Finite Element Analysis of Axial Compression Behavior of L-Shaped Concrete-Filled Steel Tubular Columns with Different Combinations
Abstract
1. Introduction
2. Test Profile
3. Finite Element Model (FEM)
3.1. Model Unit Selection and Meshing
3.2. Material Constitutive Relations
3.2.1. Steel Constitutive Relation
3.2.2. Concrete Constitutive Relation
3.3. Model Interactions and Boundary Conditions
4. Model Verification
4.1. Load–Displacement Curve Comparison
4.2. Failure Mode Comparison
5. Axial Compression Mechanism Analysis
5.1. Analysis of the Whole Stress Process of the Specimens
- (1)
- O–A: The specimen is essentially in the elastic stage, where the load is increasing linearly and the steel pipes and concrete are each in a state of independent compression. The load–displacement curve of the steel pipe turns at point A, when the axial stress meets the yield stress of the steel pipe, and the slope of the specimen curve continues to decline.
- (2)
- A–B: The specimen is in an elastic–plastic stage. Following point A, the load of the steel pipe still increases to a certain extent, and the load proportion of concrete continues to increase. The small cracks and lateral deformation inside the concrete gradually increase, and the stiffness of the specimen decreases to a certain extent.
- (3)
- B–C: The specimen is in a plastic stage. Following point B, the overall bearing capacity of the specimen and the load of the concrete continue to increase. Moreover, due to the constraint effect of the steel pipe on the concrete, the bearing capacity of the concrete exceeds the compressive strength of the concrete block, while the load of the steel pipe begins to decrease to varying degrees. Compared to the other specimens, the 60° and 135° specimens exhibited more local buckling of the outer steel pipe, resulting in a more pronounced decrease in the load of the outer steel pipe. The outer steel pipes of the equal-limb specimen and the F-type specimen have a stronger constraint effect on the concrete than the unequal-limb specimen and the C-type specimen, resulting in a more significant rise in the load of the concrete of specimens ACD-1-90°-600 and AF-1.5-90°-600.
- (4)
- C–D: The specimen is in the softening stage. Following point C, except Figure 10b,d, the overall bearing capacity of the rest of the specimens first shows a significant decrease and then tends to stabilize. The load of concrete gradually decreases due to intensified damage, while the load of the outer and inner steel pipe walls tends to stabilize.
5.2. Stress Analysis of Concrete
5.3. Stress Analysis of Steel Pipe
5.4. Interaction between Steel Pipes and Concrete
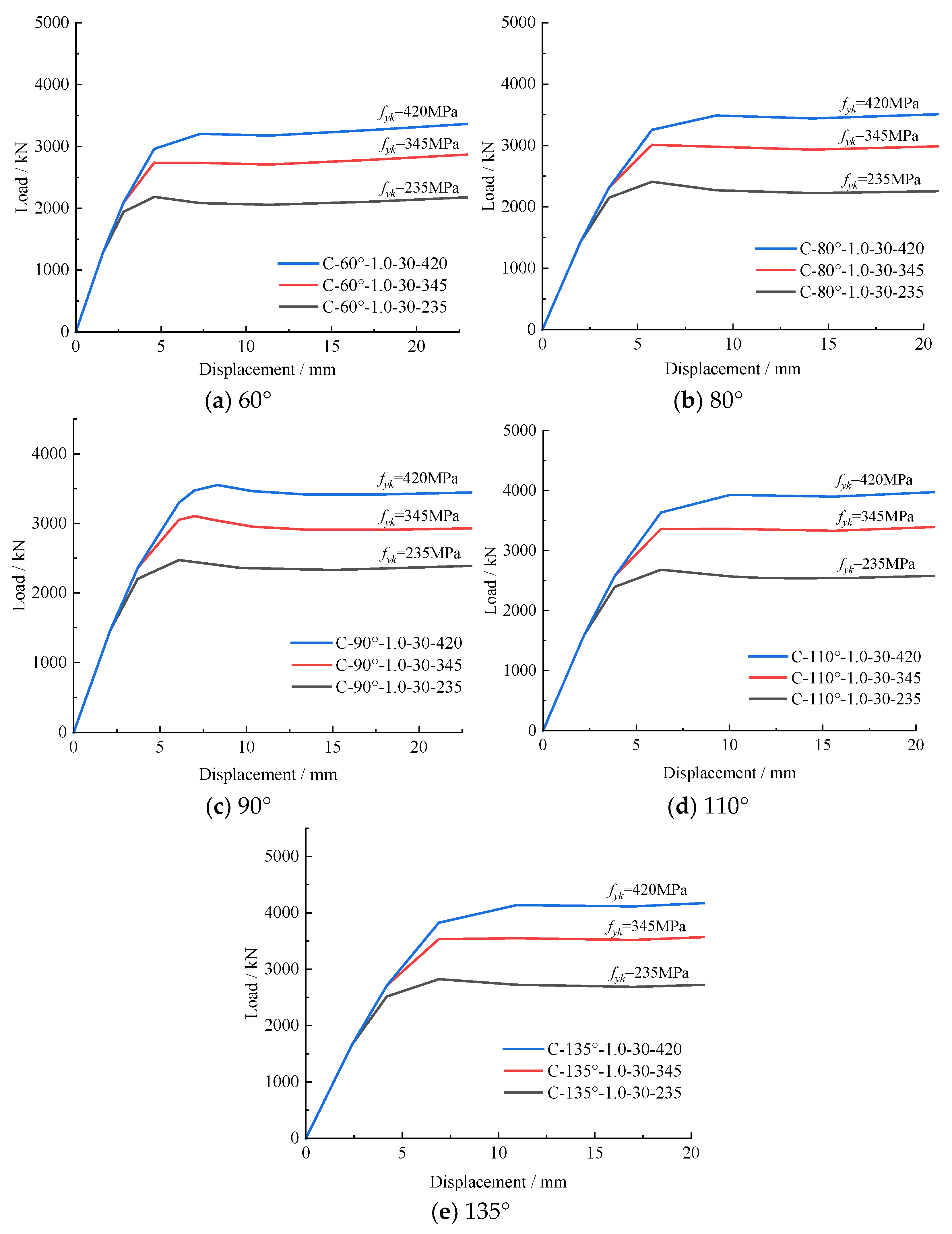
6. Parametric Analysis
6.1. Steel Strength
6.2. Concrete Strength
6.3. Length Ratio of Long Limb to Short Limb
6.4. Angle between Two Limbs
6.5. Combination Method
7. Conclusions
- (1)
- The results obtained through the FEM are in good agreement with the test results in terms of axial compression load–displacement curves and failure modes. The maximum difference between the ultimate bearing capacity results of FEA and testing is 8.7%, with a standard deviation of 0.12, indicating that this modeling method can be used for analyzing the axial compression mechanism of L-shaped CFST columns.
- (2)
- The angle between the two limbs has a significant impact on the stress distribution of concrete and steel pipes. The corner effect increases as the angle between the two limbs decreases. In the elastic–plastic stage, the concrete stress at the internal corner of the specimen with an included angle of 60° increases from 21.92 MPa to 24.00 MPa, and the stress at the external corner increases from 29.25 MPa to 34.14 MPa, and the maximum stress area at the external corner gradually decreases. As for the specimen with an angle of 135°, the stress at the internal corner decreases from 22.22 MPa to 20.53 MPa. The steel pipe stress of the specimen with an angle of 60° concentrates towards the end cavity, while the outer edge of the steel pipe is always in a condition of tensile stress due to the overall bending of the 135° specimen.
- (3)
- In terms of the contact stress between steel pipes and concrete, the combination of F-type specimens can better impose the constraint effect of steel pipes on concrete. The triangular cavity of unequal-limb specimens and specimens with an included angle of 60° cannot effectively exert the interaction between steel pipes and concrete.
- (4)
- The initial stiffness of the L-shaped CFST columns increases by 17.92% with increased concrete strength and decreases by 47.40% with increased limb length ratio. It is not sensitive to changes in steel strength or the angle between the two limbs. The peak bearing capacity increases by 64.41% and 41.75% with increased steel strength and concrete strength, respectively. Compared to C-type and Z-type specimens, the initial stiffness of F-type specimens is slightly higher, and its peak bearing capacity is significantly increased.
- (5)
- L-shaped CFST columns exhibit favorable axial compressive behavior, and their research and engineering applications support the advancement of assembled steel structure residential buildings. In actual projects, F-type equal-limb specimens can be used in priority; for special-angled L-shaped CFST columns, the angle between the two limbs should be considered in terms of the specimen’s corner effect and stress distribution, and certain strengthening measures should be taken.
Author Contributions
Funding
Data Availability Statement
Conflicts of Interest
References
- United Nations Environment Programme. Emissions Gap Report 2020–Executive Summary: DEW/2310/NA; UNEP: Nairobi, Kenya, 2020. [Google Scholar]
- Hawkins, W.; Cooper, S.; Allen, S.; Roynon, J.; Ibell, T. Embodied carbon assessment using a dynamic climate model: Case-study comparison of a concrete, steel and timber building structure. Structures 2021, 33, 90–98. [Google Scholar] [CrossRef]
- Su, X.; Zhang, X. A detailed analysis of the embodied energy and carbon emissions of steel-construction residential buildings in China. Energy Build. 2016, 119, 323–330. [Google Scholar] [CrossRef]
- Zeitz, A.; Griffin, C.T.; Dusicka, P. Comparing the embodied carbon and energy of a mass timber structure system to typical steel and concrete alternatives for parking garages. Energy Build. 2019, 199, 126–133. [Google Scholar] [CrossRef]
- Song, Z.; Luo, X.; Ge, J. Research on carbon emission in materialization stage of steel structure fabricated residence. Archit. Technol. 2023, 54, 158–162. [Google Scholar]
- Li, Q.; Yue, Q.; Feng, P.; Xie, N.; Liu, Y. Development status and prospect of steel structure industry based on carbon peak and carbon neutrality target. Prog. Steel Build. Struct. 2022, 24, 1–6+23. [Google Scholar] [CrossRef]
- Zong, D. Research on Design of Prefabricated Steel Structure Residence Based on DFMA. Ph.D. Thesis, Chongqing University, Chongqing, China, 2022. [Google Scholar]
- Zuo, Z.-L.; Cai, J.; Yang, C.; Chen, Q.-J. Eccentric load behavior of L-shaped CFT stub columns with binding bars. J. Constr. Steel Res. 2012, 72, 105–118. [Google Scholar] [CrossRef]
- Zhou, T.; Chen, Z.; Liu, H. Seismic behavior of special shaped column composed of concrete filled steel tubes. J. Constr. Steel Res. 2012, 75, 131–141. [Google Scholar] [CrossRef]
- Shen, Z.-Y.; Lei, M.; Li, Y.-Q.; Lin, Z.-Y.; Luo, J.-H. Experimental Study on Seismic Behavior of Concrete-Filled L-Shaped Steel Tube Columns. Adv. Struct. Eng. 2013, 16, 1235–1247. [Google Scholar] [CrossRef]
- Zheng, Y.; Yang, S.; Lai, P. Hysteretic behavior of multi-cell L-shaped concrete-filled steel tubular columns at different loading angles. Eng. Struct. 2020, 202, 109887. [Google Scholar] [CrossRef]
- Du, G.; Zhang, J.; Li, Y.; Zhang, J.; Zeng, L. Experimental study on hysteretic model for L-shaped concrete-filled steel tubular column subjected to cyclic loading. Thin-Walled Struct. 2019, 144, 106278. [Google Scholar] [CrossRef]
- Chen, H.; Wang, L.; Chen, H.; Cui, W. Experimental study on the seismic behavior of prefabricated L-shaped concrete-filled steel tube with rectangular multi-cell columns under different lateral loading directions. J. Constr. Steel Res. 2021, 177, 106480. [Google Scholar] [CrossRef]
- Zhang, W.; Chen, Z.; Xiong, Q. Performance of L-shaped columns comprising concrete-filled steel tubes under axial compression. J. Constr. Steel Res. 2018, 145, 573–590. [Google Scholar] [CrossRef]
- Wang, Y.; Guo, L.; Li, H. L-shaped steel-concrete composite columns under axial load: Experiment, simulations and design method. J. Constr. Steel Res. 2021, 185, 106871. [Google Scholar] [CrossRef]
- Wang, Z.; Liu, Z.; Zhou, X.J. Experimental Investigation of Special-Shaped Concrete-Filled Square Steel Tube Composite Columns with Steel Hoops under Axial Loads. Materials 2022, 15, 4179. [Google Scholar] [CrossRef]
- Zhang, L.; Zhang, Y.J.; Tong, J.Z.; Tong, G.S.; Fu, B.; Xu, Y.M. Experimental study on multi-cellular L-shaped CFST slender columns under biaxial eccentric compression. Structures 2022, 45, 2210–2225. [Google Scholar] [CrossRef]
- Zhou, T.; Xu, M.Y.; Chen, Z.H.; Wang, X.D.; Wang, Y.W. Eccentric loading behavior of L-Shaped columns composed of concrete-filled steel tubes. Adv. Steel Constr. 2016, 12, 227–244. [Google Scholar] [CrossRef]
- Zheng, Y.; Zeng, S. Design of L-shaped and T-shaped concrete-filled steel tubular stub columns under axial compression. Eng. Struct. 2020, 207, 110262. [Google Scholar] [CrossRef]
- Lei, M.; Shen, Z.; Li, Y.; Luo, J. Behavior of Concrete-filled T-shaped Steel Tube Intermediate Long Columns Subjected to Axial Loading. J. Tongji Univ. Nat. Sci. 2016, 44, 520–527. [Google Scholar]
- Lei, M.; Shen, Z.; Li, Y.; Luo, J. Sectional Strength of Concrete-filled T-shaped Steel Tube Column Subjected to Axial Compression and Bending Moment. J. Tongji Univ. Nat. Sci. 2016, 44, 348–354. [Google Scholar]
- Lei, M.; Shen, Z.; Li, Y.; Luo, J. Analysis of Behavior of Concrete-filled T-shaped Steel Tube Tall Column Subjected to Uniaxial Eccentric Load. J. Tongji Univ. Nat. Sci. 2016, 44, 207–212. [Google Scholar]
- Liu, X.; Xu, C.; Liu, J.; Yang, Y. Research on special-shaped concrete-filled steel tubular columns under axial compression. J. Constr. Steel Res. 2018, 147, 203–223. [Google Scholar] [CrossRef]
- Liu, J.; Zhou, T.; Lei, Z.; Chen, X.; Chen, Z. Eccentric compression performance of slender L-shaped column composed of concrete-filled steel tubes connected by steel linking plates. J. Constr. Steel Res. 2019, 162, 105675. [Google Scholar] [CrossRef]
- Xiao, Y.; Bie, X.-M.; Song, X.; Zhang, J.; Du, G. Performance of composite L-shaped CFST columns with inner I-shaped steel under axial compression. J. Constr. Steel Res. 2020, 170, 106138. [Google Scholar] [CrossRef]
- Zhang, W.; Li, G.; Xiong, Q.; Gui, H. Seismic behavior of wide-limb special-shaped columns composed of concrete-filled steel tubes. J. Constr. Steel Res. 2023, 205, 107887. [Google Scholar] [CrossRef]
- Chen, X.; Zhou, T.; Chen, Z.; Liu, J.; Jiang, B. Mechanical properties of special-shaped concrete-filled steel tube columns under eccentric compression. J. Constr. Steel Res. 2020, 167, 105779. [Google Scholar] [CrossRef]
- Liu, L.; Tu, Y.; Ye, Y. Finite element analysis of L-shaped concrete filled steel tubular column based on ABAOUS. J. Shenyang Univ. Technol. 2011, 33, 349–354. [Google Scholar]
- Tu, Y.; Wen, Q. Bearing capacity calculation of L-shaped concrete filled steel tubular columns subjected to axial compression. J. Build. Struct. 2013, 34, 314–320. [Google Scholar] [CrossRef]
- Huang, H.; Wang, Y.; Zhang, L.Q.; Chen, M.C.; Zhu, Y.Q. Study on the mechanical behavior of L-shaped concrete-filled steel tubular columns under axial compression. Struct. Concr. 2023, 24, 2475–2489. [Google Scholar] [CrossRef]
- Chen, Z.H.; Xu, J.H.; Zhou, T.; Su, J. Seismic research on column base joint of L-shaped CFST columns under cyclic loading. Structures 2022, 45, 1212–1224. [Google Scholar] [CrossRef]
- Zheng, Y.Q.; Liang, W.G.; Ma, S.S.; Zeng, S.X. Behavior of stiffened and multi-cell L-shaped CFST columns under eccentric compression. Thin-Walled Struct. 2022, 174, 109156. [Google Scholar] [CrossRef]
- Han, L.-H. Concrete Filled Steel Tubular Structures from Theory to Practice, 3rd ed.; Science Press: Beijing, China, 2016. [Google Scholar]
- Wang, F.-C.; Han, L.-H. Analytical behavior of special-shaped CFST stub columns under axial compression. Thin-Walled Struct. 2018, 129, 404–417. [Google Scholar] [CrossRef]
- Wang, J.; Tian, C. Seismic Behavior Study of 135 Degree Shaped Column. World Sci-Tech R D 2013, 35, 357–359. [Google Scholar]























| Specimen No. | t/mm | H/mm | Concrete Grade | Steel Grade | du/mm | Nu/KN |
|---|---|---|---|---|---|---|
| AF-1.5-90° | 3.75 | 600 | C35 | Q235 | 11.72 | 2685.8 |
| AFD-1-90° | 3.75 | 600 | C35 | Q235 | 10.12 | 3224.8 |
| AC-1.5-90° | 3.75 | 600 | C35 | Q235 | 7.46 | 2311.9 |
| ACD-1-90° | 3.75 | 600 | C35 | Q235 | 10.55 | 2975.0 |
| AZ-1.5-90° | 3.75 | 600 | C35 | Q235 | 7.97 | 2229.5 |
| AZD-1-90° | 3.75 | 600 | C35 | Q235 | 8.54 | 2945.8 |
| ACD-1-60° | 3.75 | 1200 | C35 | Q235 | 11.15 | 2315.2 |
| ACD-1-135° | 3.75 | 1200 | C35 | Q235 | 16.61 | 3352.9 |
| Specimen No. | Specimen Size | KFE | KA | NFE | NA | NFE/NA | KFE/KA |
|---|---|---|---|---|---|---|---|
| AF-1.5-90° | 300 × 200 × 100 × 600 | 490 | 374 | 2619.70 | 2679.30 | 1.023 | 1.309 |
| AFD-1-90° | 300 × 300 × 100 × 600 | 589 | 407 | 2938.96 | 3217.85 | 1.095 | 1.448 |
| AC-1.5-90° | 300 × 200 × 100 × 600 | 412 | 349 | 2238.21 | 2310.85 | 1.032 | 1.181 |
| ACD-1-90° | 300 × 300 × 100 × 600 | 632 | 582 | 2837.55 | 2969.25 | 1.046 | 1.086 |
| AZ-1.5-90° | 300 × 200 × 100 × 600 | 412 | 353 | 2238.21 | 2229.53 | 0.996 | 1.167 |
| AZD-1-90° | 300 × 300 × 100 × 600 | 632 | 459 | 2837.55 | 2940.52 | 1.036 | 1.377 |
| ACD-1-60° | 300 × 300 × 100 × 1200 | 367 | 290 | 2418.16 | 2314.62 | 0.957 | 1.262 |
| ACD-1-135° | 300 × 300 × 100 × 1200 | 325 | 287 | 3136.39 | 3352.61 | 1.069 | 1.133 |
| Specimen No. | H/mm | Outer Steel Pipe | Concrete | Internal Steel Pipe Wall |
|---|---|---|---|---|
| AC-1.5-90°-600 | 600 | 48.71% | 38.20% | 13.80% |
| AF-1.5-90°-600 | 600 | 44.29% | 44.66% | 22.32% |
| ACD-1-90°-600 | 600 | 45.08% | 44.66% | 10.89% |
| ACD-1-90°-1200 | 1200 | 49.86% | 40.46% | 7.54% |
| ACD-1-60°-1200 | 1200 | 47.27% | 44.95% | 12.41% |
| ACD-1-135°-1200 | 1200 | 46.52% | 45.65% | 13.23% |
| Parameter | Rate of Change in Initial Stiffness | Rate of Change in Peak Bearing Capacity |
|---|---|---|
| Steel strength | 0.12% | 64.41% |
| Concrete strength | 17.92% | 41.75% |
| Limb length ratio | −47.40% | −36.80% |
| Angle between two limbs | −2.63% | 34.74% |
Disclaimer/Publisher’s Note: The statements, opinions and data contained in all publications are solely those of the individual author(s) and contributor(s) and not of MDPI and/or the editor(s). MDPI and/or the editor(s) disclaim responsibility for any injury to people or property resulting from any ideas, methods, instructions or products referred to in the content. |
© 2024 by the authors. Licensee MDPI, Basel, Switzerland. This article is an open access article distributed under the terms and conditions of the Creative Commons Attribution (CC BY) license (https://creativecommons.org/licenses/by/4.0/).
Share and Cite
Li, H.; Tao, Z.; Han, D. Finite Element Analysis of Axial Compression Behavior of L-Shaped Concrete-Filled Steel Tubular Columns with Different Combinations. Buildings 2024, 14, 730. https://doi.org/10.3390/buildings14030730
Li H, Tao Z, Han D. Finite Element Analysis of Axial Compression Behavior of L-Shaped Concrete-Filled Steel Tubular Columns with Different Combinations. Buildings. 2024; 14(3):730. https://doi.org/10.3390/buildings14030730
Chicago/Turabian StyleLi, Hexiao, Zhong Tao, and Dongji Han. 2024. "Finite Element Analysis of Axial Compression Behavior of L-Shaped Concrete-Filled Steel Tubular Columns with Different Combinations" Buildings 14, no. 3: 730. https://doi.org/10.3390/buildings14030730
APA StyleLi, H., Tao, Z., & Han, D. (2024). Finite Element Analysis of Axial Compression Behavior of L-Shaped Concrete-Filled Steel Tubular Columns with Different Combinations. Buildings, 14(3), 730. https://doi.org/10.3390/buildings14030730
