performance on Power Generation
3.3.2. PV Generation of Different Building Exterior Surfaces
4. Conclusions
- (1)
- Among all types of blocks, single-story industrial blocks have the highest radiation potential, and the roofs have a very high solar resource development value; the solar resource potential can be further improved by increasing the area share of roofs in the block.
- (2)
- Under the consideration of threshold conditions, there is a difference in the effect of PV material performance on the installation rate of different building surfaces, and the installation rate is affected by PV material from the largest to the smallest degree according to west > east > south > roof.
- (3)
- From the perspective of power generation, Mono-Si has a higher power generation level in all types of blocks, where different PV materials can lead to a maximum of 59.2% difference in power generation. Poly-Si and Mono-Si should be considered for higher power generation for single-story industrial blocks with a higher percentage of roof area, while for multi-story and high-rise industrial blocks with a higher percentage of facade areas, a-Si and CIGS can be considered for higher cost performance.
Author Contributions
Funding
Data Availability Statement
Acknowledgments
Conflicts of Interest
References
- Hoegh-Guldberg, O.; Jacob, D.; Taylor, M.; Guillén Bolaños, T.; Bindi, M.; Brown, S.; Camilloni, I.A.; Diedhiou, A.; Djalante, R.; Ebi, K.; et al. The Human Imperative of Stabilizing Global Climate Change at 1.5 °C. Science 2019, 365, eaaw6974. [Google Scholar] [CrossRef]
- Zheng, X.; Lu, Y.; Yuan, J.; Baninla, Y.; Zhang, S.; Stenseth, N.C.; Hessen, D.O.; Tian, H.; Obersteiner, M.; Chen, D. Drivers of Change in China’s Energy-Related CO2 Emissions. Proc. Natl. Acad. Sci. USA 2020, 117, 29–36. [Google Scholar] [CrossRef] [PubMed]
- Harris, S.; Weinzettel, J.; Bigano, A.; Källmén, A. Low Carbon Cities in 2050? GHG Emissions of European Cities Using Production-Based and Consumption-Based Emission Accounting Methods. J. Clean. Prod. 2020, 248, 119206. [Google Scholar] [CrossRef]
- Yu, H.J.J.; Geoffron, P. Chapter 13—Solar PV Market and Policies. In Photovoltaic Solar Energy Conversion; Gorjian, S., Shukla, A., Eds.; Academic Press: Cambridge, MA, USA, 2020; pp. 413–437. ISBN 978-0-12-819610-6. [Google Scholar]
- Czachura, A.; Gentile, N.; Kanters, J.; Wall, M. Identifying Potential Indicators of Neighbourhood Solar Access in Urban Planning. Buildings 2022, 12, 1575. [Google Scholar] [CrossRef]
- Building-Integrated Photovoltaic Technologies and Systems for Large-Scale Market Deployment: The PVSites Project. Available online: https://www.pvsites.eu/ (accessed on 4 April 2023).
- National Development and Reform Commission, Notice of the “Fourteenth Five-Year Plan” Modern Energy System. Available online: https://www.ndrc.gov.cn/xxgk/zcfb/ghwb/202203/t20220322_1320016.html?code=&state=123 (accessed on 13 May 2024).
- Lu, X.; McElroy, M.B.; Peng, W.; Liu, S.; Nielsen, C.P.; Wang, H. Challenges Faced by China Compared with the US in Developing Wind Power. Nat. Energy 2016, 1, 16061. [Google Scholar] [CrossRef]
- CNR News, China PV Development Outlook 2050: PV will be China’s No. 1 Power Source by 2050. Available online: http://china.cnr.cn/gdgg/20191213/t20191213_524897389.shtml (accessed on 4 April 2023).
- Yan, J.; Yang, Y.; Elia Campana, P.; He, J. City-Level Analysis of Subsidy-Free Solar Photovoltaic Electricity Price, Profits and Grid Parity in China. Nat. Energy 2019, 4, 709–717. [Google Scholar] [CrossRef]
- Manni, M.; Aghaei, M.; Sizkouhi, A.M.M.; Kumar, R.R.R.; Stølen, R.; Steen-Hansen, A.E.; Di Sabatino, M.; Moazami, A.; Völler, S.; Jelle, B.P.; et al. Solar Energy in the Built Environment. In Reference Module in Earth Systems and Environmental Sciences; Elsevier: Amsterdam, The Netherlands, 2023; ISBN 978-0-12-409548-9. [Google Scholar]
- Chen, Z.; Yu, B.; Li, Y.; Wu, Q.; Wu, B.; Huang, Y.; Wu, S.; Yu, S.; Mao, W.; Zhao, F.; et al. Assessing the Potential and Utilization of Solar Energy at the Building-Scale in Shanghai. Sustain. Cities Soc. 2022, 82, 103917. [Google Scholar] [CrossRef]
- Phap, V.M.; Sang, L.Q.; Ninh, N.Q.; Binh, D.V.; Hung, B.B.; Huyen, C.T.T.; Tung, N.T. Feasibility Analysis of Hydrogen Production Potential from Rooftop Solar Power Plant for Industrial Zones in Vietnam. Energy Rep. 2022, 8, 14089–14101. [Google Scholar] [CrossRef]
- Samykano, M. Hybrid Photovoltaic Thermal Systems: Present and Future Feasibilities for Industrial and Building Applications. Buildings 2023, 13, 1950. [Google Scholar] [CrossRef]
- Abdulmohsen, A.M.; Omran, W.A.; El-baz, W.; Abdel-Rahman, M.; Ezzat, M. Industrial Demand Adaptation to Renewable Resources. Ain Shams Eng. J. 2023, 14, 102179. [Google Scholar] [CrossRef]
- Akrofi, M.M.; Okitasari, M. Integrating Solar Energy Considerations into Urban Planning for Low Carbon Cities: A Systematic Review of the State-of-the-Art. Urban Gov. 2022, 2, 157–172. [Google Scholar] [CrossRef]
- Groppi, D.; de Santoli, L.; Cumo, F.; Astiaso Garcia, D. A GIS-Based Model to Assess Buildings Energy Consumption and Usable Solar Energy Potential in Urban Areas. Sustain. Cities Soc. 2018, 40, 546–558. [Google Scholar] [CrossRef]
- Li, H.X.; Zhang, Y.; Edwards, D.; Hosseini, M.R. Improving the Energy Production of Roof-Top Solar PV Systems through Roof Design. Build. Simul. 2020, 13, 475–487. [Google Scholar] [CrossRef]
- An, Y.; Chen, T.; Shi, L.; Heng, C.K.; Fan, J. Solar Energy Potential Using GIS-Based Urban Residential Environmental Data: A Case Study of Shenzhen, China. Sustain. Cities Soc. 2023, 93, 104547. [Google Scholar] [CrossRef]
- Hofierka, J.; Kaňuk, J. Assessment of Photovoltaic Potential in Urban Areas Using Open-Source Solar Radiation Tools. Renew. Energy 2009, 34, 2206–2214. [Google Scholar] [CrossRef]
- Wang, P.; Liu, Z.; Zhang, L. Sustainability of Compact Cities: A Review of Inter-Building Effect on Building Energy and Solar Energy Use. Sustain. Cities Soc. 2021, 72, 103035. [Google Scholar] [CrossRef]
- Boccalatte, A.; Thebault, M.; Ménézo, C.; Ramousse, J.; Fossa, M. Evaluating the Impact of Urban Morphology on Rooftop Solar Radiation: A New City-Scale Approach Based on Geneva GIS Data. Energy Build. 2022, 260, 111919. [Google Scholar] [CrossRef]
- Lu, M.; Zhang, Y.; Xing, J.; Ma, W. Assessing the Solar Radiation Quantity of High-Rise Residential Areas in Typical Layout Patterns: A Case in North-East China. Buildings 2018, 8, 148. [Google Scholar] [CrossRef]
- Li, J.; Wang, Y.; Xia, Y. A Novel Geometric Parameter to Evaluate the Effects of Block Form on Solar Radiation towards Sustainable Urban Design. Sustain. Cities Soc. 2022, 84, 104001. [Google Scholar] [CrossRef]
- Poon, K.H.; Kämpf, J.H.; Tay, S.E.R.; Wong, N.H.; Reindl, T.G. Parametric Study of URBAN Morphology on Building Solar Energy Potential in Singapore Context. Urban Clim. 2020, 33, 100624. [Google Scholar] [CrossRef]
- Shi, Z.; Fonseca, J.A.; Schlueter, A. A Parametric Method Using Vernacular Urban Block Typologies for Investigating Interactions between Solar Energy Use and Urban Design. Renew. Energy 2021, 165, 823–841. [Google Scholar] [CrossRef]
- Zhu, R.; Wong, M.S.; You, L.; Santi, P.; Nichol, J.; Ho, H.C.; Lu, L.; Ratti, C. The Effect of Urban Morphology on the Solar Capacity of Three-Dimensional Cities. Renew. Energy 2020, 153, 1111–1126. [Google Scholar] [CrossRef]
- Tian, J.; Xu, S. A Morphology-Based Evaluation on Block-Scale Solar Potential for Residential Area in Central China. Sol. Energy 2021, 221, 332–347. [Google Scholar] [CrossRef]
- Lan, H.; Gou, Z.; Hou, C. Understanding the Relationship between Urban Morphology and Solar Potential in Mixed-Use Neighborhoods Using Machine Learning Algorithms. Sustain. Cities Soc. 2022, 87, 104225. [Google Scholar] [CrossRef]
- Kannan, N.; Vakeesan, D. Solar Energy for Future World:—A Review. Renew. Sustain. Energy Rev. 2016, 62, 1092–1105. [Google Scholar] [CrossRef]
- Allouhi, A.; Rehman, S.; Buker, M.S.; Said, Z. Recent Technical Approaches for Improving Energy Efficiency and Sustainability of PV and PV-T Systems: A Comprehensive Review. Sustain. Energy Technol. Assess. 2023, 56, 103026. [Google Scholar] [CrossRef]
- Sinke, W.C. Development of Photovoltaic Technologies for Global Impact. Renew. Energy 2019, 138, 911–914. [Google Scholar] [CrossRef]
- Hoppe, H.; Sariciftci, N.S. Organic Solar Cells: An Overview. J. Mater. Res. 2004, 19, 1924–1945. [Google Scholar] [CrossRef]
- Green, M.A. Third Generation Photovoltaics: Solar Cells for 2020 and Beyond. Phys. E Low-Dimens. Syst. Nanostructures 2002, 14, 65–70. [Google Scholar] [CrossRef]
- Paul Ayeng’o, S.; Axelsen, H.; Haberschusz, D.; Sauer, D.U. A Model for Direct-Coupled PV Systems with Batteries Depending on Solar Radiation, Temperature and Number of Serial Connected PV Cells. Sol. Energy 2019, 183, 120–131. [Google Scholar] [CrossRef]
- Kumar, R.; Sinha, S.K.; Pandey, K. Effect of Temperature, Irradiation, Humidity and Wind on Ideal/Double Diode PV System Performance. In Proceedings of the 2016 IEEE 1st International Conference on Power Electronics, Intelligent Control and Energy Systems (ICPEICES), Delhi, India, 4–6 July 2016; pp. 1–5. [Google Scholar]
- Duarte, T.; Costa, S.A.C.; Diniz, A.S.A.C.; Braga, D.; Camatta, V.; Kazmerski, L.L. Module Soiling Spectral and Temperature Effect Comparisons: Focus on CIGSSe, a-SiH, and c-Si. In Proceedings of the 2021 IEEE 48th Photovoltaic Specialists Conference (PVSC), Fort Lauderdale, FL, USA, 20–25 June 2021; pp. 1732–1734. [Google Scholar]
- Gupta, V.; Sharma, M.; Pachauri, R.K.; Dinesh Babu, K.N. Comprehensive Review on Effect of Dust on Solar Photovoltaic System and Mitigation Techniques. Sol. Energy 2019, 191, 596–622. [Google Scholar] [CrossRef]
- Ali, M.; Iqbal, M.H.; Sheikh, N.A.; Ali, H.M.; Shehryar Manzoor, M.; Khan, M.M.; Tamrin, K.F. Performance Investigation of Air Velocity Effects on PV Modules under Controlled Conditions. Int. J. Photoenergy 2017, 2017, e3829671. [Google Scholar] [CrossRef]
- Polman, A.; Knight, M.; Garnett, E.C.; Ehrler, B.; Sinke, W.C. Photovoltaic Materials: Present Efficiencies and Future Challenges. Science 2016, 352, aad4424. [Google Scholar] [CrossRef] [PubMed]
- Sayyah, A.; Horenstein, M.N.; Mazumder, M.K. Energy Yield Loss Caused by Dust Deposition on Photovoltaic Panels. Sol. Energy 2014, 107, 576–604. [Google Scholar] [CrossRef]
- Song, Z.; Liu, J.; Yang, H. Air Pollution and Soiling Implications for Solar Photovoltaic Power Generation: A Comprehensive Review. Appl. Energy 2021, 298, 117247. [Google Scholar] [CrossRef]
- Enaganti, P.K.; Bhattacharjee, A.; Ghosh, A.; Chanchangi, Y.N.; Chakraborty, C.; Mallick, T.K.; Goel, S. Experimental Investigations for Dust Build-up on Low-Iron Glass Exterior and Its Effects on the Performance of Solar PV Systems. Energy 2022, 239, 122213. [Google Scholar] [CrossRef]
- Seme, S.; Krawczyk, A.; Tondyra, E.Ł.; Štumberger, B.; Hadžiselimović, M. The Efficiency of Different Orientations of Photovoltaic Systems. Prz. Elektrotechniczny 2017, 93, 201–204. [Google Scholar] [CrossRef][Green Version]
- Jathar, L.D.; Ganesan, S.; Awasarmol, U.; Nikam, K.; Shahapurkar, K.; Soudagar, M.E.M.; Fayaz, H.; El-Shafay, A.S.; Kalam, M.A.; Bouadila, S.; et al. Comprehensive Review of Environmental Factors Influencing the Performance of Photovoltaic Panels: Concern over Emissions at Various Phases throughout the Lifecycle. Environ. Pollut. 2023, 326, 121474. [Google Scholar] [CrossRef]
- Meral, M.E.; Dinçer, F. A Review of the Factors Affecting Operation and Efficiency of Photovoltaic Based Electricity Generation Systems. Renew. Sustain. Energy Rev. 2011, 15, 2176–2184. [Google Scholar] [CrossRef]
- Green, M.A.; Dunlop, E.D.; Hohl-Ebinger, J.; Yoshita, M.; Kopidakis, N.; Hao, X. Solar Cell Efficiency Tables (Version 56). Prog. Photovolt. Res. Appl. 2020, 28, 629–638. [Google Scholar] [CrossRef]
- GB/T 50006-2010; Standard for Modular Coordination of Industrial Buildings. China Planning Press: Beijing, China, 2010.
- GB 50352-2019; Uniform Standard for Design of Civil Buildings. China Architecture & Building Press: Beijing, China, 2019.
- Sharma, S.; Jain, K.K.; Sharma, A. Solar Cells: In Research and Applications—A Review. Mater. Sci. Appl. 2015, 6, 1145–1155. [Google Scholar] [CrossRef]
- Yan, L.L.; Han, C.; Shi, B.; Zhao, Y.; Zhang, X.D. A Review on C-Si Bottom Cell for Monolithic Perovskite/Silicon Tandem Solar Cells. Mater. Today Nano 2019, 7, 100045. [Google Scholar] [CrossRef]
- Celadyn, W.; Filipek, P. Investigation of the Effective Use of Photovoltaic Modules in Architecture. Buildings 2020, 10, 145. [Google Scholar] [CrossRef]
- Maghrabie, H.M.; Abdelkareem, M.A.; Al-Alami, A.H.; Ramadan, M.; Mushtaha, E.; Wilberforce, T.; Olabi, A.G. State-of-the-Art Technologies for Building-Integrated Photovoltaic Systems. Buildings 2021, 11, 383. [Google Scholar] [CrossRef]
- Li, Y.; Li, L.; Deng, W.; Zhu, D.; Hong, L. Building Integrated Photovoltaic (BIPV) Development Knowledge Map: A Review of Visual Analysis Using CiteSpace. Buildings 2023, 13, 389. [Google Scholar] [CrossRef]
- Lewis, N.S. Research Opportunities to Advance Solar Energy Utilization. Science 2016, 351, aad1920. [Google Scholar] [CrossRef] [PubMed]
- Liao, W.; Heo, Y.; Xu, S. Simplified Vector-Based Model Tailored for Urban-Scale Prediction of Solar Irradiance. Sol. Energy 2019, 183, 566–586. [Google Scholar] [CrossRef]
- Wu, Y.; Li, S.; Gao, X.; Fan, H. Daylighting Performance of CdTe Semi-Transparent Photovoltaic Skylights with Different Shapes for University Gymnasium Buildings. Buildings 2024, 14, 241. [Google Scholar] [CrossRef]
- Wang, C.; Zhang, X.; Chen, W.; Jiang, F.; Zhao, X. Multivariate Evaluation of Photovoltaic Utilization Potential of Primary and Secondary School Buildings: A Case Study in Hainan Province, China. Buildings 2024, 14, 810. [Google Scholar] [CrossRef]
- Xu, S.; Huang, Z.; Wang, J.; Mendis, T.; Huang, J. Evaluation of Photovoltaic Potential by Urban Block Typology: A Case Study of Wuhan, China. Renew. Energy Focus 2019, 29, 141–147. [Google Scholar] [CrossRef]
- Luo Qing, W.Y. Solution of Integrated Reflection for Cities. J. Civ. Environ. Eng. 2015, 37, 7–11. [Google Scholar] [CrossRef]
- Compagnon, R. Solar and Daylight Availability in the Urban Fabric. Energy Build. 2004, 36, 321–328. [Google Scholar] [CrossRef]
- Romero Rodríguez, L.; Duminil, E.; Sánchez Ramos, J.; Eicker, U. Assessment of the Photovoltaic Potential at Urban Level Based on 3D City Models: A Case Study and New Methodological Approach. Sol. Energy 2017, 146, 264–275. [Google Scholar] [CrossRef]
- Home—IEA-PVPS. Available online: https://iea-pvps.org/ (accessed on 4 April 2023).
- Kumar, M.; Kumar, A. Performance Assessment and Degradation Analysis of Solar Photovoltaic Technologies: A Review. Renew. Sustain. Energy Rev. 2017, 78, 554–587. [Google Scholar] [CrossRef]
- National Development and Reform Commission, Notice on Matters Related to the Feed-in Tariff Policy for Photovoltaic Power Generation in 2020. Available online: https://www.ndrc.gov.cn/xxgk/zcfb/tz/202004/t20200402_1225031.html?code=&state=123 (accessed on 4 April 2023).
- Redweik, P.; Catita, C.; Brito, M. Solar Energy Potential on Roofs and Facades in an Urban Landscape. Sol. Energy 2013, 97, 332–341. [Google Scholar] [CrossRef]
- Xiang, C.; Matusiak, B.S. Façade Integrated Photovoltaics Design for High-Rise Buildings with Balconies, Balancing Daylight, Aesthetic and Energy Productivity Performance. J. Build. Eng. 2022, 57, 104950. [Google Scholar] [CrossRef]
- Martín-Chivelet, N.; Kapsis, K.; Wilson, H.R.; Delisle, V.; Yang, R.; Olivieri, L.; Polo, J.; Eisenlohr, J.; Roy, B.; Maturi, L.; et al. Building-Integrated Photovoltaic (BIPV) Products and Systems: A Review of Energy-Related Behavior. Energy Build. 2022, 262, 111998. [Google Scholar] [CrossRef]
- Kuhn, T.E.; Erban, C.; Heinrich, M.; Eisenlohr, J.; Ensslen, F.; Neuhaus, D.H. Review of Technological Design Options for Building Integrated Photovoltaics (BIPV). Energy Build. 2021, 231, 110381. [Google Scholar] [CrossRef]
- Azami, A.; Sevinç, H. The Energy Performance of Building Integrated Photovoltaics (BIPV) by Determination of Optimal Building Envelope. Build. Environ. 2021, 199, 107856. [Google Scholar] [CrossRef]
















| Height | Typology | Classification Criteria |
|---|---|---|
| Single-story | Small span |
|
| Medium span |
| |
| Large span |
| |
| Multi-story | Tower |
|
| Slab |
| |
| Enclosed |
| |
| High-rise | Tower |
|
| Slab |
|
| Type | Models of Cases | |||||
|---|---|---|---|---|---|---|
| Single-story | Small span | ![]() | ![]() | ![]() | ![]() | ![]() |
| A1 | A2 | A3 | A4 | A5 | ||
| Medium span | ![]() | ![]() | ![]() | ![]() | ![]() | |
| B1 | B2 | B3 | B4 | B5 | ||
| Large span | ![]() | ![]() | ![]() | ![]() | ![]() | |
| C1 | C2 | C3 | C4 | C5 | ||
| Multi-story | Tower | ![]() | ![]() | ![]() | ![]() | ![]() |
| D1 | D2 | D3 | D4 | D5 | ||
| Slab | ![]() | ![]() | ![]() | ![]() | ![]() | |
| E1 | E2 | E3 | E4 | E5 | ||
| Enclosed | ![]() | ![]() | ![]() | ![]() | ![]() | |
| F1 | F2 | F3 | F4 | F5 | ||
| High-rise | Tower | ![]() | ![]() | ![]() | ![]() | ![]() |
| G1 | G2 | G3 | G4 | G5 | ||
| Slab | ![]() | ![]() | ![]() | ![]() | ![]() | |
| H1 | H2 | H3 | H4 | H5 | ||
| Types of PV Materials | Conversion Efficiency (%) | Attenuation Rate of PV System (%) | Power Density of PV Modules (W/m2) |
|---|---|---|---|
| Poly-Si | 17.92 | 1.40 | 174.30 |
| Mono-Si | 20.07 | 1.39 | 200.86 |
| a-Si | 8.08 | 1.40 | 71.593 |
| CIGS | 15.79 | 1.40 | 138.44 |
| CdTe | 16.14 | 1.40 | 172.63 |
| Types of PV Materials | Solar Radiation Thresholds (kWh/m2/y) |
|---|---|
| Poly-Si | 575.28 |
| Mono-Si | 592.38 |
| a-Si | 525.12 |
| CIGS | 519.55 |
| CdTe | 633.73 |
| Types of PV Materials | Total Cost of the PV System (RMB/m2) |
|---|---|
| Poly-Si | 1150.38 |
| Mono-Si | 1325.68 |
| a-Si | 472.51 |
| CIGS | 913.70 |
| CdTe | 1139.36 |
| Single-Story | Multi-Story | High-Rise | |||||||
|---|---|---|---|---|---|---|---|---|---|
| Small Span | Medium Span | Large Span | Tower | Slab | Enclosed | Tower | Slab | ||
| Roof | Poly-Si | 92.90% | 90.00% | 90.20% | 84.00% | 87.80% | 91.49% | 62.95% | 78.54% |
| Mono-Si | 92.90% | 90.00% | 90.20% | 84.00% | 87.80% | 91.49% | 62.84% | 78.54% | |
| a-Si | 92.90% | 90.00% | 90.20% | 84.00% | 87.80% | 91.49% | 63.30% | 78.56% | |
| CIGS | 92.90% | 90.00% | 90.20% | 84.00% | 87.80% | 91.49% | 63.32% | 78.57% | |
| CdTe | 92.90% | 90.00% | 90.20% | 84.00% | 87.80% | 91.49% | 62.53% | 78.54% | |
| South | Poly-Si | 30.76% | 69.88% | 73.41% | 35.32% | 39.78% | 40.48% | 21.79% | 40.34% |
| Mono-Si | 28.63% | 69.26% | 72.34% | 34.29% | 38.41% | 39.17% | 21.27% | 39.60% | |
| a-Si | 41.10% | 71.57% | 74.86% | 36.74% | 44.06% | 42.85% | 23.91% | 43.01% | |
| CIGS | 41.15% | 71.60% | 74.90% | 36.93% | 44.21% | 42.99% | 24.22% | 43.32% | |
| CdTe | 27.07% | 64.90% | 70.38% | 30.94% | 34.46% | 35.78% | 19.43% | 37.05% | |
| East | Poly-Si | 42.91% | 48.04% | 40.85% | 12.63% | 18.88% | 31.25% | 16.12% | 31.44% |
| Mono-Si | 41.14% | 46.10% | 40.68% | 11.23% | 17.92% | 29.92% | 14.63% | 24.51% | |
| a-Si | 47.75% | 58.91% | 63.74% | 18.05% | 26.98% | 36.06% | 18.89% | 34.25% | |
| CIGS | 48.09% | 58.98% | 64.00% | 18.29% | 27.14% | 36.46% | 19.12% | 34.75% | |
| CdTe | 34.11% | 44.31% | 39.61% | 0.85% | 14.31% | 17.51% | 4.61% | 10.06% | |
| West | Poly-Si | 13.32% | 46.88% | 64.14% | 18.72% | 33.18% | 15.08% | 14.12% | 32.65% |
| Mono-Si | 12.76% | 45.64% | 27.28% | 17.16% | 27.34% | 12.44% | 13.45% | 31.69% | |
| a-Si | 34.83% | 55.38% | 67.97% | 23.82% | 40.09% | 29.36% | 17.85% | 35.95% | |
| CIGS | 35.60% | 58.25% | 68.80% | 24.01% | 41.03% | 29.95% | 18.06% | 36.44% | |
| CdTe | 0.02% | 0.01% | 24.00% | 15.48% | 17.32% | 8.29% | 10.16% | 20.49% | |
Disclaimer/Publisher’s Note: The statements, opinions and data contained in all publications are solely those of the individual author(s) and contributor(s) and not of MDPI and/or the editor(s). MDPI and/or the editor(s) disclaim responsibility for any injury to people or property resulting from any ideas, methods, instructions or products referred to in the content. |
© 2024 by the authors. Licensee MDPI, Basel, Switzerland. This article is an open access article distributed under the terms and conditions of the Creative Commons Attribution (CC BY) license (https://creativecommons.org/licenses/by/4.0/).
Share and Cite
Wang, M.; Li, T.; Li, C.; Zhou, H.; Ju, X.; Tang, W.; Han, Y.; Xu, S. Optimizing Solar Power Generation in Urban Industrial Blocks: The Impact of Block Typology and PV Material Performance. Buildings 2024, 14, 1914. https://doi.org/10.3390/buildings14071914
Wang M, Li T, Li C, Zhou H, Ju X, Tang W, Han Y, Xu S. Optimizing Solar Power Generation in Urban Industrial Blocks: The Impact of Block Typology and PV Material Performance. Buildings. 2024; 14(7):1914. https://doi.org/10.3390/buildings14071914
Chicago/Turabian StyleWang, Minghao, Ting Li, Chunfang Li, Haizhu Zhou, Xiaolei Ju, Wensheng Tang, Yunsong Han, and Shen Xu. 2024. "Optimizing Solar Power Generation in Urban Industrial Blocks: The Impact of Block Typology and PV Material Performance" Buildings 14, no. 7: 1914. https://doi.org/10.3390/buildings14071914
APA StyleWang, M., Li, T., Li, C., Zhou, H., Ju, X., Tang, W., Han, Y., & Xu, S. (2024). Optimizing Solar Power Generation in Urban Industrial Blocks: The Impact of Block Typology and PV Material Performance. Buildings, 14(7), 1914. https://doi.org/10.3390/buildings14071914








































