Effect of Diethanol-Isopropanolamine and Typical Supplementary Cementitious Materials on the Hydration Mechanism of BOF Slag Cement Pastes
Abstract
1. Introduction
2. Materials and Methods
2.1. Materials
2.2. Procedure
2.2.1. Preparation of Cement Mortar
2.2.2. Preparation of Cement Paste
2.3. Testing Methods
2.3.1. Flowability
2.3.2. Compressive Strength
2.3.3. Pore Solution pH
2.3.4. Hydration Products
3. Results and Discussion
3.1. Flowability
3.2. Mechanical Properties
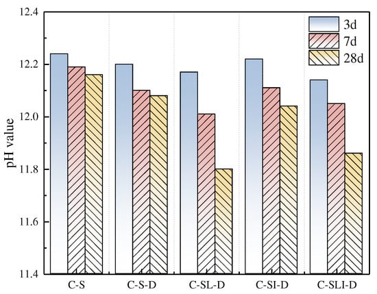
3.3. pH Value
3.4. XRD Analysis
3.5. FTIR Analysis
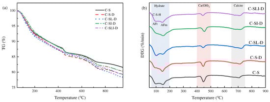
3.6. TG-DTG Analysis
3.7. SEM Analysis
3.8. Mechanical Analysis
4. Conclusions
- The incorporation of DEIPA increased the early compressive strength of the BOF slag–cement mortar, but the later enhancement was small. DEIPA changed C-S-H from fibrous to flocculent in the BOF slag-cement mortar and accelerated the transition from AFt to AFm. DEIPA promoted the pozzolanic reaction of the composite system.
- SCMs enhanced the hydration of BOF slag-cement paste when combined with DEIPA. The presence of SO3 in lithium slag facilitated AFt formation, accelerated BOF slag reactions, and improved the BOF slag-cement system’s compressive strength. The iron tailings showed little enhancement of the early strength of the BOF slag-cement mortar, which was attributed to the lower activity of BOF slag, serving primarily as a filler.
- The cement mortar containing BOF slag, lithium slag, and iron tailings achieved a high compressive strength. The BOF slag, lithium slag, and iron tailings produced a synergistic effect in the cement mortar in the presence of DEIPA. The SCMs underwent a pozzolanic reaction, yielding additional hydration products.
Author Contributions
Funding
Data Availability Statement
Acknowledgments
Conflicts of Interest
References
- Li, X.D.; Mehdizadeh, H.; Ling, T.C. Environmental, economic and engineering performances of aqueous carbonated steel slag powders as alternative material in cement pastes: Influence of particle size. Sci. Total Environ. 2023, 903, 11. [Google Scholar] [CrossRef] [PubMed]
- Kaja, A.M.; Schollbach, K.; Melzer, S.; van der Laan, S.R.; Brouwers, H.J.H.; Yu, Q.L. Hydration of potassium citrate-activated BOF slag. Cem. Concr. Res. 2021, 140, 106291. [Google Scholar] [CrossRef]
- Zepper, J.C.O.; van der Laan, S.R.; Schollbach, K.; Brouwers, H.J.H. Reactivity of BOF slag under autoclaving conditions. Constr. Build. Mater. 2023, 364, 14. [Google Scholar] [CrossRef]
- Zhu, H.J.; Ma, M.Y.; He, X.Y.; Zheng, Z.Q.; Su, Y.; Yang, J.; Zhao, H. Effect of wet-grinding steel slag on the properties of Portland cement: An activated method and rheology analysis. Constr. Build. Mater. 2021, 286, 122823. [Google Scholar] [CrossRef]
- Gencel, O.; Karadag, O.; Oren, O.H.; Bilir, T. Steel slag and its applications in cement and concrete technology: A review. Constr. Build. Mater. 2021, 283, 122783. [Google Scholar] [CrossRef]
- Hou, J.; Liu, J. Hydration activity and mechanical properties of steel slag used as cementitious materials. Environ. Prog. Sustain. Energy 2021, 41, e13756. [Google Scholar] [CrossRef]
- Nunes, V.A.; Borges, P.H.R. Recent advances in the reuse of steel slags and future perspectives as binder and aggregate for alkali-activated materials. Constr. Build. Mater. 2021, 281, 122605. [Google Scholar] [CrossRef]
- Zhang, T.; Ma, B.; Wu, S.; Jin, Z.; Wang, J. Mechanical properties and hydration process of steel slag-cement binder containing nano-SiO2. Constr. Build. Mater. 2022, 314, 125660. [Google Scholar] [CrossRef]
- Brand, A.S.; Fanijo, E.O. A Review of the Influence of Steel Furnace Slag Type on the Properties of Cementitious Composites. Appl. Sci. 2020, 10, 8210. [Google Scholar] [CrossRef]
- Rashad, A.M. A synopsis manual about recycling steel slag as a cementitious material. J. Mater. Res. Technol. 2019, 8, 4940–4955. [Google Scholar] [CrossRef]
- Zhuang, S.Y.; Wang, Q. Inhibition mechanisms of steel slag on the early-age hydration of cement. Cem. Concr. Res. 2021, 140, 14. [Google Scholar] [CrossRef]
- Wang, G.; Wang, Y.H.; Gao, Z.L. Use of steel slag as a granular material: Volume expansion prediction and usability criteria. J. Hazard. Mater. 2010, 184, 555–560. [Google Scholar] [CrossRef]
- Jiang, J.; Lu, X.L.; Niu, T.; Hu, Y.Y.; Wu, J.M.; Cui, W.Y.; Zhao, D.G.; Ye, Z.M. Performance optimization and hydration characteristics of BOF slag-based autoclaved aerated concrete (AAC). Cem. Concr. Comp. 2022, 134, 11. [Google Scholar] [CrossRef]
- Li, J.J.; Ni, W.; Wang, X.; Zhu, S.T.; Wei, X.L.; Jiang, F.X.; Zeng, H.; Hitch, M. Mechanical activation of medium basicity steel slag under dry condition for carbonation curing. J. Build. Eng. 2022, 50, 15. [Google Scholar] [CrossRef]
- Wu, J.; Liu, Q.W.; Deng, Y.F.; Yu, X.B.; Feng, Q.; Yan, C. Expansive soil modified by waste steel slag and its application in subbase layer of highways. Soils Found. 2019, 59, 955–965. [Google Scholar] [CrossRef]
- Xiao, B.L.; Wen, Z.J.; Miao, S.J.; Gao, Q. Utilization of steel slag for cemented tailings backfill: Hydration, strength, pore structure, and cost analysis. Case Stud. Constr. Mater. 2021, 15, 11. [Google Scholar] [CrossRef]
- Sun, J.W.; Chen, Z.H. Effect of silicate modulus of water glass on the hydration of alkali-activated converter steel slag. J. Therm. Anal Calorim. 2019, 138, 47–56. [Google Scholar] [CrossRef]
- Wang, H.; Gu, X.; Liu, J.; Zhu, Z.; Wang, S.; Xu, X.; Nehdi, M.L. Synergistic effects of steel slag and lithium slag in carbonation-cured cement pastes: Carbonation degree, strength and microstructure. J. Build. Eng. 2024, 85, 108706. [Google Scholar] [CrossRef]
- Sun, X.G.; Liu, J.; Zhao, Y.Q.; Zhao, J.H.; Li, Z.H.; Sun, Y.; Qiu, J.P.; Zheng, P.K. Mechanical activation of steel slag to prepare supplementary cementitious materials: A comparative research based on the particle size distribution, hydration, toxicity assessment and carbon dioxide emission. J. Build. Eng. 2022, 60, 19. [Google Scholar] [CrossRef]
- Zhang, S.F.; Niu, D.T. Hydration and mechanical properties of cement-steel slag system incorporating different activators. Constr. Build. Mater. 2023, 363, 12. [Google Scholar] [CrossRef]
- Xu, Z.Q.; Li, W.F.; Sun, J.F.; Hu, Y.Y.; Xu, K.; Ma, S.H.; Shen, X.D. Research on cement hydration and hardening with different alkanolamines. Constr. Build. Mater. 2017, 141, 296–306. [Google Scholar] [CrossRef]
- Huo, B.B.; Li, B.L.; Huang, S.Y.; Chen, C.; Zhang, Y.M.; Banthia, N. Hydration and soundness properties of phosphoric acid modified steel slag powder. Constr. Build. Mater. 2020, 254, 9. [Google Scholar] [CrossRef]
- Huo, B.B.; Li, B.L.; Chen, C.; Zhang, Y.M. Surface etching and early age hydration mechanisms of steel slag powder with formic acid. Constr. Build. Mater. 2021, 280, 11. [Google Scholar] [CrossRef]
- Wang, J.F.; Chang, L.; Yue, D.Y.; Zhou, Y.F.; Liu, H.; Wang, Y.L.; Yang, S.G.; Cui, S.P. Effect of chelating solubilization via different alkanolamines on the dissolution properties of steel slag. J. Clean. Prod. 2022, 365, 11. [Google Scholar] [CrossRef]
- Ma, B.G.; Zhang, T.; Tan, H.B.; Liu, X.H.; Mei, J.P.; Qi, H.H.; Jiang, W.B.; Zou, F.B. Effect of triisopropanolamine on compressive strength and hydration of cement-fly ash paste. Constr. Build. Mater. 2018, 179, 89–99. [Google Scholar] [CrossRef]
- Li, C.B.; Ma, B.G.; Tan, H.B.; Zhang, T.; Liu, X.H.; Chen, P. Effect of triisopropanolamine on chloride binding of cement paste with ground-granulated blast furnace slag. Constr. Build. Mater. 2020, 256, 119494. [Google Scholar] [CrossRef]
- Jiang, J.; Ye, Z.; Wu, J.; Yang, Q.; Li, Q.; Kong, X. Impact of triethanolamine on the hydration of Portland cement in the presence of high pozzolanic activity supplementary cementitious materials. Cem. Concr. Compos. 2024, 147, 105435. [Google Scholar] [CrossRef]
- Ma, S.H.; Li, W.F.; Zhang, S.B.; Hu, Y.Y.; Shen, X.D. Study on the hydration and microstructure of Portland cement containing diethanol-isopropanolamine. Cem. Concr. Res. 2015, 67, 122–130. [Google Scholar] [CrossRef]
- Liu, H.Q.; Zhang, Y.; Liu, J.L.; Feng, Z.X.; Kong, S. Comparative Study on Chloride Binding Capacity of Cement-Fly Ash System and Cement-Ground Granulated Blast Furnace Slag System with Diethanol-Isopropanolamine. Materials 2020, 13, 4103. [Google Scholar] [CrossRef]
- Liu, J.; Wang, D. Influence of steel slag-silica fume composite mineral admixture on the properties of concrete. Powder Technol. 2017, 320, 230–238. [Google Scholar] [CrossRef]
- Zhang, L.; Wang, Q.; Zheng, Y.; Cang, Z.; Gisele, K.; Yu, C.; Cang, D. Synergistic effect and mechanism of waste glass on the mechanical properties and autoclave stability of cementitious materials containing steel slag. Constr. Build. Mater. 2021, 311, 125295. [Google Scholar] [CrossRef]
- Hao, X.S.; Liu, X.M.; Zhang, Z.Q.; Zhang, W.; Lu, Y.; Wang, Y.G.; Yang, T.Y. In-depth insight into the cementitious synergistic effect of steel slag and red mud on the properties of composite cementitious materials. J. Build. Eng. 2022, 52, 13. [Google Scholar] [CrossRef]
- Lothenbach, B.; Scrivener, K.; Hooton, R.D. Supplementary cementitious materials. Cem. Concr. Res. 2011, 41, 1244–1256. [Google Scholar] [CrossRef]
- Sun, J.; Zhang, P. Effects of different composite mineral admixtures on the early hydration and long-term properties of cement-based materials: A comparative study. Constr. Build. Mater. 2021, 294, 123547. [Google Scholar] [CrossRef]
- Juilland, P.; Gallucci, E.; Flatt, R.; Scrivener, K. Dissolution theory applied to the induction period in alite hydration. Cem. Concr. Res. 2010, 40, 831–844. [Google Scholar] [CrossRef]
- Liao, Y.S.; Wang, S.C.; Wang, K.J.; Al Qunaynah, S.; Wan, S.H.; Yuan, Z.X.; Xu, P.F.; Tang, S.W. A study on the hydration of calcium aluminate cement pastes containing silica fume using non-contact electrical resistivity measurement. J. Mater. Res. Technol.-JMRT 2023, 24, 8135–8149. [Google Scholar] [CrossRef]
- Tang, S.W.; Cai, R.J.; He, Z.; Cai, X.H.; Shao, H.Y.; Li, Z.J.; Yang, H.M.; Chen, E. Continuous Microstructural Correlation of Slag/Superplasticizer Cement Pastes by Heat and Impedance Methods via Fractal Analysis. Fractals-Complex Geom. Patterns Scaling Nat. Soc. 2017, 25, 15. [Google Scholar] [CrossRef]
- Yang, H.; Zhang, S.; Wang, L.; Chen, P.; Shao, D.; Tang, S.; Li, J. High-ferrite Portland cement with slag: Hydration, microstructure, and resistance to sulfate attack at elevated temperature. Cem. Concr. Comp. 2022, 130, 17. [Google Scholar] [CrossRef]
- Gu, X.W.; Liu, B.N.; Li, Z.J.; Wang, H.; Liu, J.P.; Nehdi, M.L.; Zhang, Y.N. Mechanical grinding kinetics and particle packing novel characterization of iron ore tailings as inert filler for cement mortar. J. Build. Eng. 2023, 78, 17. [Google Scholar] [CrossRef]
- Yang, M.; Sun, J.; Dun, C.; Duan, Y.; Meng, Z. Cementitious activity optimization studies of iron tailings powder as a concrete admixture. Constr. Build. Mater. 2020, 265, 120760. [Google Scholar] [CrossRef]
- Yao, G.; Wang, Q.; Wang, Z.M.; Wang, J.X.; Lyu, X.J. Activation of hydration properties of iron ore tailings and their application as supplementary cementitious materials in cement. Powder Technol. 2020, 360, 863–871. [Google Scholar] [CrossRef]
- Xu, X.C.; Wang, F.D.; Gu, X.W.; Zhao, Y.Q. Mechanism of Different Mechanically Activated Procedures on the Pozzolanic Reactivity of Binary Supplementary Cementitious Materials. Minerals 2022, 12, 1365. [Google Scholar] [CrossRef]
- Gu, X.W.; Zhang, W.F.; Zhang, X.L.; Li, X.H.; Qiu, J.P. Hydration characteristics investigation of iron tailings blended ultra high performance concrete: The effects of mechanical activation and iron tailings content. J. Build. Eng. 2022, 45, 8. [Google Scholar] [CrossRef]
- Cheng, Y.H.; Huang, F.; Li, W.C.; Liu, R.; Li, G.L.; Wei, J.M. Test research on the effects of mechanochemically activated iron tailings on the compressive strength of concrete. Constr. Build. Mater. 2016, 118, 164–170. [Google Scholar] [CrossRef]
- Lv, X.D.; Shen, W.G.; Wang, L.; Dong, Y.; Zhang, J.F.; Xie, Z.Q. A comparative study on the practical utilization of iron tailings as a complete replacement of normal aggregates in dam concrete with different gradation. J. Clean. Prod. 2019, 211, 704–715. [Google Scholar] [CrossRef]
- Han, F.H.; Luo, A.; Liu, J.H.; Zhang, Z.Q. Properties of high-volume iron tailing powder concrete under different curing conditions. Constr. Build. Mater. 2020, 241, 118108. [Google Scholar] [CrossRef]
- Huang, S.Z.; Wang, Y.; Zhang, L.; Zhu, S.J.; Ma, Z.F.; Cui, Q.; Wang, H.Y. Insight into the kinetic behavior of microwave-assisted synthesis of NaX zeolite from lithium slag. New J. Chem. 2023, 47, 14335–14343. [Google Scholar] [CrossRef]
- Zhang, T.; Ma, B.; Tan, H.; Liu, X.; Chen, P.; Luo, Z. Effect of TIPA on mechanical properties and hydration properties of cement-lithium slag system. J. Environ. Manag. 2020, 276, 111274. [Google Scholar] [CrossRef] [PubMed]
- Tan, H.; Li, M.; He, X.; Su, Y.; Yang, J.; Zhao, H. Effect of wet grinded lithium slag on compressive strength and hydration of sulphoaluminate cement system. Constr. Build. Mater. 2021, 267, 120465. [Google Scholar] [CrossRef]
- Tan, H.; Zhang, X.; He, X.; Guo, Y.; Deng, X.; Su, Y.; Yang, J.; Wang, Y. Utilization of lithium slag by wet-grinding process to improve the early strength of sulphoaluminate cement paste. J. Clean. Prod. 2018, 205, 536–551. [Google Scholar] [CrossRef]
- Gu, X.W.; Wang, H.Y.; Zhu, Z.G.; Liu, J.P.; Xu, X.C.; Wang, Q. Synergistic effect and mechanism of lithium slag on mechanical properties and microstructure of steel slag-cement system. Constr. Build. Mater. 2023, 396, 131768. [Google Scholar] [CrossRef]
- Wang, H.; Gu, X.; Liu, J.; Zhu, Z.; Wang, S.; Xu, X.; Meng, J. Enhancement mechanism of micro-iron ore tailings on mechanical properties and hydration characteristics of cement-steel slag system. J. Build. Eng. 2023, 79, 107882. [Google Scholar] [CrossRef]
- Chang, L.; Liu, H.; Wang, J.; Liu, H.; Song, L.; Wang, Y.; Cui, S. Effect of chelation via ethanol-diisopropanolamine on hydration of pure steel slag. Constr. Build. Mater. 2022, 357, 129372. [Google Scholar] [CrossRef]
- Li, W.F.; Ma, S.H.; Zhang, S.B.; Shen, X.D. Physical and chemical studies on cement containing sugarcane molasses. J. Therm. Anal Calorim. 2014, 118, 83–91. [Google Scholar] [CrossRef]
- GB/T 17671-2021; Test Method of Cement Mortar Strength (ISO Method). Standardization Administration of the People’s Republic of China: Beijing, China, 2021.
- Gu, X.; Ge, X.; Liu, J.; Song, G.; Wang, S.; Hu, Z.; Wang, H. Study on the synergistic effect of calcium carbide residue-fly ash enhanced desulphurisation gypsum under high temperature maintenance condition. Constr. Build. Mater. 2024, 412, 134706. [Google Scholar] [CrossRef]
- Yang, S.; Wang, J.; Cui, S.; Liu, H.; Wang, X. Impact of four kinds of alkanolamines on hydration of steel slag-blended cementitious materials. Constr. Build. Mater. 2017, 131, 655–666. [Google Scholar] [CrossRef]
- Liao, Y.S.; Yao, J.X.; Deng, F.; Li, H.; Wang, K.J.; Tang, S.W. Hydration behavior and strength development of supersulfated cement prepared by calcined phosphogypsum and slaked lime. J. Build. Eng. 2023, 80, 16. [Google Scholar] [CrossRef]
- Wang, S.Y.; Gu, X.W.; Liu, J.P.; Zhu, Z.G.; Wang, H.Y.; Ge, X.W.; Xu, X.C.; Nehdi, M.L. Modulation of the workability and Ca/Si/Al ratio of cement-metakaolin cementitious material system by using fly ash: Synergistic effect and hydration products. Constr. Build. Mater. 2023, 404, 15. [Google Scholar] [CrossRef]
- Kang, H.; Yang, J.; Kim, S.; Lim, A.; Moon, J. Mechanochemical activation for transforming bottom ash to reactive supplementary cementitious material. Constr. Build. Mater. 2024, 411, 134523. [Google Scholar] [CrossRef]
- Gu, X.; Wang, H.; Liu, J.; Zhu, Z.; Wang, S.; Xu, X. Synergistic effects of steel slag and metakaolin in cementitious systems: Packing properties, strength, and microstructure. Constr. Build. Mater. 2024, 411, 134395. [Google Scholar] [CrossRef]
- Kapeluszna, E.; Kotwica, L.; Rózycka, A.; Golek, L. Incorporation of Al in C-A-S-H gels with various Ca/Si and Al/Si ratio: Microstructural and structural characteristics with DTA/TG, XRD, FTIR and TEM analysis. Constr. Build. Mater. 2017, 155, 643–653. [Google Scholar] [CrossRef]
- Geng, Z.; Tang, S.; Wang, Y.; Hubao, A.; He, Z.; Wu, K.; Wang, L. Stress relaxation properties of calcium silicate hydrate: A molecular dynamics study. J. Zhejiang Univ.-Sci. A 2024, 25, 97–115. [Google Scholar] [CrossRef]
- Tang, S.; Wang, Y.; Geng, Z.; Xu, X.; Yu, W.; Hubao, A.; Chen, J. Structure, Fractality, Mechanics and Durability of Calcium Silicate Hydrates. Fractal Fract. 2021, 5, 47. [Google Scholar] [CrossRef]
- Li, Y.; Zhang, H.; Huang, M.H.; Yin, H.B.; Jiang, K.; Xiao, K.T.; Tang, S.W. Influence of Different Alkali Sulfates on the Shrinkage, Hydration, Pore Structure, Fractal Dimension and Microstructure of Low-Heat Portland Cement, Medium-Heat Portland Cement and Ordinary Portland Cement. Fractal Fract. 2021, 5, 79. [Google Scholar] [CrossRef]
- Zhou, Y.F.; Li, W.W.; Peng, Y.X.; Tang, S.W.; Wang, L.; Shi, Y.; Li, Y.; Wang, Y.; Geng, Z.C.; Wu, K. Hydration and Fractal Analysis on Low-Heat Portland Cement Pastes Using Thermodynamics-Based Methods. Fractal Fract. 2023, 7, 606. [Google Scholar] [CrossRef]












| CaO | Al2O3 | SiO2 | Fe2O3 | K2O | Na2O | MgO | P2O5 | SO3 | |
|---|---|---|---|---|---|---|---|---|---|
| Cement | 54.01 | 9.01 | 25.53 | 3.36 | 0.94 | 0.03 | 3.28 | 0.15 | 2.859 |
| BOF slag | 42.65 | 2.53 | 15.20 | 27.54 | 0.06 | 0.02 | 6.05 | 1.97 | 0.12 |
| Lithium slag | 9.51 | 22.32 | 58.36 | 1.42 | 0.67 | 0.02 | 0.39 | 0.11 | 6.91 |
| Iron tailings | 7.76 | 4.78 | 62.26 | 14.37 | 1.40 | 1.34 | 6.33 | 0.44 | 0.48 |
| NO. | Binder/g | DEIPA/g | Water/g | Sand/g | |||
|---|---|---|---|---|---|---|---|
| OPC | SS | LS | IOT | ||||
| C-S | 315 | 135 | / | / | / | 225 | 1350 |
| C-S-D | 315 | 135 | / | / | 0.27 | 225 | 1350 |
| C-SL-D | 315 | 45 | 90 | / | 0.27 | 225 | 1350 |
| C-SI-D | 315 | 90 | / | 45 | 0.27 | 225 | 1350 |
| C-SLI-D | 315 | 35 | 70 | 21 | 0.27 | 225 | 1350 |
Disclaimer/Publisher’s Note: The statements, opinions and data contained in all publications are solely those of the individual author(s) and contributor(s) and not of MDPI and/or the editor(s). MDPI and/or the editor(s) disclaim responsibility for any injury to people or property resulting from any ideas, methods, instructions or products referred to in the content. |
© 2024 by the authors. Licensee MDPI, Basel, Switzerland. This article is an open access article distributed under the terms and conditions of the Creative Commons Attribution (CC BY) license (https://creativecommons.org/licenses/by/4.0/).
Share and Cite
Wang, H.; Gu, X.; Xu, X.; Liu, J.; Zhu, Z.; Wang, S. Effect of Diethanol-Isopropanolamine and Typical Supplementary Cementitious Materials on the Hydration Mechanism of BOF Slag Cement Pastes. Buildings 2024, 14, 1268. https://doi.org/10.3390/buildings14051268
Wang H, Gu X, Xu X, Liu J, Zhu Z, Wang S. Effect of Diethanol-Isopropanolamine and Typical Supplementary Cementitious Materials on the Hydration Mechanism of BOF Slag Cement Pastes. Buildings. 2024; 14(5):1268. https://doi.org/10.3390/buildings14051268
Chicago/Turabian StyleWang, Hongyu, Xiaowei Gu, Xiaochuan Xu, Jianping Liu, Zhenguo Zhu, and Shenyu Wang. 2024. "Effect of Diethanol-Isopropanolamine and Typical Supplementary Cementitious Materials on the Hydration Mechanism of BOF Slag Cement Pastes" Buildings 14, no. 5: 1268. https://doi.org/10.3390/buildings14051268
APA StyleWang, H., Gu, X., Xu, X., Liu, J., Zhu, Z., & Wang, S. (2024). Effect of Diethanol-Isopropanolamine and Typical Supplementary Cementitious Materials on the Hydration Mechanism of BOF Slag Cement Pastes. Buildings, 14(5), 1268. https://doi.org/10.3390/buildings14051268
