A Numerical Investigation of the Influence of Humid Environments on the Thermal Performance of a Phase Change Thermal Storage Cooling System in Buildings
Abstract
1. Introduction
2. Establishment of Mathematical Model
2.1. System Description
2.2. Mathematical Model Establishment
2.2.1. PCP Sub-Model
Air Natural Convection Region
Heat and Mass Transfer between Air and PCP
Condensate Water Film
PCP
2.2.2. MRC Sub-Model
Control Equations of the Indoor Air
Energy Equations of the Surrounding Rock
2.3. Model Solution
2.3.1. Grid Division
2.3.2. Discretization and Numerical Solution
2.4. Model Validation
3. Results and Discussion
3.1. Parameter Settings of Typical Conditions
3.2. Results for Typical Conditions
3.2.1. PCP and Surrounding Rock
3.2.2. Natural Convection Airflow and Indoor Air
3.2.3. Heat and Mass Transfer between PCP and Indoor Air
3.3. Sensitivity Analysis
3.3.1. PCM Cold Storage/Melting Temperature
3.3.2. Quantity of PCPs
3.3.3. The Size of PCP
3.4. Optimization Approach with Batches
4. Conclusions
- (1)
 - During its effective control period, the cold storage PCP presents a significant cooling and dehumidification effect. Under typical conditions, the average indoor temperature decreases by 4.8 °C within 40 h, and the average relative humidity decreases by 7%.
 - (2)
 - Influenced by the time-varying indoor air temperature and humidity, the cold storage PCP often shows asynchronous states in the sensible heat transfer rate and the latent heat transfer rate. Under typical conditions, the sensible heat transfer is 14 kW in the first 10 h, far exceeding the indoor heat dissipation, and gradually decreasing afterward. The latent heat transfer gradually reaches its peak of 3.5 kW after 30 h, consistent with the moisture dissipation, and then it gradually decreases.
 - (3)
 - Changing the Tc/Tm essentially affects the time distribution of the indoor temperature and the humidity control process. A lower Tc/Tm shifts and strengthens the sensible heat transfer capacity of the PCP. Under the condition of a Tc of 16 °C and a Tm of 18 °C, the sensible heat transfer proportion can reach 77%, and the latent heat transfer rate is weakened.
 - (4)
 - Increasing the number of PCPs generally improves the indoor temperature and humidity control effect but weakens the sensible heat transfer and dehumidifying rate for each panel. Under the typical condition, the temperature improvement is an average of 0.6 °C per 50 PCPs and a relative humidity decrease of 1.5%, with diminishing effects as the quantity increases. Thus, considering economy, the preferred number of PCPs is between 250 and 300.
 - (5)
 - The aspect ratio of the PCP directly affects the natural convection intensity, but it has almost no effect on the outlet air temperature and humidity. An appropriate aspect ratio can enhance suitability for the long-term temperature and humidity control processes. The recommended range under the study conditions is between 0.08/0.5 and 0.1/0.4.
 - (6)
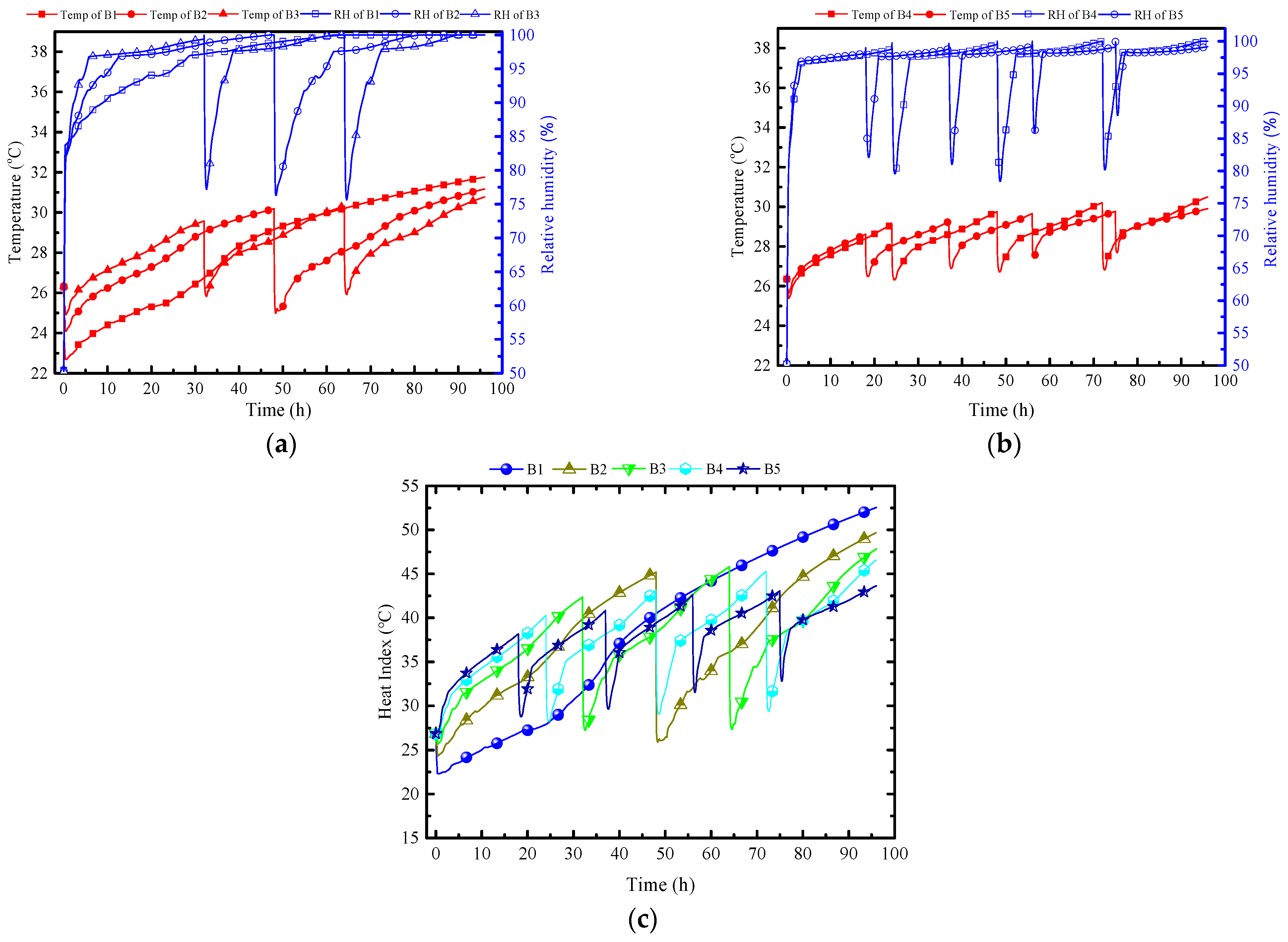
 - For indoor air temperature and humidity control processes over an extended period, under limited total quantity of PCPs, it is recommended to use the batch operation optimization method. This method can effectively suppress the occurrence of extremely hot and humid environments. Compared with a one-time input of all PCPs, using the PCPs in 5 batches can completely eliminate the “Extreme Danger” zone in the HI within 96 h. It also reduces the duration of the “Danger” zone from 41 h to 24 h, and the HI remains below 43 °C, which is crucial for people to survive in a closed chamber.
 
Author Contributions
Funding
Data Availability Statement
Conflicts of Interest
References
- Hussain, S.A.; Razi, F.; Hewage, K.; Sadiq, R. The perspective of energy poverty and 1st energy crisis of green transition. Energy 2023, 275, 127487. [Google Scholar] [CrossRef]
 - Li, J.; Sun, S.; Sharma, D.; Ho, M.S.; Liu, H. Tracking the drivers of global greenhouse gas emissions with spillover effects in the post-financial crisis era. Energy Policy 2023, 174, 113464. [Google Scholar] [CrossRef]
 - Azarpour, A.; Mohammadzadeh, O.; Rezaei, N.; Zendehboudi, S. Current status and future prospects of renewable and sustainable energy in North America: Progress and challenges. Energy Convers. Manag. 2022, 269, 115945. [Google Scholar] [CrossRef]
 - An, Y.; Tan, X.; Gu, B.; Zhu, K.; Shi, L.; Ding, Z. An assessment of renewable energy development in Belt and Road Initiative countries: An entropy and TOPSIS approach. Energy Rep. 2023, 10, 3545–3560. [Google Scholar] [CrossRef]
 - Jiang, H.; Du, E.; He, B.; Zhang, N.; Wang, P.; Li, F.; Ji, J. Analysis and modeling of seasonal characteristics of renewable energy generation. Renew. Energy 2023, 219, 119414. [Google Scholar] [CrossRef]
 - Li, F.; Chen, S.; Ju, C.; Zhang, X.; Ma, G.; Huang, W. Research on short-term joint optimization scheduling strategy for hydro-wind-solar hybrid systems considering uncertainty in renewable energy generation. Energy Strat. Rev. 2023, 50, 101242. [Google Scholar] [CrossRef]
 - Rad, M.A.V.; Kasaeian, A.; Niu, X.; Zhang, K.; Mahian, O. Excess electricity problem in off-grid hybrid renewable energy systems: A comprehensive review from challenges to prevalent solutions. Renew. Energy 2023, 212, 538–560. [Google Scholar]
 - Wu, Y.; Zhang, T.; Gao, R.; Wu, C. Portfolio planning of renewable energy with energy storage technologies for different applications from electricity grid. Appl. Energy 2021, 287, 116562. [Google Scholar] [CrossRef]
 - Simonsen, G.; Ravotti, R.; O’Neill, P.; Stamatiou, A. Biobased phase change materials in energy storage and thermal management technologies. Renew. Sustain. Energy Rev. 2023, 184, 113546. [Google Scholar] [CrossRef]
 - Wang, D.; Liu, N.; Chen, F.; Wang, Y.; Mao, J. Progress and prospects of energy storage technology research: Based on multidimensional comparison. J. Energy Storage 2024, 75, 109710. [Google Scholar] [CrossRef]
 - Ghalambaz, M.; Zadeh, S.M.H.; Mehryan, S.A.M.; Ayoubloo, K.A.; Sedaghatizadeh, N. Non-Newtonian behavior of an electrical and magnetizable phase change material in a filled enclosure in the presence of a non-uniform magnetic field. Int. Commun. Heat Mass Transf. 2020, 110, 104437. [Google Scholar] [CrossRef]
 - Li, Z.; Lu, Y.; Huang, R.; Chang, J.; Yu, X.; Jiang, R.; Yu, X.; Roskilly, A.P. Applications and technological challenges for heat recovery, storage and utilisation with latent thermal energy storage. Appl. Energy 2021, 283, 116277. [Google Scholar] [CrossRef]
 - Mehryan, S.; Heidarshenas, M.H.; Hajjar, A.; Ghalambaz, M. Numerical study of melting-process of a non-Newtonian fluid inside a metal foam. Alex. Eng. J. 2020, 59, 191–207. [Google Scholar] [CrossRef]
 - Afgan, S.; Bing, C. Scientometric review of international research trends on thermal energy storage cement based composites via integration of phase change materials from 1993 to 2020. Constr. Build. Mater. 2021, 278, 122344. [Google Scholar] [CrossRef]
 - Junaid, M.F.; Rehman, Z.U.; Čekon, M.; Čurpek, J.; Farooq, R.; Cui, H.; Khan, I. Inorganic phase change materials in thermal energy storage: A review on perspectives and technological advances in building applications. Energy Build. 2021, 252, 111443. [Google Scholar] [CrossRef]
 - Zhao, J.; Li, Y.; Fang, X.; Sun, J.; Zhang, W.; Wang, B.; Xu, J.; Liu, Y.; Guo, H. High interface compatibility and phase change enthalpy of heat storage wood plastic composites as bio-based building materials for energy saving. J. Energy Storage 2022, 51, 104293. [Google Scholar] [CrossRef]
 - Liu, X.; Yang, Y.; Sheng, Z.; Wu, W.; Wang, Y.; Dumoulin, J. Study on thermal storage effectiveness of a novel PCM concrete applied in buildings located at four cities. Renew. Energy 2023, 218, 119262. [Google Scholar] [CrossRef]
 - Arıcı, M.; Bilgin, F.; Krajčík, M.; Nižetić, S.; Karabay, H. Energy saving and CO2 reduction potential of external building walls containing two layers of phase change material. Energy 2022, 252, 124010. [Google Scholar] [CrossRef]
 - Ji, R.; Li, X.; Lv, C. Synthesis and evaluation of phase change material suitable for energy-saving and carbon reduction of building envelopes. Energy Build. 2023, 278, 112603. [Google Scholar] [CrossRef]
 - Guo, X.; Wei, H.; He, X.; He, M.; Yang, D. Integrating phase change material in building envelopes combined with the earth-to-air heat exchanger for indoor thermal environment regulation. J. Affect. Disord. 2022, 221, 109318. [Google Scholar] [CrossRef]
 - Gao, X.; Zhang, Z.; Yuan, Y.; Cao, X.; Zeng, C.; Yan, D. Coupled cooling method for multiple latent heat thermal storage devices combined with pre-cooling of envelope: Model development and operation optimization. Energy 2018, 159, 508–524. [Google Scholar] [CrossRef]
 - Dong, Y.; Zhang, L.; Wang, P.; Liu, Z.; Su, X.; Liao, H.; Jiang, X. Potential evaluation of energy flexibility and energy-saving of PCM-integrated office building walls. J. Build. Eng. 2023, 79, 107857. [Google Scholar] [CrossRef]
 - Mehryan, S.A.M.; Ayoubi-Ayoubloo, K.; Shahabadi, M.; Ghalambaz, M.; Talebizadehsardari, P.; Chamkha, A. Conjugate Phase Change Heat Transfer in an Inclined Compound Cavity Partially Filled with a Porous Medium: A Deformed Mesh Approach. Transp. Porous Media 2020, 132, 657–681. [Google Scholar] [CrossRef]
 - Yuan, Y.; Gao, X.; Wu, H.; Zhang, Z.; Cao, X.; Sun, L.; Yu, N. Coupled cooling method and application of latent heat thermal energy storage combined with pre-cooling of envelope: Method and model development. Energy 2017, 119, 817–833. [Google Scholar] [CrossRef]
 - Sun, X.; Zhu, Z.; Fan, S.; Li, J. Thermal performance of a lightweight building with phase change material under a humid subtropical climate. Energy Built Environ. 2022, 3, 73–85. [Google Scholar] [CrossRef]
 - Liang, J.Y.; Zhang, X.L.; Ji, J. Hygroscopic phase change composite material-A review. J. Energy Storage 2021, 36, 102395. [Google Scholar] [CrossRef]
 - Zhu, N.; Li, X.; Hu, P.; Lei, F.; Wei, S.; Wang, W. An exploration on the performance of using phase change humidity control material wallboards in office buildings. Energy 2022, 239, 122433. [Google Scholar] [CrossRef]
 - Gao, X.; Xiao, Y.; Gao, P.; Zhang, Z.; Sun, M. Experimental study of the effect of high humidity on the phase change plate thermal storage under natural convection. Energy 2022, 256, 124645. [Google Scholar] [CrossRef]
 - Gao, X.; Li, N.; Xiao, Y.; Zhang, Z.; Sun, M.; Gao, P. Thermal storage process of phase change materials under high humidity and laminar natural convection condition: Prediction model and sensitivity analysis. Energy 2024, 286, 129558. [Google Scholar] [CrossRef]
 - Gao, X.; Zhang, Z.; Xiao, Y. Modelling and thermo-hygrometric performance study of an underground chamber with a long vertical earth-air heat exchanger system. Appl. Therm. Eng. 2020, 180, 115773. [Google Scholar] [CrossRef]
 - Vogel, J.; Felbinger, J.; Johnson, M. Natural convection in high temperature flat plate latent heat thermal energy storage systems. Appl. Energy 2016, 184, 184–196. [Google Scholar] [CrossRef]
 - Lian, Z. Principle and Equipment of Heat and Mass Transfer; China Architecture & Building Press: Beijing, China, 2006. [Google Scholar]
 - Zhu, Y. Built Environment, 4th ed.; China Architecture & Building Press: Beijing, China, 2016. [Google Scholar]
 - Su, H.; Liu, X.B.; Ji, L.; Mu, J.Y. A numerical model of a deeply buried air–earth–tunnel heat exchanger. Energy Build. 2011, 48, 233–239. [Google Scholar] [CrossRef]
 - Andreozzi, A.; Buonomo, B.; Cascetta, F.; Manca, O. Transient air natural convection in asymmetrically heated vertical channels. Int. Commun. Heat Mass Transf. 2020, 116, 104697. [Google Scholar] [CrossRef]
 - Zhang, Z.; Day, R.; Wang, K.; Wu, H.; Yuan, Y. Thermal performance analysis of an underground closed chamber with human body heat sources under natural convection. Appl. Therm. Eng. 2018, 145, 453–463. [Google Scholar] [CrossRef]
 - Weather Prediction Center of National Weather Service. The Heat Index Equation. 2014. Available online: https://www.wpc.ncep.noaa.gov/html/heatindex_equation.shtml (accessed on 11 January 2024).
 





























| Parameters | Values | 
|---|---|
| Type of PCM | Paraffin RT18 | 
| Melting temperature range of PCM | 17–19 °C (Tm = 18 °C) | 
| Latent heat of PCM | 222 kJ/kg | 
| Specific heat of PCM | 2.0 kJ/(kg·K) | 
| Thermal conductivity of PCM | 0.2 W/(m·K) | 
| Liquid density of PCM | 770 kg/m3 | 
| Solid density of PCM | 880 kg/m3 | 
| Rock density | 2400 kg/m3 | 
| Rock thermal conductivity | 2 W/(m·°C) | 
| Rock specific heat | 920 J/(kg·°C) | 
| Stainless steel pipe density | 7850 kg/m3 | 
| Stipulated number of personnel | 50 | 
| Rated protection time | 96 h | 
| Total heat generation of each person | 134 W | 
| Heat generation of equipment per person | 5 W/person | 
| Initial temperature | 26 °C | 
| Initial relative humidity of indoor air | 50% | 
| Cold storage temperature of PCPs | 16 °C | 
| Number of PCPs | 250 | 
| Size | 0.08 m × 0.5 m × 0.6 m (W × H × L) | 
| The First Batch | The Second Batch | The Third Batch | The Fourth Batch | The Fifth Batch | ||||||
|---|---|---|---|---|---|---|---|---|---|---|
| Number | Time | Number | Time | Number | Time | Number | Time | Number | Time | |
| 2 batches | 125 | start time | 125 | 48th | ||||||
| 3 batches | 83 | start time | 83 | 32nd | 84 | 64th | ||||
| 4 batches | 62 | start time | 62 | 24th | 63 | 48th | 63 | 72nd | ||
| 5 batches | 50 | start time | 50 | 19th | 50 | 38th | 50 | 57th | 50 | 76th | 
Disclaimer/Publisher’s Note: The statements, opinions and data contained in all publications are solely those of the individual author(s) and contributor(s) and not of MDPI and/or the editor(s). MDPI and/or the editor(s) disclaim responsibility for any injury to people or property resulting from any ideas, methods, instructions or products referred to in the content.  | 
© 2024 by the authors. Licensee MDPI, Basel, Switzerland. This article is an open access article distributed under the terms and conditions of the Creative Commons Attribution (CC BY) license (https://creativecommons.org/licenses/by/4.0/).
Share and Cite
Gao, X.; Sheng, Q.; Li, N. A Numerical Investigation of the Influence of Humid Environments on the Thermal Performance of a Phase Change Thermal Storage Cooling System in Buildings. Buildings 2024, 14, 1161. https://doi.org/10.3390/buildings14041161
Gao X, Sheng Q, Li N. A Numerical Investigation of the Influence of Humid Environments on the Thermal Performance of a Phase Change Thermal Storage Cooling System in Buildings. Buildings. 2024; 14(4):1161. https://doi.org/10.3390/buildings14041161
Chicago/Turabian StyleGao, Xiangkui, Qing Sheng, and Na Li. 2024. "A Numerical Investigation of the Influence of Humid Environments on the Thermal Performance of a Phase Change Thermal Storage Cooling System in Buildings" Buildings 14, no. 4: 1161. https://doi.org/10.3390/buildings14041161
APA StyleGao, X., Sheng, Q., & Li, N. (2024). A Numerical Investigation of the Influence of Humid Environments on the Thermal Performance of a Phase Change Thermal Storage Cooling System in Buildings. Buildings, 14(4), 1161. https://doi.org/10.3390/buildings14041161
        
