Degradation of Mechanical Performance of Hoop Head Tenon-Mortise Joint of Tusi Manor with Decay Disease in Tibetan Areas in Yunnan
Abstract
1. Introduction
2. Materials and Methods
2.1. HHTMJ Specimen
2.2. Mechanical Properties Testing Specimens
2.3. Decay Method
2.4. Mechanical Properties of Wood
2.5. HHMTJ Loading Device and Method
3. Results and Analysis
3.1. Failure Mode
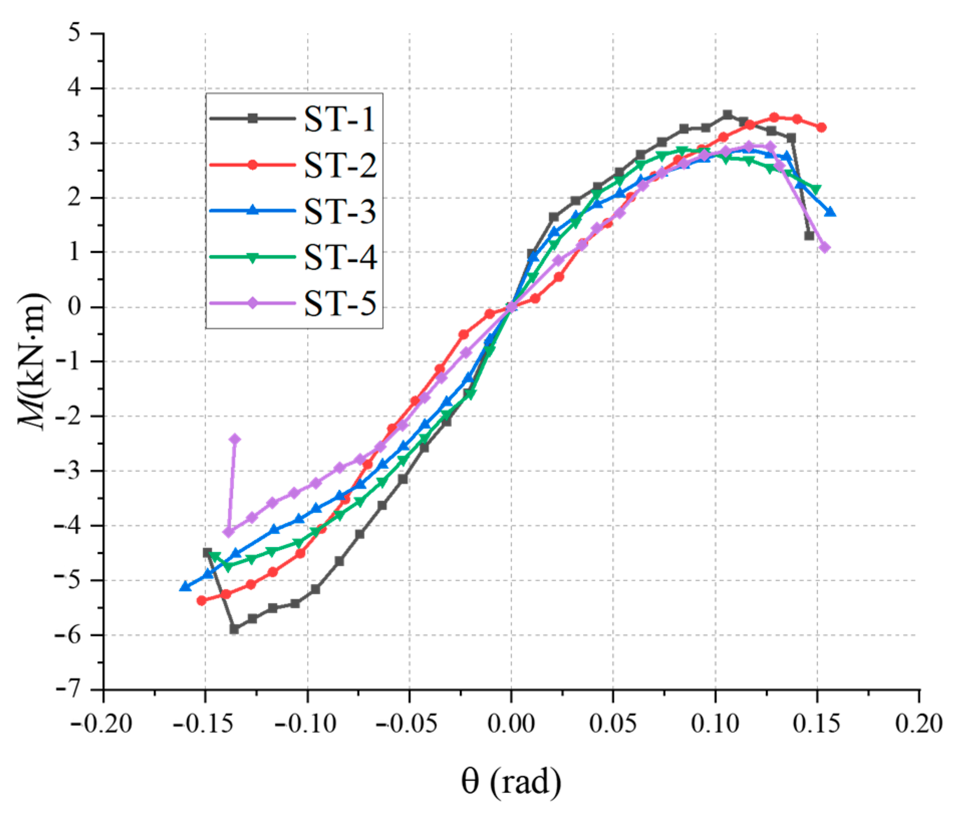
3.2. Hysteresis Curve and Skeleton Curve
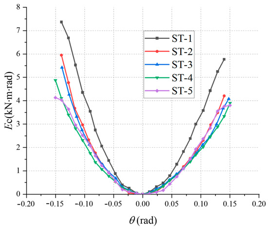
3.3. Strength and Stiffness Degradation
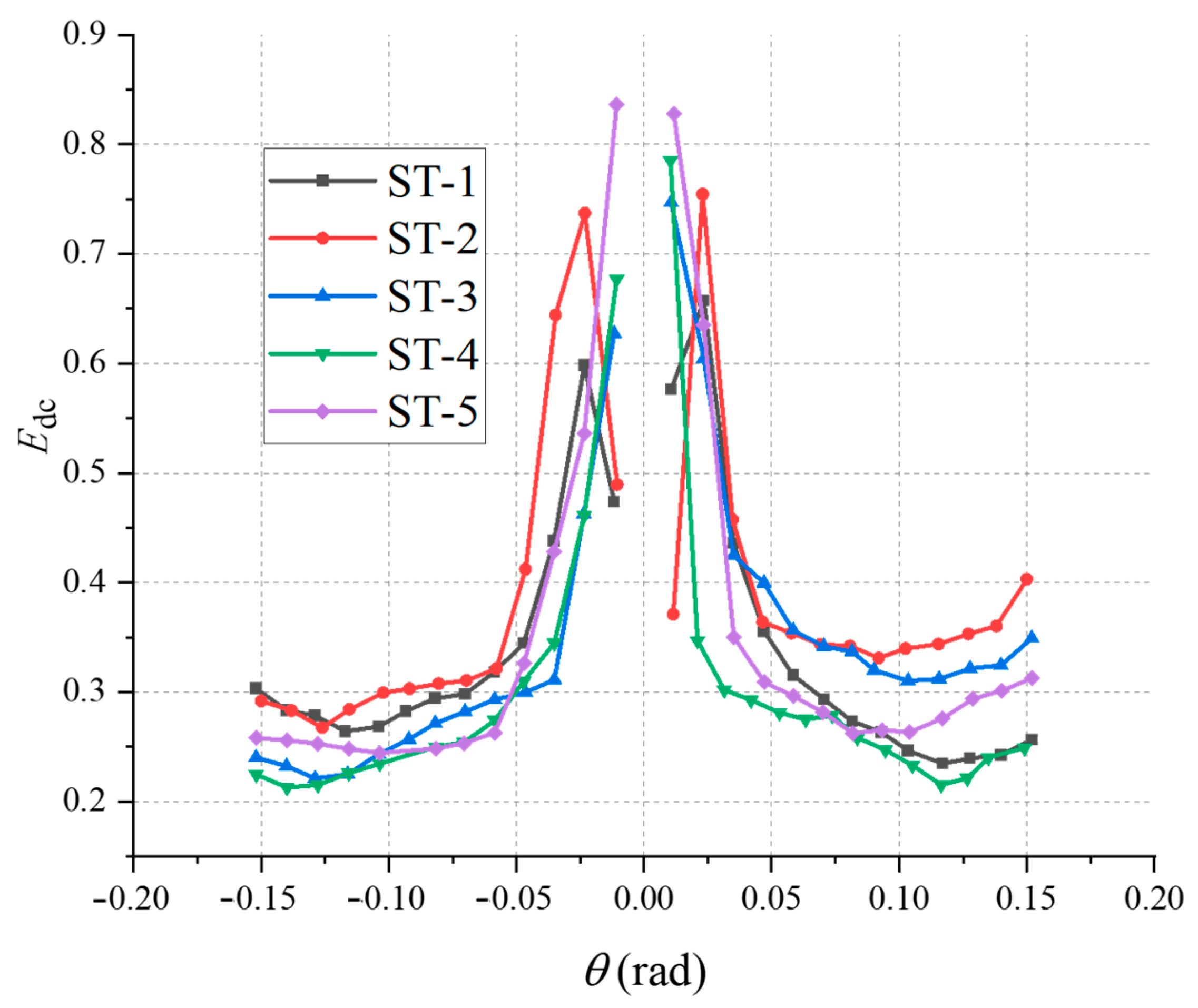
3.4. Energy Dissipation Capacity Degradation
3.4.1. Energy Dissipation Capacity Degradation
3.4.2. Energy Dissipation Degradation
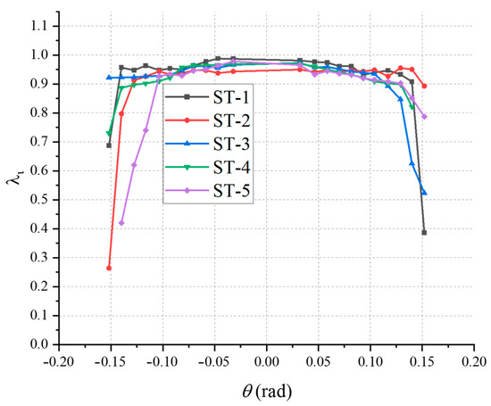
3.5. Degradation of HHTMJ Rotation Capacity
4. The Impact of Mechanical Performance Degradation on the Seismic Degradation of HHTMJ
5. Conclusions
- (1)
- Under the action of low-cycle repeated loading, the damage to HHTMJ occurs mainly in the connection area of tenon and mortise, plastic deformation and fracture of tenon at the shoulder of tenon, and plastic deformation and splitting damage of wood in the contact area between the outside of tenon and the shoulder of tenon. The longer the decay period, the greater the extent of damage to the HHTMJ under the same level of loading. Additionally, more wood chips will detach along the direction of the wood grain at the upper end of the tenon shoulder. Simultaneously, the failure mechanism of HHTMJ during the stress process becomes more intricate.
- (2)
- As the decay cycle increases, the hysteresis curve of the HHTMJ transitions from anti-”S”-type to anti-”Z”-type, and the hysteresis curve becomes less and less full. The elastic loading stage of the skeleton curve decreases, the plastic strengthening stage increases, and the strength and stiffness of the HHMTJ degrade obviously under external force. Compared with the undecayed specimens, the ultimate load-carrying capacity of the HHTMJ decreased by 8.83%, 16.97%, 19.69%, and 30.22% for 6, 12, 18, and 24 weeks of decay, respectively, and the cumulative energy dissipation decreased by 21.6%, 27.4%, 33.2%, and 41.3%, respectively.
- (3)
- The extent of degradation in the transverse compressive strength of wood, treated for decay alongside HHTMJ, closely correlates with the deterioration in HHTMJ seismic performance. Meanwhile, the degradation in the transverse compressive strength of wood taken from decayed tenon joints is roughly half of that observed in the former two cases. Specimens extracted from the decayed tenon interior show little to no degradation, which is also the main reason why decayed HHHMJ maintains a certain level of rotational capability. When evaluating the seismic performance of decayed HHTMJ in ancient buildings, the difference in transverse compressive strength between the interior and exterior woods of tenon can be indirectly used to assess the seismic performance of HHTMJ.
Author Contributions
Funding
Data Availability Statement
Conflicts of Interest
References
- Qi, Y.T. Protection and Maintenance of Ancient Chinese Architecture; Cultural Relics Publishing House: Beijing, China, 1986. (In Chinese) [Google Scholar]
- Dong, J.; Jin, H. The design strategy of green rural housing of Tibetan areas in Yunnan, China. Sel. Pap. World Renew. Energy Congr.—XI 2013, 49, 63–67. [Google Scholar] [CrossRef]
- Brischke, C.; Bayerbach, R.; Rapp, A.O. Decay-influencing factors: A basis for service life prediction of wood and wood-based products. Wood Mater. Sci. Eng. 2006, 1, 91–107. [Google Scholar] [CrossRef]
- Taylor, A.; Lloyd, J.; Shelton, T. An open letter to proponents of CLT/Massive Timber. In Proceedings of the IRG Annual Meeting, Lisbon, Portugal, 15–19 May 2016; p. 7. [Google Scholar]
- Qin, S.; Yang, N. Strength Degradation and Service Life Prediction of Timber in Ancient Tibetan Building. Eur. J. Wood Wood Prod. 2018, 76, 731–747. [Google Scholar] [CrossRef]
- Yang, N.; Jia, Y.T.; Bai, F.; Qin, S.J. Reliability estimation of a Tibetan heritage timber structure with inclination in its Que-Ti joints. Structures 2022, 43, 257–270. [Google Scholar] [CrossRef]
- Chen, Q.; He, Y.; Qiu, K.; Tang, X.; Cai, J.; Yang, C. Theoretical Analysis of Moment Rotation Relationship of Hoop Joint in Guangfu Ancient Architecture Wood Structure. J. Hunan Univ. (Nat. Sci. Ed.) 2019, 46, 65–75. (In Chinese) [Google Scholar] [CrossRef]
- Zhang, B.; Xie, Q.; Liu, Y.; Zhang, L.; Li, S. Effects of gaps on the seismic performance of traditional timber frames with straight mortise-tenon joint: Experimental tests, energy dissipation mechanism and hysteretic model. J. Build. Eng. 2022, 58, 105019. [Google Scholar] [CrossRef]
- Bai, F.; Dong, F.; Sui, Y.; Xue, J.; Wu, C.; Song, D.; Hu, C. Experimental study on fracture damage and seismic performance of loose through-tenon joints in ancient timber structures. Constr. Build. Mater. 2023, 394, 132228. [Google Scholar] [CrossRef]
- He, J.; Yu, P.; Wang, J.; Yang, Q.; Han, M.; Xie, L. Theoretical model of bending moment for the penetrated mortise-tenon joint involving gaps in traditional timber structure. J. Build. Eng. 2021, 42, 103102. [Google Scholar] [CrossRef]
- Yang, Q.; Yu, P.; Law, S.-S. Load resisting mechanism of the mortise-tenon connection with gaps under in-plane forces and moments. Eng. Struct. 2020, 219, 110755. [Google Scholar] [CrossRef]
- King, W.S.; Yen, J.Y.R.; Yen, Y.N.A. Joint characteristics of traditional Chinese wooden frames. Eng. Struct. 1996, 18, 635–644. [Google Scholar] [CrossRef]
- Chen, L.-K.; Li, S.-C.; King, W.-S.; Jiang, L.-Z.; Luo, H.-Z.; Li, Q.-J. How the decayed straight mortise-tenon joints influence the seismic performance of ancient timber building? Evidence from experiment scenarios of the benchmark wood frames. Eng. Fail. Anal. 2020, 116, 104685. [Google Scholar] [CrossRef]
- Chang, P.; Feng, Q.; Han, L.; Yang, N. Experimental Study on Seismic Performance of Hoop Joint under Loose Damage. J. Build. Struct. 2023, 44, 86–96. (In Chinese) [Google Scholar] [CrossRef]
- Chen, Q.; Peng, Z.; Cai, J.; Huang, C.; Tang, X.; Qiu, K.; Yang, C. Research on seismic performance of wooden structure hooped tenon joints in Guangfu ancient architecture. J. Build. Struct. 2019, 40, 168–179. (In Chinese) [Google Scholar] [CrossRef]
- Venäläinen, M.; Partanen, H.; Harju, A. The strength loss of Scots pine timber in an accelerated soil contact test. Int. Biodeterior. Biodegrad. 2014, 86, 150–152. [Google Scholar] [CrossRef]
- Kleindienst, Q.; Besserer, A.; Antoine, M.-L.; Perrin, C.; Bocquet, J.-F.; Bléron, L. Predicting the beech wood decay and strength loss in-ground. Int. Biodeterior. Biodegrad. 2017, 123, 96–105. [Google Scholar] [CrossRef]
- Plaschkies, K.; Jacobs, K.; Scheiding, W.; Melcher, E. Investigations on natural durability of important European wood species against wood decay fungi; Part 1: Laboratory tests. Int. Biodeterior. Biodegrad. 2014, 90, 52–56. [Google Scholar] [CrossRef]
- Ueda, R.; Sawata, K.; Takanashi, R.; Sasaki, Y.; Sasaki, T. Degradation of Shear Performance of Screwed Joints Caused by Wood Decay. J. Wood Sci. 2020, 66, 42. [Google Scholar] [CrossRef]
- Li, S.; Gao, Y.; Brunetti, M.; Macchioni, N.; Nocetti, M.; Palanti, S. Mechanical and physical properties of Cunninghamia lanceolata wood decayed by brown rot. Iforest Biogeosci. For. 2019, 12, 317–322. [Google Scholar] [CrossRef]
- Wang, X.; Xu, Q.; Wang, X.; Guo, J.; Cao, W.; Xiao, C. Strength degradation of wood members based on the correlation of natural and accelerated decay experiments. J. Renew. Mater. 2020, 8, 565–577. [Google Scholar] [CrossRef]
- Conde-García, M.; Tenorio-Ríos, J.A.; Fernández-Golfín, J. Experimental evaluation of the effect of different design conditions on the risk of decay in solid wood exposed to outdoor climate. Mater. Construcción 2021, 71, e247. [Google Scholar] [CrossRef]
- Mi, X.; Li, Y.; Qin, X.; Li, J. Effects of Natural Weathering on Aged Wood from Historic Wooden Building: Diagnosis of the Oxidative Degradation. Herit. Sci. 2023, 11, 109. [Google Scholar] [CrossRef]
- Bažant, Z.P.; Yavari, A. Is the Cause of Size Effect on Structural Strength Fractal or Energetic–Statistical? Eng. Fract. Mech. 2005, 72, 1–31. [Google Scholar] [CrossRef]
- Kim, G.-H.; Barnes, H.M.; Lyon, D.E. Effect of Decay on the Mechanical Properties of Full-Sized Lum-ber. Holzforschung 1994, 48, 145–149. [Google Scholar] [CrossRef]
- Panoutsopoulou, L.; Mouzakis, C. Experimental investigation of the behavior of traditional timber mortise-tenon T-joints under monotonic and cyclic loading. Constr. Build. Mater. 2022, 348, 128655. [Google Scholar] [CrossRef]
- Zhang, C.; Chun, Q.; Lin, Y.; Han, Y.; Jia, X. Quantitative assessment method of structural safety for complex timber structures with decay diseases. J. Build. Eng. 2021, 44, 103355. [Google Scholar] [CrossRef]
- Udele, K.E.; Morrell, J.J.; Cappellazzi, J.; Sinha, A. Characterizing properties of fungal-decayed cross laminated timber (CLT) connection assemblies. Constr. Build. Mater. 2023, 409, 134080. [Google Scholar] [CrossRef]
- Ma, L.; Xue, J.; Zhang, X. Seismic Performance Evaluation of Damaged Ancient Timber Structures with Looseness Mortise-Tenon Joints. Int. J. Archit. Herit. 2023, 17, 2054–2068. [Google Scholar] [CrossRef]
- Chen, L.; Li, S.; Wang, Y.; Zhao, Y.; Zhang, M.; Song, X.; Li, X.; Wu, T.; Jiang, L. Experimental Study on the Seismic Behaviour of Mortise–Tenon Joints of the Ancient Timbers. Struct. Eng. Int. 2017, 27, 512–519. [Google Scholar] [CrossRef]
- GB/T 1927.2-2021; Test Methods for Physical and Mechanical Properties of Small Clear Wood Specimens—Part 2: Sampling Methods and General Requirements. Standardization Administration of the People’s Republic of China: Beijing, China, 2021. (In Chinese)
- GB/T 1927.10-2021; Test Methods for Physical and Mechanical Properties of Small Clear Wood Specimens—Part 10: Determination of Modulus of Elasticity in Bending. Standardization Administration of the People’s Republic of China: Beijing, China, 2021. (In Chinese)
- GB/T 1927.13-2022; Test Methods for Physical and Mechanical Properties of Small Clear Wood Specimens—Part 13: Determination of the Modulus of Elasticity in Compression Perpendicular to Grain. Standardization Administra-tion of the People’s Republic of China: Beijing, China, 2022. (In Chinese)
- GB/T 15777-2017; Method for Determination of the Modulus of Elasticity in Compression Parallel to Grain of Wood. Standardization Administration of the People’s Republic of China: Beijing, China, 2017. (In Chinese)
- Liang, W.; Lan, J.; Zou, Z.; Zhu, Z.; Zhai, S.; Mo, Y.; Li, X.; Meng, S.; Cai, Y. Seismic behavior of Chuan-dou timber frames with different infilled walls. Constr. Build. Mater. 2022, 327, 126906. [Google Scholar] [CrossRef]
- Ma, L.; Xue, J.; Dai, W.; Zhang, X.; Zhao, X. Moment-rotation relationship of mortise-through-tenon connections in historic timber structures. Constr. Build. Mater. 2020, 232, 117285. [Google Scholar] [CrossRef]
- Hu, L.; Liu, L.; Wang, G.; Wu, J. Identification of decaying fungi on beams and columns of buildings in the Old Town of Lijiang. Mycol. Res. 2016, 14, 153–156. (In Chinese) [Google Scholar] [CrossRef]
- GB/T 13942.1-2009; Forestry RIoWICAo, Durability of Wood—Part. 1: Method for Laboratory Test of Natural Decay Resistance, General Administration of Quality Supervision, Inspection and Quarantine of the People’s Republic of China. Standardization Administration of the People’s Republic of China: Beijing, China, 2009; p. 12. (In Chinese)
- Yang, Z.; Jiang, Z.; Reng, H.; Qin, D. An Accelerated Laboratory Test Method to Assess Wood Decay. China Wood Ind. 2007, 04, 12–14+20. (In Chinese) [Google Scholar] [CrossRef]
- Bouslimi, B.; Koubaa, A.; Bergeron, Y. Effects of biodegradation by brown-rot decay on selected wood properties in eastern white cedar (Thuja occidentalis L.). Int. Biodeterior. Biodegrad. 2014, 87, 87–98. [Google Scholar] [CrossRef]
- ASTM D2017-05; Standard Method of Accelerated Laboratory Test of Natural Decay Resistance of Wood. American Society for Testing and Materials: West Conshohocken, PA, USA, 2008.
- JGJ 101-2015; Specification of Test Methods for Earthquake Resistant Building. China Academy of Building Research: Beijing, China, 1996.
- Lacourt, P.A.; Crisafulli, F.J.; Mirasso, A.E. Finite element modelling of hysteresis, degradation and failure of dowel type timber joints. Eng. Struct. 2016, 123, 89–96. [Google Scholar] [CrossRef]
- EN 12512:2001; Timber Structures-Test Methods-Cyclic Testing of Joints Made with Mechanical Fasteners. European Committee for Standardization: Bruxelles, Belgium, 2001.
- GB 50165-1992; National Technical Committee for Timber and Composite Materials Standards, Technical Code for Maintenance and Strengthing of Ancient Timber Buildings. Sichuan Institute of Building Research: Chengdu, China, 1992.





















| Mechanical Property/COV Decreased Percentage (%) | Culture Time (Week) | ||||
|---|---|---|---|---|---|
| 0 | 6 | 12 | 18 | 24 | |
| Compressive stress perpendicular to grain (fcno/NDO) (MPa) | 3.36/16.2 | 3.27/12.3 | 3.46/12.6 | 3.46/17.6 | 3.30/14.6 |
| Compressive stress perpendicular to grain (fco/DO) (MPa) | 3.35/18.21 0.3% | 3.12/25.32 4.6% | 3.19/22.4 7.9% | 2.97/22.4 13.9% | 2.69/24.1 18.4% |
| Compressive stress perpendicular to grain (fcni/NDI) (MPa) | 3.36/19.3 | 3.33/12.3 | 3.48/14.7 | 3.47/15.3 | 3.32/14.4 |
| Compressive stress perpendicular to grain (fci/DI) (MPa) | 3.36/21.22 0% | 3.33/14.5 0% | 3.48/15.6 0% | 3.46/13.9 0.3% | 3.30/15.8 0.6% |
| Compressive stress perpendicular to grain (fc/MPa) | 3.42/13.3 0.0% | 3.03/14.9 11.3% | 2.79/13.4 18.4% | 2.40/9.8 29.8% | 2.27/16.6 33.6% |
| Flexible strength parallel to grain (MPa) | 76.14/16.6 0.0% | 61.13/15.60 19.7% | 59.04/12.53 22.4% | 57.71/22.33 24.2% | 45.98/21.6 39.6% |
| Tensile strength parallel to grain (MPa) | 59.71/7.44 0.0% | 45.61/15.55 23.6% | 43.52/17.53 27.1% | 34.87/23.12 41.6% | 31.88/30.12 46.6% |
| Elastic modulus specifications parallel to grain (MPa) | 9156/6.41 0.0% | 8744/7.22 4.5% | 8208/9.60 10.3% | 7864/9.62 14.1% | 7770/10.8 15.1% |
| Elastic modulus specifications specific to the grain (radial plane (MPa) | 693/7.8 0.0% | 679/9.1 2.2% | 656/8.9 5.3% | 640/11.3 7.6% | 615/13.3 11.3% |
| Elastic modulus specifications specific to the grain (chord plane (MPa) | 534/9.2 0.0% | 498/10.5 6.7% | 451/10.9 15.5% | 444/16.3 16.9% | 441/17.9 17.4% |
| Mass loss (%) | 55.84/12.3 0.0% | 54.6/19.7 2.2% | 52.29/22.6 6.4% | 50.67/21.3 9.3% | 49.53/24.63 11.3% |
Disclaimer/Publisher’s Note: The statements, opinions and data contained in all publications are solely those of the individual author(s) and contributor(s) and not of MDPI and/or the editor(s). MDPI and/or the editor(s) disclaim responsibility for any injury to people or property resulting from any ideas, methods, instructions or products referred to in the content. |
© 2024 by the authors. Licensee MDPI, Basel, Switzerland. This article is an open access article distributed under the terms and conditions of the Creative Commons Attribution (CC BY) license (https://creativecommons.org/licenses/by/4.0/).
Share and Cite
Nong, Z.; Liu, H.; Wu, K.; Yin, M.; Yuan, Z.; Su, Y.; Qiang, M. Degradation of Mechanical Performance of Hoop Head Tenon-Mortise Joint of Tusi Manor with Decay Disease in Tibetan Areas in Yunnan. Buildings 2024, 14, 725. https://doi.org/10.3390/buildings14030725
Nong Z, Liu H, Wu K, Yin M, Yuan Z, Su Y, Qiang M. Degradation of Mechanical Performance of Hoop Head Tenon-Mortise Joint of Tusi Manor with Decay Disease in Tibetan Areas in Yunnan. Buildings. 2024; 14(3):725. https://doi.org/10.3390/buildings14030725
Chicago/Turabian StyleNong, Zhengquan, Heng Liu, Kua Wu, Man Yin, Zhe Yuan, Yanwei Su, and Mingli Qiang. 2024. "Degradation of Mechanical Performance of Hoop Head Tenon-Mortise Joint of Tusi Manor with Decay Disease in Tibetan Areas in Yunnan" Buildings 14, no. 3: 725. https://doi.org/10.3390/buildings14030725
APA StyleNong, Z., Liu, H., Wu, K., Yin, M., Yuan, Z., Su, Y., & Qiang, M. (2024). Degradation of Mechanical Performance of Hoop Head Tenon-Mortise Joint of Tusi Manor with Decay Disease in Tibetan Areas in Yunnan. Buildings, 14(3), 725. https://doi.org/10.3390/buildings14030725
