Exploration and Characterization of Dynamic Properties for Cultural Heritage Conservation: A Case Study for Historical Stone Masonry Buildings in Zanzibar
Abstract
1. Introduction
2. Structural Description of the Site
3. Description of the Residential Building
3.1. Old Customs Building
3.2. Old Dispensary Building
3.3. Tippu Tip Building
3.4. Palace Museum Building
4. Methodology
5. Results and Discussion
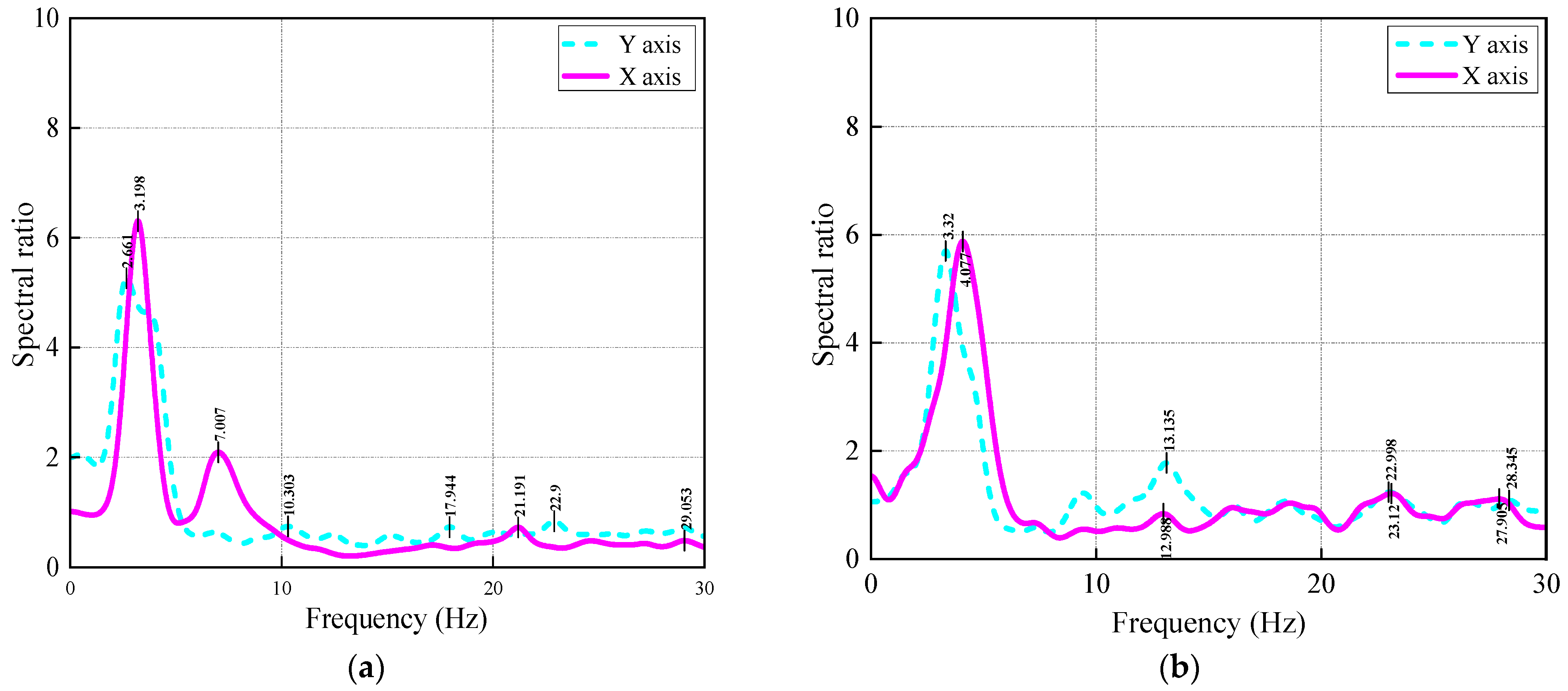
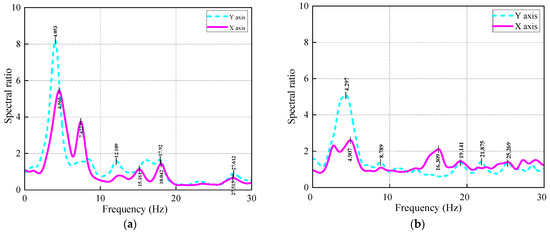
5.1. Exploration of Ambient Natural Frequencies
5.2. Mode Shape
5.3. Damping Ratio
5.4. Correlation of Natural Frequency with Structural Parameters
6. Numerical Modal Analyses
6.1. Validation of Results
6.2. Conservation Work Guidelines
7. Conclusions
Author Contributions
Funding
Data Availability Statement
Acknowledgments
Conflicts of Interest
References
- Sheriff, A. (Ed.) The History & Conservation of Zanzibar Stone Town; Eastern Africa Studies; J. Currey: London, UK; Ohio University Press: Athens, OH, USA, 1995; ISBN 978-0-8214-1119-3. [Google Scholar]
- Chami, M. Impact of Cultural Heritage Site Attributes to the Tourist Satisfaction in Zanzibar Stone Town, UNESCO World Heritage Site, Tanzania. Afr. J. Hosp. Tour. Leis. 2018, 7, 1–13. [Google Scholar]
- Centre, U.W.H. Stone Town of Zanzibar. Available online: https://whc.unesco.org/en/list/173/ (accessed on 18 February 2024).
- Makunza, J.K. Restoration of Historic Buildings in Zanzibar. Tanzan. J. Eng. Technol. 2018, 36, 12–22. [Google Scholar] [CrossRef]
- Jasiński, A. Colors of Stone Town in Zanzibar: From White to Black and Back Again. Cities 2021, 117, 103309. [Google Scholar] [CrossRef]
- Longair, S.; Said, F.; Wynne-Jones, S. Colonialism, Heritage and Conservation: Zanzibari Perceptions of the Collapse of the House of Wonders. J. East. Afr. Stud. 2024, 17, 1–21. [Google Scholar] [CrossRef]
- Hendriksen, G.; Ishikagi, K.; Moriniere, L.; Egan, C.; Mochizuki, J.; Hochrainer-Stigler, S.; Mechler, R.; Williges, K. Public Investment Planning and Financing Strategy for Disaster Risk Reduction: Review of Zanzibar; UNISDR: Geneva, Switzerland, 2015. [Google Scholar]
- Stockley, G.M. The Geology of the Zanzibar Protectorate and Its Relation to the East African Mainland. Geol. Mag. 1942, 79, 233–240. [Google Scholar] [CrossRef]
- Sunara, M.; Banović, I.; Buzov, A.; Grgić, N. Modal and Structural Identification of Historic Bell Tower in Čuntić, Croatia Using Ambient Vibration Testing. Appl. Sci. 2023, 13, 11494. [Google Scholar] [CrossRef]
- Shabani, A.; Feyzabadi, M.; Kioumarsi, M. Model Updating of a Masonry Tower Based on Operational Modal Analysis: The Role of Soil-Structure Interaction. Case Stud. Constr. Mater. 2022, 16, e00957. [Google Scholar] [CrossRef]
- Ozcelik, O.; Misir, I.S.; Yucel, U.; Durmazgezer, E.; Yucel, G.; Amaddeo, C. Model Updating of Masonry Courtyard Walls of the Historical Isabey Mosque Using Ambient Vibration Measurements. J. Civ. Struct. Health Monit. 2022, 12, 1157–1172. [Google Scholar] [CrossRef]
- Magalhães, F.; Cunha, Á. Explaining Operational Modal Analysis with Data from an Arch Bridge. Mech. Syst. Signal Process. 2011, 25, 1431–1450. [Google Scholar] [CrossRef]
- Ni, Y.; Lu, X.; Lu, W. Operational Modal Analysis of a High-Rise Multi-Function Building with Dampers by a Bayesian Approach. Mech. Syst. Signal Process. 2017, 86, 286–307. [Google Scholar] [CrossRef]
- Yuan, K.; Zhu, W.D. Estimation of Modal Parameters of a Beam under Random Excitation Using a Novel 3D Continuously Scanning Laser Doppler Vibrometer System and an Extended Demodulation Method. Mech. Syst. Signal Process. 2021, 155, 107606. [Google Scholar] [CrossRef]
- Yuan, K.; Zhu, W.D. Identification of Modal Parameters of a Model Turbine Blade with a Curved Surface under Random Excitation with a Three-Dimensional Continuously Scanning Laser Doppler Vibrometer System. Measurement 2023, 214, 112759. [Google Scholar] [CrossRef]
- Brown, G.; Pretlove, A.J.; Ellick, J.; Hogg, V.; Choo, B.S. Changes in The Dynamic Characteristics of a Masonry Arch Bridge Subjected to Monotonic Loading to Failure. In Proceedings of the First International Conference on Arch Bridges, Bolton, UK, 3–6 September 1995; Thomas Telford: London, UK, 1995; pp. 375–383. [Google Scholar]
- Deng, Z.; Huang, M.; Wan, N.; Zhang, J. The Current Development of Structural Health Monitoring for Bridges: A Review. Buildings 2023, 13, 1360. [Google Scholar] [CrossRef]
- Luo, J.; Huang, M.; Lei, Y. Temperature Effect on Vibration Properties and Vibration-Based Damage Identification of Bridge Structures: A Literature Review. Buildings 2022, 12, 1209. [Google Scholar] [CrossRef]
- Luo, J.; Huang, M.; Xiang, C.; Lei, Y. Bayesian Damage Identification Based on Autoregressive Model and MH-PSO Hybrid MCMC Sampling Method. J. Civ. Struct. Health Monit. 2022, 12, 361–390. [Google Scholar] [CrossRef]
- Hernández-Montes, E.; Jalón, M.L.; Rodríguez-Romero, R.; Chiachío, J.; Compán-Cardiel, V.; Gil-Martín, L.M. Bayesian Structural Parameter Identification from Ambient Vibration in Cultural Heritage Buildings: The Case of the San Jerónimo Monastery in Granada, Spain. Eng. Struct. 2023, 284, 115924. [Google Scholar] [CrossRef]
- Bernardo, V.M.S.; Campos Costa, A.P.D.N.; Candeias, P.J.D.O.X.; Da Costa, A.G.; Marques, A.I.M.; Carvalho, A.R. Ambient Vibration Testing and Seismic Fragility Analysis of Masonry Building Aggregates. Bull. Earthq. Eng. 2022, 20, 5047–5071. [Google Scholar] [CrossRef]
- Bayraktar, A.; Çalik, İ.; Türker, T. A Simplified Fundamental Frequency Formulation Based on In-Situ Tests for Masonry Stone Minarets. Exp. Tech. 2022, 46, 225–238. [Google Scholar] [CrossRef]
- Bakkar, A.R.; Elyamani, A.; El-Attar, A.G.; Bompa, D.V.; Elghazouli, A.Y.; Mourad, S.A. Dynamic Characterisation of a Heritage Structure with Limited Accessibility Using Ambient Vibrations. Buildings 2023, 13, 192. [Google Scholar] [CrossRef]
- Taleb, R.; Bouriche, F.; Remas, A.; Boukri, M.; Kehila, F. Use of Ambient and Forced Vibration Tests to Evaluate Seismic Properties of an Unreinforced Masonry Building Rehabilitated by Dampers. In Proceedings of the Fifteenth World Conference on Earthquake Engineering, Lisbon, Portugal, 24–28 September 2012. [Google Scholar]
- Ruiz-Jaramillo, J.; Montiel-Vega, L.; García-Pulido, L.J.; Muñoz-González, C.; Blanca-Hoyos, Á. Ambient Vibration as a Basis for Determining the Structural Behaviour of Watchtowers against Horizontal Loads in Southeast Spain. Appl. Sci. 2020, 10, 6114. [Google Scholar] [CrossRef]
- Gentile, C.; Saisi, A. Ambient Vibration Testing of Historic Masonry Towers for Structural Identification and Damage Assessment. Constr. Build. Mater. 2007, 21, 1311–1321. [Google Scholar] [CrossRef]
- Lu, J.; Zhang, C.; Wang, Z.; Han, X. Dynamic Performance and Seismic Damage Analysis of an Ancient Masonry Pagoda. J. Asian Archit. Build. Eng. 2022, 21, 2009–2026. [Google Scholar] [CrossRef]
- Trešnjo, F.; Humo, M.; Casarin, F.; Ademović, N. Experimental Investigations and Seismic Assessment of a Historical Stone Minaret in Mostar. Buildings 2023, 13, 536. [Google Scholar] [CrossRef]
- Borlenghi, P.; Saisi, A.; Gentile, C. ND Testing and Establishing Models of a Multi-Span Masonry Arch Bridge. J. Civ. Struct. Health Monit. 2023, 13, 1595–1611. [Google Scholar] [CrossRef]
- Saisi, A.; Gentile, C. Investigation Strategy for Structural Assessment of Historic Towers. Infrastructures 2020, 5, 106. [Google Scholar] [CrossRef]
- Akhlaq, H.; Butt, F.; Alwetaishi, M.; Riaz, M.; Benjeddou, O.; Hussein, E.E. Structural Identification of a 90 m High Minaret of a Landmark Structure under Ambient Vibrations. Buildings 2022, 12, 252. [Google Scholar] [CrossRef]
- Hansapinyo, C.; Poovarodom, N. Ambient Vibration Tests and Finite Element Analysis for Dynamic Properties of Brick Masonry Inverted Bell-Shaped Chedi. APCBEE Procedia 2014, 9, 212–216. [Google Scholar] [CrossRef][Green Version]
- Brownjohn, J.M.W.; Magalhaes, F.; Caetano, E.; Cunha, A. Ambient Vibration Re-Testing and Operational Modal Analysis of the Humber Bridge. Eng. Struct. 2010, 32, 2003–2018. [Google Scholar] [CrossRef]
- Saidin, S.S.; Kudus, S.A.; Jamadin, A.; Anuar, M.A.; Amin, N.M.; Ya, A.B.Z.; Sugiura, K. Vibration-Based Approach for Structural Health Monitoring of Ultra-High-Performance Concrete Bridge. Case Stud. Constr. Mater. 2023, 18, e01752. [Google Scholar] [CrossRef]
- De Silva, C.W. Vibration Damping, Control, and Design; CRC Press: Boca Raton, FL, USA, 2007. [Google Scholar]
- Chopra, A.K. Dynamics of Structures: Theory and Applications to Earthquake Engineering; Prentice Hall: Hoboken, NJ, USA, 2012; ISBN 978-0-13-285803-8. [Google Scholar]
- Khalfan, K.; Besha, R.; Tesha, D. Electromagnetic Shielding Effectiveness of Historic Buildings: The Heritage Stone Town of Zanzibar. J. Civ. Eng. Archit. 2018, 12, 880–889. [Google Scholar] [CrossRef]
- SAP2000 | Structural Analysis And Design. Available online: https://www.csiamerica.com/products/sap2000 (accessed on 17 February 2024).
- Nakamura, Y.; Gurler, E.D.; Saita, J.; Rovelli, A.; Donati, S. Vulnerability Investigation of Roman Colosseum Using Microtremor. In Proceedings of the 12th WCEE, Auckland, New Zealand, 30 January–4 February 2000; pp. 1–8. [Google Scholar]
- Konno, K.; Ohmachi, T. Ground-Motion Characteristics Estimated from Spectral Ratio between Horizontal and Vertical Components of Microtremor. Bull. Seismol. Soc. Am. 1998, 88, 228–241. [Google Scholar] [CrossRef]
- Niii, A.; Hayashi, Y.; Morii, T.; Ida, S.; Suzuki, Y. Vibrational Characteristics of Machiya in Kyoto Based on Ambient Vibration Tests. J. Struct. Constr. Eng. (Transactions AIJ) 2007, 72, 43–50. [Google Scholar] [CrossRef] [PubMed]
- Cao, M.; Sha, G.; Gao, Y.; Ostachowicz, W. Structural Damage Identification Using Damping: A Compendium of Uses and Features. Smart Mater. Struct. 2017, 26, 043001. [Google Scholar] [CrossRef]
- Gutenbrunner, G.; Savov, K.; Wenzel, H. Sensitivity Studies on Damping Estimation. In Proceedings of the Conference: Second International Conference on Experimental Vibration Analysis for Civil Engineering Structures (EVACES), Porto, Portugal, 24–26 October 2007. [Google Scholar]
- Olmos, B.A.; Roesset, J.M. Evaluation of the Half-power Bandwidth Method to Estimate Damping in Systems without Real Modes. Earthq. Eng. Struct. Dyn. 2010, 39, 1671–1686. [Google Scholar] [CrossRef]
- Papagiannopoulos, G.A.; Hatzigeorgiou, G.D. On the Use of the Half-Power Bandwidth Method to Estimate Damping in Building Structures. Soil Dyn. Earthq. Eng. 2011, 31, 1075–1079. [Google Scholar] [CrossRef]
- Sun, P.; Wang, D. Comparison of Damping Parameters Based on the Half-Power Bandwidth Methods of Viscous and Hysteretic Damping Models. J. Vib. Control 2023, 29, 968–979. [Google Scholar] [CrossRef]
- Panteliou, S.D.; Chondros, T.G.; Argyrakis, V.C.; Dimarogonas, A.D. Damping Factor as an Indicator of Crack Severity. J. Sound Vib. 2001, 241, 235–245. [Google Scholar] [CrossRef]
- Razak, H.A.; Choi, F.C. The Effect of Corrosion on the Natural Frequency and Modal Damping of Reinforced Concrete Beams. Eng. Struct. 2001, 23, 1126–1133. [Google Scholar] [CrossRef]
- Bovsunovsky, A.P. Efficiency of Crack Detection Based on Damping Characteristics. Eng. Fract. Mech. 2019, 214, 464–473. [Google Scholar] [CrossRef]
- Romeo, N.; Khan, M. Ambient Vibrations of Unreinforced Masonry Buildings in Dhaka City; Department of Civil Engineering (CE), Bangladesh University of Engineering and Technology(BUET): Dhaka, Bangladesh, 2015. [Google Scholar]
- Foti, D.; Diaferio, M.; Giannoccaro, N.I.; Mongelli, M. Ambient Vibration Testing, Dynamic Identification and Model Updating of a Historic Tower. NDTE Int. 2012, 47, 88–95. [Google Scholar] [CrossRef]






















| Building Name | Plans | General View | Building Details |
|---|---|---|---|
| Old Customs | ![]() | ![]() | Plan area: 877.05 m2 House height: 14.80 m Wall thickness: 0.75 m Floor-type: Rigid Floor layout: Regular Conservation state: Good condition |
| Old Dispensary | ![]() | ![]() | Plan area: 928.97 m2 House height: 15.20 m Wall thickness: 0.60 m Floor-type: Rigid and flexible Floor layout: Irregular Conservation state: Good condition |
| Tippu Tip | ![]() | ![]() | Plan area: 754.17 m2 House height: 13.60 m Wall thickness: 0.55 m Floor-type: Rigid and flexible Floor layout: Irregular Conservation state: Poor condition |
| Palace Museum | ![]() | ![]() | Plan area: 1252.0 m2 House height:14.30 m Wall thickness: 0.70 m Floor-type: Rigid and flexible Floor layout: Regular Conservation state: Deteriorate condition |
| Notes: Good condition: The house appears structurally good and shows evidence of regular maintenance. Deteriorating condition: The house assigned does not have severe structural defects but does show unmistakable signs of deterioration and no evidence of recent repair. Poor condition: The houses’ structural and architectural elements are in an advanced state of deterioration and may have serious structural problems. Sources of data: Stone Town Conservation and Development Authority. | |||
| Building Name | Mode | Damping Ratio % | Damping Ratio % |
|---|---|---|---|
| Old Customs | 1st | 2.88 | 2.16 |
| 2nd | 2.53 | 2.18 | |
| 3rd | 4.45 | 4.00 | |
| Old Dispensary | 1st | 2.74 | 2.36 |
| 2nd | 1.26 | 1.53 | |
| 3rd | 1.84 | 1.74 | |
| Tippu Tip | 1st | 1.50 | 1.45 |
| 2nd | 2.14 | 1.35 | |
| 3rd | 2.21 | 1.65 | |
| Palace Museum | 1st | 2.26 | 2.06 |
| 2nd | 1.52 | 2.31 | |
| 3rd | 2.89 | 2.56 |
| Building Name | Recording Locations | Maximum Height at Top Floor from P.L. (m) | Wall Thickness (m) | Length of Wall (m) per Floor | Average Frequency (Hz) | ||
|---|---|---|---|---|---|---|---|
| X | Y | X | Y | ||||
| Old Customs | 3rd floor | 14.80 | 0.75 | 150.43 | 142.40 | 5.3 | 4.7 |
| 2nd floor | 195.53 | 178.06 | 4.9 | 4.2 | |||
| Old Dispensary | 3rd floor | 15.20 | 0.6 | 113.66 | 99.23 | 4.6 | 4.3 |
| 2nd floor | 156.34 | 122.49 | 4.2 | 3.9 | |||
| Tippu tip | 3rd floor | 13.60 | 0.55 | 63.52 | 50.28 | 4.0 | 3.4 |
| 2nd floor | 98.98 | 73.94 | 3.2 | 2.8 | |||
| Palace Museum | 3rd floor | 14.30 | 0.7 | 130.89 | 91.59 | 4.4 | 4.8 |
| 2nd floor | 160.56 | 89.53 | 4.1 | 4.3 | |||
| Material | Density (kg/m3) | UCS (MPa) | E (MPa) | (ν) |
|---|---|---|---|---|
| Stone | 1297 | 10.02 | 3757 | 0.15 |
| Mortar | 793 | 0.71 | 2245 | 0.05 |
| Mode | Old Customs | Old Dispensary | Tippu Tip | Palace Museum | ||||||||
|---|---|---|---|---|---|---|---|---|---|---|---|---|
| f [Hz] | Mx [%] | My [%] | f [Hz] | Mx [%] | My [%] | f [Hz] | Mx [%] | My [%] | f [Hz] | Mx [%] | My [%] | |
| 1 | 4.1 | 0.07 | 94.32 | 3.8 | 37.50 | 30.90 | 2.4 | 0.33 | 82.52 | 3.9 | 0.01 | 84.74 |
| 2 | 4.3 | 31.80 | 0.03 | 3.9 | 33.31 | 51.18 | 2.6 | 80.68 | 0.55 | 4.7 | 47.02 | 0.24 |
| 3 | 4.8 | 62.85 | 0.22 | 4.2 | 13.14 | 3.67 | 4.4 | 0.02 | 0.68 | 4.9 | 35.04 | 0.57 |
| 4 | 4.9 | 0.01 | 0.03 | 4.5 | 5.88 | 5.07 | 2.9 | 0.01 | 12.42 | 5.0 | 0.00 | 1.34 |
| 5 | 5.5 | 0.03 | 4.57 | 5.0 | 5.90 | 5.62 | 3.7 | 14.40 | 0.00 | 5.6 | 4.07 | 1.41 |
| 6 | 6.8 | 3.28 | 0.00 | 5.1 | 0.00 | 0.78 | 4.2 | 0.00 | 0.03 | 5.2 | 0.71 | 8.09 |
| 7 | 7.8 | 0.15 | 0.01 | 5.1 | 1.32 | 0.19 | 4.4 | 0.02 | 0.09 | 5.4 | 0.58 | 0.22 |
| 8 | 9.5 | 0.02 | 0.03 | 5.4 | 0.00 | 0.00 | 4.6 | 0.00 | 1.83 | 5.8 | 3.93 | 0.12 |
| 9 | 10.9 | 0.00 | 0.13 | 5.6 | 0.19 | 0.00 | 4.6 | 0.09 | 0.06 | 7.4 | 2.65 | 0.25 |
| 10 | 11.9 | 0.01 | 0.03 | 5.9 | 0.34 | 0.17 | 4.9 | 0.02 | 0.01 | 8.3 | 0.21 | 0.97 |
| Building Name | Frequency (Hz) | |||||
|---|---|---|---|---|---|---|
| X-Direction | Y-Direction | |||||
| AVTs | Numerical | Difference % | AVTs | Numerical | Difference % | |
| Old Customs | 5.1 | 4.8 | 5.8 | 4.5 | 4.1 | 8.8 |
| Old Dispensary | 4.6 | 4.1 | 6.8 | 4.1 | 3.8 | 7.3 |
| Tippu Tip | 3.2 | 2.9 | 6.4 | 2.8 | 2.4 | 11.1 |
| Palace Museum | 4.4 | 4.2 | 8.6 | 4.2 | 3.9 | 7.1 |
| Sr | Orientation (Axis) | RMSE | MAE | NSE | R2 |
|---|---|---|---|---|---|
| 1 | X | 0.30 | 0.29 | 0.81 | 0.99 |
| 2 | Y | 0.30 | 0.30 | 0.82 | 0.99 |
Disclaimer/Publisher’s Note: The statements, opinions and data contained in all publications are solely those of the individual author(s) and contributor(s) and not of MDPI and/or the editor(s). MDPI and/or the editor(s) disclaim responsibility for any injury to people or property resulting from any ideas, methods, instructions or products referred to in the content. |
© 2024 by the authors. Licensee MDPI, Basel, Switzerland. This article is an open access article distributed under the terms and conditions of the Creative Commons Attribution (CC BY) license (https://creativecommons.org/licenses/by/4.0/).
Share and Cite
Ali, B.S.; Castro, J.J.; Omi, S.; Nazimi, K. Exploration and Characterization of Dynamic Properties for Cultural Heritage Conservation: A Case Study for Historical Stone Masonry Buildings in Zanzibar. Buildings 2024, 14, 981. https://doi.org/10.3390/buildings14040981
Ali BS, Castro JJ, Omi S, Nazimi K. Exploration and Characterization of Dynamic Properties for Cultural Heritage Conservation: A Case Study for Historical Stone Masonry Buildings in Zanzibar. Buildings. 2024; 14(4):981. https://doi.org/10.3390/buildings14040981
Chicago/Turabian StyleAli, Bimkubwa Seif, Juan Jose Castro, Shogo Omi, and Karishma Nazimi. 2024. "Exploration and Characterization of Dynamic Properties for Cultural Heritage Conservation: A Case Study for Historical Stone Masonry Buildings in Zanzibar" Buildings 14, no. 4: 981. https://doi.org/10.3390/buildings14040981
APA StyleAli, B. S., Castro, J. J., Omi, S., & Nazimi, K. (2024). Exploration and Characterization of Dynamic Properties for Cultural Heritage Conservation: A Case Study for Historical Stone Masonry Buildings in Zanzibar. Buildings, 14(4), 981. https://doi.org/10.3390/buildings14040981









