Analytical Method for the Deformation-Based Design of Retaining Walls in Asymmetric Excavation
Abstract
1. Introduction
2. Assumed Deformation Model
3. Calculation of Displacement-Dependent Earth Pressure on the Retaining Wall
3.1. Calculation of Displacement-Dependent Earth Pressure
3.2. Validation of the Proposed Displacement-Dependent Earth Pressure Model
4. Solution for the Deformation-Based Asymmetric Wall Lengths on Both Sides in Asymmetric Excavation
5. Example Analysis
6. Parametric Study
6.1. Influence of Internal Friction Angle
6.2. Influence of Strut Stiffness
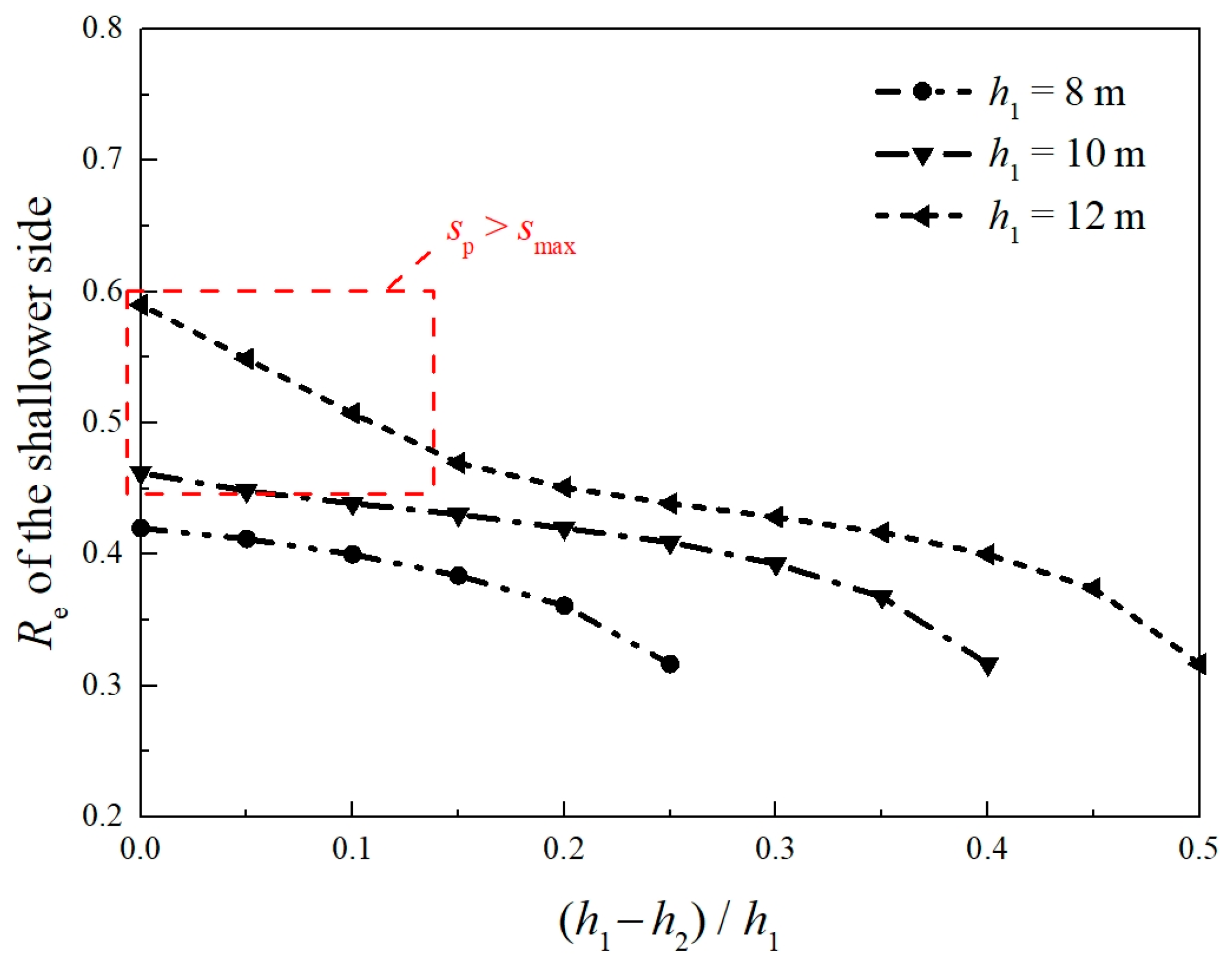
6.3. Influence of Excavation Depth Differences between Two Sides
6.4. Influence of the Deformation Control Value
7. Conclusions
- (1)
- An analytical solution was developed for the deformation-based design calculation of the asymmetric length of retaining walls propped at the crest. This solution enables a rational approach for the design of retaining structures in asymmetric excavation, in contrast to the conventional equivalent-beam method. The embedment ratio Re, which is determined using the classical equivalent-beam method, is considered unsafe because of the use of the ultimate-state earth pressure theory. The level of insecurity becomes more severe when the internal friction angle of the soil is small.
- (2)
- In the case of asymmetric excavation, the force of the entire retaining system is primarily influenced by the deeper side, and the Re value of the shallower side exhibits greater sensitivity to asymmetric excavation.
- (3)
- When the excavation depth of the deeper side remains unchanged, a larger difference in excavation depths between the two sides (i.e., a larger degree of asymmetric excavation) results in a lower Re for the shallower side. Compared to the traditional unilateral design for the more unfavorable deeper side of the excavation, the Re value of the shallower side can be reduced by approximately 0.1–0.3. Project costs can be reduced using the proposed design method, making it more economical and reasonable.
- (4)
- As the displacement control value of the retaining structure in asymmetric excavation increases, the Re values of the two sides consistently decrease. The rate of decrease decelerates as the displacement control value increases. Displacement control exerts a more substantial influence on the Re value of the deeper side. The influence of the displacement control value at the wall top, [Δ]t, on the Re values of the two sides is weaker compared to the maximum-allowable displacement control value of the retaining structure, [Δ]m. Adopting the deformation-based design method for the retaining structure is highly significant for the rational design of the retaining wall length, while ensuring engineering safety and cost reductions.
Author Contributions
Funding
Data Availability Statement
Conflicts of Interest
References
- Liu, B.; Zhang, D.; Xi, P. Influence of vehicle load mode on the response of an asymmetrically-loaded deep excavation. KSCE J. Civ. Eng. 2019, 23, 3315–3329. [Google Scholar] [CrossRef]
- Guo, P.; Gong, X.; Wang, Y. Displacement and force analyses of braced structure of deep excavation considering unsymmetrical surcharge effect. Comput. Geotech. 2019, 113, 103102. [Google Scholar] [CrossRef]
- Liu, S.; Yang, J.; Fu, J.; Zheng, X. Performance of a deep excavation irregular supporting structure subjected to asymmetric loading. Int. J. Geomech. 2019, 19, 05019007. [Google Scholar] [CrossRef]
- Ou, X.; Zhang, X.; Fu, J.; Zhang, C.; Zhou, X.; Feng, H. Cause investigation of large deformation of a deep excavation support system subjected to unsymmetrical surface loading. Eng. Fail. Anal. 2020, 107, 104202. [Google Scholar] [CrossRef]
- Zhang, W.; Wu, N.; Jia, P.; Zhou, X.; Li, H.; Wang, G. Study of the mechanical performance of excavation under asymmetrical pressure and reinforcement measures. Arab. J. Geosci. 2021, 14, 1834. [Google Scholar] [CrossRef]
- JGJ120-2012; Technical Specification for Retaining and Protection of Building Foundation Excavations. China Architecture & Building Press: Beijing, China, 2012.
- Ou, C.Y. Deep Excavation: Theory and Practice; Taylor & Francis Group: London, UK, 2006. [Google Scholar]
- Tang, C.; He, S.-Y.; Zhou, W.-H. A beam on elastic foundation method for predicting deflection of braced excavations considering uncertainties. Int. J. Numer. Anal. Methods Geomech. 2023, 47, 533–548. [Google Scholar] [CrossRef]
- Zhang, W.G.; Goh, A.T.C.; Xuan, F. A simple prediction model for wall deflection caused by braced excavation in clays. Comput. Geotech. 2015, 63, 67–72. [Google Scholar] [CrossRef]
- Zhao, B.D.; Zhang, L.L.; Jeng, D.S.; Wang, J.H.; Chen, J.J. Inverse analysis of deep excavation using differential evolution algorithm. Int. J. Numer. Anal. Methods Geomech. 2015, 39, 115–134. [Google Scholar] [CrossRef]
- Osman, A.S.; Bolton, M.D. Ground movement predictions for braced excavations in undrained clay. J. Geotech. Geoenviron. Eng. 2006, 132, 465–477. [Google Scholar] [CrossRef]
- Osman, A.S.; Bolton, M.D. Design of braced excavations to limit ground movements. Proc. Inst. Civ. Eng. Geotech. Eng. 2006, 159, 167–175. [Google Scholar] [CrossRef]
- Lam, S.Y.; Bolton, M.D. Energy conservation as a principle underlying mobilizable strength design for deep excavations. J. Geotech. Geoenviron. Eng. 2011, 137, 1062–1074. [Google Scholar] [CrossRef]
- Dan, K.; Sahu, R. A theoretical study on ground movement prediction for braced excavation in soft clay. Int. J. Geotech. Eng. 2012, 6, 53–64. [Google Scholar] [CrossRef]
- Wang, L.Z.; Liu, Y.J.; Hong, Y.; Liu, S.M. Predicting deformation of multipropped excavations in soft clay with a modified mobilizable strength design (MMSD) method. Comput. Geotech. 2018, 104, 54–68. [Google Scholar] [CrossRef]
- Zheng, G.; He, X.; Zhou, H. A prediction model for the deformation of an embedded cantilever retaining wall in sand. Int. J. Geomech. 2023, 23, 06023001. [Google Scholar] [CrossRef]
- Fan, X.; Xu, C.; Liang, L.; Yang, K.; Chen, Q.; Feng, G.; Zhang, J. Experimental and numerical study of braced retaining piles with asymmetrical excavation. Int. J. Civ. Eng. 2024. [Google Scholar] [CrossRef]
- Gajan, S. Normalized relationships for depth of embedment of sheet pile walls and soldier pile walls in cohesionless soils. Soils Found. 2011, 51, 559–564. [Google Scholar] [CrossRef][Green Version]
- Conte, E.; Troncone, A.; Vena, M. A method for the design of embedded cantilever retaining walls under static and seismic loading. Géotechnique 2017, 67, 1081–1089. [Google Scholar] [CrossRef]
- Nandi, R.; Choudhury, D. Displacement-controlled approach for the analysis of embedded cantilever retaining walls with a distanced strip surcharge. Comput. Geotech. 2022, 151, 104970. [Google Scholar] [CrossRef]
- Nandi, R.; Choudhury, D. Displacement-controlled analysis of embedded cantilever retaining walls. Int. J. Geomech. 2023, 23, 06023005. [Google Scholar] [CrossRef]
- Kung, G.T.; Juang, C.H.; Hsiao, E.C.; Hashash, Y.M. Simplified model for wall deflection and ground-surface settlement caused by braced excavation in clays. J. Geotech. Geoenviron. Eng. 2007, 133, 731–747. [Google Scholar] [CrossRef]
- Fan, X.Z.; Phoon, K.K.; Xu, C.J.; Tang, C. Closed-form solution for excavation-induced ground settlement profile in clay. Comput. Geotech. 2021, 137, 104266. [Google Scholar] [CrossRef]
- Coulomb, C.A. Essai sur une application des regles des maximis et minimis a quelques problemes de statique relatifs a l’architecture. Mem. l’Acad. R. Divers Savants 1776, 7, 343–387. [Google Scholar]
- Rankine, W.J.M. On the stability of loose earth. Philos. Trans. R Soc. Lond. 1857, 147, 9–27. [Google Scholar]
- Finno, R.J.; Voss, F.T., Jr.; Rossow, E.; Blackburn, J.T. Evaluating damage potential in buildings affected by excavations. J. Geotech. Geoenviron. Eng. 2005, 131, 1199–1210. [Google Scholar] [CrossRef]
- Ou, C.Y.; Hsieh, P.G. A simplified method for predicting ground settlement profiles induced by excavation in soft clay. Comput. Geotech. 2011, 38, 987–997. [Google Scholar] [CrossRef]
- Son, M.; Cording, E.J. Responses of buildings with different structural types to excavation-induced ground settlements. J. Geotech. Geoenviron. Eng. 2011, 137, 323–333. [Google Scholar] [CrossRef]
- Fan, X.; Xu, C.; Liang, L.; Chen, Q.Z.; Deng, J. Analytical solution for displacement-dependent passive earth pressure on rigid walls with various wall movements in cohesionless soil. Comput. Geotech. 2021, 140, 104470. [Google Scholar] [CrossRef]
- Ha, S.J.; Seo, H.; Kim, B. Effects of pulse-like ground motions and wavelet asymmetry on responses of cantilever retaining wall. Soil Dyn. Earthq. Eng. 2023, 166, 107724. [Google Scholar] [CrossRef]
- Bang, S. Active earth pressure behind retaining walls. J. Geotech. Eng. 1985, 111, 407–412. [Google Scholar] [CrossRef]
- Mei, G.; Chen, Q.; Song, L. Model for predicting displacement-dependent lateral earth pressure. Can. Geotech. J. 2009, 46, 969–975. [Google Scholar] [CrossRef]
- Ni, P.P.; Mei, G.X.; Zhao, Y.L. Displacement-dependent earth pressures on rigid retaining walls with compressible geofoam inclusions: Physical modeling and analytical solutions. Int. J. Geomech. 2017, 17, 04016132. [Google Scholar] [CrossRef]
- Mei, G.X.; Chen, R.; Liu, J. New insight into developing mathematical models for predicting deformation-dependent lateral earth pressure. Int. J. Geomech. 2017, 17, 06017003. [Google Scholar] [CrossRef]
- Xie, T.; Luo, Q. Macroscopic embodiment of stress–strain behavior of backfill soil on the displacement-dependent earth pressure curve. Int. J. Geomech. 2018, 18, 04018178. [Google Scholar] [CrossRef]
- Liang, L.; Xu, C.; Fan, X.; Chen, Q. Hyperbolic stress-strain behaviour of sandy soil under plane strain unloading condition and its application on predicting displacement-dependent active earth pressure. Comput. Geotech. 2023, 155, 105219. [Google Scholar] [CrossRef]
- Duncan, J.M.; Mokwa, R.L. Passive earth pressures: Theories and tests. J. Geotech. Geoenviron. Eng. 2001, 127, 248–257. [Google Scholar] [CrossRef]
- Lu, P.; Yan, C.; Gu, X. Sand model test on the distribution of earth pressure. China Civ. Eng. J. 2003, 36, 84–88. [Google Scholar] [CrossRef]
- Zhang, C.; Chen, X.; Fan, W. Overturning stability of a rigid retaining wall for foundation pits in unsaturated soils. Int. J. Geomech. 2016, 16, 06015013. [Google Scholar] [CrossRef]
- GB50497-2019; Technical Standard for Monitoring of Building Excavation Engineering. China Planning Press: Beijing, China, 2019.












| Parameter | Value | Parameter | Value |
|---|---|---|---|
| (°) | 30 | K0 | 0.50 |
| (kN/m3) | 18 | Ka | 0.30 |
| sa | 1‰L | Kp | 4.98 |
| sp | 1%(L − h) | δ (°) | 15 |
| EA (kN) | B (m) | S (m) |
|---|---|---|
| 1.854 × 106 | 30 | 15 |
| Group | [Δ]t/mm | [Δ]m/mm | L1/m | Re of the Deeper Side | L2/m | Re of the Shallower Side |
|---|---|---|---|---|---|---|
| 1 | 20 | 50 | 14.6 | 0.46 | 11.3 | 0.42 |
| 2 | 20 | 45 | 15.0 | 0.50 | 11.3 | 0.42 |
| 3 | 20 | 40 | 15.7 | 0.57 | 11.3 | 0.42 |
| 4 | 20 | 35 | 16.7 | 0.67 | 11.5 | 0.43 |
| 5 | 20 | 30 | 18.4 | 0.84 | 12.2 | 0.52 |
| 6 | 15 | 50 | 14.8 | 0.48 | 11.6 | 0.45 |
| 7 | 10 | 50 | 15.1 | 0.51 | 11.8 | 0.47 |
Disclaimer/Publisher’s Note: The statements, opinions and data contained in all publications are solely those of the individual author(s) and contributor(s) and not of MDPI and/or the editor(s). MDPI and/or the editor(s) disclaim responsibility for any injury to people or property resulting from any ideas, methods, instructions or products referred to in the content. |
© 2024 by the authors. Licensee MDPI, Basel, Switzerland. This article is an open access article distributed under the terms and conditions of the Creative Commons Attribution (CC BY) license (https://creativecommons.org/licenses/by/4.0/).
Share and Cite
Fan, X.; Xu, C.; Liang, L.; Feng, G.; Wan, Q. Analytical Method for the Deformation-Based Design of Retaining Walls in Asymmetric Excavation. Buildings 2024, 14, 1321. https://doi.org/10.3390/buildings14051321
Fan X, Xu C, Liang L, Feng G, Wan Q. Analytical Method for the Deformation-Based Design of Retaining Walls in Asymmetric Excavation. Buildings. 2024; 14(5):1321. https://doi.org/10.3390/buildings14051321
Chicago/Turabian StyleFan, Xiaozhen, Changjie Xu, Luju Liang, Guohui Feng, and Qiwei Wan. 2024. "Analytical Method for the Deformation-Based Design of Retaining Walls in Asymmetric Excavation" Buildings 14, no. 5: 1321. https://doi.org/10.3390/buildings14051321
APA StyleFan, X., Xu, C., Liang, L., Feng, G., & Wan, Q. (2024). Analytical Method for the Deformation-Based Design of Retaining Walls in Asymmetric Excavation. Buildings, 14(5), 1321. https://doi.org/10.3390/buildings14051321

