MFRWA: A Multi-Frequency Rayleigh Wave Approximation Method for Concrete Carbonation Depth Evaluation
Abstract
1. Introduction
2. Methodology

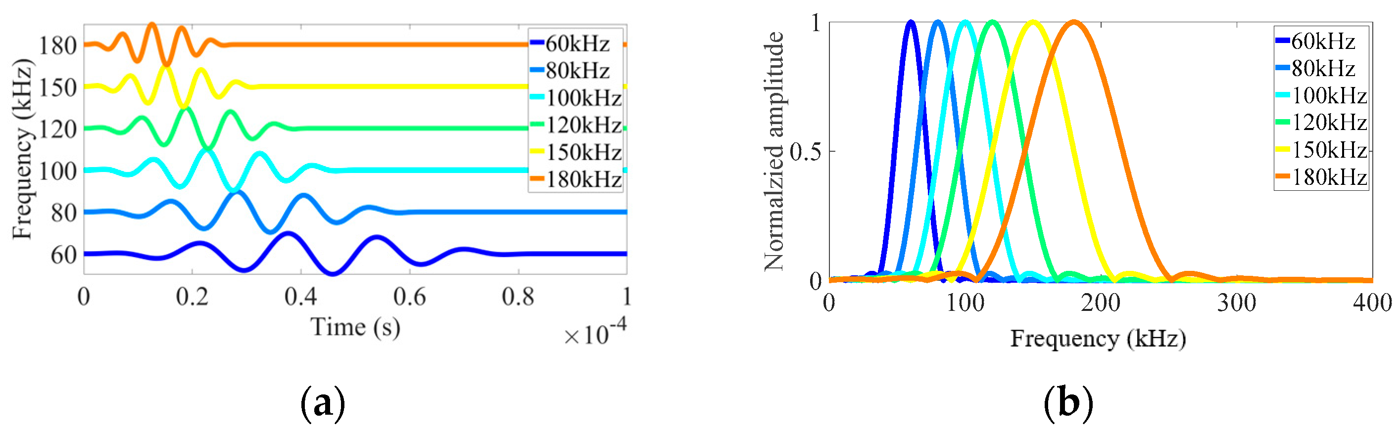
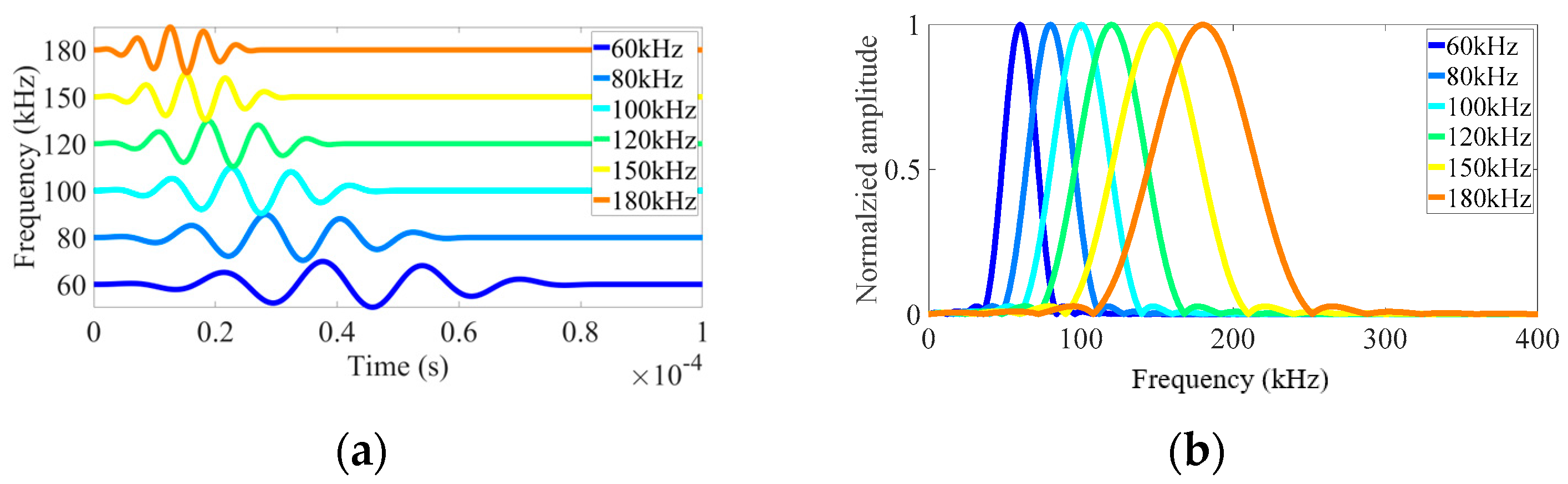
3. Numerical Study
4. Experimental Verifications
4.1. Concrete Specimens
4.2. Ultrasonic System
4.3. Concrete Carbonation Characterization Methods
4.3.1. TGA Method
4.3.2. Phenolphthalein Test Method
5. Experimental Results and Discussions
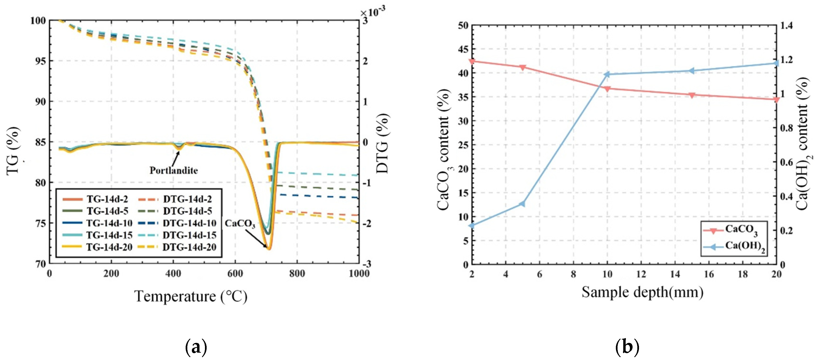
5.1. TGA Results
5.2. Phenolphthalein Test Results
5.3. Ultrasonic Transducer Durability and Rayleigh Wave Testing Results
5.4. Results Discussion
6. Conclusions
Author Contributions
Funding
Data Availability Statement
Conflicts of Interest
References
- Manjunatha, M.; Seth, D.; Balaji, K.; Roy, S.; Tangadagi, R.B. Utilization of Industrial-Based PVC Waste Powder in Self-Compacting Concrete: A Sustainable Building Material. J. Clean. Prod. 2023, 428, 139428. [Google Scholar] [CrossRef]
- Seifu, M.N.; Kim, G.M.; Park, S.; Son, H.M.; Park, S. Thermodynamic Modeling of Sulfate Attack on Carbonated Portland Cement Blended with Blast Furnace Slag. Dev. Built Environ. 2023, 15, 100205. [Google Scholar] [CrossRef]
- Fuhaid, A.F.A.; Niaz, A. Carbonation and Corrosion Problems in Reinforced Concrete Structures. Buildings 2022, 12, 586. [Google Scholar] [CrossRef]
- Elsener, B. Corrosion of Steel in Concrete. In Materials Science and Technology: A Comprehensive Treatment; Cahn, R.W., Haasen, P., Kramer, E.J., Eds.; Wiley-VCH Verlag GmbH: Weinheim, Germany, 2000; pp. 389–436. ISBN 978-3-527-61930-6. [Google Scholar]
- Achenbach, R.; Raupach, M. Passivation of Steel Reinforcement in Low Carbon Concrete. Buildings 2024, 14, 895. [Google Scholar] [CrossRef]
- Ervin, B.L.; Reis, H. Longitudinal Guided Waves for Monitoring Corrosion in Reinforced Mortar. Meas. Sci. Technol. 2008, 19, 055702. [Google Scholar] [CrossRef]
- Yoon, I.-S.; Çopuroğlu, O.; Park, K.-B. Effect of Global Climatic Change on Carbonation Progress of Concrete. Atmos. Environ. 2007, 41, 7274–7285. [Google Scholar] [CrossRef]
- Jeong, H.; Jung, B.J.; Kim, J.H.; Seo, S.-Y.; Yun, H.D.; Kim, K.S. pH Sensor Using Aniline Blue and Functionalized Nylon for Monitoring the Final Stage of Concrete Carbonation. Smart Mater. Struct. 2023, 32, 095013. [Google Scholar] [CrossRef]
- Qiu, Q. A State-of-the-Art Review on the Carbonation Process in Cementitious Materials: Fundamentals and Characterization Techniques. Constr. Build. Mater. 2020, 247, 118503. [Google Scholar] [CrossRef]
- Chang, C.F.; Chen, J.W. Strength and Elastic Modulus of Carbonated Concrete. ACI Mater. J. 2005, 102, 315–321. [Google Scholar] [CrossRef]
- Thiery, M.; Villain, G.; Dangla, P.; Platret, G. Investigation of the Carbonation Front Shape on Cementitious Materials: Effects of the Chemical Kinetics. Cem. Concr. Res. 2007, 37, 1047–1058. [Google Scholar] [CrossRef]
- Chang, C.-F.; Chen, J.-W. The Experimental Investigation of Concrete Carbonation Depth. Cem. Concr. Res. 2006, 36, 1760–1767. [Google Scholar] [CrossRef]
- Lo, Y.; Lee, H.M. Curing e Ects on Carbonation of Concrete Using a Phenolphthalein Indicator and Fourier-Transform Infrared Spectroscopy. Build. Environ. 2002, 37, 507–514. [Google Scholar] [CrossRef]
- Hong, S.; Jiang, R.; Zheng, F.; Fan, S.; Dong, B. Quantitative Characterization of Carbonation of Cement-Based Materials Using X-ray Imaging. Cem. Concr. Compos. 2022, 134, 104794. [Google Scholar] [CrossRef]
- Saillio, M.; Baroghel-Bouny, V.; Pradelle, S.; Bertin, M.; Vincent, J.; d’Espinose De Lacaillerie, J.-B. Effect of Supplementary Cementitious Materials on Carbonation of Cement Pastes. Cem. Concr. Res. 2021, 142, 106358. [Google Scholar] [CrossRef]
- Figueiredo, E.; Brownjohn, J. Three Decades of Statistical Pattern Recognition Paradigm for SHM of Bridges. Struct. Health Monit. 2022, 21, 3018–3054. [Google Scholar] [CrossRef]
- Li, D.; Liang, Z.-L.; Ren, W.-X.; Yang, D.; Wang, S.-D.; Xiang, S.-L. Structural Damage Identification under Nonstationary Excitations through Recurrence Plot and Multi-Label Convolutional Neural Network. Measurement 2021, 186, 110101. [Google Scholar] [CrossRef]
- Humar, J.; Bagchi, A.; Xu, H. Performance of Vibration-Based Techniques for the Identification of Structural Damage. Struct. Health Monit. 2006, 5, 215–241. [Google Scholar] [CrossRef]
- Li, D.; Nie, J.-H.; Ren, W.-X.; Ng, W.-H.; Wang, G.-H.; Wang, Y. A Novel Acoustic Emission Source Location Method for Crack Monitoring of Orthotropic Steel Plates. Eng. Struct. 2022, 253, 113717. [Google Scholar] [CrossRef]
- Li, D.; Nie, J.-H.; Wang, H.; Ren, W.-X. Loading Condition Monitoring of High-Strength Bolt Connections Based on Physics-Guided Deep Learning of Acoustic Emission Data. Mech. Syst. Signal Process. 2024, 206, 110908. [Google Scholar] [CrossRef]
- Li, D.; Nie, J.-H.; Wang, H.; Yan, J.-B.; Hu, C.-X.; Shen, P. Damage Location, Quantification and Characterization of Steel-Concrete Composite Beams Using Acoustic Emission. Eng. Struct. 2023, 283, 115866. [Google Scholar] [CrossRef]
- Li, X.-X.; Li, D.; Ren, W.-X.; Zhang, J.-S. Loosening Identification of Multi-Bolt Connections Based on Wavelet Transform and ResNet-50 Convolutional Neural Network. Sensors 2022, 22, 6825. [Google Scholar] [CrossRef]
- Chen, L.; Xiong, H.; Li, X.; Lu, Y.; Kong, Q. An Ensemble Learning Approach to Condition Assessment of Dissipative CLT Connections Based on Piezoceramic Sensor Data. Eng. Appl. Artif. Intell. 2023, 117, 105514. [Google Scholar] [CrossRef]
- Zhang, T.; Zhang, L.; Ozevin, D.; Attard, T. Multi-Scale Ultrasonic Imaging of Sub-Surface Concrete Defects. Meas. Sci. Technol. 2023, 35, 035901. [Google Scholar] [CrossRef]
- Lai, Q.; Lu, L.; Xu, C.; Hu, N.; Deng, M. A Novel Pulse-Echo Piezoelectric Transducer for Detecting Quasi-Static Component Induced by an Ultrasonic Longitudinal Wave. Meas. Sci. Technol. 2023, 35, 035118. [Google Scholar] [CrossRef]
- Sun, X.-T.; Li, D.; He, W.-Y.; Wang, Z.-C.; Ren, W.-X. Grouting Quality Evaluation in Post-Tensioning Tendon Ducts Using Wavelet Packet Transform and Bayes Classifier. Sensors 2019, 19, 5372. [Google Scholar] [CrossRef]
- Sun, X.; Zhang, M.; Gao, W.; Guo, C.; Kong, Q. A Novel Method for Steel Bar All-Stage Pitting Corrosion Monitoring Using the Feature-Level Fusion of Ultrasonic Direct Waves and Coda Waves. Struct. Health Monit. 2023, 22, 714–729. [Google Scholar] [CrossRef]
- Li, X.; Liu, G.; Sun, Q.; Chen, H.; Chen, L.; Zhang, M.; Sun, X. Bolt Tightness Monitoring Using Multiple Reconstructed Narrowband Lamb Waves Combined with Piezoelectric Ultrasonic Transducer. Smart Mater. Struct. 2023, 32, 105017. [Google Scholar] [CrossRef]
- Sun, X.; Guo, C.; Yuan, L.; Kong, Q.; Ni, Y. Diffuse Ultrasonic Wave-Based Damage Detection of Railway Tracks Using PZT/FBG Hybrid Sensing System. Sensors 2022, 22, 2504. [Google Scholar] [CrossRef]
- Gao, W.; Kong, Q.; Lu, W.; Lu, X. High Spatial Resolution Imaging for Damage Detection in Concrete Based on Multiple Wavelet Decomposition. Constr. Build. Mater. 2022, 319, 126057. [Google Scholar] [CrossRef]
- Villarreal, A.; Cosmes-López, M.; León-Martínez, F.M.; Castellanos, F.; Solis-Najera, S.E.; Medina, L. Ultrasonic phase velocity of carbonated cement paste probes. Appl. Acoust. 2019, 154, 129–134. [Google Scholar] [CrossRef]
- Mendes, A.Z.; Medeiros-Junior, R.A.; Da Silva Munhoz, G. Effect of the Corrosion Degree and the Carbonation Depth on the Electrical Resistivity, Ultrasonic Pulse Velocity and Corrosion Potential. J. Build. Rehabil. 2019, 4, 15. [Google Scholar] [CrossRef]
- Bouchaala, F.; Payan, C.; Garnier, V.; Balayssac, J.P. Carbonation Assessment in Concrete by Nonlinear Ultrasound. Cem. Concr. Res. 2011, 41, 557–559. [Google Scholar] [CrossRef]
- Kim, G.; Kim, J.Y.; Kurtis, K.E.; Jacobs, L.J.; Le Pape, Y.; Guimaraes, M. Quantitative Evaluation of Carbonation in Concrete Using Nonlinear Ultrasound. Mater. Struct./Mater. Constr. 2016, 49, 399–409. [Google Scholar] [CrossRef]
- Cheng, W.; Sun, H.-H.; Wan, L.S.; Fan, Z.; Tan, K.H. Corrosion Damage Detection in Reinforced Concrete Using Rayleigh Wave-Based Method. Cem. Concr. Compos. 2023, 143, 105253. [Google Scholar] [CrossRef]
- Liu, X.; He, J.; Cheng, Q.; Yang, S.; Li, M. Surface Defect Identification Based on Broadband Laser-Generated Rayleigh Wave with Wavenumber Filtering. Meas. Sci. Technol. 2023, 34, 125205. [Google Scholar] [CrossRef]
- Lee, F.W.; Chai, H.K.; Lim, K.S.; Lau, S.H. Concrete Sub-Surface Crack Characterization by Means of Surface Rayleigh Wave Method. ACI Mater. J. 2019, 116, 113–123. [Google Scholar] [CrossRef]
- Aggelis, D.G.; Shiotani, T.; Polyzos, D. Characterization of Surface Crack Depth and Repair Evaluation Using Rayleigh Waves. Cem. Concr. Compos. 2009, 31, 77–83. [Google Scholar] [CrossRef]
- Hevin, G.; Abraham, O.; Pedersen, H.; Campillo, M. Characterization of Surface Cracks with Rayleigh Waves: A Numerical Model. NDT E Int. 1998, 31, 289–297. [Google Scholar] [CrossRef]
- Liu, H.; Wang, Z.; Zheng, B. Surface Crack Characterization Using Laser Nonlinear Ultrasonics Based on the Bispectrum. Meas. Sci. Technol. 2020, 32, 035204. [Google Scholar] [CrossRef]
- Achenbach, J. Wave Propagation in Elastic Solids; Elsevier: Amsterdam, The Netherlands, 2012. [Google Scholar]
- Bolt, B.A. Earthquakes, 5th ed.; W. H. Freeman: New York, NY, USA, 1993. [Google Scholar]
- Miller, G.F.; Pursey, H. On the Partition of Energy between Elastic Waves in a Semi-Infinite Solid. Proc. R. Soc. Lond. Ser. A Math. Phys. Sci. 1955, 233, 55–69. [Google Scholar]
- Strobbia, C. Surface Wave Methods: Acquisition, Processing and Inversion. 2003. Available online: https://www.scribd.com/document/499925178/10-1-1-129-9410 (accessed on 12 June 2024).
- Zerwer, A.; Polak, M.A.; Santamarina, J.C. Detection of Surface Breaking Cracks in Concrete Members Using Rayleigh Waves. J. Environ. Eng. Geophys. 2005, 10, 295–306. [Google Scholar] [CrossRef]
- Aggelis, D.; Shiotani, T. Repair Evaluation of Concrete Cracks Using Surface and Through-Transmission Wave Measurements. Cem. Concr. Compos. 2007, 29, 700–711. [Google Scholar] [CrossRef]
- Athanasopoulos, G.; Pelekis, P.; Anagnostopoulos, G. Effect of Soil Stiffness in the Attenuation of Rayleigh-Wave Motions from Field Measurements. Soil Dyn. Earthq. Eng. 2000, 19, 277–288. [Google Scholar] [CrossRef]
- Hussain, S.; Bhunia, D.; Singh, S.B. Comparative Study of Accelerated Carbonation of Plain Cement and Fly-Ash Concrete. J. Build. Eng. 2017, 10, 26–31. [Google Scholar] [CrossRef]
- Chang, J.J.; Yeih, W.; Huang, R.; Chi, J.M. Mechanical Properties of Carbonated Concrete. J. Chin. Inst. Eng. 2003, 26, 513–522. [Google Scholar] [CrossRef]
- GB/T 50082-2009; Standard for Test Methods of Long-Term Performance and Durability of Ordinary Concrete. China Academy of Building Research: Beijing, China, 2009.
- Li, X.; Chen, L.; Chen, H.; Kong, Q. HPSA: A High-Performance Smart Aggregate for Concrete Structural Health Monitoring Based on Acoustic Impedance Matching Method. Smart Mater. Struct. 2023, 32, 075007. [Google Scholar] [CrossRef]
- Lin, B.; Giurgiutiu, V.; Pollock, P.; Xu, B.; Doane, J. Durability and Survivability of Piezoelectric Wafer Active Sensors on Metallic Structure. AIAA J. 2010, 48, 635–643. [Google Scholar] [CrossRef]















| Density (kg/m3) | Elastic Modulus (GPa) | Poisson’s Ratio | |
|---|---|---|---|
| Non-carbonated concrete | 2100 | 26 | 0.22 |
| Carbonated concrete | 2300 | 30.16 | 0.22 |
| Excitation Frequency (kHz) | Theoretical Penetration Depth (mm) | Estimated Carbonation Depth (mm) |
|---|---|---|
| 60 | 33.3 | 35 |
| 80 | 25 | 26 |
| 100 | 20 | 22 |
| 120 | 16.7 | 17 |
| 150 | 13.3 | 13 |
| 180 | 11.1 | 10 |
| w/c | Water | Cement | Fine Aggregate Coarse | Aggregate |
|---|---|---|---|---|
| 0.60 | 197.33 | 327.92 | 706.39 | 1152.54 |
Disclaimer/Publisher’s Note: The statements, opinions and data contained in all publications are solely those of the individual author(s) and contributor(s) and not of MDPI and/or the editor(s). MDPI and/or the editor(s) disclaim responsibility for any injury to people or property resulting from any ideas, methods, instructions or products referred to in the content. |
© 2024 by the authors. Licensee MDPI, Basel, Switzerland. This article is an open access article distributed under the terms and conditions of the Creative Commons Attribution (CC BY) license (https://creativecommons.org/licenses/by/4.0/).
Share and Cite
Sun, X.; Cui, Y.; Chen, J.; Yi, S.; Li, X.; Chen, L. MFRWA: A Multi-Frequency Rayleigh Wave Approximation Method for Concrete Carbonation Depth Evaluation. Buildings 2024, 14, 1821. https://doi.org/10.3390/buildings14061821
Sun X, Cui Y, Chen J, Yi S, Li X, Chen L. MFRWA: A Multi-Frequency Rayleigh Wave Approximation Method for Concrete Carbonation Depth Evaluation. Buildings. 2024; 14(6):1821. https://doi.org/10.3390/buildings14061821
Chicago/Turabian StyleSun, Xiangtao, Yongxiang Cui, Jiawei Chen, Shanchang Yi, Xiuquan Li, and Lin Chen. 2024. "MFRWA: A Multi-Frequency Rayleigh Wave Approximation Method for Concrete Carbonation Depth Evaluation" Buildings 14, no. 6: 1821. https://doi.org/10.3390/buildings14061821
APA StyleSun, X., Cui, Y., Chen, J., Yi, S., Li, X., & Chen, L. (2024). MFRWA: A Multi-Frequency Rayleigh Wave Approximation Method for Concrete Carbonation Depth Evaluation. Buildings, 14(6), 1821. https://doi.org/10.3390/buildings14061821

