Research on the Propagation Model of Unsafe Behaviors among Construction Workers Based on a Two-Layer NAN-SIRS Network
Abstract
1. Introduction
| Country | Description of the Status of Construction Safety |
|---|---|
| United States | The census data from the U.S. Bureau of Labor Statistics (BLS) showed that the number of fatalities among workers in the construction and mining industries in 2022 was 1056, accounting for 19.25% of all industries. The fatality rate (13 per 100,000 full-time equivalent workers) ranked fourth highest among all industries [6]. |
| United Kingdom | The construction industry has the highest number of workers who die in fatal accidents annually, accounting for about one-third of all fatal accident deaths, and ranks second highest in non-fatal injury rates among all industries [7]. |
| China | In 2020, there were a total of 689 production safety accidents in China’s housing and municipal engineering sector, resulting in 794 deaths. Compared to the same period in 2015, there was an average annual increase of 11.18% in accidents and 8.66% in deaths [8]. |
| Singapore | In 2021, there were a total of 37 workplace fatal accidents, with a workplace fatality rate of 1.1 per 100,000 employees. The construction industry had the highest incidence of injuries and fatalities [9]. |
| Australia | There were 31 fatalities recorded in 2023. This number of fatalities equated to three deaths per 100,000 workers, ranking second highest among all industries [10]. |
| Korea | Of all industries, the construction industry has the highest proportion of fatalities, and its accident rate is significantly higher than that of other industries [11]. |
2. Research Approach
2.1. Applicability Analysis
- Similarity in the propagation environment: According to social network theory, construction workers, as a group, form a complex network among themselves due to relational ties. This network functions as the primary conduit for behavior propagation [40], wherein individual workers represent nodes within this network.
- Similarity in the propagation process: Communication and interaction among construction workers form the edges of this network. Unsafe behavior spreads through localized interactions among workers with proximate relationships. Additionally, key figures within the workforce (e.g., team leaders, technical experts, mentors) tend to possess more connections with other workers due to the nature of their roles.
- Similarity in propagation target characteristics: Each worker within the behavior propagation network operates independently, with infection and recovery rates influenced by factors such as safety knowledge, attitudes, and herd mentality, leading to varying rates of dissemination.
- Similarity in propagation direction: Similar to disease propagation, the edges within the behavior dissemination network are undirected, enabling propagation in any direction. Thus, the behavior dissemination network can be considered an undirected network.
2.2. Description of the Model
2.2.1. Basic Assumptions
- 1.
- Safety attitude layer (Layer A)
- 2.
- Unsafe behavior propagation layer (Layer B)
- 3.
- Partial mapping relationships
- 4.
- Individual heterogeneity
- 5.
- Herd mentality
2.2.2. Construction of the Propagation Model
2.3. Theoretical Analysis Using the MMCA
2.3.1. Dynamical Equations
2.3.2. Thresholds for the Propagation of Unsafe Behaviors
3. Numerical Simulation
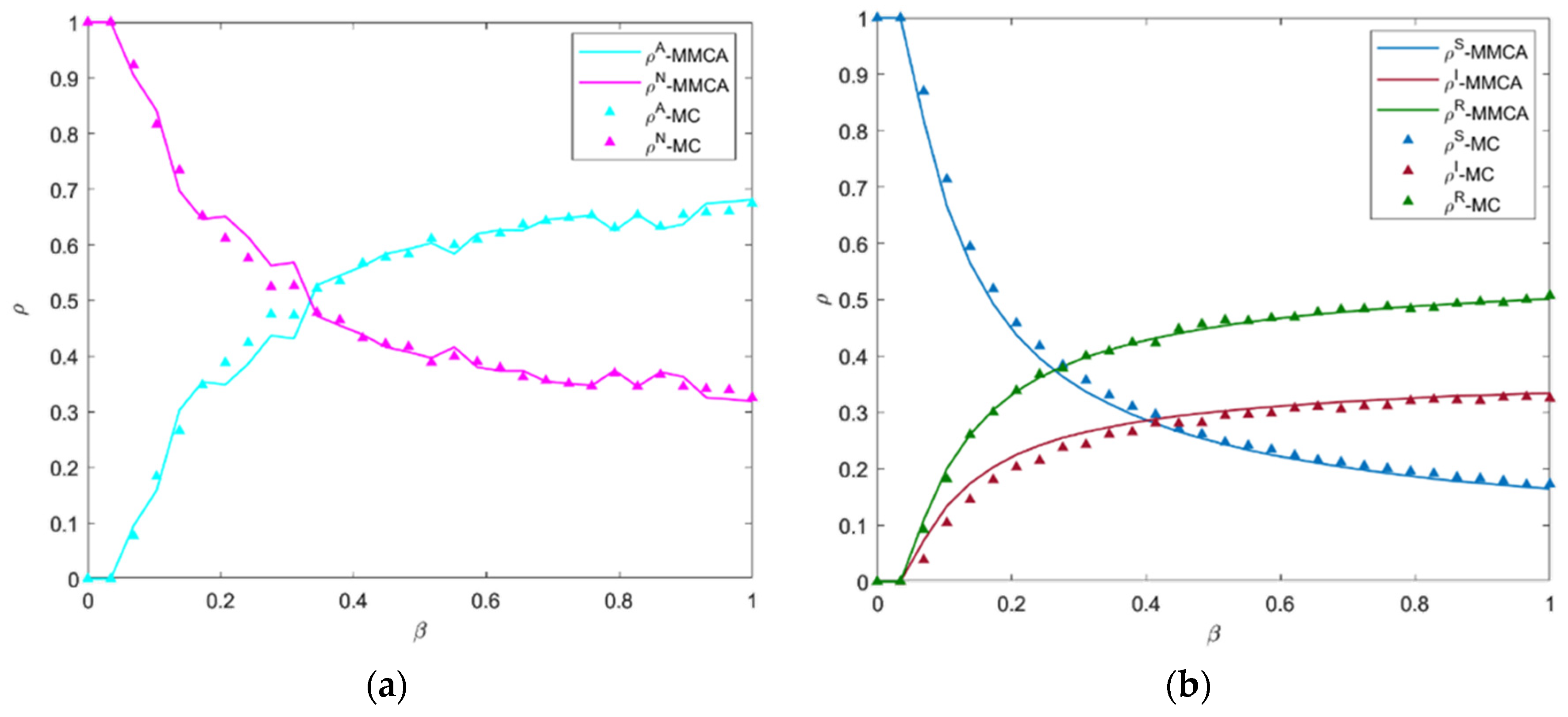
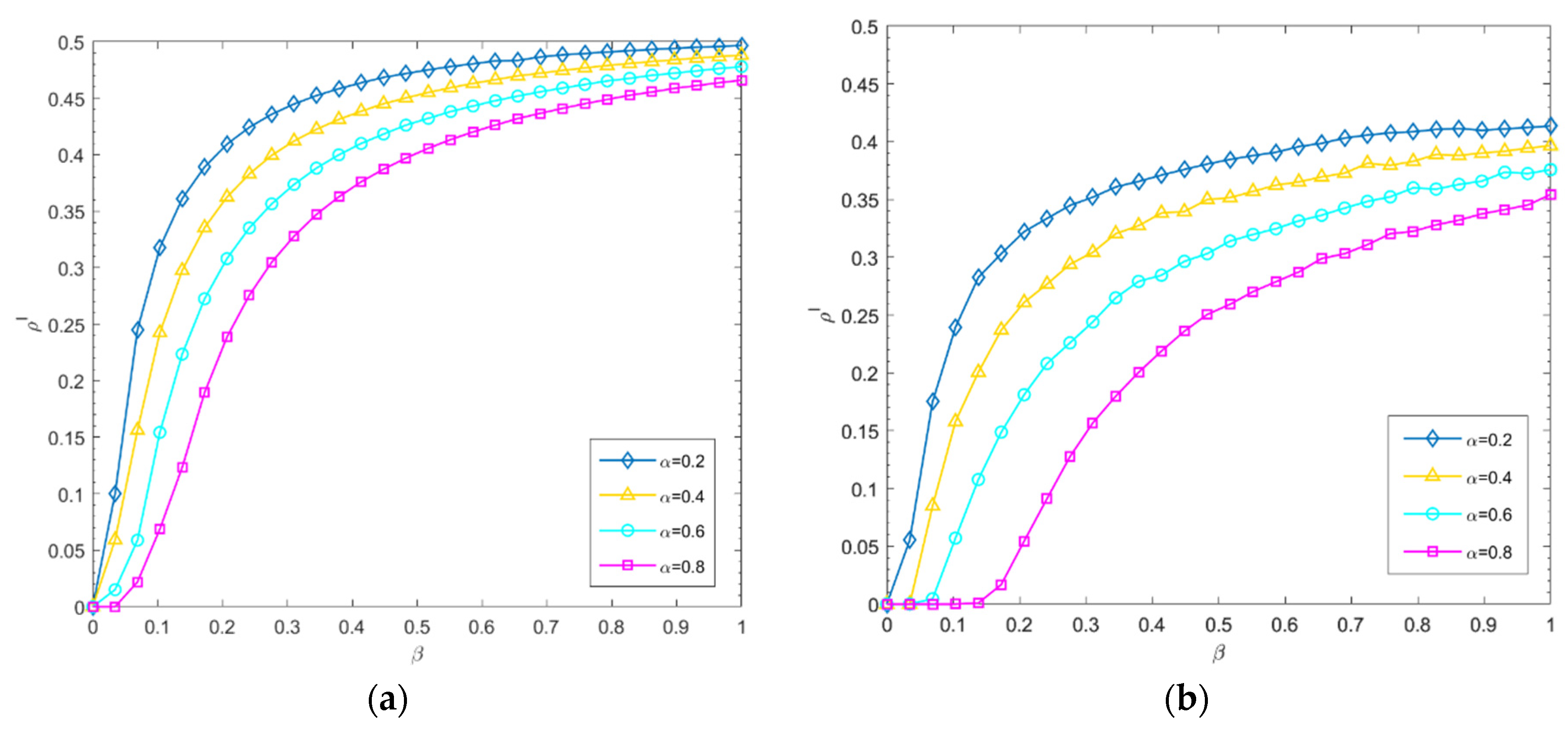
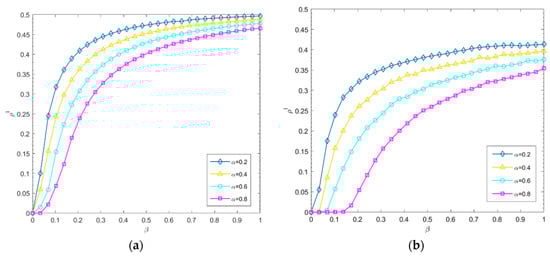
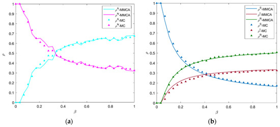
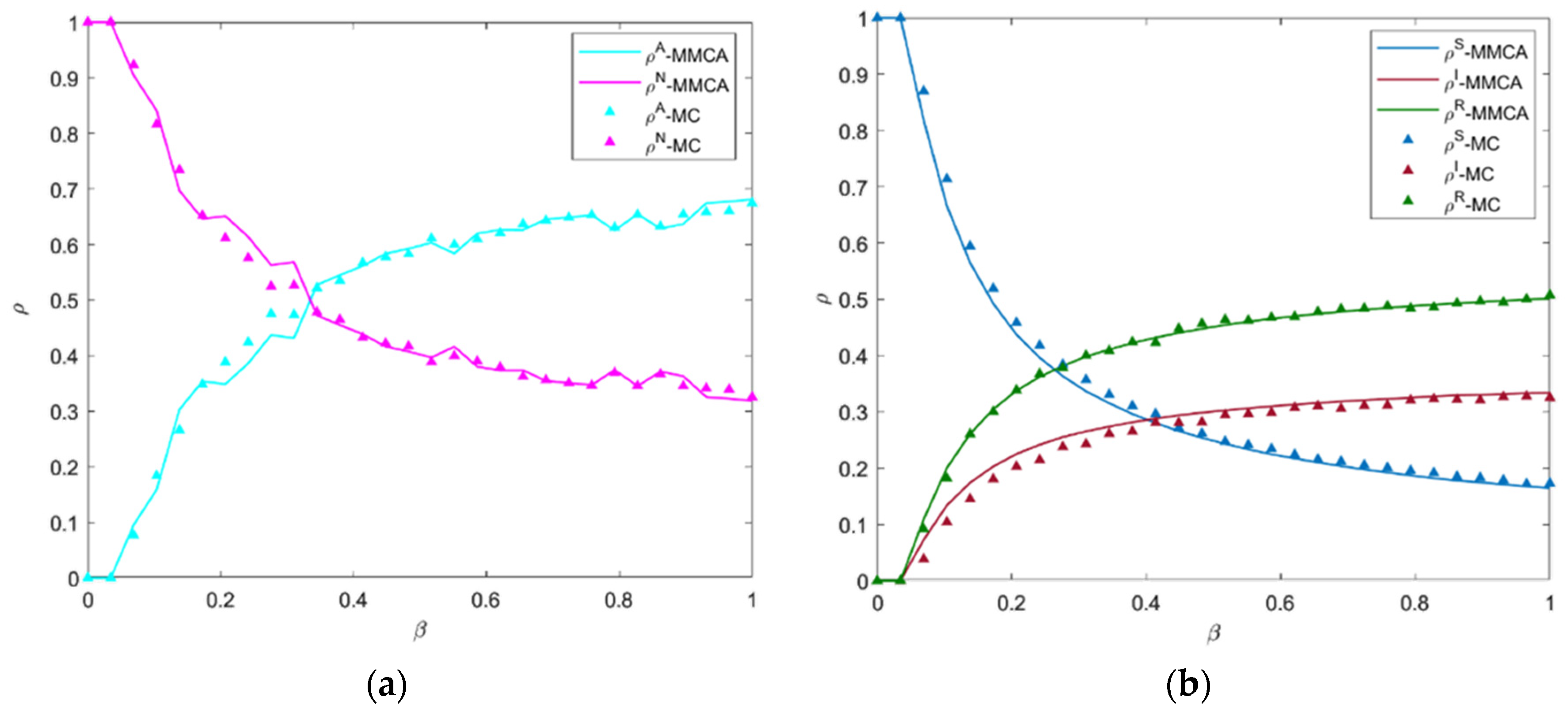
3.1. The Propagation Process of Unsafe Behaviors
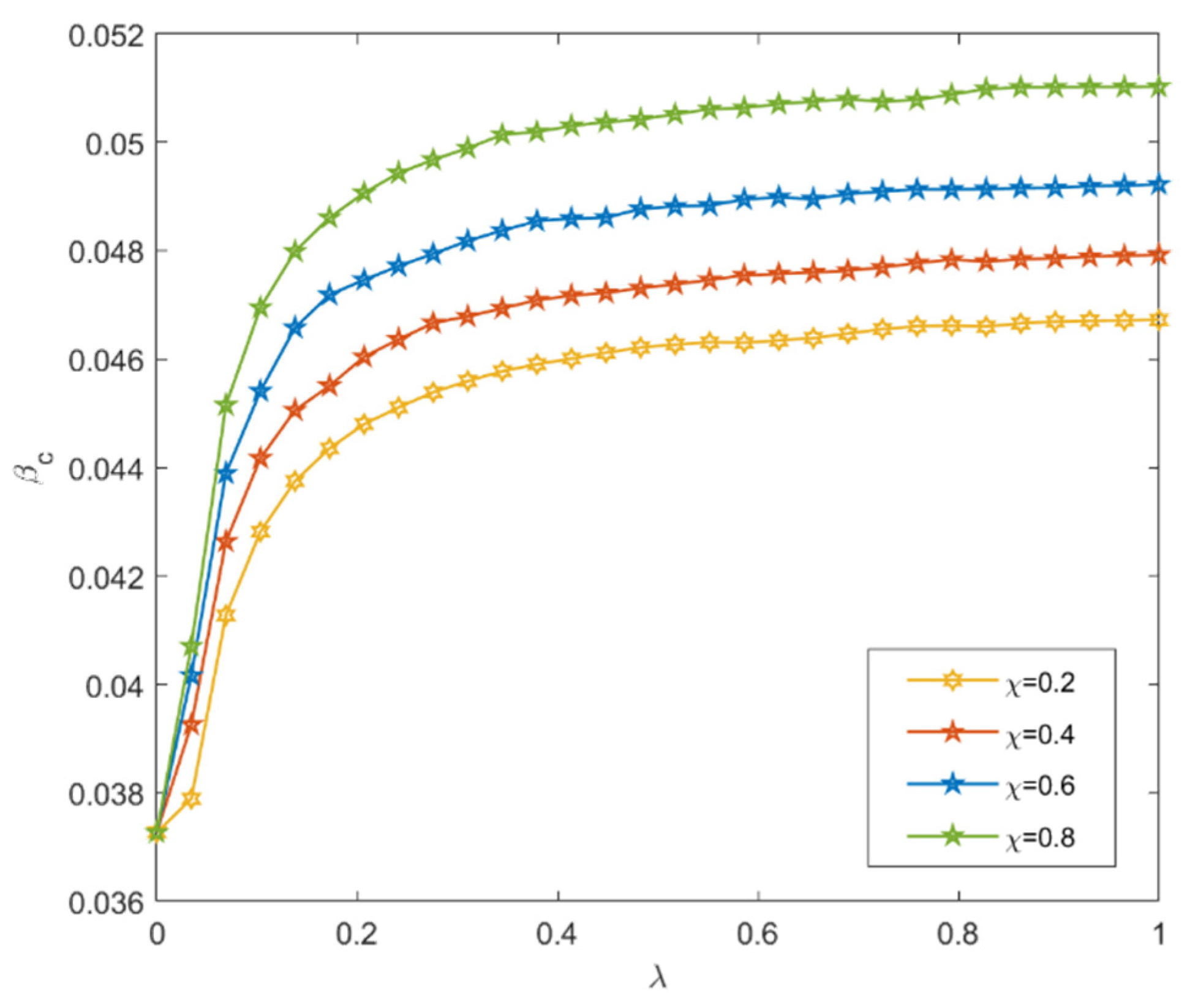
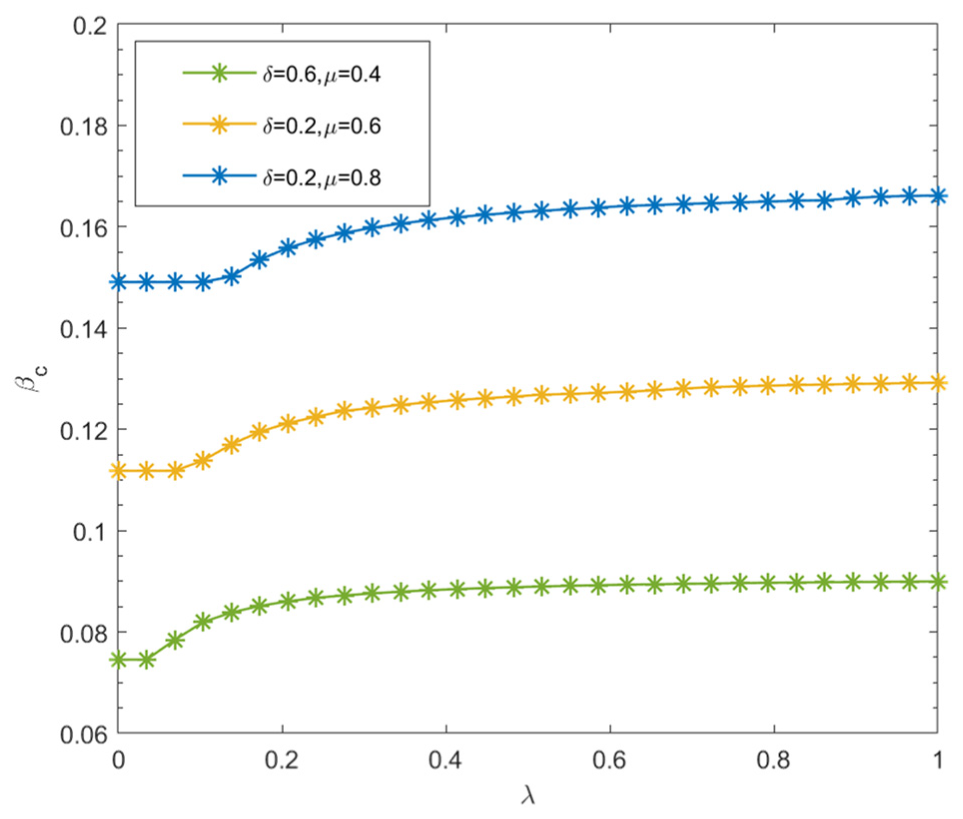
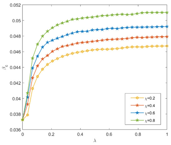
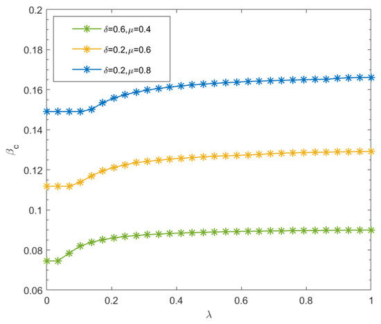
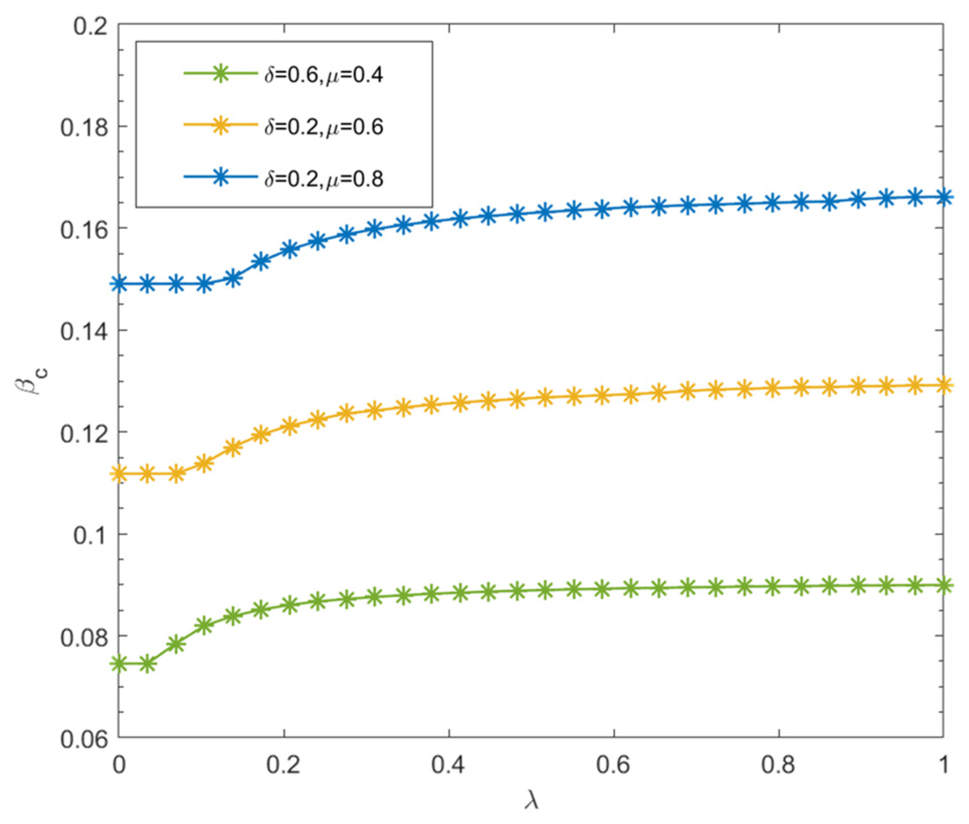
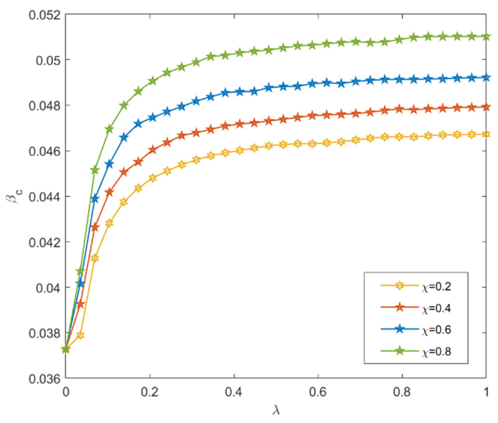
3.2. Threshold for the Propagation of Unsafe Behaviors
4. Discussion
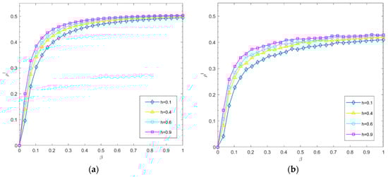
- Enhancing the impact of individual heterogeneity among construction workers can effectively elevate the threshold for the spread of unsafe behaviors, thereby diminishing the ultimate scale of their propagation. The herd mentality of construction workers increases the scale of the spread of unsafe behaviors, but has a relatively minor impact on the threshold of propagation, aligning with extant research findings [34]. Within construction teams, pivotal figures such as team leaders and mentors assume a dual role in management and exemplification. Apart from facilitating the exchange of safety knowledge at the construction site, they must lead by example, demonstrating a greater commitment to safe practices. Furthermore, managers should not only monitor the behaviors of the workers but also those of these key figures. As the conduct of these influential individuals becomes more standardized, construction workers are likely to emulate safer behaviors.
- Lowering the thresholds for safety education and intensifying behavioral feedback levels both contribute to diminishing the propagation of unsafe behaviors, aligning with prior research highlighting the substantial impact of managerial feedback and safety training on workers’ unsafe practices [26]. However, we further reveal that the coexistence of both mechanisms can lead to the failure of one, as they both function by cultivating positive safety attitudes to mitigate the spread of unsafe behaviors. Therefore, creating a good safety atmosphere through effective safety education and training and encouraging workers to adopt a positive safety attitude can prevent potential problems. This not only reduces consumption and accidental losses caused by behavioral feedback but also effectively suppresses the spread of unsafe behaviors.
- The higher the rate of the propagation of positive safety attitudes and the stronger the impact of behavioral feedback, the higher the propagation threshold becomes. Managers ought to proactively gather information on unsafe behaviors among construction workers and implement timely and effective intervention measures to mitigate the spread of unsafe behavior by elevating the propagation threshold. This becomes especially crucial when traditional safety education and training methods fail to address the issue adequately.
- The recovery rate of infected individuals is directly proportional to the propagation threshold, while the forgetting rate of safety attitudes is inversely proportional to the propagation threshold. Managers must take proactive steps to enhance the recovery rate of affected individuals and diminish the rate of safety attitude decay through strategies such as instituting robust safety standards. This approach serves to elevate the propagation threshold, thereby diminishing the extent of unsafe behavior propagation.
5. Conclusions
Author Contributions
Funding
Data Availability Statement
Conflicts of Interest
References
- Gürcanli, G.E.; Müngen, U. Analysis of Construction Accidents in Turkey and Responsible Parties. Ind. Health. 2013, 51, 581–595. [Google Scholar] [CrossRef]
- Feng, Y.; Zhang, S.; Wu, P. Factors influencing workplace accident costs of building projects. Saf. Sci. 2015, 72, 97–104. [Google Scholar] [CrossRef]
- Fu, G.; Xie, X.; Jia, Q.; Li, Z.; Chen, P.; Ge, Y. The development history of accident causation models in the past 100 years: 24Model, a more modern accident causation model. Process. Saf. Environ. Protect. 2020, 134, 47–82. [Google Scholar] [CrossRef]
- Deng, J.; Chen, C.; Liu, Y. Retrospect and Prospect of Research on Safety/Unsafe Behavior of Construction Workers: Analysis Based on Knowledge Map. Saf. Environ. Eng. 2021, 28, 27–35. [Google Scholar] [CrossRef]
- Han, Y.; Mei, Q.; Zhou, D.; Liu, S. Propagation characteristics of unsafe behaviors for construction workers from the perspective of group closeness. J. Saf. Sci. Technol. 2016, 12, 187–192. [Google Scholar]
- Bureau of Labor Statistics (BLS). Fatal Occupational Injuries and Workers’ Memorial Day. BLS 2022 Survey of Occupational Injuries, Illness and Fatalities. 2023. Available online: http://www.bls.gov/news.release/cfoi.nr0.htm (accessed on 16 May 2024).
- Health and Safety Executive (HSE) Construction Division. 2023. Available online: http://www.hse.gov.uk/statistics/industry/index.htm (accessed on 16 May 2024).
- Ministry of Housing and Urban–Rural Development of China. Circular of the General Office of the Ministry of Housing and Urban-Rural Development on the Production and Safety Accidents of Housing and Municipal Engineering in 2020. 2020. Available online: http://www.mohurd.gov.cn/wjfb (accessed on 26 March 2024).
- Ministry of Manpower. OSH Profile for Singapore; MOM: Singapore, 2022.
- Safe Work Australia, 2024. Work-Related Traumatic Injury Fatalities Australia. 2023. Available online: http://www.safeworkaustralia.gov.au/about-our-datasets/work-related-fatalities-data (accessed on 26 March 2024).
- Kwon, Y.-T.; Son, S.; Kim, S.; Ha, S.-G.; Son, K. Worker safety perception analysis of South Korean construction sites. J Occup. Saf. Ergon. 2021, 27, 488–496. [Google Scholar] [CrossRef]
- Wang, M.; Sun, J.; Du, H.; Wang, C. Relations between Safety Climate, Awareness, and Behavior in the Chinese Construction Industry: A Hierarchical Linear Investigation. Adv. Civ. Eng. 2018, 2018, 6580375. [Google Scholar] [CrossRef]
- Deng, S.; Peng, R.; Pan, Y. A Cognitive Failure Model of Construction Workers’ Unsafe Behavior. Adv. Civ. Eng. 2022, 2022, 1–9. [Google Scholar] [CrossRef]
- He, C.; McCabe, B.; Jia, G.; Sun, J. Effects of Safety Climate and Safety Behavior on Safety Outcomes between Supervisors and Construction Workers. J. Constr. Eng. Manag. 2020, 146, 04019092. [Google Scholar] [CrossRef]
- Yuan, B.; Xu, S.; Chen, L.; Niu, M. How Do Psychological Cognition and Institutional Environment Affect the Unsafe Behavior of Construction Workers?—Research on fsQCA Method. Front. Psychol. 2022, 13, 875348. [Google Scholar] [CrossRef]
- Man, S.S.; Chan, A.H.S.; Alabdulkarim, S.; Zhang, T. The effect of personal and organizational factors on the risk-taking behavior of Hong Kong construction workers. Saf. Sci. 2021, 136, 105155. [Google Scholar] [CrossRef]
- Chong, D.; Yu, A.; Su, H.; Zhou, Y. The Impact of Emotional States on Construction Workers’ Recognition Ability of Safety Hazards Based on Social Cognitive Neuroscience. Front. Psychol. 2022, 13, 895929. [Google Scholar] [CrossRef]
- Meng, Q.; Liu, W.; Li, Z.; Hu, X. Influencing Factors, Mechanism and Prevention of Construction Workers’ Unsafe Behaviors: A Systematic Literature Review. Int. J. Environ. Res. Public Health 2021, 18, 2644. [Google Scholar] [CrossRef]
- Fang, D.; Zhao, C.; Zhang, M. A Cognitive Model of Construction Workers’ Unsafe Behaviors. J. Constr. Eng. Manag. 2016, 142, 04016039. [Google Scholar] [CrossRef]
- Xu, S.; Zou, P.X.W.; Luo, H. Impact of Attitudinal Ambivalence on Safety Behaviour in Construction. Adv. Civ. Eng. 2018, 2018, 7138930. [Google Scholar] [CrossRef]
- Mohajeri, M.; Ardeshir, A.; Malekitabar, H.; Rowlinson, S. Structural Model of Internal Factors Influencing the Safety Behavior of Construction Workers. J. Constr. Eng. Manag. 2021, 147, 04021156. [Google Scholar] [CrossRef]
- Zhou, M.; Chen, X.; He, L.; Ouedraogo, F.A.K. Dual-Attitude Decision-Making Processes of Construction Worker Safety Behaviors: A Simulation-Based Approach. Int. J. Environ. Res. Public Health 2022, 19, 14413. [Google Scholar] [CrossRef]
- Li, Y.; Gao, J.; Qian, C.; Wu, X. The Mediation Role of Safety Attitude in the Impact of Resilience on the Safety Behavior of Coal Miners in China. Int. J. Environ. Res. Public Health 2022, 19, 15164. [Google Scholar] [CrossRef] [PubMed]
- Yuan, B.; Xu, S.; Niu, M.; Guo, K. Will Improved Safety Attitudes Necessarily Curb Unsafe Behavior? Hybrid Method Based on NCA and SEM. J. Environ. Public Health 2022, 2022, 9271690. [Google Scholar] [CrossRef]
- Shin, M.; Lee, H.-S.; Park, M.; Moon, M.; Han, S. A system dynamics approach for modeling construction workers’ safety attitudes and behaviors. Accid. Anal. Prev. 2014, 68, 95–105. [Google Scholar] [CrossRef]
- Ye, G.; Yue, H.; Yang, J.; Li, H.; Xiang, Q.; Fu, Y.; Cui, C. Understanding the Socio Cognitive Process of Construction Workers’ Unsafe Behaviors: An Agent-Based Modeling Approach. Int. J. Environ. Res. Public Health 2020, 17, 1588. [Google Scholar] [CrossRef] [PubMed]
- Wand, D.; Qin, Y.; Zhang, R. Localized Study on the Influencing Factors of Enterprise Employees’ Unsafe Behavior Propagation in High Risk Industries. Constr. Econ. 2020, 41, 295–299. [Google Scholar] [CrossRef]
- Chen, H.; Gong, W.; Li, H.; Shi, S. Co-workers’ guanxi and construction workers’ safety behavior: The mediating role of group identification. Front. Public Health 2022, 10, 964514. [Google Scholar] [CrossRef] [PubMed]
- Zhang, M.; Xu, Q. Analysis on Propagation Model and Intervention Effects of Unsafe Behaviors of Construction Workers. China J. Saf. Sci. 2021, 31, 1–9. [Google Scholar] [CrossRef]
- Shi, J.; Li, X.; Zheng, G.; Zhang, M. Study on propagation simulation of unsafe behaviors of construction workers from the perspective of social network. J. Saf. Environ. 2022, 22, 859–867. [Google Scholar] [CrossRef]
- Cai, Q.; Dong, J.; Sun, J. Analysis of Tunnel Workers’ Group Characteristics based on Complex Network. Ind. Saf. Environ. Prot. 2019, 45, 10–13. [Google Scholar]
- Liu, S.; Tang, S. Research on Contagion Mechanism of Unsafe Behavior of Construction Workers on CA. China J. Saf. Sci. 2023, 33, 24–31. [Google Scholar] [CrossRef]
- Liang, H.; Shi, X.; Liu, K.; Cong, W. Construction Worker Response to Unsafe Coworker Behavior: The Mediating Roles of Safety Silence and Role Stress and the Moderating Role of Psychological Contract of Safety. J. Constr. Eng. Manag. 2023, 149, 04022180. [Google Scholar] [CrossRef]
- Li, Z.; Bao, X.; Sheng, Y.; Xia, Y. Research on Unsafe Behavior of Construction Workers Under the Bidirectional Effect of Formal Rule Awareness and Conformity Mentality. Front. Psychol. 2021, 12, 794394. [Google Scholar] [CrossRef]
- Xia, C.; Wang, Z.; Zheng, C.; Guo, Q.; Shi, Y.; Dehmer, M.; Chen, Z. A new coupled disease-awareness spreading model with mass media on multiplex networks. Inf. Sci. 2019, 471, 185–200. [Google Scholar] [CrossRef]
- Xu, H.; Zhao, Y.; Han, D. The impact of the global and local awareness diffusion on epidemic transmission considering the heterogeneity of individual influences. Nonlinear Dyn. 2022, 110, 901–914. [Google Scholar] [CrossRef] [PubMed]
- Huo, L.; Guo, H.; Cheng, Y.; Xie, X. A new model for supply chain risk propagation considering herd mentality and risk preference under warning information on multiplex networks. Phys. A 2020, 545, 123506. [Google Scholar] [CrossRef]
- Yao, Q.; Fan, R.; Chen, R.; Qian, R. A model of the enterprise supply chain risk propagation based on partially mapping two-layer complex networks. Phys. A 2023, 613, 128506. [Google Scholar] [CrossRef]
- Granell, C.; Gómez, S.; Arenas, A. Dynamical Interplay between Awareness and Epidemic Spreading in Multiplex Networks. Phys. Rev. Lett. 2013, 111, 128701. [Google Scholar] [CrossRef] [PubMed]
- Zhu, H.; Yin, X.; Ma, J.; Hu, W. Identifying the main paths of information diffusion in online social networks. Phys. A 2016, 452, 320–328. [Google Scholar] [CrossRef]
- Wu, X.; Yin, W.; Wu, C.; Li, Y. Development and Validation of a Safety Attitude Scale for Coal Miners in China. Sustainability 2017, 9, 2165. [Google Scholar] [CrossRef]
- Yang, Z.; Ding, G.; Zhang, T.; Xiang, M. Investigation and Analysis of the Influential Factors on the Spreading Reckless Behaviors of the Building Workers Based on the SEM. J. Saf. Environ. 2018, 18, 987–992. [Google Scholar] [CrossRef]
- An, Y.; Wang, H.; Yang, X.; Zhang, J.; Tong, R. Using the TPB and 24Model to understand workers’ unintentional and intentional unsafe behavior: A case study. Saf. Sci. 2023, 163, 106099. [Google Scholar] [CrossRef]
- Liu, D.; Fodor, V.; Rasmussen, L.K. Will Scale-Free Popularity Develop Scale-Free Geo-Social Networks. IEEE/Trans. Netw. Sci. Eng. 2019, 6, 587–598. [Google Scholar] [CrossRef]
- Barabási, A.L.; Albert, R. Emergence of Scaling in Random Networks. Science 1999, 286, 509–512. [Google Scholar] [CrossRef]
- Hashmi, F.; Hassan, M.U.; Zubair, M.U.; Ahmed, K.; Aziz, T.; Choudhry, R.M. Near-Miss Detection Metrics: An Approach to Enable Sensing Technologies for Proactive Construction Safety Management. Buildings 2024, 14, 1005. [Google Scholar] [CrossRef]
- Páez, P.; Araya, F.; Salazar, L.A.; Giménez, Z.; Sánchez, O.; Sierra-Varela, L.; Neculman, B. Exploring Perceptions toward Emotional Intelligence in Chilean Construction Using a Qualitative Approach. Buildings 2024, 14, 905. [Google Scholar] [CrossRef]











| Parameters | Descriptions |
|---|---|
| Adjacency matrix in the safety attitude layer | |
| Adjacency matrix in the unsafe behavior propagation layer | |
| Infection rate for a susceptible individual in a negative state | |
| Infection rate for a susceptible individual in a positive state | |
| Parameters of the impact of Layer A on Layer B | |
| Recovery rate for an infected individual | |
| Forgotten rate from the positive state to a negative one | |
| Transition rate of individuals from the restored state to a susceptible one | |
| Transition rate of individuals from a negative to a positive state influenced by their co-workers | |
| Critical value for individuals to transition from a negative state to a positive state under the influence of safety training | |
| The degree to which construction workers are influenced by herd mentality | |
| Behavioral feedback influences the probability of safety attitude change | |
| Level of influence of individual j on individual i | |
| The degree to which individual heterogeneity affects the infection rate |
Disclaimer/Publisher’s Note: The statements, opinions and data contained in all publications are solely those of the individual author(s) and contributor(s) and not of MDPI and/or the editor(s). MDPI and/or the editor(s) disclaim responsibility for any injury to people or property resulting from any ideas, methods, instructions or products referred to in the content. |
© 2024 by the authors. Licensee MDPI, Basel, Switzerland. This article is an open access article distributed under the terms and conditions of the Creative Commons Attribution (CC BY) license (https://creativecommons.org/licenses/by/4.0/).
Share and Cite
Hou, Y.; Zhao, Q. Research on the Propagation Model of Unsafe Behaviors among Construction Workers Based on a Two-Layer NAN-SIRS Network. Buildings 2024, 14, 1719. https://doi.org/10.3390/buildings14061719
Hou Y, Zhao Q. Research on the Propagation Model of Unsafe Behaviors among Construction Workers Based on a Two-Layer NAN-SIRS Network. Buildings. 2024; 14(6):1719. https://doi.org/10.3390/buildings14061719
Chicago/Turabian StyleHou, Yunfei, and Qi Zhao. 2024. "Research on the Propagation Model of Unsafe Behaviors among Construction Workers Based on a Two-Layer NAN-SIRS Network" Buildings 14, no. 6: 1719. https://doi.org/10.3390/buildings14061719
APA StyleHou, Y., & Zhao, Q. (2024). Research on the Propagation Model of Unsafe Behaviors among Construction Workers Based on a Two-Layer NAN-SIRS Network. Buildings, 14(6), 1719. https://doi.org/10.3390/buildings14061719
