A Calculation Method for Reliability Index of a Deep–Bedded Karst Tunnel Construction with Cavity Located Ahead of Tunnel Working Face
Abstract
1. Introduction
2. Damage Modelling and Reliability Calculation Method
- (1)
- It is assumed that the Mohr–Coulomb strength theory should be applicable to the geotechnical materials in this construction damage model for deeply buried karst tunnels.As the geotechnical body in this damage model is subjected to yielding, the geotechnical body should obey the associated flow rule.
- (2)
- It is assumed that the tunnel depth is , the cavern depth is , the tunnel diameter is , the cave diameter is . The cohesion of the geotechnical body is c, the friction angle of the geotechnical body is , and the gravity of the geotechnical body is .
- (3)
- The cavern in this failure model is an empty karst cave.
- (4)
- The assumption is that the physical property indices of the rockmass in this failure model should conform to a Gaussian distribution.
- (5)
- It is assumed that the geometrical deformation of the geotechnical body in the deeply buried karst tunnel model at the moment of damage would be small.
2.1. Velocity Field
2.2. Energy Dissipation Rate
2.3. Power of External Work
2.4. Performance Functions
3. Comparison and Verification
4. Application of Engineering
4.1. Information on the Project
4.2. Effect of Internal Friction Angle
4.3. Tunnel Diameter upon the Circumference of the Tunnel
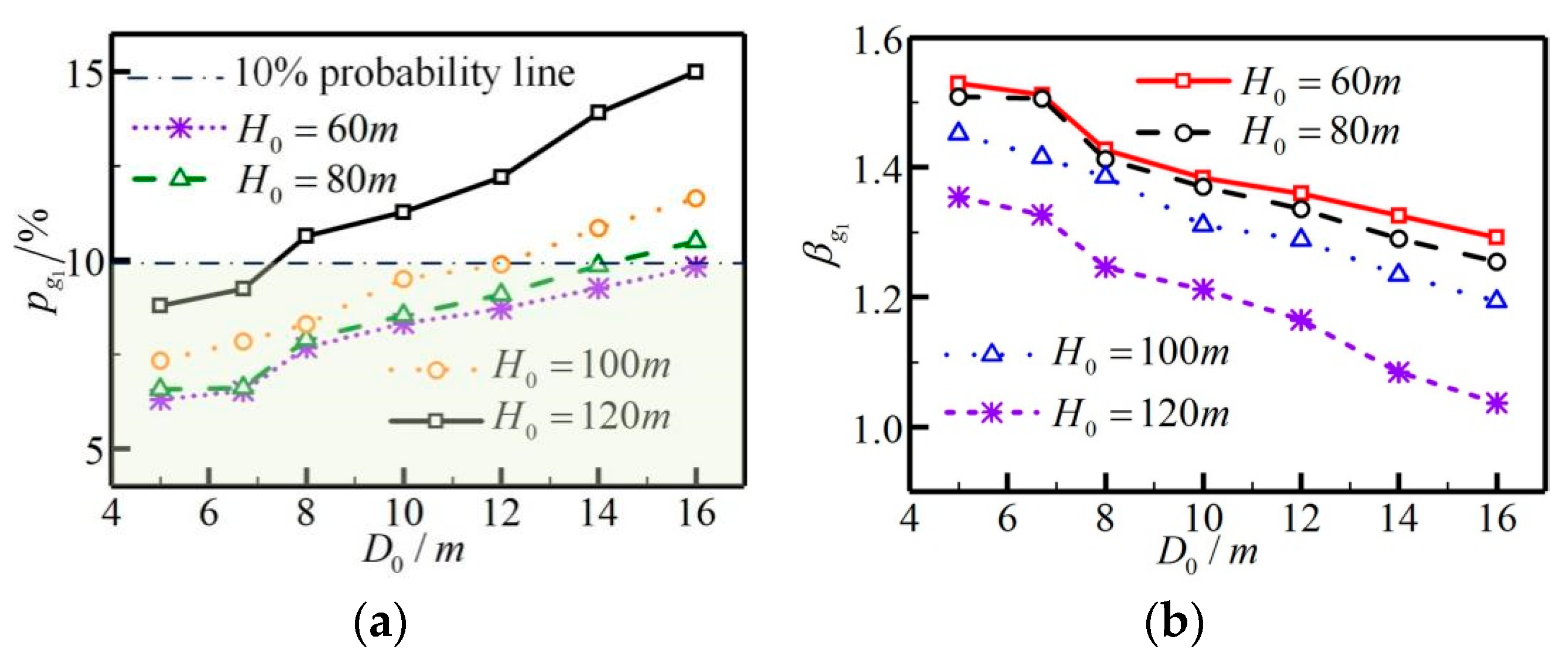
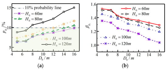
4.4. Cavity Diameter on The Geotechnical Bodies around Such Cavity
5. Conclusions
- (1)
- In contrast to the coefficient of safety calculated with the strength reduction theory with finite element, the coefficient of safety calculated by this analytical solution method for calculating the probability of instability as well as the reliability index of this deeply buried karst tunnel could be within a reasonable range.
- (2)
- When the cohesion of the geotechnical body is 1000 kPa, the karst cave is empty, and the internal friction angle varies from 42° to 50°, respectively, the reliability index of zone A–1 and zone A–2 is 1.37, 1.79, respectively. And the reliability indexes in the left part of zone A–3 and the left part of zone A–4 in the former case are 20.86% greater than those in the latter case. And the larger the cohesion of the geotechnical body, the larger the angle of internal friction in the body of the rock and soil, the larger the reliability index of area A–1 and area A–2.
- (3)
- When the cohesion of the geotechnical body is 1000 kPa, the internal friction angle is 50° and 42°, respectively, and there is no filling of the cavity, the reliability indexes in the left part of zone A–3 and the left part of zone A–4 in the former case are 20.86% greater than those in the latter case. Hence, the greater the cohesion of the geotechnical body, the greater the internal friction angle on the rock and soil mass around the cavern, the greater the reliability index of the left part of zone A–3 and the left part of zone A–4.
- (4)
- The greater the cohesion of the rockmass, and the greater the angle of internal friction within the geotechnical body, the greater the reliability index of the left part of area A–3 and the left part of area A–4. Additionally, the greater the tunnel buried depth, and the larger the cavern diameter, the greater the probability of instability of the left part of area A–3 and the left part of area A–4, and as a consequence, the smaller the reliability index of these damage areas.
Author Contributions
Funding
Data Availability Statement
Acknowledgments
Conflicts of Interest
Appendix A
| Sign | Meaning | Sign | Meaning |
|---|---|---|---|
| the rate of energy dissipation in velocity discontinuities | |||
| the rate of energy dissipation in velocity discontinuities | |||
| the rate of energy dissipation in velocity discontinuities | |||
| the rate of energy dissipation in velocity discontinuities | |||
| the rate of energy dissipation in velocity discontinuities | |||
| the rate of energy dissipation in velocity discontinuities | |||
| the external power of the triangle masses | |||
| size | |||
| area | the triangular bulk area | ||
| size | . | ||
| size | the triangular mass size | ||
| the performance functional expression of zone A–1 and zone A–2 | |||
| the distribution coefficient for the rate of power dissipation in zone A–1 | |||
| the distribution coefficient for the rate of power dissipation in zone A–2 | |||
| the distribution coefficient of the power of external work by own weight in zone A–1 | |||
| the distribution coefficient of the power of external work by own weight in zone A–2 | |||
| the performance function of the left part of zone A–3 as well as the left side of zone A–4 | |||
| the distribution coefficient for the rate of power dissipation in zone A–3 | |||
| the distribution coefficient for the rate of power dissipation in zone A–4 | |||
| the distribution coefficient of the power of the power of external work by own weight in zone A–3 | |||
| the distribution coefficient of the power of external work by own weight in zone A–4 | |||
| the probability of failure in zone A–1 as well as zone A–2 | the probability of failure at the left part of zone A–3 as well as the left part of zone A–4 | ||
| b | the threshold quantity used to identify if the zone is destroyed or not | ||
| the reliability index of zone A–1 as well as zone A–2 | the reliability index of zone A–3 as well as zone A–4 | ||
References
- Zheng, Y.; He, S.; Yu, Y.; Zheng, J.; Zhu, Y.; Liu, T. Characteristics, challenges and countermeasures of giant karst cave: A case study of Yujingshan tunnel in high-speed railway. Tunn. Undergr. Space Technol. 2021, 114, 103988. [Google Scholar] [CrossRef]
- Huang, M.; Li, J.; Yang, Z.; Zhang, Z.; Song, Y. Analysis and Application of Lining Resistance to Water Pressure in Tunnel through Karst Cave. Appl. Sci. 2022, 12, 7605. [Google Scholar] [CrossRef]
- Wang, Y.; Chen, F.; Yin, X.; Geng, F. Study on the risk assessment of water inrush in karst tunnels based on intuitionistic fuzzy theory. Geomat. Nat. Haz. Risk 2019, 10, 1070–1083. [Google Scholar] [CrossRef]
- Zhu, Y.; Zhou, J.; Zhang, B.; Wang, H.; Huang, M. Statistical analysis of major tunnel construction accidents in China from 2010 to 2020. Tunn. Undergr. Space Technol. 2022, 124, 104460. [Google Scholar] [CrossRef]
- Wang, X.; Lai, J.; Qiu, J.; Xu, W.; Wang, L.; Luo, Y. Geohazards, reflection and challenges in Mountain tunnel construction of China: A data collection from 2002 to 2018. Geomat. Nat. Haz. Risk 2020, 11, 766–784. [Google Scholar] [CrossRef]
- Zhang, L.; Fu, H.; Wu, J.; Zhang, X.; Zhao, D. Effects of Karst Cave Shape on the Stability and Minimum Safety Thickness of Tunnel Surrounding Rock. Int. J. Geomech. 2021, 21, 04021150. [Google Scholar] [CrossRef]
- Xu, Z.; Lin, P.; Xing, H.; Pan, D.; Huang, X. Hydro-mechanical Coupling Response Behaviors in Tunnel Subjected to a Water-Filled Karst Cave. Rock Mech. Rock Eng. 2021, 54, 3737–3756. [Google Scholar] [CrossRef]
- Wu, W.; Liu, X.; Guo, J.; Sun, F.; Huang, X.; Zhu, Z. Upper limit analysis of stability of the water-resistant rock mass of a karst tunnel face considering the seepage force. Bull. Eng. Geol. Environ. 2021, 80, 5813–5830. [Google Scholar] [CrossRef]
- Han, G.; Xue, P.; Wang, Y.; Li, X.; Bian, H.; Wang, Y.; Guo, P. Mechanical Response Law and Parameter Influence Analysis of Karst Tunnel Dynamic Excavation. Appl. Sci. 2023, 13, 9351. [Google Scholar] [CrossRef]
- Li, S.; Wu, J.; Xu, Z.; Zhou, L.; Zhang, B. A possible prediction method to determine the top concealed karst cave based on displacement monitoring during tunnel construction. Bull. Eng. Geol. Environ. 2019, 78, 341–355. [Google Scholar] [CrossRef]
- Wu, B.; Sun, W.; Cai, G.; Meng, G. Reliability analysis of shallow-buried tunnel construction adjacent to karst cave. Comput. Geotech. 2022, 145, 104673. [Google Scholar] [CrossRef]
- Cheng, X.; Li, D.; Li, H.; Peng, X.; Zhao, L.; Zhao, W. Stability analysis of a 3D shallow tunnel face considering the inclined excavation and inclined ground surface. Comput. Geotech. 2024, 165, 105913. [Google Scholar] [CrossRef]
- Ma, J.; Guan, J.; Duan, J.; Huang, L.; Liang, Y. Stability analysis on tunnels with karst caves using the distinct lattice spring model. Undergr. Space 2021, 6, 469–481. [Google Scholar] [CrossRef]
- Ye, D.; Liu, G.; Ji, M.; Wang, F.; Zhou, J. A new approach to evaluate the interactions between the surrounding rock microstructure and water inrush for tunnel excavation. Comput. Geotech. 2023, 157, 105336. [Google Scholar] [CrossRef]
- Shi, Z.; Wang, Q.; Pang, C.; Yuan, Y.; Wang, F.; Song, H.; Liu, J.; Zhang, Z.; Sun, R.; Liu, Y. Establishment and Application of the Spatial Decomposition Method (SDM) for Tunnels Passing Through Large Karst Caves. Appl. Sci. 2020, 10, 7204. [Google Scholar] [CrossRef]
- Zhang, K.; Zheng, W.; Zhou, C.; Xie, H.; Long, X.; Tannant, D.D.; Chen, S.; Zhu, J. Evaluation of underground karst development state for tunnel construction by using the extension assessment method. Bull. Eng. Geol. Environ. 2023, 82, 419. [Google Scholar] [CrossRef]
- Huang, X.; Li, S.; Xu, Z.; Guo, M.; Shi, X.; Gao, B.; Zhang, B.; Liu, L. An attribute recognition model for safe thickness assessment between concealed karst cave and tunnel. J. Cent. South Univ. 2019, 26, 955–969. [Google Scholar] [CrossRef]
- Li, S.; Wu, J. A multi-factor comprehensive risk assessment method of karst tunnels and its engineering application. Bull. Eng. Geol. Environ. 2019, 78, 1761–1776. [Google Scholar] [CrossRef]
- Kim, J.; Kim, C.; Kim, G.; Kim, I.; Abbas, Q.; Lee, J. Probabilistic tunnel collapse risk evaluation model using analytical hierarchy process (AHP) and Delphi survey technique. Tunn. Undergr. Space Technol. 2022, 120, 104262. [Google Scholar] [CrossRef]
- Tu, H.; Zhou, H.; Gao, Y.; Lu, J.; Singh, H.K.; Zhang, C.; Hu, D.; Hu, M. Probability Analysis of Deep Tunnels Based on Monte Carlo Simulation: Case Study of Diversion Tunnels at Jinping II Hydropower Station, Southwest China. Int. J. Geomech. 2021, 21, 04021243. [Google Scholar] [CrossRef]
- He, P.; Li, L.; Wang, G.; Xu, F.; Sun, S. Probabilistic prediction of the spatial distribution of potential key blocks during tunnel surrounding rock excavation. Nat. Hazards 2022, 111, 1721–1740. [Google Scholar] [CrossRef]
- Liu, Z.; Li, L.; Yu, G.; Hu, J.; Lin, H.; Li, C.; Lu, S.; Meng, K.; Lei, J. Identification of Primary Failure Modes of Tunnel System and Influence of Supporting Structures on Tunnel System Reliability using Multiple Response Surfaces. KSCE J. Civ. Eng. 2023, 27, 843–856. [Google Scholar] [CrossRef]
- Gan, X.; Yu, J.; Gong, X.; Zhu, M. Probabilistic analysis for twin tunneling-induced longitudinal responses of existing shield tunnel. Tunn. Undergr. Space Technol. 2022, 120, 104317. [Google Scholar] [CrossRef]
- Li, T.; Dias, D. Tunnel face reliability analysis using active learning Kriging model—Case of a two-layer soils. J. Cent. South Univ. 2019, 26, 1735–1746. [Google Scholar] [CrossRef]
- Cheng, H.; Chen, J.; Chen, R.; Chen, G. Reliability study on shield tunnel face using a random limit analysis method in multilayered soils. Tunn. Undergr. Space Technol. 2019, 84, 353–363. [Google Scholar] [CrossRef]
- Wu, P.; Fang, Z.; Wang, X.; Zhu, G. Reliability Evaluation and Prediction of Deep Buried Tunnel Based on Similarity Theory and Model Test. KSCE J. Civ. Eng. 2023, 27, 2654–2665. [Google Scholar] [CrossRef]
- Cai, W.; Zhu, H.; Liang, W.; Vu, B.; Wu, W. Physical and numerical investigation on nonlinear mechanical properties of deep–buried rock tunnel excavation unloading under complicated ground stresses. Tunn. Undergr. Space Technol. 2023, 138, 105197. [Google Scholar] [CrossRef]
- Kong, C.; Gao, X.; Cao, L.; Liu, K. Analysis of the failure of primary support of a deep-buried railway tunnel in silty clay. Eng. Fail. Anal. 2016, 66, 259–273. [Google Scholar] [CrossRef]
- Liu, Q.; Sun, S.; Wang, H.; Dong, J.; Hu, H. A Calculation Method for Safety Distance Between the Confined Karst Cave and the Shield Tunnel Based on Upper Bound Theorem. Geotech. Geol. Eng. 2020, 38, 6587–6599. [Google Scholar] [CrossRef]
- Wu, B.; Sun, W. A Method for Calculating the Instability Probability in a Deeply Buried Tunnel Construction with a Hidden Karst Cave at the Bottom. Appl. Sci. 2024, 14, 1691. [Google Scholar] [CrossRef]
- Wu, B.; Sun, W.; Meng, G. Sensitivity Analysis of Influencing Factors of Karst Tunnel Construction Based on Orthogonal Tests and a Random Forest Algorithm. Appl. Sci. 2024, 14, 2079. [Google Scholar] [CrossRef]
- Zheng, Y.; Xu, H.; Wang, C.; Xiao, Q. Failure mechanism of tunnel and dividing line standard between shallow and deep bury. J. Zhejiang Univ. (Eng. Sci.) 2010, 44, 1851–1856+1875. (In Chinese) [Google Scholar]
- Chen, W. Limit Analysis and Soil Plasticity; Elsevier: Amsterdam, The Netherlands, 1975. [Google Scholar]
- Yang, X.; Huang, F. Collapse mechanism of shallow tunnel based on nonlinear Hoek-Brown failure criterion. Tunn. Undergr. Space Technol. 2011, 26, 686–691. [Google Scholar] [CrossRef]
- Yang, X.; Wang, J. Ground movement prediction for tunnels using simplified procedure. Tunn. Undergr. Space Technol. 2011, 26, 462–471. [Google Scholar] [CrossRef]
- Yuan, B.; Liang, J.; Lin, H.; Wang, W.; Xiao, Y. Experimental Study on Influencing Factors Associated with a New Tunnel Waterproofing for Improved Impermeability. J. Test. Eval. 2024, 52, 344–363. [Google Scholar] [CrossRef]
- Yuan, B.; Liang, J.; Zhang, B.; Chen, W.; Huang, X.; Huang, Q.; Li, Y.; Yuan, P. Optimized reinforcement of granite residual soil using a cement and alkaline solution: A coupling effect. J. ROCK Mech. Geotech. 2024, in press. [CrossRef]
- GB50652-2011; Management of Underground Works in Urban Rail Transit. China Architecture & Building Press: Beijing, China, 2011.
- Xu, H.; Zhou, J.; Asteris, P.; Armaghani, D.; Tahir, M. Supervised Machine Learning Techniques to the Prediction of Tunnel Boring Machine Penetration Rate. Appl. Sci. 2019, 9, 3715. [Google Scholar] [CrossRef]
- Hajihassani, M.; Abdullah, S.; Asteris, P.; Armaghani, D. A Gene Expression Programming Model for Predicting Tunnel Convergence. Appl. Sci. 2019, 9, 4650. [Google Scholar] [CrossRef]










| Symbol | Meaning | Symbol | Meaning |
|---|---|---|---|
| c | cohesion of geotechnical bodies | Poisson’s ratio | |
| internal friction of geotechnical body | strain of geotechnical mass | ||
| tunnel diameter | E | elastic modulus | |
| self–weight | buried depth of the tunnel | ||
| diameter of karst cave | safety factor of each failure area | ||
| buried depth of karst cave | COV | coefficient of variation of rock and soil parameters |
| Geotechnical Body Type | c | E | ||||||||
|---|---|---|---|---|---|---|---|---|---|---|
| Mean (kPa) | COV | Mean (°) | COV | Mean (kN/m3) | COV | Mean (MPa) | COV | Mean | COV | |
| Moderately weathered dolomite | 1000 | 0.189 | 45 | 0.197 | 27 | 0.055 | 53.8 | 0.155 | 0.3 | / |
Disclaimer/Publisher’s Note: The statements, opinions and data contained in all publications are solely those of the individual author(s) and contributor(s) and not of MDPI and/or the editor(s). MDPI and/or the editor(s) disclaim responsibility for any injury to people or property resulting from any ideas, methods, instructions or products referred to in the content. |
© 2024 by the authors. Licensee MDPI, Basel, Switzerland. This article is an open access article distributed under the terms and conditions of the Creative Commons Attribution (CC BY) license (https://creativecommons.org/licenses/by/4.0/).
Share and Cite
Wu, B.; Sun, W.; Meng, G. A Calculation Method for Reliability Index of a Deep–Bedded Karst Tunnel Construction with Cavity Located Ahead of Tunnel Working Face. Buildings 2024, 14, 1349. https://doi.org/10.3390/buildings14051349
Wu B, Sun W, Meng G. A Calculation Method for Reliability Index of a Deep–Bedded Karst Tunnel Construction with Cavity Located Ahead of Tunnel Working Face. Buildings. 2024; 14(5):1349. https://doi.org/10.3390/buildings14051349
Chicago/Turabian StyleWu, Bo, Wentao Sun, and Guowang Meng. 2024. "A Calculation Method for Reliability Index of a Deep–Bedded Karst Tunnel Construction with Cavity Located Ahead of Tunnel Working Face" Buildings 14, no. 5: 1349. https://doi.org/10.3390/buildings14051349
APA StyleWu, B., Sun, W., & Meng, G. (2024). A Calculation Method for Reliability Index of a Deep–Bedded Karst Tunnel Construction with Cavity Located Ahead of Tunnel Working Face. Buildings, 14(5), 1349. https://doi.org/10.3390/buildings14051349
