Study on the Impact of Design Factors of Piloti Forms on the Thermal Environment in Residential Quarters
Abstract
1. Introduction
2. Methods
2.1. Study Area
2.2. Research on the Status of Piloti Residential Quarters in Wuhan City
- The piloti ratio is below 50%.
- Most pilotis are located on both sides of the buildings; only individual buildings in individual districts use middle pilotis due to the topography and orientation of these buildings. In those districts where there is a single middle-piloti building, most of the buildings are elevated at both ends.
- The greening rate is less than 50% but higher than 25%.
- The piloti height is between 2 and 6.5 m: when it is less than 2.5 m, piloti areas act as underground car parks; and only a small number are more than 5.5 m. Based on the status quo of the pilotis in Wuhan residential districts, the ideal district model was extracted and can be used as a substitute: a 40% piloti ratio, 30% greening rate, 4 m piloti height, and parallel rows and columns as the building layout.
| References | Content of Research | Differences from this Research |
|---|---|---|
| [13] | Study of the impact of piloti ratio, piloti height, and geometry on the wind environment | No consideration of the thermal environment, underpinning, or greening |
| [15] | Impact of piloti ratio and wind direction on the wind environment | No consideration of the thermal environment, underpinning, or greening |
| [18] | Study on the impact of piloti buildings with different piloti heights and widths on the wind environment | No consideration of the impact on the thermal environment |
| [21] | Study on the impact of buildings with different piloti ratios on the outdoor thermal environment | No categorization of the underlay and no consideration of the impact of greening |
| [23] | Analysis of the cooling and thermal environment improvement effects of piloti buildings through measured methods | Using measured methods while not considering underpinning or greening |
2.3. Assessment Methodology
| Residential Quarter | Greening Rate | Piloti Height | Piloti Arrangement |
|---|---|---|---|
| A | 35% | 5 m | at the two ends of the building |
| B | 15% | 4.2 m | at the two ends of the building |
| C | 28% | 6.5 m | at the two ends of the building |
| D | 30% | 3.9 m | at the two ends of the building |
| E | 28% | 4.4 m | in the middle of the building |
| F | 30% | 4.5 m | at the two ends of the building |
| G | 35% | 5.4 m | at the two ends of the building |
| H | 36% | 2 m | at the two ends of the building |
| I | 35% | 4.6 m | at the two ends of the building |
| J | 35% | 2.6 m | at one end of the building |
| K | 35% | 3.9 m | at the two ends of the building |
| L | 40% | 2.6 m | at the two ends of the building |
| M | 30% | 4.2 m | in the middle of the building |
| N | 30% | 2.6 m | at the two ends of the building |
| O | 35% | 3.9 m | at the two ends of the building |
| P | 35% | 5.2 m | at the two ends of the building |
| Q | 35% | 2.8 m | at the two ends of the building |
| R | 30% | 3.4 m | at the two ends of the building |
| S | 38% | 3.2 m | at the two ends of the building |
2.4. Envi-Met Software Thermal Environment Validation
2.4.1. Introduction of the Validation Case
2.4.2. Validation Results
2.5. Analysis Model and Cases
| Evaluation Range | Temperature Range (°C) | ||
|---|---|---|---|
| <10 | 10~25 | >25 | |
| Range of breezes that cause thermal discomfort in the human body (m/s) | —— | —— | <0.7 |
| Human comfortable wind speed range (m/s) | <1.3 | <1.5 | 0.7~1.7 |
| Excessive range between comfortable and uncomfortable winds (m/s) | 1.3~2.0 | 1.5~2.3 | 1.7~2.9 |
| Range of strong winds that cause human discomfort (m/s) | >2.0 | >2.3 | >2.9 |
| Measuring point | RMSE | MAE | MBE | D |
|---|---|---|---|---|
| A1 (Ta) | 0.538 | 0.442 | −0.100 | 0.89 |
| A5 (Ta) | 1.1 | 0.962 | 0.14 | 0.64 |
| A7 (Ta) | 1.064 | 0.959 | 0.087 | 0.712 |
| A1 (RH) | 4.41 | 3.54 | 0.058 | 0.823 |
| A5 (RH) | 5.002 | 4.416 | −2.986 | 0.669 |
| A7 (RH) | 4.7 | 3.985 | −3.398 | 0.74 |
| Parameter Setting | ||
|---|---|---|
| Location | Wuhan Roughness | (114.30, 30.5) 0.1 |
| Time | Start time Total simulation time (h) Pre-run time | 7.31 00:00 21 h 7 h |
| Building Parameter | Wall heat transfer coefficient (w/m2·k) Roof heat transfer coefficient (w/m2·k) Wall reflectance (%) Roof reflectance (%) | 1.7 2.2 0.3 0.15 |
| Vegetation | Lawn Hedge Tree | XY (glass 50 cm aver. dens.) H2 (Hedge 2 m dens.) T1 (Tree 10 m dens.) |
| Underlying surface | Brick road (red stones) Brick road (yellow stones) Dark concrete pavement Asphalt road Sandy loam | reflectance: 0.3; emissivity: 0.9 reflectance: 0.4; emissivity: 0.9 reflectance: 0.2; emissivity: 0.9 reflectance: 0.12; emissivity: 0.9 reflectance: 0.2; emissivity: 0.9 |
| Grid setting | Grid size Number of grids Number of nested grids Size of the computational domain | 4 m(X) × 4 m(Y) × 3 m(Z) 114(X) × 121(Y) × 25(Z) 6 456 m(X) × 484 m(Y) × 220 m(Z) |
| Case | Floor Space (m2) | Piloti Area Space (m2) | Piloti Ratio | Greening Rate | Piloti Area Height (m) |
|---|---|---|---|---|---|
| 1 | 480 | 0 | 0% | 30% | 4 m |
| 2 | 480 | 96 | 20% | 30% | 4 m |
| 3 | 480 | 192 | 40% | 30% | 4 m |
| 4 | 480 | 288 | 60% | 30% | 4 m |
| 5 | 480 | 384 | 80% | 30% | 4 m |
| 6 | 480 | 192 | 40% | 30% | 2 m |
| 7 | 480 | 192 | 40% | 30% | 3 m |
| 8 | 480 | 192 | 40% | 30% | 4 m |
| 9 | 480 | 192 | 40% | 30% | 5 m |
| 10 | 480 | 192 | 40% | 30% | 6 m |
| 11 | 480 | 192 | 40% | 30% | 4 m |
| 12 | 480 | 192 | 40% | 35% | 4 m |
| 13 | 480 | 192 | 40% | 40% | 4 m |
| 14 | 480 | 192 | 40% | 45% | 4 m |
| 15 | 480 | 192 | 40% | 50% | 4 m |
3. Results and Analysis
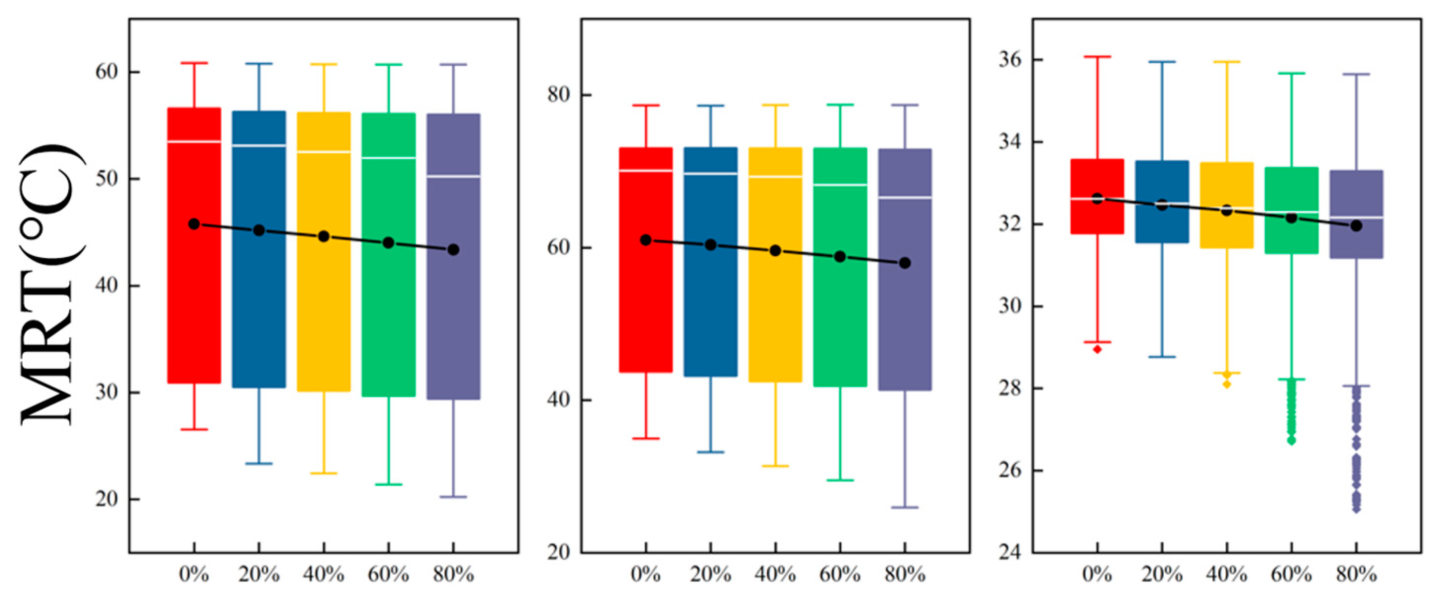
3.1. Effect of Piloti Ratio on the Outdoor Thermal Environment and Thermal Comfort in Piloti Residential Quarters
3.1.1. Air Temperature
3.1.2. Wind Speed and Comfort Wind Ratio
3.1.3. PET
3.2. Analysis of the Impact of Piloti Height on the Outdoor Thermal Environment of Piloti Residential Areas
3.2.1. Air Temperature
3.2.2. Wind Speed and Comfort Air Ratio
3.2.3. PET
3.3. Analysis of the Impact of Different Greening Rates on the Thermal Environment in Piloti Residential Areas
3.3.1. Air Temperature
3.3.2. Wind Speed and Comfort Wind Ratio
3.3.3. PET
4. Discussion
5. Conclusions
- Improving the piloti ratio and overall greening rate of residential areas can effectively reduce the air temperature, as we found in the study area. Every 5% increase in piloti ratio and 5% increase in greening rate can decrease the air temperature by 0.076 °C and 0.058 °C at the hottest time of the day, respectively. However, an increase in pilotis reduces the air temperature in the study area only when it is the morning (8:00) and when the piloti height increases from 2 to 4 m, while it leads to an increase in air temperature at other time points.
- During the daytime, an increase in the piloti ratio caused the most significant enhancement of the average PET value in the pedestrian activity area. When compared with buildings with a 20% piloti ratio, the average PET for an 80% piloti ratio decreased by 2.926 °C. Meanwhile, enhancement of the greening rate was a little less effective than changing the piloti ratio. Beyond this, an increase in piloti height led to the piloti area receiving more solar radiation and surrounding thermal radiation, which greatly affected its thermal comfort. The average PETs of the piloti area rose by 0.46 °C, 0.97 °C, and 0.54 °C for every 1 m increase in the piloti height at 8:00, 14:00, and 18:00, respectively.
- An increase in the piloti ratio can improve the average wind speed, but the overall effect is small and can be reversed by a change in the wind direction. An increase in the greening rate reduces the average wind speed and the proportion of comfortable wind. Meanwhile, increasing the piloti ratio and piloti height can increase the proportion of comfortable wind within a certain limit, but when the piloti rate exceeds 60% and the piloti height exceeds 5 m, the proportion of comfortable wind will be reduced.
- If only the piloti height is increased without providing corresponding shading measures, the average radiation temperature of the buildings in the piloti area can rise quickly. Therefore, when designing high pilotis, designers should arrange green plants to create a shading effect. These have little impact on the wind speed or the wind environment, while they significantly improve the thermal environment.
Author Contributions
Funding
Data Availability Statement
Conflicts of Interest
Appendix A
| Abbreviations | Full Name |
|---|---|
| PET | Physiological equivalent temperature |
| Tmrt | Mean radiant temperature |
| Ta | Air temperature |
| RH | Relative humidity |
| RMSE | Root mean square error |
| MAE | Mean absolute error |
| MAPE | Mean absolute percentage error |
| d | Willmott’s index of agreement |
Appendix B












References
- Jin, H.; Liu, Z.; Jin, Y.; Kang, J.; Liu, J. The effects of residential area building layout on outdoor wind environment at the pedestrian level in severe cold regions of China. Sustainability 2017, 9, 2310. [Google Scholar] [CrossRef]
- Yu, Z.; Yang, G.; Zuo, S.; Jørgensen, G.; Koga, M.; Vejre, H. Critical review on the cooling effect of urban blue-green space: A threshold-size perspective. Urban For. Urban Green. 2020, 49, 126630. [Google Scholar] [CrossRef]
- Lin, L.; Gao, T.; Luo, M.; Ge, E.; Yang, Y.; Liu, Z.; Zhao, Y.; Ning, G. Contribution of urbanization to the changes in extreme climate events in urban agglomerations across China. Sci. Total Environ. 2020, 744, 140264. [Google Scholar] [CrossRef]
- Zhou, L.; Dickinson, R.E.; Tian, Y.; Fang, J.; Li, Q.; Kaufmann, R.K.; Tucker, C.J.; Myneni, R.B. Evidence for a significant urbanization effect on climate in China. Proc. Natl. Acad. Sci. USA 2004, 101, 9540–9544. [Google Scholar] [CrossRef]
- Yu, Z.; Chen, T.; Yang, G.; Sun, R.; Xie, W.; Vejre, H. Quantifying seasonal and diurnal contributions of urban landscapes to heat energy dynamics. Appl. Energy 2020, 264, 114724. [Google Scholar] [CrossRef]
- Tuholske, C.; Caylor, K.; Funk, C.; Verdin, A.; Sweeney, S.; Grace, K.; Peterson, P.; Evans, T. Global urban population exposure to extreme heat. Proc. Natl. Acad. Sci. USA 2021, 118, e2024792118. [Google Scholar] [CrossRef] [PubMed]
- Watkins, R.; Palmer, J.; Kolokotroni, M.; Littlefair, P. The balance of the annual heating and cooling demand within the London urban heat island. Build. Serv. Eng. Res. Technol. 2002, 23, 207–213. [Google Scholar] [CrossRef]
- Santamouris, M.; Papanikolaou, N.; Livada, I.; Koronakis, I.; Georgakis, C.; Argiriou, A.; Assimakopoulos, D. On the impact of urban climate on the energy consumption of buildings. Sol. Energy 2001, 70, 201–216. [Google Scholar] [CrossRef]
- Ko, Y. Trees and vegetation for residential energy conservation: A critical review for evidence-based urban greening in North America. Urban Forest. Urban Green. 2018, 34, 318–335. [Google Scholar] [CrossRef]
- Zhu, S.; Yang, Y.; Yan, Y.; Causone, F.; Jin, X.; Zhou, X.; Shi, X. An evidence-based framework for designing urban green infrastructure morphology to reduce urban building energy use in a hot-humid climate. Build. Environ. 2022, 219, 109181. [Google Scholar] [CrossRef]
- Huang, J.; Zhou, C.; Zhuo, Y.; Xu, L.; Jiang, Y. Outdoor thermal environments and activities in open space: An experiment study in humid subtropical climates. Build. Environ. 2016, 103, 238–249. [Google Scholar] [CrossRef]
- Gu, C.; Guan, W.; Liu, H. Chinese urbanization 2050: SD modeling and process simulation. Sci. China Earth Sci. 2017, 60, 1067–1082. [Google Scholar] [CrossRef]
- Du, Y.; Mak, C.M.; Li, Y. Application of a multi-variable optimization method to determine lift-up design for optimum wind comfort. Build. Environ. 2018, 131, 242–254. [Google Scholar] [CrossRef]
- Li, J.; Wang, W.; Jin, H.; Li, Y.; Bu, N. Thermal responses of people exhibiting high metabolic rates when exercising in piloti spaces in hot and humid areas. J. Build. Eng. 2022, 48, 103930. [Google Scholar] [CrossRef]
- Du, Y.; Mak, C.M.; Liu, J.; Xia, Q.; Niu, J.; Kwok, K. Effects of lift-up design on pedestrian level wind comfort in different building configurations under three wind directions. Build. Environ. 2017, 117, 84–99. [Google Scholar] [CrossRef]
- Huang, T.; Niu, J.; Xie, Y.; Li, J.; Mak, C.M. Assessment of “lift-up” design’s impact on thermal perceptions in the transition process from indoor to outdoor. Sustain. Cities Soc. 2020, 56, 102081. [Google Scholar] [CrossRef]
- Sha, C.; Wang, X.; Lin, Y.; Fan, Y.; Chen, X.; Hang, J. The impact of urban open space and ‘lift-up’building design on building intake fraction and daily pollutant exposure in idealized urban models. Sci. Total Environ. 2018, 633, 1314–1328. [Google Scholar] [CrossRef] [PubMed]
- Tse, K.T.; Zhang, X.; Weerasuriya, A.U.; Li, S.W.; Kwok, K.C.; Mak, C.M.; Niu, J. Adopting ‘lift-up’building design to improve the surrounding pedestrian-level wind environment. Build. Environ. 2017, 117, 154–165. [Google Scholar] [CrossRef] [PubMed]
- Chen, L.; Mak, C.M. Integrated impacts of building height and upstream building on pedestrian comfort around ideal lift-up buildings in a weak wind environment. Build. Environ. 2021, 200, 107963. [Google Scholar] [CrossRef]
- Lai, D.; Liu, W.; Gan, T.; Liu, K.; Chen, Q. A review of mitigating strategies to improve the thermal environment and thermal comfort in urban outdoor spaces. Sci. Total Environ. 2019, 661, 337–353. [Google Scholar] [CrossRef]
- Xi, T.; Ding, J.; Jin, H.; Mochida, A. Study on the influence of piloti ratio on thermal comfort of residential blocks by local thermal comfort adaptation survey and CFD simulations. Energy Procedia 2017, 134, 712–722. [Google Scholar] [CrossRef]
- Xi, T.; Li, Q.; Mochida, A.; Meng, Q. Study on the outdoor thermal environment and thermal comfort around campus clusters in subtropical urban areas. Build. Environ. 2012, 52, 162–170. [Google Scholar] [CrossRef]
- Zhou, Z.; Deng, Q.; Yang, G.; Lin, Y. Quantitative study of using piloti for passive climate adaptability in a hot-summer and cold-winter city in China. Int. J. Environ. Res. Public Health 2018, 15, 2202. [Google Scholar] [CrossRef] [PubMed]
- Chen, G.; Zhao, L.H.; Li, Q. Simulation Study on Effect of Piloti on Outdoor Thermal Environment of Campus Cluster in Guangzhou. Appl. Mech. Mater. 2013, 368, 1888–1893. [Google Scholar] [CrossRef]
- Jiao, M.; Zhou, W.; Zheng, Z.; Yan, J.; Wang, J. Optimizing the shade potential of trees by accounting for landscape context. Sustain. Cities Soc. 2021, 70, 102905. [Google Scholar] [CrossRef]
- Wong, N.H.; Tan, C.L.; Kolokotsa, D.D.; Takebayashi, H. Greenery as a mitigation and adaptation strategy to urban heat. Nat. Rev. Earth Environ. 2021, 2, 166–181. [Google Scholar] [CrossRef]
- Yu, Z.; Zhang, J.; Yang, G. How to build a heat network to alleviate surface heat island effect? Sustain. Cities Soc. 2021, 74, 103135. [Google Scholar] [CrossRef]
- Battista, G.; de Lieto Vollaro, R.; Zinzi, M. Assessment of urban overheating mitigation strategies in a square in Rome, Italy. Sol. Energy 2019, 180, 608–621. [Google Scholar] [CrossRef]
- Georgescu, M.; Chow, W.T.; Wang, Z.H.; Brazel, A.; Trapido-Lurie, B.; Roth, M.; Benson-Lira, V. Prioritizing urban sustainability solutions: Coordinated approaches must incorporate scale-dependent built environment induced effects. Environ. Res. Lett. 2015, 10, 061001. [Google Scholar] [CrossRef]
- Liu, H.; Lim, J.Y.; Thet, B.W.H.; Lai, P.Y.; Koh, W.S. Evaluating the impact of tree morphologies and planting densities on outdoor thermal comfort in tropical residential precincts in Singapore. Build. Environ. 2022, 221, 109268. [Google Scholar] [CrossRef]
- Zhou, W.; Huang, G.; Pickett, S.T.; Wang, J.; Cadenasso, M.; McPhearson, T.; Grove, J.M.; Wang, J. Urban tree canopy has greater cooling effects in socially vulnerable communities in the US. One Earth 2021, 4, 1764–1775. [Google Scholar] [CrossRef]
- Yang, Y.; Zhou, D.; Wang, Y.; Meng, X.; Gu, Z.; Xu, D.; Han, X. Planning method of centralized greening in high-rise residential blocks based on improvement of thermal comfort in summer. Sustain. Cities Soc. 2022, 80, 103802. [Google Scholar] [CrossRef]
- Middel, A.; Chhetri, N.; Quay, R. Urban forestry and cool roofs: Assessment of heat mitigation strategies in Phoenix residential neighborhoods. Urban For. Urban Green. 2015, 14, 178–186. [Google Scholar] [CrossRef]
- Lee, H.; Mayer, H.; Chen, L. Contribution of trees and grasslands to the mitigation of human heat stress in a residential district of Freiburg, Southwest Germany. Landsc. Urban Plan. 2016, 148, 37–50. [Google Scholar] [CrossRef]
- Mayer, H.; Höppe, P. Thermal comfort of man in different urban environments. Theor. Appl. Climatol. 1987, 38, 43–49. [Google Scholar] [CrossRef]
- Murakami, S. Criteria for assessing wind-induced discomfort considering temperature effect. J. Archit. Plann. Environ. Eng. AIJ 1985, 358, 9–17. [Google Scholar]
- Li, Q.; Meng, Q.L.; Zhao, L.H.; Yang, X.S.; Shu, L.F. Experimental study on outdoor thermal environment of campus building clusters in tropical climate. In Proceedings of the 7th International Conference on Urban Climate (ICUC-7), Okohama, Japan, June 29–3 July 2009. [Google Scholar]
- Zhang, L.; Zhan, Q.; Lan, Y. Effects of the tree distribution and species on outdoor environment conditions in a hot summer and cold winter zone: A case study in Wuhan residential quarters. Build. Environ. 2018, 130, 27–39. [Google Scholar] [CrossRef]
- Willmott, C.J. Some comments on the evaluation of model performance. Bull. Am. Meteorol. Soc. 1982, 63, 1309–1313. [Google Scholar] [CrossRef]



















Disclaimer/Publisher’s Note: The statements, opinions and data contained in all publications are solely those of the individual author(s) and contributor(s) and not of MDPI and/or the editor(s). MDPI and/or the editor(s) disclaim responsibility for any injury to people or property resulting from any ideas, methods, instructions or products referred to in the content. |
© 2024 by the author. Licensee MDPI, Basel, Switzerland. This article is an open access article distributed under the terms and conditions of the Creative Commons Attribution (CC BY) license (https://creativecommons.org/licenses/by/4.0/).
Share and Cite
Li, J.; Shan, X.; Deng, Q. Study on the Impact of Design Factors of Piloti Forms on the Thermal Environment in Residential Quarters. Buildings 2024, 14, 1303. https://doi.org/10.3390/buildings14051303
Li J, Shan X, Deng Q. Study on the Impact of Design Factors of Piloti Forms on the Thermal Environment in Residential Quarters. Buildings. 2024; 14(5):1303. https://doi.org/10.3390/buildings14051303
Chicago/Turabian StyleLi, Jinhan, Xiaofang Shan, and Qinli Deng. 2024. "Study on the Impact of Design Factors of Piloti Forms on the Thermal Environment in Residential Quarters" Buildings 14, no. 5: 1303. https://doi.org/10.3390/buildings14051303
APA StyleLi, J., Shan, X., & Deng, Q. (2024). Study on the Impact of Design Factors of Piloti Forms on the Thermal Environment in Residential Quarters. Buildings, 14(5), 1303. https://doi.org/10.3390/buildings14051303

