Field Investigation on Adaptive Thermal Comfort in Rural Dwellings: A Case Study in Linyi (China) during Summer
Abstract
1. Introduction
1.1. Overview
1.2. Literature Review
- This study characterizes the thermal environments of rural dwellings in the cold regions of China and provides insights into the summer cooling practices of the local residents.
- Determine the neutral temperature and acceptable temperature range for the occupants of cold regions during the summertime, and investigate the characteristics of summer thermal adaptation among the various groups of dwellers.
- To establish an adaptive thermal comfort model that conforms to the local climate environment, hence enriching and supplementing China’s thermal comfort database to offer a reference for indoor temperature settings.
2. Methodology
2.1. Climatic Characteristics
2.2. Target Buildings
2.3. Onsite Measurement
2.4. Survey Questionnaire
- Basic information: containing age, gender, height, weight, income level, and current clothing status.
- Subjective perception: including thermal sensation, thermal preference, thermal acceptance, humidity sensation, and humidity preference.
- Adaptive Behaviors: thermal adaptative behaviors in daily life, and the common methods of cooling.
2.5. Calculation Method
2.5.1. Predictive Mean Vote (PMV) Index
2.5.2. Operative Temperature
2.5.3. Thermal Neutral and Acceptable Temperatures
3. Results and Discussion
3.1. Environmental Parameters
3.1.1. Outdoor Temperature and Relative Humidity
3.1.2. Indoor Temperature and Relative Humidity
3.2. Results of the Questionnaire
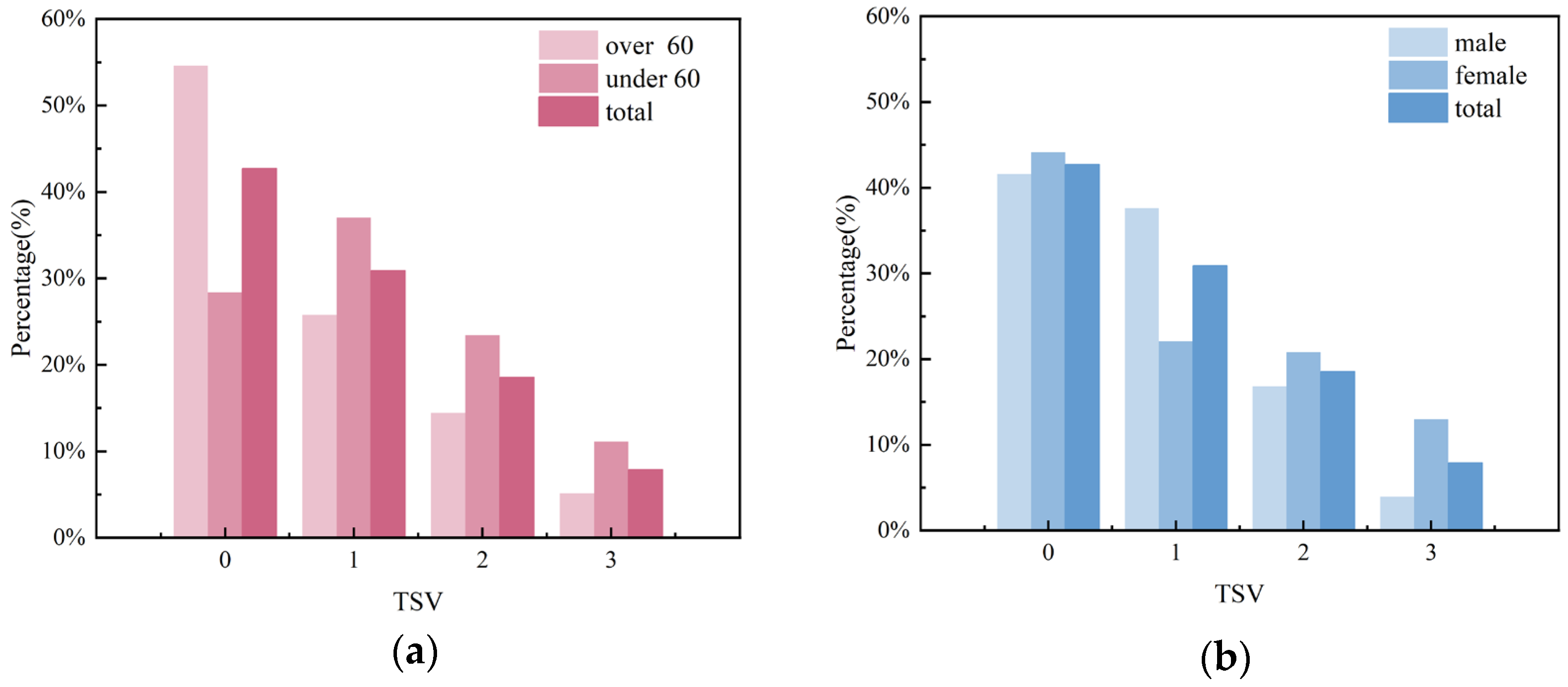
3.2.1. Thermal Sensation
3.2.2. Humidity Sensation
3.2.3. Thermal Preference and Thermal Acceptance
3.3. Neutral Temperature and Acceptable Temperature Range
3.3.1. Thermal Sensation Vote
3.3.2. Mean Thermal Sensation Vote
3.3.3. Comparison of MTSV and PMV
3.3.4. Comparison with Previous Studies
3.4. Thermal Adaptive Model
3.4.1. Adaptive Thermal Comfort Model
3.4.2. Comparison with Current Comfort Standard
3.5. Adaptive Strategies
3.5.1. Clothing Insulation
3.5.2. Metabolic Rate
3.5.3. Thermal Adaptive Behaviors
3.6. Applications and Limitations
3.6.1. Application
3.6.2. Limitation
4. Conclusions and Future Outlook
- From the measured data we found that the indoor thermal environment of rural dwellings in Linyi exceeded 30 °C for a long period of time. This is significantly exceeding the range of comfortable indoor temperatures stated in the standards. Long-term experience in such overheated environments has driven the local residents to develop thermal adaptations that enable them to exhibit good thermal tolerances.
- The elderly group and the female group are less sensitive to humidity changes indoors and have a wider range of comfortable humidity. For the older people, the ideal humidity range is around 38.95% to 66.57%, while the younger people should aim for 46.33% to 62.64%. The comfy humidity band for the females is around 38.59% to 65.76%, while for the males it is around 43.63% to 63.37%.
- The local men and residents over 60 years in Linyi have better thermal resistance. The older people had a neutral thermal temperature of 28.21 °C and a thermal comfort range of 25.58 °C to 30.84 °C. The residents under 60 years of age had a neutral thermal temperature of 27.45 °C and a thermal comfort range of about 25.18 °C to 29.73 °C. There was no significant difference between the neutral temperatures of the males and females, which were 27.65 °C and 27.46 °C, respectively. However, the males have a wider acceptable temperature range of 24.71 °C to 30.59 °C, while the females are in the area of 25.53 °C to 29.38 °C.
- Both current Chinese and international thermal comfort evaluation criteria make it difficult to accurately assess the indoor thermal environment in the Linyi rural area. We re-established a thermal adaptation model that is consistent with the rural residents, and found that most of the scattered points fall outside the comfort range recommended by these standards. This suggests that the current standards are indeed inadequate and need to be revised through extensive field studies.
- The most common ways for the Linyi residents to stay cool are turning on electric fans, opening doors and windows, cooling off in the shade, and turning on the air conditioner. The young people have more varied ways of cooling down in summer. In addition to the most commonly used ways mentioned above, bathing, drinking cold drinks, and cooling mats can be one of the choices for the young persons. The seniors have fewer ways to cool down and are rarely willing to turn on the air conditioner to cool down.
Author Contributions
Funding
Data Availability Statement
Acknowledgments
Conflicts of Interest
Appendix A

References
- McNeil, M.A.; Feng, W.; de la Rue du Can, S.; Khanna, N.Z.; Ke, J.; Zhou, N. Energy Efficiency Outlook in China’s Urban Buildings Sector through 2030. Energy Policy 2016, 97, 532–539. [Google Scholar] [CrossRef]
- China Building Energy Consumption and Carbon Emission Research Report (2022). Constr. Archit. 2023, 2, 57–69. (In Chinese)
- Tsinghua University Building Energy Research Center. 2022 Annual Report on China Building Energy Efficiency; China Architecture & Building Press: Beijing, China, 2022. [Google Scholar]
- Zhang, Y. Research on China’s Building Energy Efficiency Potential and Policy System. Master’s Thesis, Beijing Institute of Technology, Beijing, China, 2015. [Google Scholar]
- Zhu, L.; Liao, H.; Hou, B.; Cheng, L.; Li, H. The Status of Household Heating in Northern China: A Field Survey in Towns and Villages. Environ. Sci. Pollut. Res. 2020, 27, 16145–16158. [Google Scholar] [CrossRef] [PubMed]
- Seventh Population Census Key Data—National Statistical Office. Available online: https://www.stats.gov.cn/sj/pcsj/rkpc/d7c/ (accessed on 14 December 2023).
- González-Lezcano, R.A. Editorial: Design of Efficient and Healthy Buildings. Front. Built Environ. 2023, 9. [Google Scholar] [CrossRef]
- Han, J.; Yang, W.; Zhou, J.; Zhang, G.; Zhang, Q.; Moschandreas, D.J. A Comparative Analysis of Urban and Rural Residential Thermal Comfort under Natural Ventilation Environment. Energy Build. 2009, 41, 139–145. [Google Scholar] [CrossRef]
- Yan, X. Comparison of Adaptive Thermal Comfort in the Urban and Rural Residential Buildings under the Hot Summer and Cold Winter Climate. Des. Community 2016, 5, 137–145. (In Chinese) [Google Scholar]
- Xiong, Y.; Liu, J.; Kim, J. Understanding Differences in Thermal Comfort between Urban and Rural Residents in Hot Summer and Cold Winter Climate. Build. Environ. 2019, 165, 106393. [Google Scholar] [CrossRef]
- Yang, Z.; Zhang, W.; Qin, M.; Liu, H. Comparative Study of Indoor Thermal Environment and Human Thermal Comfort in Residential Buildings among Cities, Towns, and Rural Areas in Arid Regions of China. Energy Build. 2022, 273, 112373. [Google Scholar] [CrossRef]
- Li, B.; Du, C.; Yao, R.; Yu, W.; Costanzo, V. Indoor Thermal Environments in Chinese Residential Buildings Responding to the Diversity of Climates. Appl. Therm. Eng. 2018, 129, 693–708. [Google Scholar] [CrossRef]
- GB 50176-2016; Code for Thermal Design of Civil Building. Ministry of Housing and Urban-Rural Development of China: Beijing, China, 2016. (In Chinese)
- [Linyi Temperature] Temperature Trends in Linyi for each Month of the Year—Linyi Historical Weather. Available online: https://www.tianqi24.com/linyi2/history.html (accessed on 14 December 2023).
- Adekunle, T.O.; Nikolopoulou, M. Thermal Comfort, Summertime Temperatures and Overheating in Prefabricated Timber Housing. Build. Environ. 2016, 103, 21–35. [Google Scholar] [CrossRef]
- Sun, Y.; Zhang, C.; Zhao, Y.; Li, J.; Ma, Y.; Zhu, C. A Systematic Review on Thermal Environment and Thermal Comfort Studies in Chinese Residential Buildings. Energy Build. 2023, 291, 113134. [Google Scholar] [CrossRef]
- Zhang, J.; Lu, J.; Deng, W.; Beccarelli, P.; Lun, I.Y.F. Thermal Comfort Investigation of Rural Houses in China: A Review. Build. Environ. 2023, 235, 110208. [Google Scholar] [CrossRef]
- Fanger, P.O. Analysis and Applications in Environmental Engineering; Danish Technical Press: Vanloese, Denmark, 1970. [Google Scholar]
- ANSI/ASHRAE Standard 55-2023; Thermal Environmental Conditions for Human Occupancy. Refrigerating and Air-Conditioning Engineers, ASHRAE: Peachtree Corners, GA, USA, 2023.
- ISO/DIS 7730; Ergonomics of the Thermal Environment—Analytical Determination and Interpretation of Thermal Comfort Using Calculation of the PMV and PPD Indices and Local Thermal Comfort. International Standardization Organization: Genveva, Switzerland, 2005.
- Indraganti, M. Thermal Comfort in Naturally Ventilated Apartments in Summer: Findings from a Field Study in Hyderabad, India. Appl. Energy 2010, 87, 866–883. [Google Scholar] [CrossRef]
- Humphreys, M.A.; Nicol, J.F. Understanding the adaptive approach to thermal comfort. Build. Eng. 1998, 104, 991–1004. [Google Scholar]
- deDear, R.J.; Brager, G.S. Developing an adaptive model of thermal comfort and preference. ASHRAE Trans. 1998, 104, 73–81. [Google Scholar]
- Humphreys, M.A. Field Studies of Thermal Comfort Compared and Applied. Build. Serv. Eng. 1976, 44, 5–27. [Google Scholar]
- Becker, R.; Paciuk, M. Thermal Comfort in Residential Buildings—Failure to Predict by Standard Model. Build. Environ. 2009, 44, 948–960. [Google Scholar] [CrossRef]
- Al-ajmi, F.F.; Loveday, D.L. Indoor Thermal Conditions and Thermal Comfort in Air-Conditioned Domestic Buildings in the Dry-Desert Climate of Kuwait. Build. Environ. 2010, 45, 704–710. [Google Scholar] [CrossRef]
- Ioannou, A.; Itard, L. In-Situ and Real Time Measurements of Thermal Comfort and Its Determinants in Thirty Residential Dwellings in the Netherlands. Energy Build. 2017, 139, 487–505. [Google Scholar] [CrossRef]
- Jeong, B.; Kim, J.; Chen, D.; de Dear, R. Comparison of Residential Thermal Comfort in Two Different Climates in Australia. Build. Environ. 2022, 211, 108706. [Google Scholar] [CrossRef]
- Forcada, N.; Gangolells, M.; Casals, M.; Tejedor, B.; Macarulla, M.; Gaspar, K. Summer Thermal Comfort in Nursing Homes in the Mediterranean Climate. Energy Build. 2020, 229, 110442. [Google Scholar] [CrossRef]
- Sudarsanam, N.; Kannamma, D. Investigation of Summertime Thermal Comfort at the Residences of Elderly People in the Warm and Humid Climate of India. Energy Build. 2023, 291, 113151. [Google Scholar] [CrossRef]
- Li, B.; Yao, R.; Wang, Q.; Pan, Y. An Introduction to the Chinese Evaluation Standard for the Indoor Thermal Environment. Energy Build. 2014, 82, 27–36. [Google Scholar] [CrossRef]
- Liu, W.; Zheng, Y.; Deng, Q.; Yang, L. Human Thermal Adaptive Behaviour in Naturally Ventilated Offices for Different Outdoor Air Temperatures: A Case Study in Changsha China. Build. Environ. 2012, 50, 76–89. [Google Scholar] [CrossRef]
- Yao, R.; Liu, J.; Li, B. Occupants’ Adaptive Responses and Perception of Thermal Environment in Naturally Conditioned University Classrooms. Appl. Energy 2010, 87, 1015–1022. [Google Scholar] [CrossRef]
- Wang, Z.; Ji, Y.; Ren, J. Thermal Adaptation in Overheated Residential Buildings in Severe Cold Area in China. Energy Build. 2017, 146, 322–332. [Google Scholar] [CrossRef]
- Humphreys, M.A.; Rijal, H.B.; Nicol, J.F. Updating the Adaptive Relation between Climate and Comfort Indoors; New Insights and an Extended Database. Build. Environ. 2013, 63, 40–55. [Google Scholar] [CrossRef]
- Lyu, Y.; Chen, Z. Seasonal Thermal Comfort and Adaptive Behaviours for the Occupants of Residential Buildings: Shaoxing as a Case Study. Energy Build. 2023, 292, 113165. [Google Scholar] [CrossRef]
- Xu, C.; Li, S.; Zhang, X.; Shao, S. Thermal Comfort and Thermal Adaptive Behaviours in Traditional Dwellings: A Case Study in Nanjing, China. Build. Environ. 2018, 142, 153–170. [Google Scholar] [CrossRef]
- Wang, Y.; Dong, Q.; Guo, H.; Yin, L.; Gao, W.; Yao, W.; Sun, L. Indoor Thermal Comfort Evaluation of Traditional Dwellings in Cold Region of China: A Case Study in Guangfu Ancient City. Energy Build. 2023, 288, 113028. [Google Scholar] [CrossRef]
- Yang, L.; Fu, R.; He, W.; He, Q.; Liu, Y. Adaptive Thermal Comfort and Climate Responsive Building Design Strategies in Dry–Hot and Dry–Cold Areas: Case Study in Turpan, China. Energy Build. 2020, 209, 109678. [Google Scholar] [CrossRef]
- Lu, S.; Pang, B.; Qi, Y.; Fang, K. Field Study of Thermal Comfort in Non-Air-Conditioned Buildings in a Tropical Island Climate. Appl. Ergon. 2018, 66, 89–97. [Google Scholar] [CrossRef] [PubMed]
- Li, Y.; Zhou, T.; Wang, Z.; Li, W.; Zhou, L.; Cao, Y.; Shen, Q. Environment improvement and energy saving in Chinese rural housing based on the field study of thermal adaptability. Energy Sustain. Dev. 2022, 71, 315–329. [Google Scholar] [CrossRef]
- Ji, L.; Laouadi, A.; Shu, C.; Wang, L.; Lacasse, M.A. Evaluation and Improvement of the Thermoregulatory System for the Two-Node Bioheat Model. Energy Build. 2021, 249, 111235. [Google Scholar] [CrossRef]
- Ji, L.; Shu, C.; Laouadi, A.; Lacasse, M.; Wang, L. (Leon) Quantifying Improvement of Building and Zone Level Thermal Resilience by Cooling Retrofits against Summertime Heat Events. Build. Environ. 2023, 229, 109914. [Google Scholar] [CrossRef]
- History-Welcome to Linyi Municipal People’s Government. Available online: http://www.linyi.gov.cn/sq/lygk/lsyg1.htm (accessed on 3 January 2024).
- Historical Weather in Linyi. Available online: https://www.tianqi24.com/linyi2/history05.html (accessed on 3 January 2024).
- Li, H.Z. Study on the Empty Forms of Village Residences in Linyi Region under the Background of Urbanization. Master’s Thesis, Shandong Jianzhu University, Jinan, China, 2020. [Google Scholar]
- GB/T 50785-2012; Evaluation Standard for Indoor Thermal Environment in Civil Buildings. P.R.C. Ministry of Housing and Rural-Urban Development, China Architecture & Building Press: Beijing, China, 2012. (In Chinese)
- Da Silva, M.C.G. Spreadsheets for Calculation of Thermal Comfort Indices PMV and PPD; University of Coimbra: Coimbra, Portugal, 2014. [Google Scholar]
- Fanger, P.O. Calculation of thermal comfort: Introduction of a basic comfort equation. ASHRAE Trans. 1967, 73, 1–20. [Google Scholar]
- Fanger, P.O. Thermal comfort: Analysis and applications in environmental engineering. Therm. Comf. Anal. Appl. Environ. Eng. 1972, 45, 225–240. [Google Scholar]
- Cena, K.M.; Spotila, J.R.; Ryan, E.B. Effect of Behavioral Strategies and Activity on Thermal Comfort of the Older; Drexel Univ. Dept. of Bioscience and Biotechnology: Philadelphia, PA, USA, 1988. [Google Scholar]
- Baquero, M.T.; Forcada, N. Thermal Comfort of Older People during Summer in the Continental Mediterranean Climate. J. Build. Eng. 2022, 54, 104680. [Google Scholar] [CrossRef]
- Aqilah, N.; Rijal, H.B.; Yoshida, K. Gender Difference Regarding Thermal Comfort in Japanese Residential Building during Free Running Mode. Build. Environ. 2023, 245, 110891. [Google Scholar] [CrossRef]
- Liu, Y.; Yao, W.; Gao, W. Thermal Environment Evaluation and Thermal Comfort Zone Deviation—A Case Study of Chinese Seaweed House in Summer. J. Build. Eng. 2023, 78, 107703. [Google Scholar] [CrossRef]
- Ge, S.L. People in Cold Regions in Winter And Summer Seasons A Study on The Thermal Neutral Temperature of Elderly. Master’s Thesis, Chang’an University, Xi’an, China, 2023. [Google Scholar]
- Yu, W.; Li, B.; Yao, R.; Wang, D.; Li, K. A Study of Thermal Comfort in Residential Buildings on the Tibetan Plateau, China. Build. Environ. 2017, 119, 71–86. [Google Scholar] [CrossRef]
- Liu, X.L.; Qiu, P. Investigation and study on summer indoor thermal comfort for the old in nursing home in Taiyuan city. Urban-Ism Archit. 2017, 11, 69–72. (In Chinese) [Google Scholar]
- Zhang, Z.; Zhang, Y.; Jin, L. Thermal Comfort in Interior and Semi-Open Spaces of Rural Folk Houses in Hot-Humid Areas. Build. Environ. 2018, 128, 336–347. [Google Scholar] [CrossRef]
- Jiao, Y.; Yu, H.; Yu, Y.; Wang, Z.; Wei, Q. Adaptive Thermal Comfort Models for Homes for Older People in Shanghai, China. Energy Build. 2020, 215, 109918. [Google Scholar] [CrossRef]
- Malik, J.; Bardhan, R. A Localized Adaptive Comfort Model for Free-Running Low-Income Housing in Mumbai, India. Energy Build. 2023, 281, 112756. [Google Scholar] [CrossRef]
- Yadeta, C.; Indraganti, M.; Terefe Tucho, G.; Alemayehu, E. Study on Adaptive Thermal Comfort Model and Behavioral Adaptation in Naturally Ventilated Residential Buildings, Jimma Town, Ethiopia. Energy Build. 2023, 298, 113483. [Google Scholar] [CrossRef]
- CEN. EN 15251; Indoor Environmental Parameters for Design and Assessment of Energy Performance of Buildings-Addressing Indoor Air Quality, Thermal Environment, Lighting and Acoustics. E.C.F. Standardization: Brussels, Belgium, 2007.
- Porter, J.; Ward, L.; Nguo, K.; Davidson, Z.; Gibson, S.; Prentice, R.; Neuhouser, M.L.; Truby, H. New Age-Specific Predictive Equations for Estimating Resting Metabolic Rate of Older Adults. Clin. Nutr. ESPEN 2023, 58, 490. [Google Scholar] [CrossRef]
- Sekartaji, D.; Ryu, Y.; Novianto, D. Effect of Ventilation Patterns on Indoor Thermal Comfort and Air-Conditioning Cooling and Heating Load Using Simulation. City Built Environ. 2023, 1, 14. [Google Scholar] [CrossRef]




















| Test Parameters | Test Instrument | Range | Resolution | Accuracy | Accuracy Requirements in GBT50785 [47] |
|---|---|---|---|---|---|
| Air temperature | Thermo Recorder TR-72wf | 0~55 °C | 0.1 °C | ±0.5 °C | ±0.5 °C |
| Relative humidity | Thermo Recorder TR-72wf | 10~95% | 1% | ±5% | ±5% |
| Air velocity | CEM DT-8880 | 0.1~25 m/s | 0.01 m/s | (0.03 ± 0.05 v) m/s | (0.05 ± 0.05 v) m/s |
| Black globe temperature | AZ87786 | 0~50 °C | ±0.1 °C | ±0.5 °C | ±0.5 °C |
| Scales | Thermal Sensation | Humidity Sensation | Thermal Preference | Humidity Preference | Thermal Acceptance |
|---|---|---|---|---|---|
| 3 | Hot | Very humid | – | – | Clearly acceptable |
| 2 | Warm | Humid | – | – | Acceptable |
| 1 | Slightly warm | Slightly humid | Warmer | More humid | Slightly acceptable |
| 0 | Neutral | Neutral | No change | No change | Neutral |
| −1 | Slightly cool | Slightly dry | Cooler | Want dryer | Slightly unacceptable |
| −2 | Cool | dry | – | – | Unacceptable |
| −3 | Cold | Very dry | – | – | Clearly unacceptable |
| Gender | Sample | Age Range | BMI | ||||
|---|---|---|---|---|---|---|---|
| Under 18 | 18~60 | Over 60 | Min | Max | Average | ||
| Female | 77 | 7 | 27 | 43 | 14.67 | 32.00 | 22.50 |
| Male | 101 | 13 | 34 | 54 | 15.31 | 37.83 | 23.16 |
| Range | Total | Female | Male | Over 60 | Under 60 |
|---|---|---|---|---|---|
| CRHmin 1 (%) | 43.63 | 38.59 | 45.85 | 38.95 | 46.33 |
| CRHmax 2 (%) | 63.37 | 65.76 | 63.15 | 66.57 | 62.64 |
| Total | Female | Male | Over 60 | Under 60 | |
|---|---|---|---|---|---|
| Tn (°C) | 27.52 | 27.46 | 27.65 | 28.21 | 27.45 |
| Tamin (°C) | 25.14 | 25.53 | 24.71 | 25.58 | 25.18 |
| Tamax (°C) | 29.90 | 29.38 | 30.59 | 30.84 | 29.73 |
| Reference | Climate Zone | Area | MTSV Equation | Tn (°C) | Tace (°C) |
|---|---|---|---|---|---|
| Xiong et al. [10] | HSCW 1 | Wuhan, R 4 | MTSV = 0.27Top − 6.79 | 25.14 | 23.30~27.00 |
| Zhang et al. [58] | HSWW 2 | Guangdong, R | MTSV = 0.232Top − 5.579 | 24.05 | under31.1 |
| Yang et al. [39] | C 3 | Turpan, R | MTSV = 0.085Top − 2.071 | 24.36 | 18.48~30.25 |
| Yu et al. [56] | C | Tibetan, R | MTSV = 0.192Top − 4.191 | 21.79 | 19.19~24.39 |
| Liu et al. [54] | C | Weihai, R | MTSV = 0.236Top − 6.363 | 26.94 | 24.82~29.06 |
| Ge et al. [55] | C | Xi’an, R | MTSV = 0.213Top − 5.642 | 26.38 | 24.04~28.71 |
| This study | C | Linyi, R | MTSV = 0.211Top − 5.781 | 27.52 | 25.14~29.90 |
| Liu et al. [57] | C | Taiyuan, U 5 | MTSV = 0.329Top − 9.056 | 27.50 | 25.98~29.02 |
| Activity | Sleeping | Seated | Standing | Walking about | Housework | Average |
|---|---|---|---|---|---|---|
| Metabolic rate (met) | 0.7 | 1.0 | 1.4 | 1.7 | 2.0 | 1.2 |
| Percentage (%) | 1.12 | 66.29 | 8.43 | 17.98 | 6.18 |
Disclaimer/Publisher’s Note: The statements, opinions and data contained in all publications are solely those of the individual author(s) and contributor(s) and not of MDPI and/or the editor(s). MDPI and/or the editor(s) disclaim responsibility for any injury to people or property resulting from any ideas, methods, instructions or products referred to in the content. |
© 2024 by the authors. Licensee MDPI, Basel, Switzerland. This article is an open access article distributed under the terms and conditions of the Creative Commons Attribution (CC BY) license (https://creativecommons.org/licenses/by/4.0/).
Share and Cite
Tang, H.; Gao, Y.; Tan, S.; Guo, Y.; Gao, W. Field Investigation on Adaptive Thermal Comfort in Rural Dwellings: A Case Study in Linyi (China) during Summer. Buildings 2024, 14, 1429. https://doi.org/10.3390/buildings14051429
Tang H, Gao Y, Tan S, Guo Y, Gao W. Field Investigation on Adaptive Thermal Comfort in Rural Dwellings: A Case Study in Linyi (China) during Summer. Buildings. 2024; 14(5):1429. https://doi.org/10.3390/buildings14051429
Chicago/Turabian StyleTang, Hao, Yali Gao, Shiteng Tan, Yuang Guo, and Weijun Gao. 2024. "Field Investigation on Adaptive Thermal Comfort in Rural Dwellings: A Case Study in Linyi (China) during Summer" Buildings 14, no. 5: 1429. https://doi.org/10.3390/buildings14051429
APA StyleTang, H., Gao, Y., Tan, S., Guo, Y., & Gao, W. (2024). Field Investigation on Adaptive Thermal Comfort in Rural Dwellings: A Case Study in Linyi (China) during Summer. Buildings, 14(5), 1429. https://doi.org/10.3390/buildings14051429

