A Three-Dimensional Seismic Damage Assessment Method for RC Structures Based on Multi-Mode Damage Model
Abstract
1. Introduction
2. Derivation of Three-Dimensional Seismic Damage Model
2.1. Discussion of the Referenced Multi-Mode Damage Model
2.2. Three-Dimensional Seismic Damage Model
2.3. The Combination of Overall Damage for the Whole Three-Dimensional Structure
3. Three-Dimensional Seismic Damage Evaluation Process
4. Example
4.1. Model Introduction and Ground Motion Selection
4.2. Modal Analysis
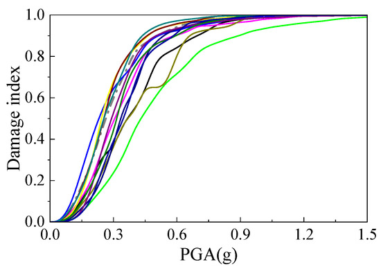
4.3. Result Analysis and Discussion
5. Conclusions
Author Contributions
Funding
Data Availability Statement
Conflicts of Interest
References
- Makhloof, D.A.; Ibrahim, A.R.; Ren, X. Damage Assessment of Reinforced Concrete Structures through Damage Indices: A State-of-the-Art Review. CMES—Comput. Model. Eng. Sci. 2021, 128, 849–874. [Google Scholar] [CrossRef]
- Bhatta, S.; Dang, J. Seismic damage prediction of RC buildings using machine learning. Earthq. Eng. Struct. Dyn. 2023, 52, 3504–3527. [Google Scholar] [CrossRef]
- Jeong, S.H.; Elnashai, A. New three-dimensional damage index for RC buildings with planar irregularities. J. Struct. Eng. 2006, 132, 1482–1490. [Google Scholar] [CrossRef]
- Jeong, S.H.; Elnashai, A. Analytical and experimental seismic assessment of irregular RC buildings. In Proceedings of the 13th World Conference on Earthquake Engineering, Vancouver, BC, Canada, 1–6 August 2004. [Google Scholar]
- Prakash, S.S.; Belarbi, A. Towards damage–based design approach for RC bridge columns under combined loadings using damage index models. J. Earthq. Eng. 2010, 14, 363–389. [Google Scholar] [CrossRef]
- Wang, J.F.; Lin, C.C.; Lin, G.L.; Yang, C.H. Story damage identification of irregular buildings based on earthquake records. Earthq. Spectra 2013, 29, 963–985. [Google Scholar] [CrossRef]
- Guo, J.; Wang, J.J.; Li, Y.; Zhao, W.G.; Du, Y.L. Three dimensional extension for Park and Ang damage model. Structures 2016, 7, 184–194. [Google Scholar] [CrossRef]
- Mirshafiei, F.; Mirshafiei, M.; McClure, G. A new three–dimensional seismic assessment method (3D–SAM) for buildings based on experimental modal analysis. Comput. Struct. 2017, 180, 125–137. [Google Scholar] [CrossRef]
- Mirshafiei, F.; McClure, G. Modified three–dimensional seismic assessment method for buildings based on ambient vibration tests: Extrapolation to higher shaking levels and measuring the dynamic amplification portion of natural torsion. Earthq. Eng. Struct. Dyn. 2016, 45, 2011–2026. [Google Scholar] [CrossRef]
- Bernagozzi, G.; Ventura, C.E.; Allahdadian, S.; Kaya, Y.; Landi, L.; Diotallevi, P.P. Output–only damage diagnosis for plan–symmetric buildings with asymmetric damage using modal flexibility–based deflections. Eng. Struct. 2020, 207, 110015. [Google Scholar] [CrossRef]
- JGJ 3-2010; Technical Specification for Concrete Structures of Tall Building. China Architecture and Building Press: Beijing, China, 2010. (In Chinese)
- Li, Y.; Han, J.; Liu, J. Study on torsional period ratio control index for seismic design of building structures. J. Build. Struct. 2009, 30, 77–85. (In Chinese) [Google Scholar]
- Sadek, A.W.; Tso, W.K. Strength eccentricity concept for inelastic analysis of asymmetrical structures. Eng. Struct. 1989, 11, 189–194. [Google Scholar] [CrossRef]
- Georgoussis, G.K. Modal eccentricities of asymmetric structures. Struct. Des. Tall Spec. Build. 2006, 15, 339–361. [Google Scholar] [CrossRef]
- Özmen, G.; Girgin, K.; Durgun, Y. Torsional irregularity in multi-story structures. Int. J. Adv. Struct. Eng. 2014, 6, 121–131. [Google Scholar] [CrossRef]
- Ruggieri, S.; Chatzidaki, A.; Vamvatsikos, D.; Uva, G. Reduced-order models for the seismic assessment of plan-irregular low-rise frame buildings. Earthq. Eng. Struct. Dyn. 2022, 51, 3327–3346. [Google Scholar] [CrossRef]
- Shabani, A. A review of graphical user interfaces of OpenSees software framework. Front. Built Environ. 2023, 9, 1233116. [Google Scholar] [CrossRef]
- Kostinakis, K.; Athanatopoulou, A. Incremental dynamic analysis applied to assessment of structure-specific earthquake IMs in 3D R/C buildings. Eng. Struct. 2016, 125, 300–312. [Google Scholar] [CrossRef]
- Zaherdannak, A.; Shabani, A.; Erfani, S. Seismic performance evaluation of special RC frames with gravity steel columns under the base level. Shock Vib. 2020, 2020, 8825258. [Google Scholar] [CrossRef]
- McKenna, F. OpenSees: A framework for earthquake engineering simulation. Comput. Sci. Eng. 2011, 13, 58–66. [Google Scholar] [CrossRef]
- Yang, T.; Schellenberg, A.; Kohama, E. OpenSees Navigator. Berkeley, CA, USA: Pacific Earthquake Engineering Research Center. 2017. Available online: https://openseesnavigator.berkeley.edu/ (accessed on 9 December 2023).
- Chen, J. OSLite-0.7.3 [Software]. 2022. Available online: http://www.oslite.tech/ (accessed on 30 September 2022).
- Zhou, Y.; Ge, P.; Han, J.; Lu, Z. Vector-valued intensity measures for incremental dynamic analysis. Soil Dyn. Earthq. Eng. 2017, 100, 380–388. [Google Scholar] [CrossRef]
- Marusic, D.; Fajfar, P. On the inelastic seismic response of asymmetric buildings under bi–axial excitation. Earthq. Eng. Struct. Dyn. 2005, 34, 943–963. [Google Scholar]
- Shibata, A.; Onose, J.; Shiga, T. Torsional response of buildings to strong earthquake motions. In Proceedings of the 7th World Conference on Earthquake Engineering, Istanbul, Turkey, 8–13 September 1980; pp. 123–138. [Google Scholar]
- Marante, M.; Flόrez–Lόpez, J. Model of damage for RC elements subjected to biaxial bending. Eng. Struct. 2002, 24, 1141–1152. [Google Scholar] [CrossRef]
- Köylüoğlu, H.U.; Nielsen, S.R.; Abbott, J.; Cahmak, A.S. Local and modal damage indicators for RC frames subject to earthquakes. J. Eng. Mech. 1998, 124, 1371–1379. [Google Scholar] [CrossRef]
- DiPasquale, E.; Ju, J.W.; Askar, A.; Çakmak, A.S. Relation between global damage indices and local stiffness degradation. J. Struct. Eng. 1990, 116, 1440–1456. [Google Scholar] [CrossRef]
- Zhu, H.W.; Wang, K.P.; Tang, S.G. Modal damage index and its application in structure damage assessment. J. Tongji Univ. Nat. Sci. Ed. 2004, 32, 1589–1592. (In Chinese) [Google Scholar]
- Wang, M.F. Seismic damage model of tall building structure based on modal damage indices. Earthq. Resist. Eng. Retrofit. 2008, 30, 24–32. (In Chinese) [Google Scholar]
- He, Z.; Ou, X.; Ou, J. A macro-level global seismic damage model considering higher modes. Earthq. Eng. Eng. Vib. 2014, 13, 425–436. [Google Scholar] [CrossRef]
- He, Z.; Zhu, Z.; Guo, X.; Liu, T.; Hu, Y. Development of a macroscopic global seismic damage model for lattice shell structures. J. Struct. Eng. 2017, 143, 04016174. [Google Scholar] [CrossRef]
- He, Z.; Guo, X.; Zhang, Y.; Ou, X. A global seismic damage model of RC structures based on structural modal properties. J. Struct. Eng. 2018, 144, 04018171. [Google Scholar] [CrossRef]
- Zhang, Y.; Luo, Y.; Guo, X.; Li, Y.; Huang, Q. A new seismic damage assessment method for single-layer steel latticed shells considering multi-modal contribution. Structures 2021, 33, 4670–4689. [Google Scholar] [CrossRef]
- Ghobarah, A.; Abou-Elfath, H.; Biddah, A. Response-based damage assessment of structure. Earthq. Eng. Struct. Dyn. 1999, 28, 79–104. [Google Scholar] [CrossRef]
- GB 50011-2010; Code for Seismic Design of Buildings (2016 Edition). China Architecture and Building Press: Beijing, China, 2016. (In Chinese)
- Mergos, P.E.; Kappos, A.J. Seismic damage analysis including inelastic shear–flexure interaction. Bull. Earthq. Eng. 2010, 8, 27–46. [Google Scholar] [CrossRef]
- Morales, C.A. Comments on the MAC and the NCO, and a linear modal correlation coefficient. J. Sound Vib. 2005, 282, 529–537. [Google Scholar] [CrossRef]
- Zhang, Q.; Wei, Z.Y.; Gu, X.L.; Yang, Q.C.; Li, S.Y.; Zhao, Y.S. Confinement behavior and stress–strain response of square concrete columns strengthened with carbon textile reinforced concrete (CTRC) composites. Eng. Struct. 2022, 266, 114592. [Google Scholar] [CrossRef]
- Vamvatsikos, D.; Cornell, C.A. Incremental dynamic analysis. Earthq. Eng. Struct. Dyn. 2002, 31, 491–514. [Google Scholar] [CrossRef]
- He, Z.; Sun, C. Seismic response analysis of super high-rise frame-core tube structure using improved nonlinear layered shell model. Eng. Mech. 2018, 35, 173–181. (In Chinese) [Google Scholar]








| Principal Vibration Direction | The First Mode | The Second Mode | … | The nth Mode | |||
|---|---|---|---|---|---|---|---|
| Initial | Damaged | Initial | Damaged | Initial | Damaged | ||
| x | ϕx1 | ϕ′x1 | ϕx2 | ϕ′x2 | … | ϕxn | ϕ′xn, |
| y | ϕy1 | ϕ′y1 | ϕy2 | ϕ′y2 | … | ϕyn | ϕ′yn, |
| torsion | ϕθ1 | ϕ′θ1 | ϕθ2 | ϕ′θ2 | … | ϕθn | ϕ′θn |
| Component | Cross Section (mm × mm) | Longitudinal Reinforcement | Transverse Reinforcement | |||
|---|---|---|---|---|---|---|
| Yield Strength (MPa) | Amount | Yield Strength (MPa) | Amount | |||
| Top | Bottom | |||||
| Beam | 300 × 600 | 335 | 6d25 | 6d25 | 235 | d12@100 |
| Column (C1) | 500 × 500 | 335 | 16d25 | 235 | d12@100 | |
| Shear Wall (W1) | 200 × 6000 | 335 | d10@150 | 335 | d8@100 | |
| No. | Name | Station | M |
|---|---|---|---|
| 1 | Hector Mine | Heart Bar State Park | 7.13 |
| 2 | Imperial Valley | El Centro Array #13 | 6.53 |
| 3 | Kobe, Japan | Tadoka | 6.9 |
| 4 | Loma Prieta | Saratoga—Aloha Ave | 6.93 |
| 5 | Kobe, Japan | Abeno | 6.9 |
| 6 | Manjil, Iran | Abbar | 7.37 |
| 7 | Superstition Hills | Brawley Airport | 6.54 |
| 8 | Cape Mendocino | Loleta Fire Station | 7.01 |
| 9 | San Fernando | Whittier Narrows Dam | 6.61 |
| 10 | Chi-Chi, China | San Onofre—So Cal Edison | 7.62 |
| 11 | Borrego Mtn | Bishop—LADWP South St | 6.63 |
| 12 | Chalfant Valley | R109 (temp) | 6.19 |
| 13 | Denali Alaska | TAPS Pump Station #08 | 7.9 |
| Mode | Period (s) | Direction Coefficients | Principal Vibration Direction | ||
|---|---|---|---|---|---|
| x-Direction | y-Direction | Torsional-Direction | |||
| 1 | 0.600 | 1.00 | 0.00 | 0.00 | x |
| 2 | 0.596 | 0.00 | 0.35 | 0.65 | Torsion |
| 3 | 0.191 | 0.00 | 0.38 | 0.62 | Torsion |
| 4 | 0.190 | 1.00 | 0.00 | 0.00 | x |
| 5 | 0.179 | 0.00 | 0.61 | 0.39 | y |
| 6 | 0.106 | 0.00 | 0.34 | 0.66 | Torsion |
| 7 | 0.104 | 1.00 | 0.00 | 0.00 | x |
| 8 | 0.071 | 0.00 | 0.34 | 0.66 | Torsion |
| 9 | 0.066 | 1.00 | 0.00 | 0.00 | x |
| 10 | 0.051 | 0.00 | 0.35 | 0.65 | Torsion |
| 11 | 0.047 | 0.00 | 0.66 | 0.34 | y |
| 12 | 0.043 | 1.00 | 0.00 | 0.00 | x |
| 13 | 0.039 | 0.00 | 0.36 | 0.64 | Torsion |
| 14 | 0.024 | 0.00 | 0.66 | 0.34 | y |
| 15 | 0.024 | 1.00 | 0.00 | 0.00 | x |
| 16 | 0.017 | 0.00 | 0.66 | 0.34 | y |
| 17 | 0.013 | 0.00 | 0.65 | 0.35 | y |
| 18 | 0.012 | 0.00 | 0.64 | 0.36 | y |
| Mode | Period (s) | Direction Coefficients | Principal Vibration Direction | ||
|---|---|---|---|---|---|
| x-Direction | y-Direction | Torsional-Direction | |||
| 1 | 0.958 | 0.00 | 0.36 | 0.64 | Torsion |
| 2 | 0.779 | 1.00 | 0.00 | 0.00 | x |
| 3 | 0.319 | 0.00 | 0.65 | 0.35 | y |
| 4 | 0.285 | 0.00 | 0.33 | 0.67 | Torsion |
| 5 | 0.240 | 1.00 | 0.00 | 0.00 | x |
| 6 | 0.154 | 0.00 | 0.34 | 0.66 | Torsion |
| 7 | 0.130 | 1.00 | 0.00 | 0.00 | x |
| 8 | 0.100 | 0.00 | 0.34 | 0.66 | Torsion |
| 9 | 0.082 | 1.00 | 0.00 | 0.00 | x |
| 10 | 0.070 | 0.00 | 0.34 | 0.66 | Torsion |
| 11 | 0.057 | 0.00 | 0.66 | 0.34 | y |
| 12 | 0.051 | 1.00 | 0.00 | 0.00 | x |
| 13 | 0.050 | 0.00 | 0.36 | 0.64 | Torsion |
| 14 | 0.027 | 0.00 | 0.66 | 0.34 | y |
| 15 | 0.026 | 1.00 | 0.00 | 0.00 | x |
| 16 | 0.019 | 0.00 | 0.66 | 0.34 | y |
| 17 | 0.015 | 0.00 | 0.65 | 0.35 | y |
| 18 | 0.012 | 0.00 | 0.65 | 0.35 | y |
Disclaimer/Publisher’s Note: The statements, opinions and data contained in all publications are solely those of the individual author(s) and contributor(s) and not of MDPI and/or the editor(s). MDPI and/or the editor(s) disclaim responsibility for any injury to people or property resulting from any ideas, methods, instructions or products referred to in the content. |
© 2024 by the authors. Licensee MDPI, Basel, Switzerland. This article is an open access article distributed under the terms and conditions of the Creative Commons Attribution (CC BY) license (https://creativecommons.org/licenses/by/4.0/).
Share and Cite
Guo, X.; Liu, S.; Wang, X.; Yang, F.; Zhang, Y. A Three-Dimensional Seismic Damage Assessment Method for RC Structures Based on Multi-Mode Damage Model. Buildings 2024, 14, 739. https://doi.org/10.3390/buildings14030739
Guo X, Liu S, Wang X, Yang F, Zhang Y. A Three-Dimensional Seismic Damage Assessment Method for RC Structures Based on Multi-Mode Damage Model. Buildings. 2024; 14(3):739. https://doi.org/10.3390/buildings14030739
Chicago/Turabian StyleGuo, Xiang, Shuo Liu, Xiang Wang, Fujian Yang, and Yantai Zhang. 2024. "A Three-Dimensional Seismic Damage Assessment Method for RC Structures Based on Multi-Mode Damage Model" Buildings 14, no. 3: 739. https://doi.org/10.3390/buildings14030739
APA StyleGuo, X., Liu, S., Wang, X., Yang, F., & Zhang, Y. (2024). A Three-Dimensional Seismic Damage Assessment Method for RC Structures Based on Multi-Mode Damage Model. Buildings, 14(3), 739. https://doi.org/10.3390/buildings14030739

