Abstract
Ensuring safety is crucial for promoting the sustainable growth of the construction industry. Assessing safety efficiency is of significant importance for optimizing safety management processes and improving the safety environment. However, the current mainstream methods for evaluating safety efficiency have limitations such as ignoring non-desired outputs and slack variables, the efficiency values being limited to the (0, 1) range, and a narrow perspective. To address these shortcomings, this study focuses on the characteristics of the construction industry and introduces the Super-SBM model and Malmquist index into the assessment of safety efficiency in the construction industry. The study analyzes the evolution characteristics of safety efficiency from both static and dynamic perspectives. Furthermore, using panel quantile regression models, the study identifies the factors influencing safety efficiency and analyzes their heterogeneity. Analyzing panel data from 30 provinces in China from 2015 to 2021, the results show that the overall safety efficiency of the construction industry in China is relatively low, with noticeable spatial clustering characteristics. Provinces in the eastern and central regions exhibit higher levels of construction safety efficiency. The Malmquist index demonstrates a declining trend, with technical efficiency being the primary factor limiting the improvement of safety efficiency in construction. Factors such as per capita GDP, urbanization rate, committed contract amounts, and the number of professionals engaged in survey and design, as well as engineering supervision, have an impact on construction safety efficiency, and the effects of these variables vary across different quantile levels of safety efficiency. This research can assist decision-makers in gaining a better understanding of the safety conditions in different regions of the construction industry. It can also assist in developing customized policies to enhance the health and safety environment, thereby promoting the stable development of the construction industry.
1. Introduction
The construction industry is widely recognized as a key industry that significantly contributes to the socio-economic advancement of regions or nations [1]. It directly or indirectly contributes to the growth of gross domestic product (GDP), serves as a significant source of employment for a large portion of the workforce, and establishes the fundamental infrastructure for other industries’ production activities [2,3]. Global statistics estimate that the construction output value will surge by over 85%, reaching a staggering $15.5 trillion by 2030 [4]. However, alongside this remarkable growth, the issue of safety within the construction industry has become increasingly severe and demands urgent attention in many countries [5]. Despite advances in safety measures, the construction industry continues to experience alarmingly high mortality rates, persisting as a prominent concern in various regions such as Australia, Europe, and North America [6,7]. Startling data unveils a striking disparity: while the construction industry employs a mere 7% of the global labor force, it shoulders the burden of 30–40% of fatal accidents [8]. The construction industry is faced with the challenges of frequent accidents and high mortality rates, and safety management in the construction industry is essential for ensuring the safety of human lives and minimizing property losses [9,10].
Safety efficiency is the key basis for measuring safety and production. In comparison to developed nations, developing countries must place special emphasis on enhancing building safety efficiency [11]. Construction activities in developing countries focus on building national infrastructure. The frequent occurrence of accidents in the construction industry causes distress to both individuals and their families. In addition, it imposes adverse consequences on construction firms and the industry as a whole, such as decreased productivity and increased economic burdens [12]. Thus, developing countries face an urgent need to enhance the safety efficiency of their construction industry. As an exemplary representation of a developing country, China witnessed significant growth in its construction industry in 2021. The industry’s aggregate output value reached 29308 billion yuan, indicating an 11.2% year-on-year increase. The completed building area reached 4080.28 million square meters, and employed a workforce of 52.82 million individuals, representing 7.1% of China’s total employment (China Statistical Year 2022). However, construction projects exhibit unique characteristics, including lengthy construction periods, complex work procedures, extensive open-air and high-altitude operations, and a high mobility of personnel, resulting in numerous potential safety hazards. Consequently, the industry has long grappled with a high frequency of production safety accidents, leading to a significant loss of life. In 2021 alone, a total of 735 safety incidents occurred within the housing and municipal engineering industry, resulting in 822 fatalities (including 16 major accidents) (Report on Production Safety Accidents of Housing Construction Projects from 2018 to 2019). These safety incidents were reported across all 31 provinces, autonomous regions, and municipalities in China. Safety accidents and hazards are constraining the development of China’s construction industry [13]. Construction safety has become an undeniable issue, and the importance of safety management is increasingly prominent.
Safety efficiency evaluation and analysis of its influencing factors are important means to enhance safety management within the construction industry, providing improvement directions and methods for safety management. Numerous scholars have conducted research on safety efficiency [14,15,16], but existing studies have certain limitations. On one hand, the accuracy of evaluation models is insufficient. On the other hand, various factors may have heterogeneous effects on different levels of safety efficiency, and existing research has not thoroughly considered these heterogeneous effects.
Therefore, the purpose of this study is to build a more scientific and accurate evaluation system to measure the safety efficiency of the construction industry, fully consider the impact of heterogeneity, and further explore the factors limiting the safety production of construction, so as to take targeted measures to improve the safety efficiency of the construction industry and promote the sustainable development of the safety of the construction industry. This study mainly divides into two stages. Firstly, we select panel data from 30 provinces in China from 2015 to 2021 in the construction industry and establish a Super-SBM model that includes non-desirable outputs. We then combine it with the Malmquist index model to conduct static and dynamic analysis of safety efficiency. Subsequently, we employ a panel quantile regression model to identify and analyze the factors that influence safety efficiency in the construction industry.
Figure 1 displays the research framework. The rest of the paper is organized as follows: Section 2 presents a literature review. Section 3 outlines the methodology. Section 4 details the selection of indicators and data sources. Section 5 presents the results of safety efficiency evaluation and identification of influencing factors. Discussions are provided in Section 6. Finally, Section 7 concludes with a summary, research insights, limitations, and future prospects.
Figure 1.
Main framework of this study.
2. Literature Review
2.1. Evaluation of Construction Safety Efficiency
Data Envelopment Analysis (DEA) as the mainstream method for evaluating efficiency [17] has been effectively applied in safety efficiency assessments across various industries, including the road industry [18,19], the coal industry [20,21], and the aviation industry [22,23]. In recent years, numerous researchers have also begun utilizing DEA to evaluate safety efficiency within the construction industry. Nahangi et al. (2019) proposed an innovative method to evaluate and analyze safety efficiency at construction sites. It integrates safety climate factors and quantities as input and output indicators within the DEA framework, enabling a comprehensive assessment. Through this method, they identified and analyzed safety efficiency under four different scenarios at construction sites [24]. Kang et al. (2020) utilized input–output data from the construction industry across different provinces in 2017. Considering the technical diversity within China’s provincial construction industry, they developed a non-parametric two-stage frontier DEA model to assess safety efficiency [25]. Qi et al. (2022) applied a non-parametric DEA approach to evaluate the safety performance of the construction industry in Jiangsu, Zhejiang, and Shanghai spanning from 2003 to 2019 [26]. Xu et al. (2023) concentrated on enhancing the sustainable development of safety within the construction sector. They assessed the construction safety performance across 30 provinces and cities in China utilizing the SBM-DEA model [27]. Li et al. (2023) integrated DEA with neutrosophic logic to assess the safety performance of construction projects [17]. It is evident that most studies currently use traditional DEA models or two-stage DEA models. However, traditional DEA models have certain limitations: (1) They uniformly assign an efficiency value of 1 to all decision-making units, limiting the ability to further refine and evaluate the effectiveness of research topics. (2) The model does not consider non-desirable outputs. (3) Traditional DEA models are static evaluation methods that only reflect efficiency values at a specific moment, without considering the time dimension, which significantly restricts the impartiality and objectiveness of efficiency assessments. The introduction of the Super-SBM (Super Slacks-Based Measure) model and the Malmquist index model can effectively address these issues, providing more accurate results closer to actual calculations. Several researchers have already utilized the Super-SBM model to investigate efficiency within the construction industry. For example, Li et al. (2022) integrated the Super-SBM model with the three-stage DEA model to assess the efficiency of green buildings across 30 provincial-level administrative regions in China from 2010 to 2020, yielding more realistic results [28].
However, no scholars have yet combined the Super-SBM model with the Malmquist index model to evaluate safety efficiency in the construction industry. Based on this gap, this study integrates the SBM model for non-desirable outputs into the Super-SBM model and combines it with the Malmquist index model, constructing a comprehensive analysis framework. This ensures calculation accuracy and improves the ability for regional comparison, analysis, and ranking.
2.2. Analysis of Factors Influencing Safety Efficiency
Currently, scholars predominantly employ conventional quantitative regression models or weighted models to analyze the factors influencing safety efficiency within the construction industry. Qi et al. (2013) determined significant variables affecting safety input efficiency by analyzing the coefficients of the Tobit model [29]. Gunduz et al. (2017) developed a questionnaire to collect 168 observable variables and 16 latent dimensions, using structural equation modeling to study the relationships between factors influencing construction site safety performance [30]. Winge et al. (2019) applied qualitative comparative analysis (QCA) to assess 12 construction projects, examining the correlation between safety management factors and safety performance [31]. Zheng et al. (2020) used a multiple regression model to select twelve indicators from four dimensions: government influence, provincial economic and social development, construction industry, and auxiliary industries, to analyze the main influencing factors of provincial construction safety production levels [32]. Boakye et al. (2023) selected 55 indicators and used exploratory factor analysis to investigate factors influencing safety performance. However, these models did not consider heterogeneity in regression analysis [33]. They failed to consider the potential for structural changes in how different factors impact safety efficiency across various value ranges, leading to reduced estimation accuracy of the effects of various factors on safety efficiency. Therefore, efficiency-driven models cannot analyze different efficiency levels or provide differentiated policy recommendations for improving production efficiency. Koenker and Bassett Jr (2004) introduced a panel quantile regression model, assuming a linear association between the dependent variable and the quantiles of its conditional distribution [34]. This model facilitates obtaining complete information about the conditional distribution and determining the impact of the explained variable on quantile regression, thereby improving estimation accuracy and mitigating the influence of extreme values on estimation results. Panel quantile regression has been widely applied in various fields. For example, Lin et al. (2023) used panel quantile regression to investigate the influence of environmental regulations on industrial carbon emission efficiency, emphasizing heterogeneity and asymmetry [35]. Zhang et al. (2024) employed panel quantile regression to analyze and distinguish the primary factors contributing to high-energy-efficient cities and low-energy-efficient cities [36].
However, there is a lack of research utilizing panel quantile regression to investigate the factors influencing safety efficiency within the construction industry. Considering this, the study extensively employs the panel quantile regression model, selects indicators for influencing factors, and assesses the diverse impacts of these factors on safety efficiency while accounting for the level of heterogeneity.
3. Methodology
3.1. Super-SBM Model
In 1978, the DEA (Data Envelopment Analysis) model was pioneered. A distinguishing feature of the DEA methodology is its ability to assess decision-making units by comparing their relative efficiency without specifying a specific functional form. This nonparametric approach makes DEA advantageous for handling complex practical situations as it avoids making assumptions about the underlying system’s operating mechanism in advance.
Traditional DEA models might produce biased efficiency assessments due to their failure to account for “slack” factors that contribute to the gap between the current state and the desired optimal benchmark value, beyond the part that can be improved in equal proportion. To address this issue, Koenker and Hallock (2001) proposed the SBM (Slacks-Based Measure), effectively mitigating this problem [37]. However, when there are multiple DMUs with efficiency value of 1, the SBM model cannot be further analyzed and compared. To address this issue, Tone (2002) combined the SBM model with the super-efficiency model, also known as the Super-SBM model [38]. This model was introduced to differentiate between effective and ineffective decision-making units. By eliminating the efficient units from the production possibility set, the Super-SBM model quantifies their proximity to the production frontier, enabling the sorting of invalid units and the identification of valid units. Therefore, this study adopts the Super-SBM model based on unexpected output, as follows:
In Formula (1), represents each DMU (decision-making unit), n represents the number of DMU, , respectively, denote inputs, desirable outputs, and undesirable outputs, and represent the slack variables for inputs, desirable outputs, and undesirable outputs.
3.2. Malmquist Index
The efficiency value derived from the DEA model solely captures the technical efficiency at a particular moment in time, while the Malmquist index (MI) allows for further analysis of productivity changes and their underlying causes. The Malmquist index was originally introduced by Malmquist in 1953. Later on, Fare and other researchers integrated it with nonparametric linear programming techniques to establish the Malmquist index method within the framework of the static DEA model. By facilitating a dynamic assessment of production efficiency from period t to period t +1, this method overcomes the limitation of conventional DEA models that lack dynamic efficiency analysis. The Malmquist index (MI) can be obtained by calculating the product of the Technical Change Index (TC) and the Technical Efficiency Change Index (EC). The specific formula is as follows:
In Formula (2), EC represents the change in technical efficiency from period t to period + 1. A value greater than 1 indicates an improvement in technical efficiency, while a value less than 1 signifies a decrease in technical efficiency. On the other hand, represents the influence of the technological progress index from period t to period t + 1 on the direction of efficiency change. When exceeds 1, it implies technological advancements have improved and consequently boosted the efficiency of supervision. Conversely, if falls below 1, it suggests that technological progress has failed to enhance the efficiency of supervision.
3.3. Panel Quantile Regression Model
Building upon the foundational work of sectional quantile regression proposed in 1978, Koenker (2004) introduced the concept of integrating the quantile regression method with the panel data model [34]. This approach maximizes the benefits of both methods and broadens the application range of quantile regression. Addressing the estimation challenge of unobservable individual heterogeneity enhances the analytical depth of the panel data model. The empirical model employed in this paper is shown in Formula (3):
4. Index Selection and Data Source
4.1. Index Selection
4.1.1. Selection of Input–Output Indicators
With reference to the relevant literature, this paper considers the characteristics of the construction industry and the availability, validity, and representativeness of the data, and selects the number of employees and safety investment funds as input indicators, while considering the construction area, the number of construction safety accidents, and the number of fatalities resulting from such accidents as output indicators. The specific indicators are presented in Table 1.
Table 1.
Variable description of input–output indicators.
China possesses an extensive landmass, characterized by an imbalanced level of economic development across its regions and significant disparities in geographical and climatic conditions. Therefore, this study utilizes the Data Envelopment Analysis (DEA) methodology to examine the safety efficiency of the construction industry in China. Drawing upon a comprehensive synthesis of various literature research findings, appropriate input and output indicators are meticulously chosen to serve the research objectives. The input indicators encompass safety investment funds and the number of employees in the construction industry. Additionally, the output indicators encompass the number of construction safety accidents, the number of casualties resulting from such accidents, and the construction area within the industry.
(1) Security funds encompass various guaranteed security costs, including investments in security technology, emergency drills, and materials, safety protection facilities and equipment, publicity, and education, labor protection articles, and safety inspections. Notably, these funds exclude post-accident safety costs and expenses incurred in production restoration. Unfortunately, the safety investment funds for different provinces and cities remain undisclosed in various yearbooks or official statistical websites. Previous scholars have proposed two approaches for calculating safety investment: firstly, employing “fixed assets investment” as the safety investment index [39]; and secondly, utilizing the “safety investment rate multiplied by the regional total output value of the construction industry” as the measure of safety investment funds [40]. In this context, the safety investment rate of 2.36% is referenced from relevant research [41]. The research demonstrates minimal discrepancies in the outcomes when employing either of the two calculation methods for assessing safety efficiency. Therefore, this paper adopts the second approach, selecting safety investment funds accordingly.
(2) The number of employees in the construction industry encompasses individuals employed by domestically funded enterprises (state-owned and collective), enterprises with investments from Hong Kong, Macao, and Taiwan, as well as foreign-invested enterprises.
(3) The number of construction safety accidents. Due to limitations in available data from the Ministry of Urban and Rural Development’s website and the national engineering quality and safety supervision information platform, which primarily reports accidents related to housing and municipal engineering, this study considers the homogeneity and dimensionality of input–output data. Consequently, when reducing the output data, the impact on the efficiency value is minimal. Therefore, housing and municipal engineering data are selected as the output data.
(4) The number of casualties in construction safety accidents aligns with the definition provided in Article 3.
(5) The construction area of the construction industry refers to the total area dedicated to housing construction by construction enterprises during the reporting period.
According to Cooper’s principle for setting indicators in the DEA model, it is required that the number of decision-making units be at least double the sum of all indicators. This paper has a total of 30 decision-making units, consisting of 2 input indicators and 3 output indicators, satisfying the prescribed criteria.
4.1.2. Selection of Influencing Factors Indicators
To perform a comprehensive and accurate analysis of the factors influencing the safety efficiency of buildings, this study draws upon expert opinions and relevant literature [27,31,32]. Seven influential factors are identified from three key aspects: provincial economic and social development, construction industry development, and auxiliary industry development. The indicators influencing the safety efficiency of the construction industry are presented in Table 2.
Table 2.
Indicators of influencing factors.
4.2. Data Sources
This study gathers data from 2015 to 2021, encompassing 30 provinces and municipalities in China (excluding the Tibet Autonomous Region). The input–output indicators include the number of employees in the construction industry, the construction area, and the total output value of the construction industry, sourced from the China Statistical Yearbook 2016–2022. The data on the number of construction safety accidents and fatalities resulting from such accidents are obtained from the website of the Ministry of Housing and Urban-Rural Development of the People’s Republic of China (PRC) and the national engineering quality and safety supervision information platform. The influencing factors’ data are sourced from China Statistical Yearbook 2016–2022.
5. Results
5.1. Static Analysis of Safety Efficiency Results
5.1.1. Temporal Evolution Characteristics
Considering the superior performance of the Super-SBM model in addressing unforeseen output efficiency, this study employs MaxDEA Ultra 9 software to resolve the aforementioned model. Consequently, we have determined the technical efficiency (TE) of the construction industry in 30 provinces and cities for the period spanning from 2015 to 2021. Simultaneously, the yearly average safety efficiency of each province and city is computed. To streamline the calculation process, this study disregards the impact of price indexes across different years on the outcomes. Please refer to Table 3 for a detailed presentation of the computed results.
Table 3.
Safety efficiency of China’s provincial construction industries from 2015 to 2021.
Firstly, overall, the average building safety efficiency of all provinces in China from 2015 to 2021 is 0.595, which is below 1, indicating a moderate level. However, there is still a disparity in the coordinated relationship between economic development and safety management within the construction industry among different provinces, calling for further improvement and promotion. Presently, there is ample room for enhancement. The annual average value of building safety efficiency demonstrates a decreasing trend initially, followed by an increase, showing certain fluctuations. From 2015 to 2018, it declined from 0.690 to 0.533, and gradually increased from 2019 to 2021, reaching 0.597. However, it still remains lower than the average building safety efficiency in 2015. When the building safety efficiency value reaches or exceeds 1, this indicates that the safety input–output of the construction industry has attained an optimal level. Conversely, when the value is lower than 1, it implies that the safety input–output has not been properly allocated. There are three provinces whose average building safety efficiency is equal to or greater than 1, namely Beijing, Jiangsu, and Hainan, indicating a relatively effective level. Among them, Jiangsu has consistently been at the forefront for six out of seven years, showcasing its efficiency and providing valuable insights for other provinces. However, Tianjin, Heilongjiang, and Yunnan rank at the bottom three, with ineffective DEA scores. To enhance building safety efficiency, it is imperative to make adjustments to the input and output of construction safety management.
Secondly, in terms of individual provinces, only six provinces in China achieved effective DEA scores in 2015, while the number remained below five in other years. As depicted in Figure 2, from 2015 to 2021, a limited number of provinces were able to reach the production frontier. The building safety efficiency value of most provinces ranged between 0.2 and 0.6, indicating substantial room for improvement. By optimizing effective technical conditions and resource utilization, the input of safety efficiency factors can be enhanced, leading to the goals of increased economic output, reduced safety accidents, and lower mortality rates. This, in turn, effectively improves safety efficiency [42]. Among provinces, those at the forefront of social development such as Beijing exhibit effective construction safety efficiency, indicating a reasonable allocation of resources input and output. From this observation, it is evident that the construction industry in China possesses substantial potential for enhancing resource allocation and utilization. Simultaneously, the level of safety technology management and control mechanisms also necessitates further optimization and improvement. From 2015 to 2021, the building safety efficiency values of different provinces exhibited varied trends, including upward, downward, and fluctuating trends. Specifically, 15 provinces displayed a declining trend, namely Shanxi, Shandong, Guizhou, Sichuan, Guangxi, Zhejiang, Fujian, Anhui, Hunan, Jiangxi, Chongqing, Hainan, Yunnan, Shaanxi, and Ningxia. On the other hand, five provinces demonstrated an upward trend, namely Beijing, Inner Mongolia, Heilongjiang, Shanghai, and Qinghai. The remaining provinces exhibited varying degrees of fluctuation.
Figure 2.
Construction safety efficiency of provinces in 2015–2021.
5.1.2. Spatial Evolution Characteristics
To further investigate the spatial characteristics, a comprehensive analysis and research can be carried out utilizing the building safety efficiency data collected from 30 provinces in China. By utilizing ArcMap 10.8 software and considering natural fracture classification and the relevant literature, the efficiency levels can be classified as high, medium, medium–low, and low [43]. Due to spatial constraints, the distribution map illustrating the provincial building safety efficiency levels is presented for three specific time points, namely 2015, 2018, and 2021, as depicted in the figure.
The distribution map presented in Figure 3, Figure 4 and Figure 5 reveals a close relationship between the safety efficiency level and both economic development and geographical space. Provinces demonstrating high efficiency are predominantly concentrated in the central and eastern regions of China, as well as coastal areas, benefitting from notable advantages in terms of economy, science, technology, and management. Provinces with medium and low efficiency are interconnected with regions characterized by medium to high efficiency. This enables the absorption of spillover effects from safety management practices in more efficient areas, continuously infusing new momentum into safety management development within these regions. The regional distribution of low-efficiency levels exhibits a certain clustering effect, predominantly observed in small-scale patterns. Provinces characterized by low-efficiency levels are predominantly located in the central and western regions, alongside the southwest and northeast regions of China. These areas face challenges related to factors such as scientific and technological capabilities and environmental conditions, rendering safety management a crucial determinant in the advancement of the regional construction industry. A comprehensive understanding of China’s spatial distribution structure pertaining to building safety management levels not only directly impacts the achievement of national building safety management objectives but also serves as a fundamental prerequisite and important means of narrowing regional disparities.
Figure 3.
Spatial distribution of safety efficiency level in 2015.
Figure 4.
Spatial distribution of safety efficiency level in 2018.
Figure 5.
Spatial distribution of safety efficiency level in 2021.
5.2. Dynamic Analysis of Safety Efficiency Results
The Super-SBM model is capable of assessing the building safety efficiency values of provinces; however, it fails to capture the changes in these efficiency values. By utilizing the Malmquist index, we can evaluate productivity changes across different time periods and gain insights into the contributions of technological progress and technical efficiency changes to these changes in productivity. The Malmquist index for building safety efficiency in each province from 2015 to 2019 is computed using MaxDEA Ultra 9 software. Furthermore, it is further decomposed into several components, namely the technical change index (TC) and the technical efficiency change index (EC), pure technical efficiency index (PEC), scale efficiency index (SEC), and total factor productivity index (MI). This decomposition facilitates a detailed analysis of the contribution of each index to building safety efficiency and offers targeted recommendations for further enhancing building safety efficiency.
Figure 6 illustrates the trajectory of the five indices throughout the duration of the study. Among them, the exponential curve representing the change in safety efficiency and the technical efficiency change index exhibits a similar pattern, demonstrating a fluctuating upward trend. In the initial five periods, their values remained below 1, but in the years 2020–2021, they surpassed 1, indicating an improvement in efficiency. The change index of technological progress displayed a gradual increase during the first four periods, followed by a decline in 2019–2020. It shows that the main factor restricting safety efficiency in these seven years is the technical efficiency index. The pure technical efficiency index and the scale efficiency index oscillate around 1, showcasing a varying pattern of decline and stabilization.
Figure 6.
The safety efficiency change trend from 2015 to 2021.
Table 4 reveals that the average total factor productivity index is below 1. Specifically, from 2015 to 2016, the index stood at 0.924, indicating a decline in growth. This trend continued as the index dropped to 0.933 from 2016 to 2017, continuing the downward trajectory. Both the technical efficiency and the efficiency of technological progress decrease, which has an inhibitory effect on it. The total factor productivity index in 2017–2018, 2018–2019, and 2019–2020 was 0.993, 0.982, and 0.994, respectively, all of which were less than 1. The technical efficiency index was 0.986, 0.919, and 0.989, and the technical progress index was 1.007, 1.068, and 1.005, respectively, indicating that the decline in safety efficiency in these three periods was mainly caused by technical efficiency. Considering that the change in technical efficiency is affected by pure technical efficiency and scale efficiency, the decline in safety efficiency in 2017–2018 is mainly caused by the decline in scale efficiency, while the decline in safety efficiency in 2018–2019 and 2019–2020 is mainly caused by the decline in pure technical efficiency. It shows that construction enterprises fail to take into account the coordinated development of internal management level and safety input–output scale. The total factor productivity index for 2020–2021 is 1.001, mainly due to the promotion of technical efficiency. The technological progress index has a negative growth, of which the pure technical efficiency change index is 0.918, indicating that while increasing safety management, enterprises ignore the importance of improving the degree of mechanization, resulting in technological progress failing to keep up with the pace of safety management, thus restricting the development of safety efficiency.
Table 4.
Malmquist index and its decomposition from 2015 to 2021.
Based on Table 5, it is evident that from 2015 to 2021, with the exception of Beijing, Tianjin, Inner Mongolia, Shanghai, Jiangsu, and Gansu, all provinces experienced a downward trend in total factor productivity. This indicates a continuous decline in construction safety efficiency across the provinces. Notably, Sichuan, Guizhou, and Ningxia exhibited significant declines, surpassing 10%, with average annual decline rates of 13.1%, 10.4%, and 10.8%, respectively. These findings underscore the economic and managerial discrepancies between the western region of China and its counterparts in other regions, leading to frequent production accidents.
Table 5.
Average annual Malmquist index and its decomposition in each province from 2015 to 2021.
Regarding the alterations in comprehensive technical efficiency (EC), the majority of provinces, excluding Tianjin, Inner Mongolia, Heilongjiang, Shanghai, Jiangsu, and Gansu, demonstrated values below 1, in line with the overarching pattern observed in total factor productivity, the correlation between changes in comprehensive technical efficiency, pure technical efficiency, and scale efficiency can be represented by the equation: EC = PEC × SEC [44]. Pure technical efficiency is influenced by internal management capabilities and technical expertise within enterprises, while scale efficiency is influenced by the scale factor of the enterprise.
Considering the change in scale efficiency (SEC), 73.3% of provinces exhibited scale efficiency change indices below 1 from 2015 to 2021, indicating suboptimal factor input in these regions. Addressing this situation requires optimizing the overall scale of factor input to achieve resource efficiency and enhance building safety efficiency. Conversely, approximately 26.7% of provinces demonstrated scale efficiency change indices exceeding 1, suggesting the successful elimination of excess input factors and the presence of favorable scale effects.
Regarding pure technical efficiency change (PEC), around 60% of provinces exhibited PEC change indices below 1 from 2015 to 2021. This indicates that, under the current technical level, most provinces have not fully utilized their resource utilization potential, resulting in a high input–output redundancy rate. Therefore, it is crucial to enhance the economic output of the construction industry and reduce unexpected output situations.
The overall comprehensive technical efficiency is low, with pure technical efficiency generally surpassing scale efficiency, it is evident that scale efficiency serves as the primary contributor to technical inefficiency [20]. The average decline in technical progress change (TC) is 0.1%, implying that the technical progress of each province has reached an optimal level with a relatively low decline rate.
To summarize, technical progress and improvement of technical efficiency play crucial roles in enhancing the Malmquist index and reflecting the growth of building safety efficiency. However, inadequate or declining changes in technical progress and technical efficiency can lead to a decrease in the Malmquist index, indicating a decline in building safety efficiency. Therefore, continuous promotion of technical progress and improvement of technical efficiency are necessary to ensure positive growth in the Malmquist index.
5.3. Analysis of Influencing Factors
5.3.1. Descriptive Statistics of Variables
Based on the variable setting, Table 6 provides descriptive statistics for each explanatory variable and the explained variable. The average value of building safety efficiency stands at 0.595, signifying a comparatively modest level of building safety efficiency across provinces and substantial potential for improvement. The maximum safety efficiency value is 1.834, while the minimum value is 0.251, underscoring substantial disparities in resources and technology among provinces, resulting in a significant gap in building safety efficiency. Moreover, notable differences exist in per capita GDP and urbanization rates, emphasizing the significant economic disparities across provinces. Variations in contract amount, labor productivity, and technical equipment rate among construction enterprises are also evident. Likewise, differences exist in the development of construction auxiliary industries among provinces. The number of employees in exploration and design institutions ranges from 5021 to 683,409, with a significant discrepancy in the number of employees in engineering supervision enterprises, ranging from 3712 to 210,047. These discrepancies further highlight the disparities between provinces.
Table 6.
Descriptive statistics analysis table of each variable.
In summary, descriptive statistics demonstrate substantial disparities in macroeconomic development, the internal growth of construction enterprises, and the advancement of auxiliary industries in the construction industry among provinces. These disparities may have varying degrees and directions of impact on safety efficiency.
5.3.2. Quantile Regression Results Analysis
Stata17 was used to perform parameter estimation of the panel quantile regression model, and four quantiles with relatively representational ratios were selected: 25%, 50%, 75%, and 90%, and the results are shown in Table 7.
Table 7.
Results of quantile regression methods.
As evident in Table 7, regardless of whether the safety efficiency is low (0.25), medium (0.5), relatively high (0.75), or high (0.9) level, per capita GDP and urbanization rate have a significant impact on safety efficiency. Additionally, certain factors show significance at specific sub-quantiles: contract amount is significant at the 0.9 sub-category, survey, and design unit staff at the 0.5 and 0.75 sub-categories, and engineering supervision enterprise staff at the 0.75 sub-category. However, labor productivity and technical equipment rate do not significantly affect safety efficiency at any quantile.
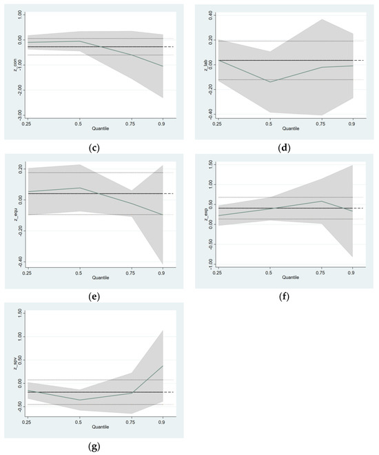
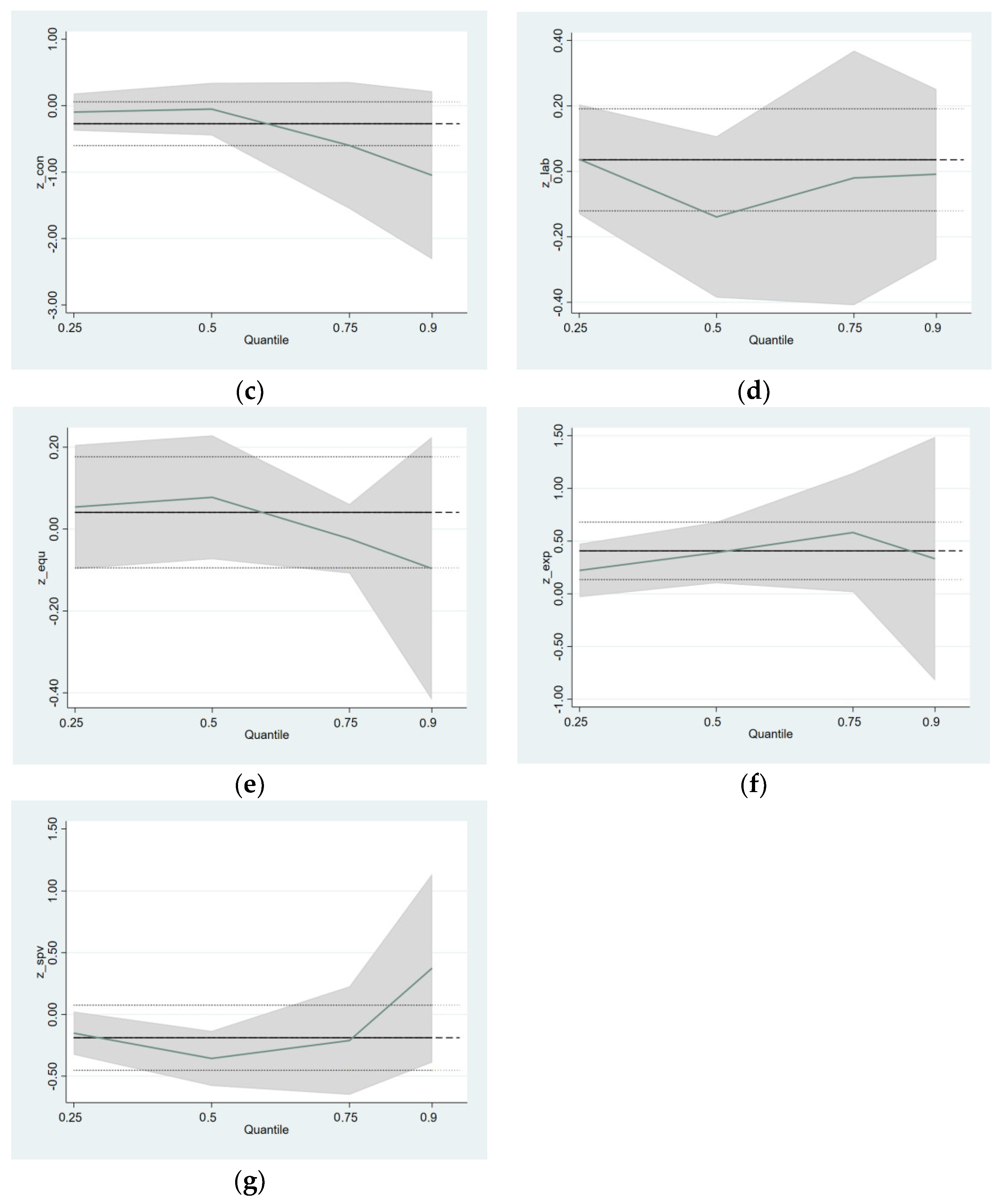
Figure 7a indicates that per capita GDP has a significantly positive impact on safety efficiency in the construction industry. At the 0.9 quantile, the influence of per capita GDP is the most pronounced. Conversely, from Figure 7b, it is evident that the urbanization rate (urb) has a significantly negative impact on construction safety efficiency, showing a continuous declining trend. Figure 7c reveals that the influence of contract amount is also negative, with the most significant impact at the 0.9 quantile. Figure 7d,e show that labor productivity and technical equipment rate have a positive “U” shape and an inverted “U” shape impact on safety efficiency, respectively. However, in the significance test, these factors did not yield significant results. Figure 7f demonstrates a significant positive correlation between the scale of survey and design unit personnel and construction safety efficiency, exhibiting an inverted “U” shape with the most significant impact at the 0.75 quantile, but the impact diminishes when construction safety efficiency reaches the high (0.9) level. Therefore, a balanced approach is crucial in practice, carefully managing the number of survey and design unit personnel according to specific circumstances to ensure optimal construction safety efficiency. Figure 7g illustrates that the number of engineering supervision personnel shows a positive “U” shape impact on construction safety efficiency, indicating an initial decline followed by an increasing trend, with a turning point at the 0.5 point. This suggests that at the 0.5 quantile, the number of engineering supervision personnel has the most significant impact on the growth of construction safety efficiency.

Figure 7.
Change in quantile regression coefficient of each influencing factor. (a) Per capita GDP; (b) urbanization rate; (c) contract value of construction industry; (d) labor productivity of construction industry; (e) technical equipment rate of construction industry; (f) number of employees in exploration and design institutions; (g) number of employees in engineering supervision institutions. Note: In figure, the horizontal axis represents distinct quantile points of safety efficiency, while the vertical axis signifies the regression coefficient of each variable. The dashed line segment represents the estimated value of explanatory variables through OLS regression, and the area between the two dashed lines depicts the confidence interval of the OLS regression value (confidence level: 0.95). The solid line illustrates the quantile regression estimation result for each explanatory variable, and the shaded portion represents the confidence interval of the quantile regression estimation result (confidence level: 0.95).
6. Discussion
- (1)
- Some provinces show better performance in safety efficiency, such as Beijing and Hainan. However, the overall level of construction safety efficiency is relatively low, with most provinces’ efficiency values ranging from 0.2 to 0.6. A similar conclusion was drawn by Kang et al. [25]. However, the efficiency values obtained in this study are even lower, indicating an overestimation issue with the traditional DEA model. The data obtained using the Super-SBM model are closer to the actual values. Several reasons contribute to the low level of safety efficiency in China: firstly, the construction industry has witnessed a substantial surge in growth in recent years, particularly in the context of intensified competition in the real estate market. This has led to enterprises prioritizing scale expansion while overlooking resource utilization optimization, emphasizing profit-driven and unsustainable expansion. Secondly, as the cost of accidents rises with the country’s increased supervision of building safety, there has been a reduction in unsafe behaviors to some extent, subsequently decreasing the probability of accidents. However, the extent of improvement remains inadequate, necessitating the strengthening of further measures, as incomplete safety measures result in a decline in safety efficiency.
- (2)
- Similarly, the dynamic change results show that the total factor productivity index was consistently below 1 over the course of 7 years, indicating a declining trend in safety efficiency in the Chinese construction industry. This result has not been described previously. The lowest total factor productivity index was observed in 2015–2016, at 0.924. One possible reason for this situation is that in 2015, China’s macroeconomic conditions experienced a downturn, with continuous sluggishness in real estate investment and building material prices frequently hitting rock bottom. This challenging environment led to a historic low in the growth rate of the construction industry’s total output value, posing significant challenges to the survival and development of the construction industry. Under such circumstances, enterprises had limited bandwidth to focus on enhancing their technical capabilities and improving management efficiency. Consequently, there was an overall decline in both technological progress efficiency and technical efficiency during this period. This decline, in turn, contributed to a decrease in safety efficiency.
- (3)
- Then, we find that the influence coefficient and significance of each factor change with the change in different quantiles of safety efficiency, indicating that the influence of determinants of safety efficiency is heterogeneous among different quantiles. However, this result has not been described before. Relevant decision-making departments should consider the differences in the driving forces of safety efficiency in different provinces and formulate policies reasonably. The impact of the urbanization rate on building safety efficiency shows a negative downward trend, indicating that the negative impact of the urbanization rate on the low safety efficiency level is the least, while the negative impact on the high safety efficiency level is relatively large. This may be caused by the rate of urbanization, which causes rural labor to flood into cities. While providing abundant labor resources for the construction industry, the complexity of safety management faced by the construction industry increases, increasing the risk of safety accidents.
7. Conclusions
A scientifically accurate assessment of safety efficiency is crucial for advancing the construction industry to higher levels and achieving coordinated development of higher quality. In this study, the Super-SBM model, Malmquist index model, and panel quantile regression model were employed to evaluate the safety efficiency of the construction industry in 30 provinces of China from 2015 to 2021 and analyze its influencing factors. Compared with previous studies, this research has made some theoretical and practical contributions. Firstly, the Super-SBM model, which considers slack variables and non-desired outputs and breaks the efficiency value constraint of (0, 1), was used for safety efficiency evaluation, yielding results closer to reality. Secondly, this study comprehensively analyzed the static and dynamic evolution characteristics of safety efficiency using the Super-SBM model and Malmquist index model, providing a more comprehensive and in-depth analysis of its overall structure and efficiency change trends compared to previous single-perspective evaluations. Thirdly, the panel quantile regression model was employed for the factor analysis, reflecting the heterogeneous impact effects of various variables on safety efficiency across different quantile levels and not being influenced by extreme values, thereby obtaining more accurate results in the heterogeneity analysis. The main research findings are as follows:
- (1)
- The results of the Super-SBM model indicate that the overall safety efficiency of provincial-level construction in China is relatively low, with only a few provinces showing good safety efficiency, such as Beijing, Jiangsu, and Hainan. There is a significant spatial clustering feature, with higher safety efficiency levels observed in eastern and central provinces. High-efficiency provinces are mainly distributed in the central and eastern regions and coastal areas, exhibiting a phenomenon of mutual connection between low-efficiency provinces and medium–high-efficiency regions.
- (2)
- The decomposition results of the Malmquist index show a downward trend from 2015 to 2021, with technological efficiency being the main factor hindering the development of safety efficiency in enterprises. Except for Beijing, Tianjin, Inner Mongolia, Shanghai, Jiangsu, and Gansu, the total factor productivity (TFP) of each province has shown a declining trend. The changes in technological progress and technical efficiency vary in different provinces, so different regions should improve and optimize technological progress, technical efficiency, and management levels according to their local conditions to promote the improvement of construction safety efficiency.
- (3)
- The results of the panel quantile regression show that per capita GDP, urbanization rate, contract amount, and the number of professionals engaged in survey and design, and engineering supervision have an impact on construction safety efficiency. Specifically, regardless of whether safety efficiency is low (0.25), medium (0.5), relatively high (0.75), or high (0.9), per capita GDP and urbanization rate have a significant impact on safety efficiency; the negative impact of the contract amount is most pronounced at the 0.9 quantile; the number of professionals in survey and design has the most significant impact at the 0.5 quantile; and the number of engineering supervision professionals has the strongest impact at the 0.75 quantile.
This study also has certain limitations. Firstly, due to data availability limitations, this study selected macro-level data from 30 provincial-level regions in China to study construction safety efficiency. Future studies can attempt to use data from prefecture-level cities or county-level areas for research. Secondly, this study only selected seven quantitative indicators from the perspectives of economic and social development, construction industry development, and auxiliary industry development for factor analysis, which may not be comprehensive enough. Future research can consider the impact of qualitative factors, such as exploring the completeness of provincial-level construction safety production laws and regulations, and the government’s law enforcement capabilities in construction safety production. Considering both quantitative and qualitative factors will contribute to a more comprehensive and in-depth understanding of construction safety, providing targeted recommendations for construction safety management and policy-making.
Author Contributions
Conceptualization, X.W.; methodology, X.W.; software, X.W.; validation, X.W. and B.Z.; formal analysis, B.Z.; investigation, X.W.; resources, X.W.; data curation, B.Z.; writing—original draft preparation, B.Z.; writing—review and editing, C.S.; visualization, B.Z.; supervision, C.S.; project administration, C.S.; funding acquisition, X.W. All authors have read and agreed to the published version of the manuscript.
Funding
This research was funded by the Natural Science Basic Research Program of Shaanxi Province (grant number 2023-JC-YB-624).
Data Availability Statement
The data that support the findings of this study are openly available in the China Statistical Yearbook at http://www.stats.gov.cn and the Housing municipal engineering production safety accident situation at https://zlaq.mohurd.gov.cn.
Conflicts of Interest
The authors declare no conflict of interest.
References
- Abueisheh, Q.; Manu, P.; Mahamadu, A.-M.; Cheung, C. Design for safety implementation among design professionals in construction: The context of Palestine. Saf. Sci. 2020, 128, 104742. [Google Scholar] [CrossRef]
- Hendrickson, C.; Au, T. Project Management for Construction: Fundamental Concepts for Owners, Engineers, Architects, and Builders; Prentice Hall: Saddle River, NJ, USA, 1989. [Google Scholar]
- Mahamid, I. Factors affecting contractor’s business failure: Contractors’ perspective. Eng. Constr. Archit. Manag. 2012, 19, 269–285. [Google Scholar] [CrossRef]
- Robinson, G. Global construction market to grow $8 trillion by 2030: Driven by China, US and India. Glob. Constr. 2015, 44, 8–10. [Google Scholar]
- Bavafa, A.; Mahdiyar, A.; Marsono, A.K. Identifying and assessing the critical factors for effective implementation of safety programs in construction projects. Saf. Sci. 2018, 106, 47–56. [Google Scholar] [CrossRef]
- Choudhry, R.M. Achieving safety and productivity in construction projects. J. Civ. Eng. Manag. 2017, 23, 311–318. [Google Scholar] [CrossRef]
- McCabe, B.Y.; Alderman, E.; Chen, Y.; Hyatt, D.E.; Shahi, A. Safety performance in the construction industry: Quasi-longitudinal study. J. Constr. Eng. Manag. 2017, 143, 04016113. [Google Scholar] [CrossRef]
- Sunindijo, R.Y.; Zou, P.X. Political skill for developing construction safety climate. J. Constr. Eng. Manag. 2012, 138, 605–612. [Google Scholar] [CrossRef]
- Ma, L.; Fan, J.; Guo, R.Z. Characteristics of fires in coal mine roadways and comparative analysis of control effectiveness between longitudinal ventilation and cross-section sealing. Case Stud. Therm. Eng. 2024, 53, 103878. [Google Scholar] [CrossRef]
- Deng, J.; Qu, G.; Ren, S.; Wang, C.; Su, H.; Yuan, Y.; Duan, X.; Yang, N.; Wang, J. Effect of water soaking and air drying on the thermal effect and heat transfer characteristics of coal oxidation at the low-temperature oxidation stage. Energy 2024, 288, 129705. [Google Scholar] [CrossRef]
- Manu, P.; Emuze, F.; Saurin, T.A.; Hadikusumo, B.H. Construction Health and Safety in Developing Countries; Routledge: New York, NY, USA, 2019. [Google Scholar]
- Tixier, A.J.P.; Hallowell, M.R.; Rajagopalan, B. Construction Safety Risk Modeling and Simulation. Risk Anal. 2017, 37, 1917–1935. [Google Scholar] [CrossRef]
- Shao, B.; Hu, Z.; Liu, Q. Fatal accident patterns of building construction activities in China. Saf. Sci. 2019, 111, 253–263. [Google Scholar] [CrossRef]
- Tejada, Á.; Sánchez, M.P.; Escribano, F. Road safety efficiency on interurban roads in Spain. Eval. Rev. 2023, 0193841X231207443. [Google Scholar] [CrossRef] [PubMed]
- Jin, F.; Garg, H.; Pei, L. Multiplicative consistency adjustment model and data envelopment analysis-driven decision-making process with probabilistic hesitant fuzzy preference relations. Int. J. Fuzzy Syst. 2020, 22, 2319–2332. [Google Scholar] [CrossRef]
- Trinh, M.T.; Feng, Y. Impact of project complexity on construction safety performance: Moderating role of resilient safety culture. J. Constr. Eng. Manag. 2020, 146, 04019103. [Google Scholar] [CrossRef]
- Li, J.; Alburaikan, A.; Muniz, R.d.F. Evaluation of safety-based performance in construction projects with neutrosophic data envelopment analysis. Manag. Decis. 2023, 61, 552–568. [Google Scholar] [CrossRef]
- Djordjević, B.; Krmac, E.; Mlinarić, T.J. Non-radial DEA model: A new approach to evaluation of safety at railway level crossings. Saf. Sci. 2018, 103, 234–246. [Google Scholar] [CrossRef]
- Seyedalizadeh Ganji, S.; Rassafi, A. Measuring the road safety performance of Iranian provinces: A double-frontier DEA model and evidential reasoning approach. Int. J. Inj. Control Saf. Promot. 2019, 26, 156–169. [Google Scholar] [CrossRef] [PubMed]
- Miao, C.; Duan, M.; Sun, X. Safety management efficiency of China’s coal enterprises and its influencing factors—Based on the DEA-Tobit two-stage model. Process Saf. Environ. Prot. 2020, 140, 79–85. [Google Scholar] [CrossRef]
- Yang, W.; He, S. Coal mine safety management index system and environmental risk model based on sustainable operation. Sustain. Energy Technol. Assess. 2022, 53, 102721. [Google Scholar] [CrossRef]
- Barak, S.; Dahooei, J.H. A novel hybrid fuzzy DEA-Fuzzy MADM method for airlines safety evaluation. J. Air Transp. Manag. 2018, 73, 134–149. [Google Scholar] [CrossRef]
- Cui, Q.; Li, Y. The change trend and influencing factors of civil aviation safety efficiency: The case of Chinese airline companies. Saf. Sci. 2015, 75, 56–63. [Google Scholar] [CrossRef]
- Nahangi, M.; Chen, Y.; McCabe, B. Safety-based efficiency evaluation of construction sites using data envelopment analysis (DEA). Saf. Sci. 2019, 13, 382–388. [Google Scholar] [CrossRef]
- Kang, L.; Wu, C.; Liao, X.; Wang, B. Safety performance and technology heterogeneity in China’s provincial construction industry. Saf. Sci. 2020, 121, 83–92. [Google Scholar] [CrossRef]
- Qi, H.; Zhou, Z.; Li, N. Construction safety performance evaluation based on data envelopment analysis (DEA) from a hybrid perspective of cross-sectional and longitudinal. Saf. Sci. 2022, 146, 105532. [Google Scholar] [CrossRef]
- Xu, J.; Meng, Q.; Li, X. Evaluating Building Construction Safety Performance in Different Regions in China. Buildings 2023, 13, 1845. [Google Scholar] [CrossRef]
- Li, G.; Ma, X.; Song, Y. Green building efficiency and influencing factors of transportation infrastructure in china: Based on three-stage super-efficiency sbm–dea and tobit models. Buildings 2022, 12, 623. [Google Scholar] [CrossRef]
- Qi, B.; Wang, H.; Li, K. Research on Evaluation of Safety Input Efficiency of Construction Enterprise-On the basis of DEA-Tobit model. In Proceedings of the 4th International Conference on Manufacturing Science and Engineering (ICMSE 2013), Dalian, China, 30–31 March 2013; pp. 3423–3427. [Google Scholar]
- Gunduz, M.; Birgonul, M.T.; Ozdemir, M. Fuzzy structural equation model to assess construction site safety performance. J. Constr. Eng. Manag. 2017, 143, 04016112. [Google Scholar] [CrossRef]
- Winge, S.; Albrechtsen, E.; Arnesen, J. A comparative analysis of safety management and safety performance in twelve construction projects. J. Saf. Res. 2019, 71, 139–152. [Google Scholar] [CrossRef]
- Zheng, X.; Tong, L.; Chen, G. Spatial-temporal evolution characteristics and influencing factors of work safety level in construction industry. China Saf. Sci. J. CSSJ 2020, 30, 27–34. [Google Scholar]
- Boakye, M.K.; Adanu, S.K.; Adzivor, E.K. Factors influencing health and safety performance at construction sites in Ghana: The perspective of building artisans. Int. J. Occup. Saf. Ergon. 2023, 29, 1121–1127. [Google Scholar] [CrossRef]
- Koenker, R. Quantile regression for longitudinal data. J. Multivar. Anal. 2004, 91, 74–89. [Google Scholar] [CrossRef]
- Lin, X.; Cui, W.; Wang, D. The heterogeneous effects of environmental regulation on industrial carbon emission efficiency in China using a panel quantile regression. Environ. Sci. Pollut. Res. 2023, 30, 55255–55277. [Google Scholar] [CrossRef] [PubMed]
- Zhang, H.; Zhou, P.; Sun, X. Disparities in energy efficiency and its determinants in Chinese cities: From the perspective of heterogeneity. Energy 2024, 289, 129959. [Google Scholar] [CrossRef]
- Koenker, R.; Hallock, K.F. Quantile regression. J. Econ. Perspect. 2001, 15, 143–156. [Google Scholar] [CrossRef]
- Tone, K. A slacks-based measure of super-efficiency in data envelopment analysis. Eur. J. Oper. Res. 2002, 143, 32–41. [Google Scholar] [CrossRef]
- Tian, T.; Qin, Y. An Analysis of Safety Efficiency of Coal Enterprises in China and Factors Affecting. China Saf. Sci. J. CSSJ 2012, 22, 128–134. [Google Scholar]
- Zha, J.; Wang, X. Construction Safety Management Efficiency Evaluation Based on DEA. China Saf. Sci. J. CSSJ 2013, 23, 14–19. [Google Scholar]
- Qiang, M.; Fang, D.; Xiao, H.; Chen, Y. Research on safety input and safety performance of construction engineering projects. China Civ. Eng. J. 2004, 37, 101–107. [Google Scholar]
- Yuxin, W.; Gui, F.; Qian, L.; Xiao, L.; Yiran, C.; Yali, W.; Xuecai, X. Modelling and analysis of unsafe acts in coal mine gas explosion accidents based on network theory. Process Saf. Environ. Prot. 2023, 170, 28–44. [Google Scholar] [CrossRef]
- Yang, B.; Zhang, Z.; Wu, H. Detection and attribution of changes in agricultural eco-efficiency within rapid urbanized areas: A case study in the Urban agglomeration in the middle Reaches of Yangtze River, China. Ecol. Indic. 2022, 144, 109533. [Google Scholar] [CrossRef]
- Huang, D.; Wang, X. Study on Production Efficiency of Flue-cured Tobacco in China Based on DEA-Malmquist Model. In Proceedings of the 5th International Conference on Advances in Energy Resources and Environment Engineering (ICAESEE), Chongqing, China, 6–8 December 2019. [Google Scholar]
Disclaimer/Publisher’s Note: The statements, opinions and data contained in all publications are solely those of the individual author(s) and contributor(s) and not of MDPI and/or the editor(s). MDPI and/or the editor(s) disclaim responsibility for any injury to people or property resulting from any ideas, methods, instructions or products referred to in the content. |
© 2024 by the authors. Licensee MDPI, Basel, Switzerland. This article is an open access article distributed under the terms and conditions of the Creative Commons Attribution (CC BY) license (https://creativecommons.org/licenses/by/4.0/).







