Next Article in Journal
Robust Building Identification from Street Views Using Deep Convolutional Neural Networks
Previous Article in Journal
Bridge Construction Risk Assessment Based on Variable Weight Theory and Cloud Model
 
 
Font Type:
Arial Georgia Verdana
Font Size:
Aa Aa Aa
Line Spacing:
Column Width:
Background:
Article

Study on the Impact Law of V-Shaped Gully Debris Avalanches on Double-Column Piers

School of Architectural Engineering, Yan’an University, Yan’an 716000, China
*
Author to whom correspondence should be addressed.
Buildings 2024, 14(3), 577; https://doi.org/10.3390/buildings14030577
Submission received: 4 January 2024 / Revised: 6 February 2024 / Accepted: 10 February 2024 / Published: 21 February 2024
(This article belongs to the Section Building Structures)

Abstract

The concrete piers in steep mountain areas are highly susceptible to damage disasters due to the impact of debris avalanches, which pose a serious threat to the safe operation of bridge structures. In order to investigate the impact load characteristics of debris avalanches on bridge pier structures in V-shaped valley mountain areas, Particle Flow Code 3D (PFC3D) models based on a discrete element method were applied in this study to establish a full-scale three-dimensional model of a debris avalanche in a V-shaped valley. By installing double-column piers in the influence zone of the debris avalanche, the impact force, accumulation morphology, motion characteristics of debris particles, internal force response of the double-column piers, and impact energy indicators were investigated. In addition, parameters such as the layout position of the piers and the impact angle of the debris were studied. The results showed that the particles at the front edge of the debris avalanche have a significant impact on the magnitude and distribution of the impact force on the piers. It is important to consider the layout position of the piers and the impact angle of the debris when designing bridge pier structures in high, steep mountain areas. There was a significant difference in the movement patterns between the particles at the front and rear edges of the landslide. The particles at the front edge had a higher velocity and stronger impact, while the particles at the rear edge had a slower velocity and were more likely to be obstructed by bridge piers, leading to accumulation. The obstruction effect of the piers on the debris particles was closely related to their positioning and the impact angle. Piers that were closer to the center of the valley and had a larger impact angle have a more significant obstruction effect, and the topography of the valley had a significant focusing effect on the debris avalanche, resulting in a greater impact force and energy on the piers located closer to the center of the valley. The impact force amplitude and duration of landslide debris on bridge piers showed a significant difference between the bottom and upper piers, as well as between the piers on the upstream and downstream sides. These research findings can provide valuable references for the design and disaster assessment of bridge piers for impact prevention in steep slopes and mountainous areas with deep ravines.

1. Introduction

The southwestern mountainous regions of China are areas prone to debris flow and other geological disasters [1,2]. In steep mountainous areas with deep ravines, the vertical displacement of rocky debris landslides is much greater than the horizontal distance. The movement of fragmented particles is rapid and forceful, resulting in a cone-shaped accumulation at the foot of the slope. The structure of the accumulated morphology is disordered and chaotic [3,4]. The dynamic impact load caused by the high-speed movement of rock debris is intricate, characterized by a short duration, multiple stages, and a long process of dynamic effects on engineering structures. This introduces a high risk of disasters [5,6,7] and poses a serious threat to the safety of people’s lives, their assets, and infrastructure operations. It presents significant challenges to the economic and social development of the region.
The impact of landslide debris on bridge structures primarily results in severe damage patterns such as inclined shear or fracture of pile foundations, localized impact failure of piers, destruction and displacement of the main beam, and overall tilting or collapse of the bridge structure [8,9,10], as depicted in Figure 1. During the process of impact to bridge piers, the kinetic energy of high-velocity rock debris is released as a result of pier deformation and fragmentation of rock particles. In terms of model experiments, Luo et al. [11] conducted impact tests on rectangular bridge piers to investigate the dynamic propagation of damage, impact forces, and dynamic displacement responses of piers under rolling stone impact. Zhao et al. [12] studied the impact forces, lateral displacement, internal forces, and failure modes of hollow rectangular reinforced concrete piers under rockfall impact through indoor model tests and finite element numerical simulations. Chen et al. [13] studied the factors influencing the maximum impact force of debris flows on bridge piers. The discussion mainly focused on the influence of factors such as impact distance and debris volume. In order to carry out the protective design of bridge pier structures, Yu et al. [14] and Gu et al. [15] used the HJC damage model and the LS-DYNA program to numerically simulate the damage to bridge structures in mountainous areas caused by rock rolling impacts. They analyzed the stress damage to bridge piers, displacement of piers columns, and characteristics of the impact force. In addition, they proposed two kinds of bridge pier-impact protection measures by combining the energy grading method. Zhong et al. [16] investigated the calculation formula for the impact force of rockfall on piers based on the Hertz theory and Thornton’s elastoplastic assumption. They also carried out a parameter study on the radius of the falling rock, impact velocity, and angle. Zhong et al. [17,18] proposed a numerical model three-dimensional Discrete Element Method and Finite Element Method (DEM-FEM) coupled method to investigate the dynamic response characteristics of reinforced concrete bridge piers under the impact of fragmented particles. They also proposed two types of steel–sand protection structures based on the impact damage law. He et al. [19] conducted theoretical and numerical simulations to study the rockfall impact disaster of the Chediguan Bridge during the Wenchuan Earthquake in China. They proposed a new type of energy-absorbing collision prevention device to protect the safety of bridge piers in high-risk regions of rockfall.
Due to the high cost and multiple influencing factors of debris flow impact tests, numerical simulations have gradually become the main research method. Sun et al. [20] used the PFC3D program to simulate and analyze the process of fragment particle impact on bridge piers from landslide debris, and the research indicated that the impact force of the debris avalanche on the bridge piers is closely related to the buffer zone length, pier diameter, and particle friction angle. Bi et al. [21] used the Discrete Element Method to study the dynamic response characteristics of bridge piers with different cross section shapes (cylindrical and rectangular) under debris avalanche impact. The results showed that the instantaneous impact force and maximum impact force on cylindrical bridge piers were lower than those of rectangular bridge piers. Cheng [22], using the discrete element method, investigated the displacement and internal force response of bridge piers under debris avalanche impact, employing a finite element model. Wei et al. [23] considered the effects of particle breakage and ice melting by establishing a thermal-hydro-mechanical model for high-speed rock–ice avalanches.
The instability of rock debris avalanches poses a significant threat to retaining structures in mountainous gullies [24,25]. In order to ensure the safety and suitability of concrete bridge structures in these areas, an important research focus is understanding the impact of collapsing rock masses on bridge piers. However, this impact mechanism is highly complex, characterized by random and variable load characteristics. Consequently, designing bridge piers to withstand such impacts is challenging.
Currently, the research on the dynamic impact loads of debris avalanches on piers is still in its nascent stages, particularly with regard to continuous and multiple impacts [26]. To address this, this study used PFC 6.0 software to construct an abstract and simplified V-shaped valley model. By parameterizing the position of the double-column bridge piers and the angle of impact, a numerical simulation based on the discrete element method was conducted. The study focused on investigating the motion and deposition characteristics of debris in the valley terrain, as well as the distribution of impact forces on the bridge piers. Furthermore, it revealed the energy dissipation pattern of the debris avalanches. The findings of this study can provide valuable guidance for the design of disaster prevention measures for dual-column piers in valley regions.

2. Calculation Method for Debris Avalanche Impact

The landslide movement of debris avalanches exhibits significant discreteness and is highly nonlinear. There are several simulation computation methods that are commonly used by researchers, including the Discrete Element Method (DEM) [23], Smooth Particle Hydrodynamics (SPH) [27], the Material Point Method (MPM) [28], the Fast GPU Matrix Computing of Discrete Element Method (MatDEM) [29], and others. To address the issue of the impact of discrete granular particles on continuous engineering structures, scholars have also developed research using methods such as the DEM-FEM coupled model [17] and the Smoothed Particle Hydrodynamics and Finite Element Method (SPH-FEM) coupled model [30].
When simulating the impact of landslide debris using the discrete element method, the elastic and plastic deformations of the retaining structure under the impact of fragmented particles are much smaller in comparison to the displacement of the fragmented particles [31]. Therefore, the deformation effects of the structure are negligible, and the retaining structure is considered a rigid body capable of bearing forces during the impact of the fragmented particles.

2.1. Interaction of the Particles

The PFC program utilizes and activates contact models to transmit the interaction forces between particles and between particles and walls. In this study, a linear contact model was adopted to simulate this behavior. It was assumed in the calculations that the fragmented particles are rigid bodies that do not undergo deformation but can overlap to generate contact forces. Figure 2 gives an illustration of the contact calculation between pebbles and between pebbles and walls. In Figure 2, the gap between particle surfaces (gs) is defined as the difference between the center-to-center distance (gc) and the particle radius (gr). When the gap between particle surfaces (gs) is less than or equal to zero, the contact mechanics behavior between particles is activated, and its calculation model is represented by the following equations:
x c = g s = g c g r = > 0 , inactive 0 , active
The linear contact analysis model is shown in Figure 3, where the contact force (Fc) between particles and between particles and walls can be decomposed into an elastic force (Fl) and a damping force (Fd) [32]. The normal and tangential linear elastic forces (Fl) are generated by compression-only linear springs with normal stiffness (kn) and tangential stiffness (ks), respectively. The normal stiffness (kn) and tangential stiffness (ks) between contacts are assumed to be composed of linear springs in parallel, and can be expressed as follows:
k n = k n A k n B k n A   +   k n B k s = k s A k s B k s A   +   k s B
where k n A and k n B are the normal stiffnesses of bodies A and B, respectively. The k s A and k s B are the shear stiffnesses of bodies A and B, respectively.
The linear normal force F n l can be calculated by the following equations:
F n l = k n g s , g s < 0 0 , otherwise , λ = 0 ( absolute update ) min ( F n l ) o + k n Δ δ n , 0                             , λ = 1 ( incremental update )
where ( F n l ) o is the linear normal force at the beginning of the time step, λ is the normal-force update mode, and Δδn is the adjusted relative normal-displacement increment.
The linear shear force can be calculated by the following equations:
F s = F s l o k s Δ δ s
where ( F s l ) o is the linear shear force at the beginning of the time step, and Δδs is the adjusted relative shear-displacement increment.
If the particle has relative friction sliding, it is realized by the contact friction coefficient μ, and the friction force F s μ can be defined as follows:
F s μ = μ F n l
Then, the linear shear force is expressed as follows:
F s l = F s , F s F s μ F s μ ( F s / F s ) , otherwise
The normal and shear dashpot forces between contacts are produced by a dashpot with a viscosity given in terms of the normal and shear critical-damping ratios, βn and βs, and the normal dashpot force can be defined as follows:
F n d = F , γ = 0 , 2 ( full   normal ) min F , F n l , γ = 1 , 3 ( no-tension normal )
with F = 2 β n m c k n δ ˙ n , m c = m A m B m A + m B , pebble pebble m A , pebble facet , where mA and mB are the masses of bodies A and B, respectively. δ ˙ n is the relative normal transitional velocity, and γ is the dashpot force update mode.
The shear dashpot force F s d can be defined as follows:
F s d = 2 β s m c k s δ ˙ s , γ = 0 , 1 ( full shear ) 0 , γ = 2 , 3 ( slip-cut )
where δ ˙ s is the relative shear transitional velocity.

2.2. Calculation Principle for Particle Motion

The interaction between debris particles is governed by Hooke’s law, while under the action of contact forces and gravity, the form of the debris particle motion obeys Newton’s second law, and the equation of the motion of the debris particles can be expressed as:
u ¨ i = F i ( t ) / m i u ˙ i ( t 1 ) = u ˙ i ( t 0 ) + u ¨ i ( t ) Δ t u i ( t 1 ) = u i ( t 0 ) + u ˙ i ( t ) Δ t
where Fi(t) is the external force acting on particle i at time t and mi is the mass of particle i. u ˙ i ( t 0 ) and u i ( t 0 ) are the velocity and displacement of particle i at time t0, respectively. u ˙ i ( t 1 ) and u i ( t 1 ) are the velocity and displacement of particle i at time t1, respectively. Δ t is the increment for the time step.

3. Establishment of Impact Model of Debris Avalanche

3.1. Debris Particle Model and Generation

In process of simulating the dynamic impact on bridge piers by discrete fragmented particles, the influence of both computational efficiency and particle shape under impact is considered. The shape of the fragmented particles is simulated using a discrete element rigid particle cluster. Four types particles, namely single-ball, double-ball, three-ball, and four-ball clumps, were established, as shown in Figure 4.
In researching the flow and accumulation characteristics of debris particles in actual landslides, this study focused on debris particles with a median diameter (d50) of 0.6 m. The volume ratios of the different types of particles were VR1 = 20%, VR2 = 30%, VR3 = 30%, and VR4 = 20%. The total volume of the debris particles generated was set at 1620 m3, with a density of ρ = 2650 kg/m3. The total number of particles was 7015.

3.2. Contact Model Selection

During the process of debris flow, there are significant contacts and mechanical interactions between the particles, the mountain slope, and the bridge piers, which greatly influence the transport behavior of the particles. This study used a linear contact model based on the discrete element analysis theory discussed in Section 2 of this paper to describe the contact mechanics. The contact behavior was determined by setting the normal contact stiffness, tangential contact stiffness, and friction coefficient. The parameter settings in the simulation study were referenced from relevant parameters found in references [24,33]. Table 1 presents the contact parameters in the model.

3.3. Site Area and Model Establishment

This study focused on the influence of terrain parameters on the impact of debris avalanches on bridge piers. Based on the characteristics of actual gully geomorphology, a simplified design of a V-shaped gully terrain boundary was employed. The total width of the gully was 50 m, with a central curved section with a width of 30 m and sloping areas on both sides each with a width of 10 m. The curved section follows a parabolic shape with a lateral slope ranging from 12° to 34°, while the slopes of the side areas were inclined at 45°. The longitudinal slope of the gully model was set at 30°, with the rear 20 m section serving as the source area for debris particles. The middle 60 m section represents the area where debris particles are in free flow, and the front 20 m section represents the area where the debris particles collide with the bridge piers (Figure 5b).
The impact of a debris avalanche on double-column bridge piers is influenced by the location and direction of the piers in the valley. The pier located upstream was referred to as the #1 pier column, while the pier located downstream was referred to as the #2 pier column (Figure 5a). The angle between the line connecting the #1 pier and #2 pier and the direction of the debris flow impact was denoted as θ. In this study, four different scenarios were designed to investigate the impact on the #1 pier in terms of its distance from the center of the valley, namely y = 0 m, y = 3 m, y = 6 m, and y = 9 m. Additionally, four different working conditions were considered, with θ set as 0°, 15°, 30°, and 45°. The distance between the #1 pier and #2 pier was set as 6 m, and the diameter of the piers was chosen as D = 1.6 m (Figure 5b). The height of the #1 pier column above the ground was set as 10 m, and a cover beam was set between the top column of the two piers.
Figure 5 illustrates the cross section, longitudinal section, and layout plan of the simplified model of a valley and bridge piers.
According to the research design, the three-dimensional discrete element analysis model of debris avalanches impacting piers is depicted in Figure 6. In order to enhance computational efficiency and emphasize the impact force of debris flow on the piers, the debris particles were assigned an initial velocity when they start sliding, consequently augmenting the impact energy of the debris. The initial velocity along the downhill direction of the ravine was v0 = 10 m/s and was applied with vx = 8.7 m/s and vz = −5 m/s.

4. Analysis of Results

4.1. Debris Avalanche Movement

The movement patterns of particles at the front and rear edges of the debris flow fluid can reflect the basic movement form of the debris avalanche. Figure 7 shows the displacement and velocity of the front and rear edges of the debris flow fluid over time, based on the scenario where the #1 pier is located at y = 0 m and θ = 0° in the valley center.
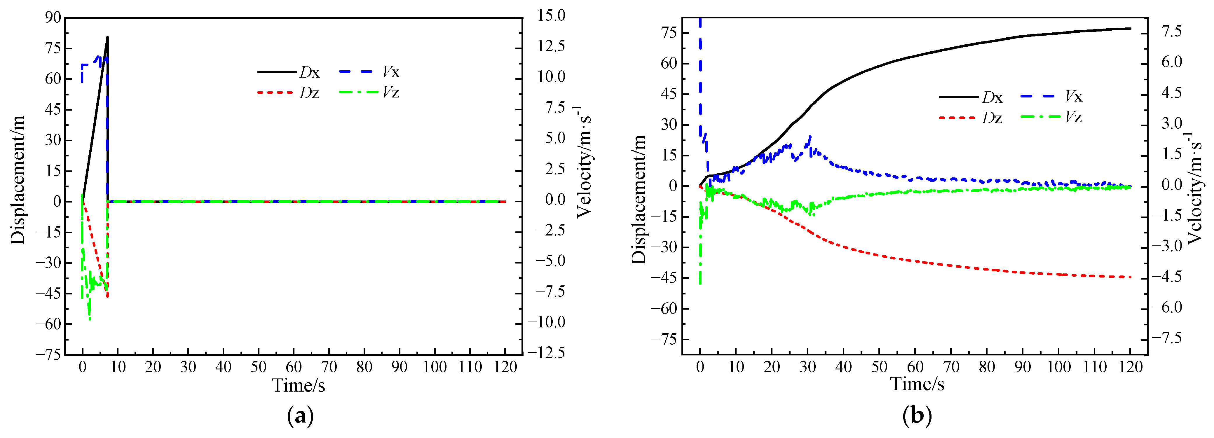
From the analysis of Figure 7a, it can be concluded that the front edge debris particles, without any obstruction in their path, reached the boundary of the site at x = 80 m approximately 7.1 s after being launched with an initial velocity of v0 = 10 m/s. The fact that the particles reached a speed of 12.9 m/s when leaving the site indicates that the monitored front edge particles flowed freely and slid within the site without mechanical collisions with the bridge pier.
From the analysis of the motion of the rear edge particles shown in Figure 7b, it can be observed that after the debris flow was given an initial velocity of v0 = 10 m/s, the motion of the rear edge particles was hindered by friction and collisions with the preceding particles. As a result, the velocity of the rear edge particles rapidly decreased. As the debris flow slid down the slope, the velocity of the rear edge particles exhibited a significant characteristic of first accelerating and then decelerating. This is mainly due to the collision of the preceding particles with the bridge pier, which leads to a decrease in velocity which is transmitted to the trailing particles, gradually reducing their velocity. Based on the final position of the rear edge particles at x = 77 m, it can be inferred that the rear edge particle, due to colliding with the bridge pier, came to a halt at the #1 pier under the constraints of friction and damping forces. The analysis indicates that, in the middle of the V-shaped valley site, when the velocity of the debris particles decreases, they are more prone to continuous impact collisions with the bridge pier. With fewer subsequent particles, this can lead to a deceleration of the particle body until it comes to a stop on the slope.

4.2. Debris Avalanche Accumulation Morphology

The double column piers arranged in the V-shaped valley will hinder the movement of debris particles to a certain extent, and the arrangement of pier columns had a significant impact in the columns’ blocking effect against debris fluids. Figure 8 shows the blockage of debris particles under different impact angle conditions under four different pier column arrangement schemes.
From Figure 8, it can be seen that as the lateral position of the #1 pier changed, the blocking effect on debris particles showed a trend of first increasing and then decreasing. When y = 3 m, the blocking effect of the double column pier was the highest, and when y = 9 m, the blocking effect of the bridge pier was minimal. This is mainly due to the coupling of multiple factors such as the shape of debris particles, valley terrain, bridge pier position, and impact angle. The longitudinal impact of the debris particles formed an accretion zone between the double column piers and the upstream area, which blocked the sliding of debris particles and produced a blocking effect.
At the same time, according to the analysis of the impact angle of fragmental flow blocking the debris around the double column pier, the impact angle of θ = 0°produced the smallest blocking effect, and the larger the impact angle, the more significant the blocking effect on the debris particles. According to the analysis of the blocking plane shape of the pier column in Figure 8, it can be seen that the blocking effect of the bridge pier on debris particles was significant for the bridge pier layout schemes y = 0 m and θ = 15°, θ = 30°, or θ = 45°; and y = 3 m and θ = 0°, θ = 15°, θ = 30°, or θ = 45°; and y = 6 m and θ = 30° or θ = 45°. When designing and calculating the bridge pier structure, the dynamic impact of a debris avalanche on the bridge pier columns should be emphasized. For y = 6 m and θ = 0° or θ = 15° and y = 9 m and θ = 30° or θ = 45°, the blocking effect of the bridge piers on debris particles was relatively small. For y = 9 m and θ = 0° or θ = 15°, the blocking effect of the pier column was very small and can be ignored.
Usually, the blocking effect of bridge piers on debris fluids will exacerbate the response of bridge piers to internal forces and damage. Therefore, when laying bridge piers in valley terrain, the blocking effect of bridge piers on debris particles should be fully considered to reduce or avoid the formation of large blocking areas, thereby reducing the risk of impact disasters for bridge piers.

4.3. Impact Force Analysis of Debris Avalanche

4.3.1. Distribution Law of Impact Force along Pier Height

According to the analysis of the blocking effect of bridge piers on debris particles in Section 4.2, it was found that the blocking effect of double-column piers is most obvious when y = 3 m. In the simulation calculation, the bridge piers were placed along the height direction at 1 m intervals, and Figure 9 shows that the distribution of the debris flow impact force along the pier height range of 0~5 m under the y = 3 m, θ = 0° pier layout plan.
It can be seen from the analysis of Figure 9 that the impact force and impact duration of the debris particle fluid on the bridge piers decreased with increasing height. The impact of the debris particles on the #1 pier was primarily concentrated within the height range of 0~5 m, while the impact on the #2 pier was mainly observed within the height range of 0~3 m. Comparing the impact force distribution between the #1 pier and #2 pier, it can be seen that the impact force on the #1 pier located upstream was much greater than that on the #2 pier located downstream. The main reason for this impact force distribution pattern is that the #1 pier provides a good barrier effect for the #2 pier, which significantly weakens the impact of debris on the #2 pier.
During the debris particle landslide, sudden jumping of the debris body may occur when it impacts the pier, as shown in Figure 10. The dynamic impact of jumping crushed stone bodies can cause significant forces and has a scattered impact position, which can result in significant impact force peaks on the piers, as shown in Figure 9. Therefore, when designing the pier structure, it is important to carefully consider the impact of high-speed rockfall on the pier for effective disaster prevention.

4.3.2. Total Impact Force of Debris Avalanche

The strength of the impact disaster caused by debris on bridge piers can be affirmed in the total impact force time history. Figure 11 indicates the total impact force time history curves under different pier arrangement schemes.
According to the analysis of Figure 11, it can be observed that around 4.5~5.5 s after the initiation of debris movement, the bridge pier structure experienced the first peak impact force from the debris. During this time interval, the impact force exhibited characteristics typical of falling rock impacts, such as a short duration and a large peak value. In addition, an analysis of the time history curve of the total impact force of the debris body under various pier arrangement schemes found that the total impact force of the debris body increased rapidly with time, and gradually decreased and tended to stabilize the lateral pressure of particle accumulation after t = 40 s.
By comparing the impact forces under different offset distances and impact angles of the bridge pier arrangement, it can be observed that the impact force of the debris on the piers decreased with increasing offset distance y and increased with increasing impact angle θ. In addition, according to the total impact force time history curve of the pier arrangement scheme y = 9 m in Figure 11d, it can be seen that the effective impact time and impact force amplitude increased with the increase in impact angle θ, which is consistent with the analysis of the blocking effect of bridge piers on particles in Figure 8.
To accurately assess the magnitude of the impact force of debris particle landslides under different bridge pier arrangement schemes, this study adopted a set ratio of the total impact force during the landslide to the duration of the landslide for evaluation. The overall duration of the landslide event in this study was 120 s, with an impact force sampling interval of 0.01 s. Figure 12 illustrates the relationship curve between the average impact force on the bridge pier and the pier column arrangement.
Analyzing Figure 12, it can be observed that the average impact force of the bridge piers increased almost linearly as the impact angle θ increased for different bridge pier layout schemes. When y = 0 m, the average impact force on the bridge piers was the highest, and with an impact angle θ = 45°, the average impact force reached FT = 56.2 kN/s. For y = 9 m, the average impact on the bridge piers was relatively small, and at the impact angle θ = 0°, the average impact force on the piers FT = 7.5 kN/s, but when θ = 45°, FT = 27.0 kN/s, representing a growth of approximately 260%. When analyzing Figure 12, it should be noted that if the bridge piers are located at y = 9 m, the effective duration of the particles’ impact on the pier was relatively short. Therefore, there may be some conversion errors in using the average impact force calculation method shown in Figure 11.
Additionally, the analysis of Figure 8 and Figure 12 revealed that the obstruction effect of the bridge piers on the debris particles was more prominent when y = 3 m, while the average impact force showed a more noticeable impact effect when y = 0 m. This is mainly due to the fact that in the scenario where y = 0 m, the bridge piers are located in the center of the V-shaped valley site, and the high-speed impact of debris particles along the slope has a certain dredging effect, reducing the accumulation of debris particles near the piers. This results in different impacts on debris particles compared to the block-like effects of the bridge piers.

4.4. Analysis of Internal Force of Pier Column

4.4.1. Bottom Shear Force of Pier

According to the calculation and analysis results of the average impact force in Figure 12, the impact angle in the pier arrangement of y = 0 m, θ = 45°, the impact force of the debris particles on the bridge pier was the most prominent. Figure 13 shows the shear force time history curves at the bottom of the #1 and #2 piers under this working condition.
Analyzing Figure 13, it can be seen that the shear force of the #1 pier rapidly increased and then decreased with the impact time, and the increase in shear force of the #2 pier was much milder than that of the #1 pier. In addition, comparing the shear force time history curves of the #1 pier and #2 pier, it can be seen that the shear force of the #1 pier was much greater than that of the #2 pier. After about t = 40 s after the landslide started, the peak shear force of the #1 pier was 2.1 times that of the #2 pier. At the end of the landslide, the lateral pressure shear amplitudes generated by the accumulation of debris particles by the bridge piers for the #1 and #2 piers were basically the same, which were confirmed by Figure 8.

4.4.2. Bottom Moment of Pier

According to the internal force relationship of the bending moment generated by the impact force at different heights, the time history of the bending moment at the bottom of the pier can be calculated by the following formula
M ( t ) = i = 1 n F i ( t ) h i
where n is the number of layers of the pier along the height direction, Fi(t) is the impact force acting on the i layer at time t, and hi is the height between the center of the i layer of pier column and the bottom of pier.
Figure 14 shows the bending moment time history curves of the #1 and #2 pier columns for the pier layout plan of y = 0 m and impact angle θ = 45°. According to the analysis in Figure 14, the distribution law of the bending moment at the bottom of the pier column is basically consistent with the time history of shear force. Due to the accumulated effect of the #1 pier column on the debris particles, the peak of the bending moment of the #2 pier column was much smaller than that of the #1 pier column, which amplifies the difference in the bending moment of the pier column.

4.5. Impact Energy Analysis

According to the impulse theorem and energy conservation principle, it is assumed that the momentum change of debris particles during the impact process is equal to the impulse acting on the bridge pier. Combined with the time history curve of the bridge pier impact force obtained from discrete element analysis, it can be concluded that
m v = t 1 t 2 F ( t ) d t
where t1 and t2 are the starting and ending times of particle impact, respectively. m is the mass of the impact particle, and v is the impact velocity.
The impact energy of the time history, which includes the impact force, can be expressed as [31]
E = 1 2 m v 2 = t 1 t 2 F ( t ) d t 2 2 m
The impact particle mass in Equation (12) can be considered as the volume mass of the landslide corresponding to the location of the bridge pier and the effective impact width. Based on the analysis in Figure 15, it can be concluded that
m = χ ρ D l H s t a n d H i
where Hstand is the effective elevation of the landslide surface, and Hi is the elevation of the bridge pier bottom, χ is the effective width of the impact surface, taken as 0.85 for a circular cross-section.
The impact energy of the debris particles under different pier arrangement schemes, calculated according to Equation (12), is shown in Figure 16. From the analysis in Figure 16, it can be seen that the reduction in impact energy of the debris bodies was not significant in the arrangements of y = 0 m, 3 m, and 6 m. However, when y = 9 m, the impact energy on the bridge pier was significantly reduced, indicating that under a smaller lateral slope terrain on both sides, the sliding debris particles have a certain clustering effect, which promotes the intensification of disaster damage in the central area of the V-shaped valley.
The impact energy on the bridge pier decreased with the increase in the lateral displacement y of the pier. With a lateral offset y = 0 m or y = 3 m of the pier, the impact angle θ changed from 0° to 30°; the impact energy of the bridge pier did not change significantly with the increase of the impact angle, but when the impact angle θ was changed from 30° to 45°, the impact energy significantly increased. When the lateral offset of the #1 pier column was y = 6 m or y = 9 m, the change in impact energy was relatively small at an impact angle θ from 0° to 15°, and changing the impact angle θ from 15° to 45° significantly increased the impact energy. This is mainly because when the pier column is arranged in the center area of the V-shaped valley, the upstream face formed by the main pier (#1) has a barrier protection effect on the downstream pier column (#2). When the impact angle changes slightly, the impact energy change is not significant. However, when the impact angle is large enough, the barrier effect of the main pier disappears. The double-column pier forms an effective face, increasing the energy effect of the debris impact. When the lateral offset distance of the #1 pier column is large, the impact angle is coupled with the boundary factors of the V-shaped valley terrain, and for an impact angle θ ≥ 15°, a significant increase in the attack surface will be formed, thereby exacerbating the growth of impact energy.

5. Discussion

Debris particle fluids exhibit distinct angular shapes as they undergo landslide motion. In compliance with the shape specifications outlined in European Technical Approval Guideline 27 (ETAG27) [34] for the rockfall model, this study utilized the basic particle cluster shape depicted in Figure 4 to simulate the sliding behavior of the granular fluid. The effectiveness of this approach has been validated by experimental findings documented in reference [35].
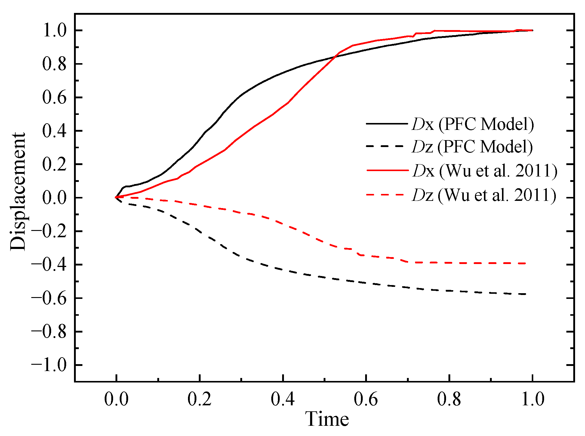
This study investigated the temporal patterns of the impact force on bridge piers caused by debris flows. It was found that these patterns align with the impact force trends observed in the literature [36,37] for debris flow on rigid retaining walls. Additionally, the temporal patterns of the impact force have been confirmed through flume experiments described in reference [38]. Figure 17 illustrates the normalized pattern curve of a debris impact force. It is important to note that the peak impact force of debris rockfall in this study differs significantly from the experimental results. This disparity also constitutes an important characteristic of actual debris landslide impact disasters, which are challenging to accurately simulate through modeling experiments. Furthermore, the temporal displacement patterns of the particles at the rear edge of the debris body in this study are similar to those in reference [31]. Figure 18 provides the normalized temporal displacement curve of the rear edge particles. The slope of the curve is closely related to parameters such as particle size, friction, and slope angle. Overall, the above analysis indicates that the computational results based on the PFC model, which is grounded in discrete element theory, are valid and the simulation approach is correct.
Due to the unique nature of the research in this study, conducting accurate field experiments to test large-scale debris flow impact disasters poses challenges. Indoor physical model experiments, commonly used in such cases, suffer from several drawbacks that may lead to distorted outcomes. However, discrete element simulation analyses provide a viable alternative as they can reflect the dynamic impact characteristic of debris flows. However, it should be noted that discrete element simulation analyses still involve certain simplifications, such as the idealization of the sliding terrain for debris flows, the uniformization of particle block shapes, and the inability to accurately express particle fragmentation characteristics. Furthermore, the nonlinear dynamic response and damage state of bridge pier structures under the impact of debris flows can also affect the transportation characteristics of the particle flow, which will be further investigated in our future research.

6. Conclusions

  • During the process of debris flow movement, particles at the leading edge experience fewer constraints, allowing their potential energy to quickly convert into kinetic energy. This results in a significant impact force on engineering structures in areas prone to landslides. In contrast, particles at the trailing edge dissipate their potential energy due to friction and collisions, causing a comparatively smaller impact force on engineering structures.
  • The closer pier columns are positioned to the center of the V-shaped valley, the more effectively they obstruct the debris flow. Furthermore, as the angle between the pier columns and the direction of the impact force increases, the obstruction effect of the debris flow also increases. Therefore, when arranging double-column piers, it is crucial to reduce the impact angle of rock debris fluids in order to reduce their impact.
  • The channelization effect of debris flows is greatly intensified in the central region of a valley terrain, thereby increasing the hazards to engineering structures. Through the analysis of the total impact force and energy exerted by debris avalanches on piers, it is evident that loose rock debris have a tendency to slide towards the center of the V-shaped valley due to the influence of gravity. Hence, when positioning bridge piers in the valley site, it is recommended to deviate the piers as far as possible from the center of the valley in order to minimize the impact of debris.
  • When the double-column piers are arranged at a small angle, the upstream pier column effectively serves as a protective barrier for the downstream pier column, leading to a significantly higher impact force on the upstream pier column compared to the downstream pier column. Furthermore, the impact forces on the lower section of the pier column due to the debris flow are greater than those on the upper section. To ensure the structural safety of the pier, it is possible to implement reinforcement measures at the lower section of the upstream pier.
  • The maximum bottom shear force and bending moment on the upstream pier column caused by debris impact were 2.6 times and 4 times greater than those of the downstream pier column, respectively. Therefore, special attention should be given to the upstream pier column when designing double-column piers in mountainous areas. It is necessary to implement measures such as proper debris flow diversion or reinforcing the pier column to ensure the safe performance of the piers.

Author Contributions

Conceptualization, M.-L.C. and W.-W.G.; methodology, M.-L.C.; software, M.-L.C.; investigation, M.-L.C.; resources, M.-L.C.; data curation, M.-L.C.; writing—review and editing, M.-L.C. and W.-W.G.; visualization, M.-L.C.; project administration, M.-L.C. All authors have read and agreed to the published version of the manuscript.

Funding

National Natural Science Foundation of China (NSFC) [Grant No. 52368026] and Science and Technology Plan Project of Shaanxi Province (No. 2023-JC-YB-437).

Data Availability Statement

Data are contained within the article.

Conflicts of Interest

The authors declare no conflicts of interest. The funders had no role in the design of the study; in the collection, analyses, or interpretation of data; in the writing of the manuscript; or in the decision to publish the results.

References

  1. Li, X.P.; Wu, Y.; He, S.M.; Su, L.J. Application of the material point method to simulate the post-failure runout process of the Wangjiayan landslide. Eng. Geol. 2016, 212, 1–9. [Google Scholar] [CrossRef]
  2. Luo, H.Y.; Zhang, L.M.; Zhang, L.L.; He, J.; Yin, K.S. Vulnerability of buildings to landslides: The state of the art and future needs. Earth-Sci. Rev. 2023, 238, 104329. [Google Scholar] [CrossRef]
  3. Zhou, J.W.; Li, H.B.; Lu, G.D.; Zhou, Y.; Zhang, J.Y.; Fan, G. Initiation mechanism and quantitative mass movement analysis of the 2019 Shuicheng catastrophic landslide. Q. J. Eng. Geol. Hydroge. 2021, 54, 12. [Google Scholar] [CrossRef]
  4. Wang, Y.S.; Xu, M.; Yang, C.; Lu, M.Y.; Meng, J.; Wang, Z.L.; Wang, M.N. Effects of elastoplastic strengthening of gravel soil on rockfall impact force and penetration depth. Int. J. Impact Eng. 2020, 136, 103411. [Google Scholar] [CrossRef]
  5. Li, H.B.; Qi, S.C.; Yang, X.G.; Li, X.W.; Zhou, J.W. Geological survey and unstable rock block movement monitoring of a Post-earthquake high rock slope using terrestrial laser scanning. Rock Mech. Rock Eng. 2020, 53, 4523–4537. [Google Scholar] [CrossRef]
  6. Ng, C.W.W.; Choi, C.E.; Koo, R.C.H.; Goodwin, G.R.; Song, D.; Kwan, J.S.H. Dry granular flow interaction with dual-barrier systems. Géotechnique 2017, 68, 386–399. [Google Scholar] [CrossRef]
  7. Jiang, Y.J.; Fan, X.Y.; Su, L.J.; Xiao, S.Y.; Sui, J.; Zhang, R.X.; Song, Y.; Shen, Z.W. Experimental validation of a new semi-empirical impact force model of the dry granular flow impact against a rigid barrier. Landslides 2021, 18, 1387–1402. [Google Scholar] [CrossRef]
  8. Yu, Z.X.; Yang, C.; Luo, Y. Crashworthiness of the protective measures for mountain bridge piers under impact load of rockfall. Sichuan Bldg. Sci. 2013, 395, 11–15. (In Chinese) [Google Scholar]
  9. Yan, S.X.; He, S.M.; Deng, Y.; Liu, W.; Wang, D.; Shen, F. A reliability-based approach for the impact vulnerability assessment of bridge piers subjected to debris flows. Eng. Geol. 2020, 269, 105567. [Google Scholar] [CrossRef]
  10. Yan, S.X.; He, S.M.; Wang, D.P.; Wu, Y. Design and optimisation of a protective device for bridge piers against debris flow impact. B. Eng. Geol. Environ. 2020, 79, 3321–3335. [Google Scholar] [CrossRef]
  11. Luo, Z.; Wang, Y.H. Experiment on dynamic response of piers subjected to rolling stone impacting. China J. Highw. Transp. 2017, 30, 78–85. (In Chinese) [Google Scholar] [CrossRef]
  12. Zhao, W.C.; Feng, H.D.; Ye, J.H.; Qian, J. Dynamic response and damage behavior of hollow RC piers against rockfall impact. Thin Wall Struct. 2023, 187, 110771. [Google Scholar] [CrossRef]
  13. Chen, Y.; Yao, C.R.; Zhu, Y.F.; Zhou, X.; An, H.R. Experimental study on influencing factors of maximum impact force of debris flow impacting bridge pier. Railway Eng. 2023, 63, 76–81. (In Chinese) [Google Scholar]
  14. Yu, Z.X.; Zhang, L.Y.; Zhao, Y.N.; Wei, T. Effectiveness analysis on the protection measures for the mountain bridge piers against rockfall. Appl. Mech. Mater. 2012, 226–228, 1683–1688. [Google Scholar] [CrossRef]
  15. Gu, X.; Yu, Z.X.; Zhao, L.; Xu, H. Influence of rockfall impact energy on mountain bridge damage. J. Southwest Jiaotong Univ. 2016, 51, 1131–1137. (In Chinese) [Google Scholar]
  16. Zhong, H.Q.; Lv, L.; Gu, Y.P.; Zhao, L. Research on the calculation formula and parameters of the impact force of falling rocks on bridge piers based on Hertz theory. J. China Foreign Highw. 2020, 40, 113–119. [Google Scholar]
  17. Zhong, H.Q.; Yu, Z.X.; Zhang, C.; Lyu, L.; Zhao, L. Dynamic mechanical response of reinforce concrete pier to debris avalanche impact based on the DEM-FEM coupled method. Int. J. Impact Eng. 2022, 167, 104282. [Google Scholar] [CrossRef]
  18. Zhong, H.Q.; Hao, C.R.; Yu, Z.X.; Lyu, L.; Wu, A.J. Damage assessment of RC bridge piers under rockfall impact and evaluation of a steel-sand protective structure. Structures 2023, 47, 607–624. [Google Scholar] [CrossRef]
  19. He, S.M.; Yan, S.X.; Deng, Y.; Liu, W. Impact protection of bridge piers against rockfall. B. Eng. Geol. Environ. 2019, 78, 2671–2680. [Google Scholar] [CrossRef]
  20. Sun, X.P.; He, S.M.; Wu, Y. Discrete element modeling of avalanche impact on pier. Yellow River 2012, 34, 126–128. (In Chinese) [Google Scholar] [CrossRef]
  21. Bi, Y.Z.; He, S.M.; Wang, D.P.; Sun, X.P.; Yan, S.X.; Zhou, B.Y.; Chen, Z. Discrete element investigation of rock avalanches impact on the bridge pier. Chin. J. Geol. Hazard Ctrl. 2017, 28, 16–21. (In Chinese) [Google Scholar]
  22. Cheng, T.Y. DEM Simulation of Landslide Impacting on Bridge Pier and Dynamic Response Analysis of Pier. Master’s Thesis, Southwest Jiaotong University, Chengdu, China, 2019. (In Chinese). [Google Scholar]
  23. Wei, H.T.; Liu, E.L.; Wei, X.L.; He, C.; Chen, L.; Li, Q. Thermo-hydro-mechanical (THM) analysis of rock-ice avalanches: Considering the effects of particle breakage in the sliding zone. Cold Reg. Sci. Technol. 2024, 219, 104123. [Google Scholar] [CrossRef]
  24. Ng, C.W.W.; Choi, C.E.; Liu, L.H.D.; Wang, Y.; Song, D.; Yang, N. Influence of particle-size on the mechanism of dry granular run-up on a rigid barrier. Géotechnique Lett. 2017, 7, 79–89. [Google Scholar] [CrossRef]
  25. Bi, Y.Z.; Du, Y.J.; He, S.M.; Sun, X.P.; Wang, D.P.; Li, X.P.; Liang, H.; Wu, Y. Numerical analysis of effect of baffle configuration on impact force exerted from rock avalanches. Landslides 2018, 15, 1029–1043. [Google Scholar] [CrossRef]
  26. He, S.M.; Zhuang, W.L.; Zhang, X.; Ji, S.W.; Cheng, Q. Research on rockfall impact prevention of Chediguan bridge pier, Duwen road. Chin. J. Rock Mech. Eng. 2013, 32, 3421–3427. (In Chinese) [Google Scholar]
  27. Zhan, L.; Peng, C.; Zhang, B.Y.; Wu, W. Three-dimensional modeling of granular flow impact on rigid and deformable structures. Comput. Geotech. 2019, 112, 257–271. [Google Scholar] [CrossRef]
  28. Ceccato, F.; Simonini, P.; Prisco, C.; Redaelli, I. The effect of the front inclination on the impact forces transmitted by granular flows to rigid structures. In Proceedings of the WLF 2017: Advancing Culture of Living with Landslides, Ljubljana, Slovenia, 29 May–2 June 2017; pp. 593–599. [Google Scholar] [CrossRef]
  29. Liu, C.; Xu, Q.; Shi, B.; Deng, S.; Zhu, H.H. Mechanical properties and energy conversion of 3D close—Packed lattice model for brittle rocks. Comput. Geosci.-UK 2017, 103, 12–20. [Google Scholar] [CrossRef]
  30. Feng, S.J.; Gao, H.Y.; Gao, L.; Zhang, L.M.; Chen, H.X. Numerical modeling of interactions between a flow slide and buildings considering the destruction process. Landslides 2019, 16, 1903–1919. [Google Scholar] [CrossRef]
  31. Wu, Y.; Liu, D.S.; Li, M.J. Impact energy calculation for rock slope and quantitative assessment of vulnerability for element at risk. Chin. J. Rock Mech. Eng. 2011, 30, 901–909. (In Chinese) [Google Scholar]
  32. Shi, C.; Zhang, Q.; Wang, S.N. Numerical Simulation Technology and Application with Particle Flow Code (PFC5.0); China Construction Industry Press: Beijing, China, 2018; pp. 86–100. [Google Scholar]
  33. Navarro, H.A.; de Souza Braun, M.P. Determination of the normal spring stiffness coefficient in the linear spring–dashpot contact model of discrete element method. Powder Technol. 2013, 246, 707–722. [Google Scholar] [CrossRef]
  34. EOTA. Guideline for European Technical Approval of Falling Rock Protection Kits (ETAG 027); EOTA: Brusseles, Belgium, 2008. [Google Scholar]
  35. Albaba, A.; Lambert, S.; Nicot, F.; Chareyre, B. Relation between microstructure and loading applied by a granular flow to a rigid wall using DEM modeling. Granul. Matter 2015, 17, 603–616. [Google Scholar] [CrossRef]
  36. Jiang, Y.J.; Fan, X.Y.; Li, T.H.; Xiao, S.Y. Influence of particle-size segregation on the impact of dry granular flow. Powder Technol. 2018, 340, 39–51. [Google Scholar] [CrossRef]
  37. Teufelsbauer, H.; Wang, Y.; Pudasaini, S.P.; Borja, R.I.; Wu, W. DEM simulation of impact force exerted by granular flow on rigid structures. Acta Geotech. 2011, 6, 119–133. [Google Scholar] [CrossRef]
  38. Moriguchi, S.J.; Borja, R.I.; Yashima, A.; Kazuhide, S. Estimating the impact force generated by granularflow on a rigid obstruction. Acta Geotech. 2009, 4, 57–71. [Google Scholar] [CrossRef]
Figure 1. Damage to concrete bridges under the impact of debris avalanche: (a) Yiwanshui middle bridge; (b) Chediguan bridge.
Figure 1. Damage to concrete bridges under the impact of debris avalanche: (a) Yiwanshui middle bridge; (b) Chediguan bridge.
Buildings 14 00577 g001
Figure 2. Contact indication of pebble element.
Figure 2. Contact indication of pebble element.
Buildings 14 00577 g002
Figure 3. Linear contact calculation model.
Figure 3. Linear contact calculation model.
Buildings 14 00577 g003
Figure 4. Clump models: (a) single-ball; (b) double-ball; (c) three-ball; and (d) four-ball models.
Figure 4. Clump models: (a) single-ball; (b) double-ball; (c) three-ball; and (d) four-ball models.
Buildings 14 00577 g004
Figure 5. Valley sections and dimensions: (a) cross section; (b) vertical section.
Figure 5. Valley sections and dimensions: (a) cross section; (b) vertical section.
Buildings 14 00577 g005
Figure 6. Discrete model of debris impact pier.
Figure 6. Discrete model of debris impact pier.
Buildings 14 00577 g006
Figure 7. Time history curve of debris particle movement: (a) front edge particles; (b) rear edge particles.
Figure 7. Time history curve of debris particle movement: (a) front edge particles; (b) rear edge particles.
Buildings 14 00577 g007
Figure 8. The accumulation pattern of debris flows: (a) y = 0 m; (b) y = 3 m; (c) y = 6 m; (d) y = 9 m.
Figure 8. The accumulation pattern of debris flows: (a) y = 0 m; (b) y = 3 m; (c) y = 6 m; (d) y = 9 m.
Buildings 14 00577 g008
Figure 9. Distribution of impact force along the height of pier column: (a) #1 pier column; (b) #2 pier column.
Figure 9. Distribution of impact force along the height of pier column: (a) #1 pier column; (b) #2 pier column.
Buildings 14 00577 g009
Figure 10. Schematic diagram of jumping rockfall impact on bridge piers.
Figure 10. Schematic diagram of jumping rockfall impact on bridge piers.
Buildings 14 00577 g010
Figure 11. Time history curve of total impact force of debris body: (a) y = 0 m, (b) y = 3 m, (c) y = 6 m, (d) y = 9 m.
Figure 11. Time history curve of total impact force of debris body: (a) y = 0 m, (b) y = 3 m, (c) y = 6 m, (d) y = 9 m.
Buildings 14 00577 g011
Figure 12. Average impact force of pier.
Figure 12. Average impact force of pier.
Buildings 14 00577 g012
Figure 13. Time history curve of shear force at the bottom of pier.
Figure 13. Time history curve of shear force at the bottom of pier.
Buildings 14 00577 g013
Figure 14. Time history curve of bending moment at the bottom of pier.
Figure 14. Time history curve of bending moment at the bottom of pier.
Buildings 14 00577 g014
Figure 15. Schematic diagram for calculation of debris mass of impact piers.
Figure 15. Schematic diagram for calculation of debris mass of impact piers.
Buildings 14 00577 g015
Figure 16. Impact energy of debris particle flow on bridge piers.
Figure 16. Impact energy of debris particle flow on bridge piers.
Buildings 14 00577 g016
Figure 17. Normalized time history curve of impact force. (The partial data from Jiang et al. 2018 [36]; Teufelsbauer et al. 2011 [37]; and Moriguchi et al. 2009 [38]).
Figure 17. Normalized time history curve of impact force. (The partial data from Jiang et al. 2018 [36]; Teufelsbauer et al. 2011 [37]; and Moriguchi et al. 2009 [38]).
Buildings 14 00577 g017
Figure 18. Normalized time history curve of displacement. (The partial data from Wu et al. 2011 [31]).
Figure 18. Normalized time history curve of displacement. (The partial data from Wu et al. 2011 [31]).
Buildings 14 00577 g018
Table 1. Contact mechanical parameters of debris avalanche.
Table 1. Contact mechanical parameters of debris avalanche.
Parameter No.Contact TypeNameSymbolUnitValue
1Pebble–pebbleNormal contact stiffnessknMPa/m90
2Shear contact stiffnessksMPa/m30
3Friction coefficientμ/0.2
4Pebble–facet
(valley)
Normal contact stiffnessknMPa/m60
5Shear contact stiffnessksMPa/m20
6Friction coefficientμ/0.4
7Pebble–facet
(pier)
Normal contact stiffnessknMPa/m50
8Shear contact stiffnessksMPa/m10
9Friction coefficientμ/0.2
10/Damping ratioβ/0.2
Disclaimer/Publisher’s Note: The statements, opinions and data contained in all publications are solely those of the individual author(s) and contributor(s) and not of MDPI and/or the editor(s). MDPI and/or the editor(s) disclaim responsibility for any injury to people or property resulting from any ideas, methods, instructions or products referred to in the content.

Share and Cite

MDPI and ACS Style

Cheng, M.-L.; Gao, W.-W. Study on the Impact Law of V-Shaped Gully Debris Avalanches on Double-Column Piers. Buildings 2024, 14, 577. https://doi.org/10.3390/buildings14030577

AMA Style

Cheng M-L, Gao W-W. Study on the Impact Law of V-Shaped Gully Debris Avalanches on Double-Column Piers. Buildings. 2024; 14(3):577. https://doi.org/10.3390/buildings14030577

Chicago/Turabian Style

Cheng, Mai-Li, and Wen-Wei Gao. 2024. "Study on the Impact Law of V-Shaped Gully Debris Avalanches on Double-Column Piers" Buildings 14, no. 3: 577. https://doi.org/10.3390/buildings14030577

APA Style

Cheng, M.-L., & Gao, W.-W. (2024). Study on the Impact Law of V-Shaped Gully Debris Avalanches on Double-Column Piers. Buildings, 14(3), 577. https://doi.org/10.3390/buildings14030577

Note that from the first issue of 2016, this journal uses article numbers instead of page numbers. See further details here.

Article Metrics

Back to TopTop