Energy Efficiency in Subtropical Homes: Replacing Asbestos–Cement Roofs with Sustainable Alternatives
Abstract
1. Introduction
2. Materials and Methods
3. Results and Discussion
4. Conclusions
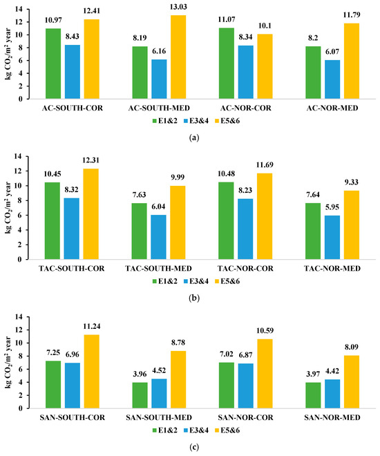
- Impact of Orientation and Placement: The findings demonstrate that orientation and placement are critical determinants of energy efficiency. North-facing dwellings consistently outperformed their south-facing counterparts, with a 4.27 ± 1.77% improvement in energy performance. Similarly, semi-detached (median) configurations exhibited a 23.17 ± 9.83% advantage over corner placements, corresponding to a reduction of 2.16 ± 0.74 kg CO2/m2 annually. These results highlight the importance of passive design strategies, such as optimal orientation and compact placement, to minimize cooling demands and emissions.
- Role of Socioeconomic Strata: Socioeconomic stratification strongly influenced energy efficiency outcomes. Homes in strata 3 and 4 displayed the best thermal performance (6.69 ± 1.42 kg CO2/m2 annually), compared to higher emissions in strata 1 and 2 (8.07 ± 2.42 kg CO2/m2) and strata 5 and 6 (10.48 ± 1.42 kg CO2/m2). This difference is attributed to disparities in construction quality, particularly insulation and glazing ratios, which ranged from 6% in lower strata to over 60% in strata 5 and 6. These findings suggest the urgent need for policies that integrate energy efficiency into housing standards, addressing both equity and environmental goals.
- Evaluation of Roofing Alternatives: Among roofing materials, sandwich panels demonstrated the highest potential for emissions reduction, with savings of up to 51.6% in strata 1 and 2 south-facing median homes and a minimum of 9.4% in strata 5 and 6. Thermoacoustic (TAC) roofs also performed favorably, particularly in lower strata, reducing emissions by up to 5.80%. However, the environmental benefits of roofing alternatives varied significantly depending on socioeconomic conditions and building configurations, emphasizing the importance of tailored interventions.
- Policy and Practical Implications: The research underscores a critical gap in Colombian housing policies, which currently overlook energy efficiency criteria. Implementing these considerations could reduce national energy consumption, improve thermal comfort, and enhance property value. Internationally, the findings provide valuable lessons for regions with similar climates and challenges, particularly those transitioning away from asbestos-based construction. Practical recommendations include promoting the adoption of high-performance roofing materials like sandwich panels, optimizing building orientation and placement in urban planning, and establishing incentives for energy-efficient construction across all socioeconomic strata.
- Research Limitations and Future Directions: This study is limited by its focus on cooling loads, reflecting the cultural and climatic realities of the Caribbean, where heating and domestic hot water systems are largely absent. Future research should address the long-term durability and lifecycle costs of alternative roofing materials, explore more granular impacts of glazing ratios and shading devices, and validate findings through real-world case studies. Expanding this framework to other climatic zones would enhance the applicability and robustness of the conclusions.
Author Contributions
Funding
Data Availability Statement
Acknowledgments
Conflicts of Interest
Appendix A
| Characteristic | E 1 & 2 | E 3 & 4 | E 5 & 6 | |||
|---|---|---|---|---|---|---|
| Description | Thermal Transmittance | Description | Thermal Transmittance | Description | Thermal Transmittance | |
| Exterior Wall Main Facade | OUTER SPACE Paint * 1. Cement mortar 0.015 m thick 2. Conventional concrete block de 0.100 m thick 3. Cement mortar 0.015 m thick INTERIOR SPACE | U = 2.82 W/m2K | OUTER SPACE Paint * 1. Cement mortar 0.015 m thick 2. Clay brick with horizontal perforation of 0.100 m thick 3. Cement mortar 0.015 m thick Paint * INTERIOR SPACE | U = 2.35 W/m2K | OUTER SPACE Paint * 1. Stucco layer 3 mm thick 2. Cement mortar 0.015 m thick 3. Clay brick with horizontal perforation 0.100 m thick 4. Cement mortar 0.015 m thick Paint * INTERIOR SPACE | U = 2.33 W/m2K |
| Exterior Wall Side/Rear Facade | OUTER SPACE 1. Conventional concrete block 0.100 m thick 2. Cement mortar 0.015 m thick INTERIOR SPACE | U = 2.92 W/m2K | OUTER SPACE Paint * 1. Cement mortar 0.015 m thick 2. Clay brick with horizontal perforation 0.100 m thick 3. Cement mortar 0.015 m thick Paint * INTERIOR SPACE | U = 2.35 W/m2K | OUTER SPACE Paint * 1. Stucco layer 3 mm thick 2. Cement mortar 0.015 m thick 3. Clay brick with horizontal perforation 0.100 m thick 4. Cement mortar 0.015 m thick Paint * INTERIOR SPACE | U = 2.33 W/m2K |
| Median Wall | NEIGHBORING WALL 1. Conventional concrete block 0.100 m thick 2. Cement mortar 0.015 m thick INTERIOR SPACE | U = 2.07 W/m2K | NEIGHBORING WALL 1. Clay brick with horizontal perforation 0.100 m thick 2. Cement mortar 0.015 m thick Paint * INTERIOR SPACE | U = 1.99 W/m2K | NEIGHBORING WALL 1. Clay brick with horizontal perforation 0.100 m thick 2. Cement mortar 0.015 m thick Paint * INTERIOR SPACE | U = 1.94 W/m2K |
| Cover | SCENARIO No. 1 (AC) OUTER SPACE 1. AC cover of 6 mm INTERIOR SPACE | U = 6.37 W/m2K | SCENARIO No. 1 (AC) OUTER SPACE 1. AC cover of 6 mm 2. Plasterboard or drywall sheet 10 mm thick INTERIOR SPACE | U = 4.16 W/m2K | SCENARIO No. 1 (AC) OUTER SPACE 1. AC cover of 6 mm 2. Plasterboard or drywall sheet 13 mm thick INTERIOR SPACE | U = 3.87 W/m2K |
| SCENARIO No. 2 (TAC) OUTER SPACE 1. Thermoacoustic plastic cover (Ref: ECOROOF Residential 2 mm thick—Arkos brand, see table footer) INTERIOR SPACE | U = 5.62 W/m2K | SCENARIO No. 2 (TAC) OUTER SPACE 1. Thermoacoustic plastic cover (Ref: ECOROOF Residencial de 2 mm thick—Arkos brand, see table footer) 2. Plasterboard or drywall sheet 10 mm thick INTERIOR SPACE | U = 4.16 W/m2K | SCENARIO No. 2 (TAC) OUTER SPACE 1. Thermoacoustic plastic cover (Ref: ECOROOF Residencial de 2 mm thick—Arkos brand, see table footer) 2. Plasterboard or drywall sheet 13 mm thick INTERIOR SPACE | U = 3.87 W/m2K | |
| SCENARIO No. 3 (SAN) OUTER SPACE 1. Sandwich type cover (Ref: SKYDECK 10 mm thick—ABACOL brand, see table footer) INTERIOR SPACE | U = 1.54 W/m2K | SCENARIO No. 3 (SAN) OUTER SPACE 1. Sandwich type cover (Ref: SKYDECK de 10 mm thick—ABACOL brand, see table footer) 2. Plasterboard or drywall sheet 10 mm thick INTERIOR SPACE | U = 3.39 W/m2K | SCENARIO No. 3 (SAN) OUTER SPACE 1. Sandwich type cover (Ref: SKYDECK de 10 mm thick—ABACOL brand, see table footer) 2. Plasterboard or drywall sheet 13 mm thick INTERIOR SPACE | U = 2.43 W/m2K | |
| Ground (floor) | INTERIOR SPACE 1. Polished concrete 2. Rammed earth (0.1 m) NATURAL GROUND | U = 2.99 W/m2K | AIRE INTERIOR 1. >Ceramic floor 6 mm thick 2. Adhesive mortar (0.01 m) 2. Concrete (0.1 m) 3. Rammed earth (0.1 m) NATURAL GROUND | U = 2.94 W/m2K | INTERIOR SPACE 1. Ceramic floor 9 mm thick 2. Adhesive mortar (0.01 m) 2. Concrete (0.1 m) 3. Rammed earth (0.1 m) NATURAL GROUND | U = 2.91 W/m2K |
| External doors | Metal door | U = 5.70 W/m2K | Medium/low density wood door, 2.1 m high and 0.9 m wide | U = 2.00 W/m2K | Wooden door—medium/low density, 2.4 m high and 1.0 m wide. | U = 2.00 W/m2K |
| External windows | Metal frame 4 mm monolithic glass | U = 5.70 W/m2K | Metal frame 4 mm monolithic glass | U = 5.70 W/m2 K | Metal frame 6 mm monolithic glass | U = 5.70 W/m2K |
References
- Hafez, F.S.; Sa’di, B.; Safa-Gamal, M.; Taufiq-Yap, Y.H.; Alrifaey, M.; Seyedmahmoudian, M.; Stojcevski, A.; Horan, B.; Mekhilef, S. Energy Efficiency in Sustainable Buildings: A Systematic Review with Taxonomy, Challenges, Motivations, Methodological Aspects, Recommendations, and Pathways for Future Research. Energy Strateg. Rev. 2023, 45, 101013. [Google Scholar] [CrossRef]
- Di Foggia, G. Energy efficiency measures in buildings for achieving sustainable development goals. Heliyon 2018, 4, e00953. [Google Scholar] [CrossRef] [PubMed]
- Fan, Y.; Fang, C. GHG emissions and energy consumption of residential buildings—A systematic review and meta-analysis. Environ. Monit. Assess. 2023, 195, 885. [Google Scholar] [CrossRef]
- Nieto, M.-B.; García-Fernández, A.J.; Navas, I. Asbestos. In Encyclopedia of Toxicology, 4th ed.; Wexler, P., Ed.; Academic Press: Oxford, UK, 2024; pp. 821–830. [Google Scholar]
- Thives, L.P.; Ghisi, E.; Thives Júnior, J.J.; Vieira, A.S. Is asbestos still a problem in the world? A current review. J. Environ. Manag. 2022, 319, 115716. [Google Scholar] [CrossRef] [PubMed]
- Kusiorowski, R.; Lipowska, B.; Kujawa, M.; Gerle, A. Problem of asbestos-containing wastes in Poland. Clean. Waste Syst. 2023, 4, 100085. [Google Scholar] [CrossRef]
- Chapel, D.B.; Vivero, M.; Sholl, L.M. 21—Malignant and borderline mesothelial tumors of the pleura. In Practical Pulmonary Pathology, 4th ed.; Smith, M.L., Leslie, K.O., Wick, M.R., Eds.; Elsevier: Amsterdam, The Netherlands, 2024; pp. 755–792. [Google Scholar]
- Noelle, H.; Pérol, O.; Pérol, M.; Avrillon, V.; Belladame, E.; Fayette, J.; Fournié, F.; Swalduz, A.; Dessemon, J.; Blay, J.-Y.; et al. Occupational asbestos exposure and survival among lung cancer patients. Lung Cancer 2023, 179, 107182. [Google Scholar] [CrossRef] [PubMed]
- Butnor, K.J.; Roggli, V.L. 10—Pneumoconioses. In Practical Pulmonary Pathology, 4th ed.; Smith, M.L., Leslie, K.O., Wick, M.R., Eds.; Elsevier: Amsterdam, The Netherlands, 2024; pp. 345–374. [Google Scholar]
- Villamizar, G.; Camero, G. Asbesto en Colombia. Fundamentos para el Debate; Universidad Nacional de Colombia: Bogotá, Colombia, 2019; Available online: https://medicina.bogota.unal.edu.co/dependencias/unidades/publicaciones/item/1476-asbesto-en-colombia (accessed on 30 September 2023).
- Law 1968 of July 11; Congress of the Republic of Colombia: Bogota, Colombia, 2019. pp. 1–11. Available online: https://www.minambiente.gov.co/documento-normativa/ley-1968-de-2019/ (accessed on 30 September 2023).
- Valdelamar Martínez, D.; Saba, M.; Torres-Gil, L. Assessment of asbestos-cement roof distribution and prioritized intervention approaches through hyperspectral imaging. Heliyon 2023, 10, e25612. [Google Scholar] [CrossRef]
- Choi, S.; Lim, H.; Lim, J.; Yoon, S. Retrofit building energy performance evaluation using an energy signature-based symbolic hierarchical clustering method. Build. Environ. 2024, 251, 111206. [Google Scholar] [CrossRef]
- Felimban, A.; Knaack, U.; Konstantinou, T. Evaluating Savings Potentials Using Energy Retrofitting Measures for a Residential Building in Jeddah, KSA. Buildings 2023, 13, 1645. [Google Scholar] [CrossRef]
- Seddiki, M.; Bennadji, A.; Laing, R.; Gray, D.; Alabid, J.M. Review of Existing Energy Retrofit Decision Tools for Homeowners. Sustainability 2021, 13, 10189. [Google Scholar] [CrossRef]
- Serrano-Lanzarote, B.; Francés, L.S.; Madrigal, L.O.; Ruiz, A.G.-P. Analysis of the Environmental Impact of the Energy Retrofitting Carried Out in a Low-income Residential Neighbourhood. The Case of Juan XXIII in Alicante, Spain. Open Constr. Build. Technol. J. 2017, 11, 65–82. [Google Scholar] [CrossRef][Green Version]
- López-Ochoa, L.M.; Las-Heras-Casas, J.; González-Caballín, J.M.; Carpio, M. Towards nearly zero-energy residential buildings in Mediterranean countries: The implementation of the Energy Performance of Buildings Directive 2018 in Spain. Energy 2023, 276, 127539. [Google Scholar] [CrossRef]
- Saleem, A.M.; Badr, A.A.; Alyas, B.H.; Alomar, O.R. Performance of Thermal Insulation of Different Composite Walls and Roofs Materials Used for Energy Efficient Building Construction in Iraq. Front. Heat Mass Transf. 2024, 22, 1231–1244. [Google Scholar] [CrossRef]
- Cerezo-Narváez, A.; Delgado Guerrero, M.; Sánchez Ramos, J.; Álvarez Domínguez, S. 13—Energy, economic, and environmental analysis of energy efficiency and building policies in Southern Europe. Envelope renovation and renewable energy source integration. In Sustainable Development of Renewable Energy; Jeguirim, M., Ed.; Academic Press: Cambridge, MA, USA, 2024; Volume 1, pp. 415–452. [Google Scholar]
- Aguilar-Castro, K.M.; Cerino-Isidro, J.L.; Torres-Aguilar, C.E.; May Tzuc, O.; Macias-Melo, E.V.; Serrano-Arellano, J. Effect of interior and exterior roof coating on heat gain inside a house. Constr. Build. Mater. 2024, 454, 139045. [Google Scholar] [CrossRef]
- Föllmi, D.; Corpel, L.; Solcerova, A.; Kluck, J. Influence of blue-green roofs on surface and indoor temperatures over a building scale. Nat.-Based Solut. 2023, 4, 100076. [Google Scholar] [CrossRef]
- Sarabia-Escriva, E.-J.; Jiménez-Navarro, J.-P.; Soto-Francés, V.-M.; Pinazo-Ojer, J.-M. Assessing the energy performance certification effectiveness for the Spanish building stock in response to recent climate change data. Energy Build. 2024, 323, 114816. [Google Scholar] [CrossRef]
- Yadav, A.; Samykano, M.; Pandey, A.K.; Natarajan, S.K.; Vasudevan, G.; Muthuvairavan, G.; Suraparaju, S.K. Sustainable phase change material developments for thermally comfortable smart buildings: A critical review. Process Saf. Environ. Prot. 2024, 191, 1918–1955. [Google Scholar] [CrossRef]
- Cuce, P.M.; Alvur, E.; Cuce, E.; Alshahrani, S.; Prakash, C.; Tan, H.; Ustabas, I. Unlocking energy efficiency: Experimental investigation of bamboo fibre reinforced briquettes as sustainable solution with enhanced thermal resistance. Case Stud. Therm. Eng. 2024, 60, 104680. [Google Scholar] [CrossRef]
- Xia, D.; Xie, W.; Guo, J.; Zou, Y.; Wu, Z.; Fan, Y. Building Thermal and Energy Performance of Subtropical Terraced Houses under Future Climate Uncertainty. Sustainability 2023, 15, 12464. [Google Scholar] [CrossRef]
- Abacol Teja SKYDECK TermoAcústica. Available online: https://www.abacol.co/assets/ft_aceros_teja_skydeck_termoacustica_v1_4.pdf (accessed on 30 September 2023).
- Thomsen, O.T.; Bozhevolnaya, E.; Lyckegaard, A. Sandwich Structures 7: Advancing with Sandwich Structures and Materials. In Proceedings of the 7th International Conference on Sandwich Structures, Aalborg University, Aalborg, Denmark, 29–31 August 2005; pp. 1–197. Available online: https://springerlink.unicartagenaproxy.elogim.com/book/10.1007/1-4020-3848-8 (accessed on 30 September 2023).
- Mrs Physics Thermal Properties of Building Materials. 2023. Available online: https://www.mrsphysics.co.uk/bge/wp-content/uploads/2016/07/thermal-properties-of-building-materials.pdf (accessed on 30 September 2023).
- Ariyadasa, M.; Adikary, U. Investigating the Physical, Mechanical and Thermal Properties of Common Roofing Materials in Sri Lanka. Proceeding of the 6th Annual NBRO Symposium—2015 Innovations for Resilient Environment, 22 December 2015. [Google Scholar]
- Powder Process Thermal Conductivity of 300+ Common Materials. 2023. Available online: https://powderprocess.net/Tools_html/Data_Diagrams/Chemical_Compound_Thermal_Conductivity.html (accessed on 30 September 2023).
- Arkos Tejas ECOWALL y ECOROOF. 2023. Available online: https://www.arkos.com.co/sistemas/images/Imágenes_de_nueva_pag/Archivos/Ficha_Técnica_Ecowall_Y_Ecoroof.pdf (accessed on 30 September 2023).
- Instituto Eduardo Torroja de Ciencias de la Construcción con la Colaboración de CEPCO y AICIA. In Catálogo de Elementos Constructivos; Instituto Eduardo Torroja of CEPCO and AICIA: Madrid, España, 2010; Available online: https://www.codigotecnico.org/pdf/Programas/CEC/CAT-EC-v06.3_marzo_10.pdf (accessed on 30 September 2023).
- Serrano-Lanzarote, B.; Ortega-Madrigal, L.; García-Prieto-Ruiz, A.; Soto-Francés, L.; Soto-Francés, V.-M. Strategy for the energy renovation of the housing stock in Comunitat Valenciana (Spain). Energy Build. 2016, 132, 117–129. [Google Scholar] [CrossRef]
- Carpio, M.; Zamorano, M.; Costa, M. Impact of using biomass boilers on the energy rating and CO2 emissions of Iberian Peninsula residential buildings. Energy Build. 2013, 66, 732–744. [Google Scholar] [CrossRef]
- Carpio, M.; Jódar, J.; Rodíguez, M.L.; Zamorano, M. A proposed method based on approximation and interpolation for determining climatic zones and its effect on energy demand and CO2 emissions from buildings. Energy Build. 2015, 87, 253–264. [Google Scholar] [CrossRef]
- Castellano, J.; Castellano, D.; Ribera, A.; Ciurana, J. Development of a scale of building construction systems according to CO2 emissions in the use stage of their life cycle. Build. Environ. 2014, 82, 618–627. [Google Scholar] [CrossRef]
- González-Caballín Sánchez, J.M.; Meana-Fernández, A.; Ríos-Fernández, J.C.; Gutiérrez Trashorras, A.J. Characterization of housing stock for energy retrofitting purposes in Spain. Build. Simul. 2023, 16, 947–962. [Google Scholar] [CrossRef]
- Arrieta-Pastrana, A.; Saba, M.; Puello Alcázar, A. Analysis of Climate Variability and Climate Change in Sub-Daily Maximum Intensities: A Case Study in Cartagena, Colombia. Atmosphere 2023, 14, 146. [Google Scholar] [CrossRef]
- Saba, M.; Valdelamar Martínez, D.; Torres Gil, L.K.; Chanchí Golondrino, G.E.; Alarcón, M.A.O. Application of Supervised Learning Methods and Information Gain Methods in the Determination of Asbestos–Cement Roofs’ Deterioration State. Appl. Sci. 2024, 14, 8441. [Google Scholar] [CrossRef]
- Chi, F.; Zhang, J.; Li, G.; Zhu, Z.; Bart, D. An investigation of the impact of Building Azimuth on energy consumption in sizhai traditional dwellings. Energy 2019, 180, 594–614. [Google Scholar] [CrossRef]
- Aldersoni, A.; Albaker, A.; Alturki, M.; Said, M.A. The Impact of Passive Strategies on the Overall Energy Performance of Traditional Houses in the Kingdom of Saudi Arabia. Buildings 2022, 12, 1837. [Google Scholar] [CrossRef]
- Alwetaishi, M. Energy performancein residential buildings: Evaluationof the potential of buildingdesignand environmental parameter. Ain. Shams. Eng. J. 2022, 13, 101708. [Google Scholar] [CrossRef]
- Zhao, S.; Diao, J.; Yao, S.; Yuan, J.; Liu, X.; Li, M. Seasonal optimization of envelope and shading devices oriented towards low-carbon emission for premodern historic residential buildings of China. Case Stud. Therm. Eng. 2024, 64, 105452. [Google Scholar] [CrossRef]
- Zhang, D.; Ding, Y.; Jiang, X.; He, W. Construction of carbon emission evaluation methods and indicators for low-carbon technologies in buildings. Energy 2024, 312, 133529. [Google Scholar] [CrossRef]
- Dou, S.; Zhu, H.; Wu, S.; Shen, Y. A review of information technology application in reducing carbon emission: From buildings to tunnels. J. Clean. Prod. 2024, 452, 142162. [Google Scholar] [CrossRef]
- Xie, F.; Wu, Y.; Zhou, X.; Zhang, S. Analysis of standard unit carbon emission and cost assessment of the changing building envelope over material production phase. Sci. Total Environ. 2024, 928, 172382. [Google Scholar] [CrossRef]
- Zou, Q.; Zeng, G.P.; Zou, F.; Zhou, S. Carbon emissions path of public buildings based on LEAP model in Changsha city (China). Sustain. Futur. 2024, 8, 100231. [Google Scholar] [CrossRef]
- Soflaei, F.; Shokouhian, M.; Abraveshdar, H.; Alipour, A. The impact of courtyard design variants on shading performance in hot-arid climates of Iran. Energy Build. 2017, 143, 71–83. [Google Scholar] [CrossRef]
- Derradji, L.; Imessad, K.; Amara, M.; Boudali Errebai, F. A study on residential energy requirement and the effect of the glazing on the optimum insulation thickness. Appl. Therm. Eng. 2017, 112, 975–985. [Google Scholar] [CrossRef]
- Ahmed, N.; Corresponding, M.A. The Effects of Orientation, Ventilation, and Varied WWR on the Thermal Performance of Residential Rooms in the Tropics. J. Sustain. Dev. 2011, 4, 142–149. [Google Scholar] [CrossRef]
- Bolan, S.; Kempton, L.; McCarthy, T.; Wijesekara, H.; Piyathilake, U.; Jasemizad, T.; Padhye, L.P.; Zhang, T.; Rinklebe, J.; Wang, H.; et al. Sustainable management of hazardous asbestos-containing materials: Containment, stabilization and inertization. Sci. Total Environ. 2023, 881, 163456. [Google Scholar] [CrossRef]
- Darnton, L. Quantitative assessment of mesothelioma and lung cancer risk based on Phase Contrast Microscopy (PCM) estimates of fibre exposure: An update of 2000 asbestos cohort data. Environ. Res. 2023, 230, 114753. [Google Scholar] [CrossRef]
- Le, A.B.D.; Whyte, A.; Biswas, W.K. Carbon footprint and embodied energy assessment of roof-covering materials. Clean Technol. Environ. Policy 2019, 21, 1913–1923. [Google Scholar] [CrossRef]
- Anter, A.G.; Sultan, A.A.; Hegazi, A.A.; El Bouz, M.A. Thermal performance and energy saving using phase change materials (PCM) integrated in building walls. J. Energy Storage 2023, 67, 107568. [Google Scholar] [CrossRef]
- Rana, M.J.; Hasan, M.R.; Sobuz, M.H.R. An investigation on the impact of shading devices on energy consumption of commercial buildings in the contexts of subtropical climate. Smart Sustain. Built Environ. 2022, 11, 661–691. [Google Scholar] [CrossRef]











| Socioeconomic Stratum (E) | Combination | Roof Material Orientation | Orientation Main Facade | Implementation | ||||
|---|---|---|---|---|---|---|---|---|
| Asbestos–Cement (AC) | Thermoacoustic (TAC) | Sandwich (SAN) | South (S) | North (NOR) | Corner (COR) | Median (MED) | ||
| E1–2 | E1&2-AC-SOUTH-COR | X | X | X | ||||
| E1&2-AC-SOUTH-MED | X | X | X | |||||
| E1&2-AC-NOR-COR | X | X | X | |||||
| E1&2-AC-NOR-MED | X | X | X | |||||
| E1&2-TAC-SOUTH-COR | X | X | X | |||||
| E1&2-TAC-SOUTH-MED | X | X | X | |||||
| E1&2-TAC-NOR-COR | X | X | X | |||||
| E1&2-TAC-NOR-MED | X | X | X | |||||
| E1&2-SAN-SOUTH-COR | X | X | X | |||||
| E1&2-SAN-SOUTH-MED | X | X | X | |||||
| E1&2-SAN-NOR-COR | X | X | X | |||||
| E1&2-SAN-NOR-MED | X | X | X | |||||
| E3–4 | E3&4-AC-SOUTH-COR | X | X | X | ||||
| E3&4-AC-SOUTH-MED | X | X | X | |||||
| E3&4-AC-NOR-COR | X | X | X | |||||
| E3&4-AC-NOR-MED | X | X | X | |||||
| E3&4-TAC-SOUTH-COR | X | X | X | |||||
| E3&4-TAC-SOUTH-MED | X | X | X | |||||
| E3&4-TAC-NOR-COR | X | X | X | |||||
| E3&4-TAC-NOR-MED | X | X | X | |||||
| E3&4-SAN-SOUTH-COR | X | X | X | |||||
| E3&4-SAN-SOUTH-MED | X | X | X | |||||
| E3&4-SAN-NOR-COR | X | X | X | |||||
| E3&4-SAN-NOR-MED | X | X | X | |||||
| E5–6 | E5&6-AC-SOUTH-COR | X | X | X | ||||
| E5&6-AC-SOUTH-MED | X | X | X | |||||
| E5&6-AC-NOR-COR | X | X | X | |||||
| E5&6-AC-NOR-MED | X | X | X | |||||
| E5&6-TAC-SOUTH-COR | X | X | X | |||||
| E5&6-TAC-SOUTH-MED | X | X | X | |||||
| E5&6-TAC-NOR-COR | X | X | X | |||||
| E5&6-TAC-NOR-MED | X | X | X | |||||
| E5&6-SAN-SOUTH-COR | X | X | X | |||||
| E5&6-SAN-SOUTH-MED | X | X | X | |||||
| E5&6-SAN-NOR-COR | X | X | X | |||||
| E5&6-SAN-NOR-MED | X | X | X | |||||
| General Parameters | Socioeconomic Stratum (E) | ||
|---|---|---|---|
| E 1 & 2 | E 3 & 4 | E 5 & 6 | |
| Type of building | Single-story, single-family home | ||
| Volume (m3) | 140 | 196 | 252 |
| Habitable Land (m2) | 50 | 70 | 90 |
| Average height (m) | 2.8 | 2.8 | 2.8 |
| No. of bedrooms | 2 | 2 | 3 |
| No. of living-dining spaces | 1 | 1 | 2 |
| No. of wet spaces (bathrooms + kitchen) | 2 | 3 | 4 |
| Average number of inhabitants | 3 | 3 | 2 |
| Social Stratum (E) | Total Area in the City (km2) | Area Covered by AC (km2) | Emissions (Ton CO2/km2 per Year) | Total Emissions (Ton CO2 per Year) |
|---|---|---|---|---|
| 1–2 | 59.68 (73.73%) | 6.01 | 8070 | 48,500.70 |
| 3–4 | 16.44 (20.31%) | 2.83 | 6690 | 18,942.76 |
| 5–6 | 4.82 (5.96%) | 0.25 | 10,480 | 2639.28 |
| Total | 80.94 (100.00%) | 9.09 | - | 70,082.74 |
Disclaimer/Publisher’s Note: The statements, opinions and data contained in all publications are solely those of the individual author(s) and contributor(s) and not of MDPI and/or the editor(s). MDPI and/or the editor(s) disclaim responsibility for any injury to people or property resulting from any ideas, methods, instructions or products referred to in the content. |
© 2024 by the authors. Licensee MDPI, Basel, Switzerland. This article is an open access article distributed under the terms and conditions of the Creative Commons Attribution (CC BY) license (https://creativecommons.org/licenses/by/4.0/).
Share and Cite
Saba, M.; Coronado-Hernández, O.E.; Gil, L.K.T. Energy Efficiency in Subtropical Homes: Replacing Asbestos–Cement Roofs with Sustainable Alternatives. Buildings 2024, 14, 4082. https://doi.org/10.3390/buildings14124082
Saba M, Coronado-Hernández OE, Gil LKT. Energy Efficiency in Subtropical Homes: Replacing Asbestos–Cement Roofs with Sustainable Alternatives. Buildings. 2024; 14(12):4082. https://doi.org/10.3390/buildings14124082
Chicago/Turabian StyleSaba, Manuel, Oscar E. Coronado-Hernández, and Leydy Karina Torres Gil. 2024. "Energy Efficiency in Subtropical Homes: Replacing Asbestos–Cement Roofs with Sustainable Alternatives" Buildings 14, no. 12: 4082. https://doi.org/10.3390/buildings14124082
APA StyleSaba, M., Coronado-Hernández, O. E., & Gil, L. K. T. (2024). Energy Efficiency in Subtropical Homes: Replacing Asbestos–Cement Roofs with Sustainable Alternatives. Buildings, 14(12), 4082. https://doi.org/10.3390/buildings14124082

