Abstract
The sports environment plays a crucial role in shaping the physical and mental well-being of individuals engaged in sports activities. Understanding how environmental factors and emotional experiences influence sports perceptions is essential for advancing public health research and guiding optimal design interventions. However, existing studies in this field often rely on subjective evaluations, lack objective validation, and fail to provide practical insights for design applications. To address these gaps, this study adopts a data-driven approach. Quantitative data were collected to explore the visual environment of badminton courts using eye-tracking technology and a semantic differential questionnaire. The relationships between environmental factors—such as illuminance (IL), height (Ht), roof saturation (RSa), roof slope (RS), backwall saturation (BSa), and natural materials proportion on the backwall (BN)—and sports perception (W) were analyzed. Furthermore, this study identifies the best-performing machine learning model for predicting sports perception, which is subsequently integrated with a genetic algorithm to optimize environmental design thresholds. These findings provide actionable insights for creating sports environments that enhance user experience and support public health objectives.
1. Introduction
Physical activity plays a vital role in promoting public health. Controlling and preventing physical inactivity are major challenges with far-reaching implications [1]. Existing studies have indicated that sustained long-term engagement in quantitative sports can significantly impact obesity and psychological well-being [2]. In the context of late-stage COVID-19, physical sports activity can effectively combat mental and physical problems associated with prolonged isolation [3] and reduce effects of Coronavirus Disease 2019 (Covid-19) [4]. The architectural design of gymnasiums used for mass fitness is a critical factor influencing the physical activity levels of users. Numerous studies in public health have proven that the experiences of athletes are considerably shaped by the visual aspects of sports environments, which, in turn, affect their perception of sports [5,6]. By enhancing the sports environment, the perception of sports would be improved, and the risk of disease would be decreased [7]. Thus, understanding the influence of environmental factors and emotional experiences on individuals’ sports perceptions is critical in advancing public health studies and promoting optimal design interventions. The existing research in this domain often relies on subjective assessments, lacking objective validation, and fails to provide actionable insights for design applications. To address these gaps, we need to develop a systematic understanding of the relationships between significant environmental factors and sports perception. To achieve this, we also need to collect and validate relevant quantitative data in a sufficiently large amount. In addition, there is no conclusive evidence available on the best machine learning model to unveil how these environmental factors affect sports perception and to what extent.
1.1. The Correlation Between Visual Perception and Emotion in Sports
Araujo proposed that the sports environment considerably influences sports cognition and attitude [8,9]. Some studies have demonstrated that adjusting lighting, glare levels, and color can positively impact user satisfaction with environmental conditions [10]. Recent experiments have demonstrated that using a head-mounted VR device to watch natural scenes during sports can improve psychological well-being and reduce fatigue [11]. Quantitatively, reductions in stress and fatigue levels were significant, with effect sizes exceeding Cohen’s d = 0.5 in controlled settings [12]. The influence of the visual environment on human psychology should not be underestimated. White proved that the visual stimulation in the sports environment has a substantial impact on human physiology and psychology. By screening and optimizing elements of the built environment, the sports perception of individuals can be effectively enhanced, thereby promoting overall health [13,14,15,16]. In the field of visual conception, visual comfort encompasses not only glare comfort but also other visual perception factors [17,18]. However, many existing studies primarily focus on using only light-related environmental parameters (for example, brightness, illumination, and glare) [19,20] instead of visual assessment. For instance, research has shown that brightness levels ranging from 500 lux to 2000 lux are commonly used to calibrate virtual light sources to reflect real-world conditions, with optimal illuminance thresholds identified at 1500–2000 cd/m2 [21]. Studies examining the impact of additional components within the architectural visual environment on visual assessments (such as color, texture, and shape) is limited due to certain equipment constraints [8,22].
In addition, some existing research has established the significant role of emotion in sports psychology and their importance as predictors of sports performance. Assessing emotional states related to sports is firmly rooted in sports psychology, and it is typically assessed through qualitative analysis using questionnaires [23,24]. Lin H.S. conducted a study on the sports participation motivation scale, which reflects the correlation between emotional states in sports, stress levels, and physical health, and analyzes the reliability and validity of the scale [25]. Lochbaum M. [26] investigated the relationship between sports perception and emotions. The indicators used in the evaluation of the impact of environmental visual quality on emotions included pleasure, arousal, and dominance in self-assessment manikins [27]; emotions in the positive and negative affect scales [28]; and 40 emotions’ validation in the physical activity and leisure motivation scales [29]. The PAD model (pleasure–arousal–dominance) was also applied in this study because it provides a simple yet effective framework for capturing the core dimensions of emotional responses, offering a quantitative approach to evaluating subjective feelings in relation to environmental stimuli. Its universal applicability and alignment with visual quality assessments make it particularly suitable for examining the emotional effects of sports environments.
- Literature review and research gap-1:
While existing studies have highlighted the considerable impact of emotions on evaluation of the environment by users, and some research has been conducted on sports and physical health aspects, there is a need for further subdivision of environmental research tailored to specific use scenarios. In particular, regarding the visual environment, which exerts a substantial influence on sports, the relationship between emotions and sports perception (sports environment assessment) has not yet been clearly revealed.
1.2. Visual Perception Elements Research Using Eye Tracker and Virtual Reality
The common approach employed in existing literature to extract architectural spatial elements is the semantic differential (SD) questionnaire method [29]. It can widely and quickly collect respondents’ perceptions or evaluations of spatial visuals, but it is rarely validated through eye-tracking experiments. Eye tracker combined with questionnaire enables a more accurate and intuitive analysis of the influence of building elements on users. Prior research has successfully determined the degree of attraction of architectural elements to individuals by observing and analyzing the built and urban environment through eye-tracking technology [30,31]. Gibson’s theory of spatial perception posits that the world was composed of adjacent surfaces, and the characteristics of the visual scenes were revealed by the relationship between objects and their backgrounds [32]. For exploring the visual perception of architectural space, eye-tracking experiments were used to divide the area of interest (AOI) into areas of architectural space and identify architectural elements that influence the visual gaze. This method is also often employed in research related to assessing visual gaze characteristics in emotional responses [33,34].
Furthermore, Portman proposed the application of virtual reality (VR) devices as a promising direction for integrating VR technology into architecture, landscape, and environment design methods [35]. Additionally, Michelangelo Scorpio explored the feasibility of an immersive virtual environments (IVEs) employed to imitate and recreate lighting design and found that the distinctions between IVE and real environments are minimal [36].
- Literature review and research gap-2:
Previous studies have utilized SD questionnaires to identify the spatial elements (such as roof, wall, floor, and lighting) and their properties (for example, color saturability, spatial height or slope, and light illumination) that affect the visual environment. However, the selection of these spatial elements is somewhat subjective, as it depends on user preferences. In an attempt to reduce the subjective interference of users, eye-trackers have been employed in previous research to screen the spatial elements that capture the attention of users via analyzing eye movement data. Nonetheless, deriving consistent and reliable conclusions from data collected in real-world dynamic scenarios remains challenging. To compensate for the above shortcomings, the effectiveness and reliability of VR technology in visual-environment research have been demonstrated. However, the research method combining SD questionnaires and eye-tracking to conduct experiments and build a database for extensive analysis in IVE has not been previously explored.
1.3. Visual Perception Prediction Model and Optimization
The back propagation (BP) neural network is a widely adopted model in practical engineering projects due to its ability to extract underlying patterns within sample data through a training and learning process [37]. This adaptability enables BP neural networks to develop solution rules for achieving network training objectives effectively. Artificial neural networks (ANNs) have demonstrated exceptional predictive capabilities across a variety of environmental domains, including thermal, acoustic, and visual environments. Leveraging their ability to analyze complex and multi-dimensional datasets, ANNs have been employed to predict environmental comfort and performance with high accuracy. In the field of thermal environment prediction, ANNs have been widely used to forecast comfort levels and performance metrics. For instance, models for thermal comfort prediction have achieved accuracy rates of 90% [38]. It is the most widespread application of artificial neural networks (ANNs) in building environments. Escandón et al. developed calibrated ANN surrogate models to predict the thermal performance of social housing, achieving error margins below 15% [39]. Additional studies on ANN models for thermal comfort prediction are detailed in Table S1 of the Supplementary Materials, showcasing a broader range of research in this area [40,41,42,43,44,45]. In visual environment prediction, ANNs have been applied to evaluate visual comfort and predict levels of discomfort. Aries et al. developed a visual environment surrogate model for office buildings that accurately forecasted physiological and psychological discomfort levels with an accuracy of 92% [39]. Expanding on this, Kazanasmaz et al. applied ANNs to predict daylight illuminance in office buildings, achieving notable accuracy and illustrating their capability in optimizing visual comfort by simulating varying daylight scenarios [46]. Similarly, Nicoletti F et al. developed an ANN-based model for automating the management of Venetian blinds in buildings to balance energy savings and visual comfort [47]. This model proved particularly effective for visual environment evaluations, providing actionable insights for improving building design. Additionally, ANNs have expanded their predictive scope to incorporate emotional and psychological states in environmental assessments. Li applied multi-sensor data with ANN models to predict emotional states in urban public spaces, achieving a 25% improvement in environmental quality assessments compared to traditional methods [48].
Genetic algorithms (GAs) have also gained traction for optimizing architectural environments in conjunction with numerical simulations. D. Gharavian, for example, employs a genetic algorithm (GA) to optimize the feature selection process for a neural-network-based emotion recognition model. It highlights the effective integration of GA for improving the accuracy of emotion evaluation in diverse environments [49]. Rutten applied GAs to architectural design, optimizing thermal, lighting, and energy conditions and achieving energy consumption reductions of 20–30% [50]. Similarly, Gonzalez combined simulation methods with optimization algorithms to enhance lighting conditions in office buildings, reporting improvements in comfort indices by 35% [51].
- Literature review and research gap 3:
There are many examples of applying machine learning combined with a GA to optimize the built environment in the existing research. However, there remains insufficient research on the application of machine learning to optimize sports environment elements by predicting sports emotions. Although research on sports environments has proven the important influence of emotion on sport perception, the research on the calculation of refined environmental factor ranges for specific sports scenes using evolutionary algorithms combined with machine learning remains insufficient.
1.4. Research Objective
To remedy the research gap above, this research selected the badminton sports, which was significantly affected by visual environment [52,53], as the research object.
- To solve the limitation of real scene perception data size and the subjectivity of semantic differential (SD) questionnaire and accurately find strong impact sports visual environmental factors (spatial elements’ properties), this research firstly pointed out the spatial elements which users focused on with the eye tracker, secondly screened out their properties which strongly affect the sports perception with SD questionnaire, and finally constructed the database of environmental impact factors, sports emotions and sports perception in immersive virtual environments (IVEs).
- To address the research gap in ignoring the influence of human behavioral psychological elements (sports emotion) on sports perception, this study explored the influence of multiple visual environmental factors, including light environment indicators (such as spatial geometry, interface texture, and environmental color) on three sports emotions (pleasure, arousal, and dominance) through VR visual environment experiments and studied the contributions of the three sports emotions to sports perception through database analysis.
- In order to explore and test the optimization method of the sports visual environment for a specific sports scene, this research firstly trained the sports emotions surrogate prediction model through the ANNs, secondly combined GA and ANN to calculate the environmental factors’ thresholds, and finally implemented and validated the GA and ANN optimization approach in a real-world sports setting to enhance its sports performance visual environment.
2. Methodology
As illustrated in Figure 1, the research methodology was segmented into four distinct phases. The initial phase identified environmental factors influencing visual perception during movement using an SD questionnaire and eye-tracker experiment, subsequently validated within a VR setting. In the second part, the selected environmental factors above served as independent variables for the design of orthogonal immersive VR experiments, where data of the PAD (pleasure, arousal, and dominance) three sports emotions and W (sports perception) in the VR environment were recorded. In the third part, the influence of environmental factors on the three PAD sports emotions was revealed by correlation tests and data fitting, and a multivariate nonlinear formula between the three PAD sports emotions and W (sports perception) was established. Finally, the artificial neural network (ANN) prediction model was trained with the environmental factors’ datasets, and the sport perception of a real scene was refined and evaluated using the GA and ANN surrogate model within the VR framework.
Figure 1.
Research framework.
2.1. Visual Environment Factors Selecting
The factors influencing sports willingness were examined using an SD questionnaire combined with eye-tracking experiments conducted in both real-world and VR environments. In this study, the SD questionnaire was employed to identify spatial elements and their attributes as environmental factors, while the eye-tracking experiments validated these factors through the visualization of eye-movement data. It is important to note that the experiments were reviewed and approved by the Ethical Review Committee of Harbin Institute of Technology (Reference Number: HIT-2024002), with the corresponding ethical review documentation provided in the Supplementary Materials. Prior to participation, informed consent was obtained from all participants, including 900 individuals (aged 18–46) for the SD questionnaire and 50 individuals (aged 18–46) for the eye-tracking experiments, conducted in real badminton halls and VR environments. Participants voluntarily selected the experiments they wished to participate in. To minimize fatigue and practice effects, each session was limited to 15 min, with a mandatory interval of at least 36 h between consecutive sessions. This study focused specifically on badminton sports environments to explore the influencing factors in greater detail. Seven badminton halls were investigated to conduct the SD questionnaire and eye-tracking experiments, and these real-world environments served as the basis for validating the VR scenes. Detailed information about the seven badminton halls is provided in Table 1.
Table 1.
SD questionnaire and adjective pairs.
2.1.1. Impact Factors Screening with SD Questionnaire
The SD questionnaire was utilized to evaluate and select non-physical elements present in the spatial environment, including space brightness, color temperature, and the ratio of natural light to artificial light. Regarding the properties of the elements, the attributes influencing visual willingness were categorized into color, texture, and geometric properties. For color attributes, the hue, saturation, and value (HSV) system was adopted. Texture properties include reflectance, refractive index, and the proportion of natural materials. The geometric attributes included height, ratio of length to width, and slope. Because most sports buildings are large-space buildings, the form design of sports halls must meet sports regulations; therefore, the form in this study is only for the slope of the roof.
The questionnaire was developed based on a semantic differential (SD) method, incorporating nine pairs of adjectives corresponding to the nine neutral factors influencing spatial visual willingness, as shown in Table 1. In line with the semantic differential scale requirements, the survey utilized a seven-point scale ranging from −2 to 2, where the levels were defined as extremely poor, very poor, poor, neutral, good, very good, and extremely good. Further details regarding the SD questionnaire are available in the Supplementary Materials. In the SD questionnaire, 900 questionnaire participants (550 males and 350 females) were distributed to sports people in 15 different regions, and their ages ranged from 18 to 46 years, with an average age of 29.1. In all questionnaires, 571 of them were recovered, with a sample effective rate of 63.4%. The ages range of 571 questionnaire participants (325 males and 246 females) is from 18 to 46.
2.1.2. Impact Factors Screening with Eye Tracker in Real-World Scenes
The gaze characteristics of users during movements are unknown in the field of VR environment research. Researchers have studied the gaze characteristics of professional athletes, reinforcing the outcomes of the SD questionnaire. Nonetheless, the visual traits of professional athletes and general VR users remain difficult to generalize, it is necessary to prioritize the screening of entity elements in the real-world sports scenes [53]. To explore the influencing factors of specific sports scenarios in detail, this study used the eye-tracker experiments in seven badminton halls. As shown in Table 1, to explore the influence of different visual influencing factors on sports willingness, this study selected seven badminton gymnasiums with different walls, floors and roofs (colors and materials), different indoor space size (heights, areas and roof slops), and different side windows positions as the SD questionnaire results above. As shown in Table 2, details of the seven badminton halls were shown.
Table 2.
Adjective pairs in SD questionnaire.
In the real-world eye-tracking experiment, as illustrated in Figure 2a, participants utilized Tobii Pro Glasses 2 (Tobii, Stockholm, Sweden), a binocular eye-tracking system equipped with two cameras and six reflection points per eye for tracking gaze. Eye positions for both eyes were recorded, with eye movements sampled at 50 Hz [54]. The device captured horizontal and vertical gaze coordinates on the screen, where the origin point (0,0) corresponded to the top-left corner of the display. As depicted in Figure 2b, experiments were conducted in badminton venues adhering to sports standards. Most lighting was artificial and optimized for sports, though some venues included soft natural light. The experiments took place between 9 a.m. and 4 p.m., with participants free to move their heads during the sessions. Fifty participants (22 males and 28 females) aged 18 to 46 years, with an average age of 29.4, were included in this study.
Figure 2.
Eye-tracking experience process.
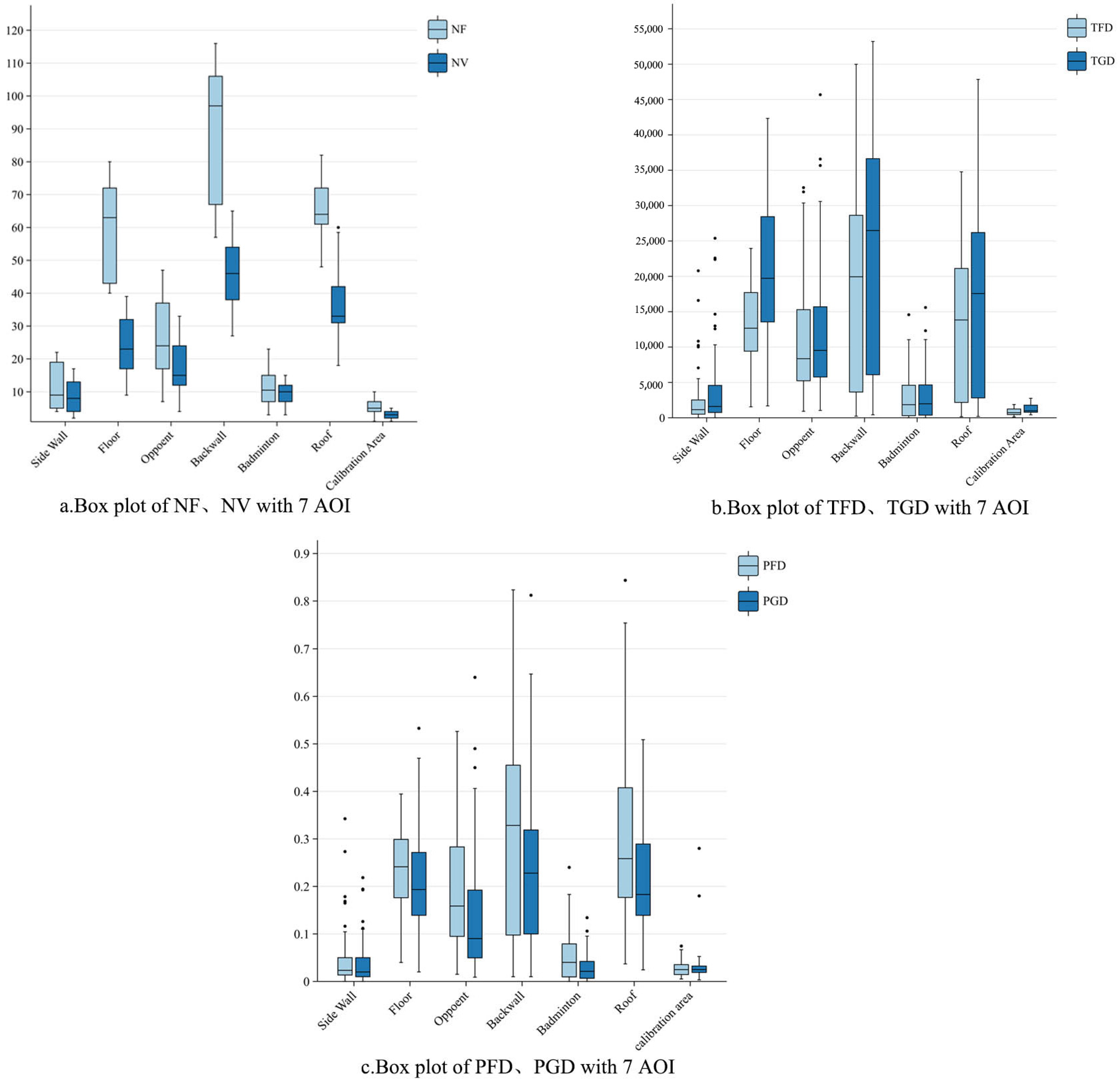
As shown in Figure 2c, the experiment is divided into the following two parts. Firstly, participants signed the consent form and filled out a questionnaire about their demographic data and vision while also being checked for long eyelashes that might obstruct their line of sight. The experimental task was explained to the participants, and the equipment was debugged. During this phase, participants were instructed to catch and hit back as many shuttlecocks as possible within 2 min, with movements of their eyes, head, and body being allowed. Secondly, the equipment was worn by the subjects and took calibration for the subjects. The calibration process is provided by the eye-tracker manufacturer. The calibration consisted of (a) fixing this marker to the center of the stimulus grid, (b) instructing the participant to fixate the marker’s center, and (c) entering calibration mode in the Tobii software(Tobii Pro Lab firmware version 1.25.6-citronkola [55]), after which the process completed automatically. Finally, the timing began, and the test was conducted. The recording ended when the 2 min timed sparring was completed. As shown in Figure 2d, the Tobii Pro Lab was used to mapping the raw gaze data into a snapshot of a scene by dividing the AOI regions. The objects in the visual field were divided into seven regions of interest: back wall, side wall, roof, ground, ball, opponent, and calibration area. Tobi Pro Lab has two types of gaze filters to process the data, and we use the Gaze Filter-I-VT (Fixation) default parameters. The original eye movement data samples include a timestamp and gaze coordinates; these coordinates can be processed by the software into fixation points. The indicators used in the study included four categories of gaze, visit, and saccade, which were used to measure the ability and interest of the AOI to receive attention. These included total fixation duration (TFD), total saccade duration (TGD), proportion of fixation time (PFD), proportion of saccade duration (PGD), number of fixation points (NF), and number of visits (NV).
2.1.3. Eye-Tracker Validation in VR
Since an immersive VR equipment was utilized for subsequent experiments, it was crucial to validate whether participants’ gaze characteristics during movement in the VR environment aligned with those observed in real-world settings before proceeding.
The 3D somatosensory sports project was developed on the Unity3D software (4.1.0f4) platform (badminton as an example), and the badminton can be set to launch in two fixed directions on the other side of the court at an interval of one second, binding the racket model as a handle with the net surface set as a flexible collider. In this scenario, the subjects used the handle to complete the virtual badminton hitting motion.
The HTCVIVE PRO eye(HTC Corporation, Taipei, China) headset allowed users to recreate realistic motions in a scene. HTC VIVE PRO eye can be displayed at 1600 × 1440 (1600 × 110 resolution image per eye), 90° field of view, and 42 Hz refresh rate, and eye movement behavior data of the subject were recorded at the same time. Eye movement data can be processed through the eye movement analysis module in the Ergo-lab platform, and the device is in line with the suggestion of Arianna regarding the VR scenarios [56]. Figure 3b presents the continuous action state of the subjects while wearing the HTCVIVE PRO eye for the test and the changes in the visual environment. Figure 3c shows a screen of the eye movement behavior recorded by the subject while performing the batting motion.
Figure 3.
Process of VR eye-tracking experiment.
There were a total of 30 subjects in this experiment, who voluntarily signed up for the subjects in the measured eye movement experiment. The experimental model was established according to the actual scenes of the measured eye movement experiment. Each scene was completed by six people, and a total of 30 groups of experiments were carried out.
2.2. VR Orthogonal Experiment Setup
In this study, the sports hall of a stadium with the main purpose of mass fitness generally takes the size of a basketball court and badminton court as the standard and does not have fixed stands or removable activity stands, which meets the needs of training, recreational gatherings, small competitive competitions, and fitness sports. As shown in Figure 4b,c, combined with the research on the stadium case, the experimental modeling can accommodate eight standard badminton courts and can be converted into two basketball courts.
Figure 4.
Orthogonal experiment parameters and procedure using VR scenes.
Table 3 highlights the environmental factors significantly associated with sports emotions, which were selected as variable parameters for constructing the VR scene. Regarding the variable settings, illuminance was determined based on the standards for small to medium-sized college gymnasiums outlined in the ‘Standards for Lighting Design and Testing of Stadiums’ [57]. Sports scene illumination was categorized into three levels—low, medium, and high—depending on specific sports requirements. For low-criteria scenarios, the average illuminance ranged from 300 lx to 500 lx, the medium-criteria sports scenario required an average illuminance between 500 lx and 750 lx, and the high-criteria sports scenario required an average illuminance between 750 lx and 1000 lx. Combined with Dialux (version 4.9) simulation of the actual venues, seven illuminations (IL) at 9:00 am were selected, the details of which are shown in Table 4, according to the code for designing sports buildings [58].
Table 3.
Integration of spatial elements.
Table 4.
Optimized thresholds of environmental factors by GA.
The clear indoor heights of basketball and badminton courts were required to be no less than 7 m. As shown in Figure 4a, this research set the heights (Ht) as 7, 8.5, 10, 11.5, 13, 14.5, 16, 17.5, and 19 m. The backwall color saturation (Bsa) and sidewall color saturation (Rsa) were set to six classes, from low to high, in Figure 4a. In addition, Figure 4a illustrates that the roof slope was set from 0° to 30°every 5°, and the proportion of natural wall materials (BN) was set from 0 to 100% every 25%.
An orthogonal experimental design was employed for model development. This approach selects representative points from the full experimental set based on the principle of orthogonality to streamline the experimentation process. As shown in Figure 4b, the experimental model utilized SPSS (version 14.0.1) to generate 81 combinations of scenes and variables through the orthogonal design method [58].
2.2.1. VR Orthogonal Experiment Procedure
All participants provided written informed consent and were briefed on the objectives and procedures of the experiment. This study included 39 participants (19 males and 20 females), with an average age of 24.7 years and a standard deviation of 3.6. The majority of participants had no background in architecture, were in good physical health, and ensured adequate rest prior to the experiment. A total of 1960 experimental sessions were conducted, of which 1657 were deemed valid, yielding an effective rate of 84.5%. This ensured that each VR scene produced over 30 valid data points for analysis. To avoid fatigue and practice effects, each experimental session was limited to no more than 15 min, with a minimum interval of 12 h between two sessions. Participants could decide whether to schedule a subsequent experiment after each session based on their willingness. For each session, the experimental scenario was randomly selected from the set of scenarios that the participant had not yet experienced.
As shown in Figure 4c, before starting the experiment, VR devices were distributed to participants, and they were instructed to carry out the batting task in the assigned scene. After the target batting number was completed, the participants were informed that the experiment would begin. In the environmental experiment, the subjects first wore the headgear and sat still at the scene for 2 min. They then played badminton for 5 min (informed in advance to hit as many balls as possible) and recorded the exact number of shots. Finally, they sat still in the scene for 2 min. At the experiment’s completion, the questionnaire and all related tasks were successfully carried out.
2.2.2. Sports Emotional Assessment
From Table S1 in Supplementary Materials, self-assessment manikins (SAM) is a continuous scale with mannequin graphics, which is widely used to measure emotional responses [59]. As proposed by Mehrabian [60], SAM evaluates human emotions in three dimensions: pleasure, arousal, and dominance. Regarding the pleasure axis, SAM assigns happiness to a frowning figure and unhappiness to a smiling figure. Prior to the experiment, participants were equipped with VR devices and guided to perform the batting task within the designated scene, which indicated that the emotions varied from being controlled to being in control. As existing studies universally used SAM with a continuous 5-point scale [61,62,63], this research set five sports emotion scores in the IVE experiments.
2.3. Data Analysis
2.3.1. Correlation Test
Pearson’s correlation coefficient was applied to examine the relationships between six environmental variables—roof saturation (RSa), back-wall saturation (BSa), natural material proportion of the rear wall (BN), space height (Ht), roof slope (RS), and brightness (IL)—and four emotional evaluation metrics: pleasure (P), arousal (A), dominance (D), and sports perception (W). The R-value indicates the strength of the correlation in this analysis. This study categorized correlations as follows: |R| values between 0 and 0.2 indicated no or negligible correlation, 0.2 to 0.5 signified a fair correlation, 0.5 to 0.7 reflected a moderate correlation, 0.7 to 0.9 represented a very strong correlation, and 0.9 to 1 denoted a perfect correlation [64]. Previous studies have shown that integrating correlation analysis can effectively identify key variables, providing a robust foundation for predictive model optimization. This approach inspired the current study, where identifying critical environmental variables aims to enhance the prediction of emotional metrics, ensuring the scientific validity and reliability of the analysis [65].
2.3.2. Multivariate Nonlinear Fitting
Previous studies have used self-assessment manikins (SAM) in restorative buildings as a visual evaluation index of the spatial environment using a multivariate nonlinear fitting formula [66]. In this study, based on the nonlinear formula in existing research, the least squares method was used to calculate the contribution rate of pleasure (), arousal (), and dominance () scores to sports perception scores (). The formula was as follows, where was the fitting coefficient, was sports perception scores, was the pleasure scores, was the arousal scores, and was the dominance scores.
2.4. Sports Visual Environmental Optimization
2.4.1. Machine Learning Algorithm
The goal of sports visual perception optimization is to refine the architectural form and adjust environmental visual factors to positively influence users’ sports emotions and perception. In this study, the learning ability of the classification and regression algorithms for data features was first tested; the surrogate model, once developed, proved effective in estimating sports perception and three related sports emotions. The training dataset contained 1960 groups of screened environmental factors. The developed surrogate model was capable of forecasting sports perception along with three sports emotions (pleasure, arousal, and dominance) of sports visual environment with the environmental factors’ datasets.
Existing emotional studies universally use classification machine learning for predictions [67]. Because the assessment of sports perception (W) and sports emotions (P, A, and D) was evaluated using a 5-point rating system, the scores of W, P, A, and D were set as the outputs, and the training phase of the surrogate model utilized the values of environmental impact factors as input datasets. In this study, the model effects of decision tree (DT), support vector machine (SVM), k-nearest neighbor (KNN), and artificial neural network (ANN) in the classification calculation methods were compared, and ANN was selected as the appropriate surrogate model.
Decision Tree
Decision trees are applicable to both classification and regression tasks [68]. Their mechanism involves selecting the optimal splitting method to enhance the learning trajectory within each region while minimizing learning uncertainty. In the Formula, represents the proportion of at node , where indicates the fraction of the category, and denotes the class label.
Support Vector Machine (SVM)
Support vector machines (SVMs), first introduced in 1970 [69], are primarily used for classification tasks and are known for their strong fitting performance. A linear SVM determines the margin by calculating the distance w to the nearest data point in each category. The goal is to optimize and (bias) to maximize this margin. Here, is an matrix, and represents its transpose as a matrix.
In the Formula, represents cases where the predicted outcome exceeds 0, while corresponds to outcomes less than 0. The margin of separation, denoted as , is calculated using the following Equation:
To minimize margin errors, specific conditions must be fulfilled, converting the SVM into an optimization problem constrained by the following Equations:
K-Nearest Neighbor (KNN)
KNN, which is a nonparametric method for computing training and test samples in a dataset, is often used for classification [70]. It classifies the input values in the existing data into the k-nearest samples. The three distances are defined as the Euclidean, Manhattan, and Minkowski distances. Based on the given distance measure, we determine the point closest to in the training set. The region adjacent to covering point is referred to as . Class of is determined in according to the classification decision rule. Where is the eigenvector of the instance, is the class of the instance, .
K-nearest neighbors (KNN) is a nonparametric algorithm commonly employed for classification tasks within a dataset [71]. It assigns input values to the -nearest samples based on their proximity in the data. The distances used for this purpose are typically defined as Euclidean, Manhattan, and Minkowski distances. Using the selected distance metric, the closest point to in the training set is identified. The region surrounding containing points is denoted as . The class of is then determined within based on the classification decision rule. Here, represents the feature vector of an instance, and indicates its class, where .
Here, denotes the indicator function, which equals 1 if , and 0 otherwise.
Artificial Neural Network (ANN)
Previous research has utilized artificial neural networks (ANNs) to estimate human environmental evaluations [72]. The structure of an ANN typically includes multiple hidden layers and interconnected neurons [73]. In hidden layer 1, the multi-layer perceptron (MLP) network operates with input and target , as described below:
In this context, represents the output vector of the hidden layer, while and denote the connection weight matrices linking the input layer to the hidden layer and the hidden layer to the output layer, respectively. The parameters and correspond to the biases in the hidden and output layers. The transfer algorithm applied between these layers is defined as follows:
The performance of four classification algorithms was evaluated, and the model structure was refined based on the fitting accuracy. The input data consisted of 1960 sets of environmental impact factors, while the output data included 1960 corresponding scores for sports perception (W) and sports emotions: pleasure (P), arousal (A), and dominance (D). Following standard practice, 70% of the datasets (randomly selecting 1400 sets) were allocated for training, 15% (300 randomly selected sets) for validation, and the remaining data for testing.
2.4.2. Genetic Algorithm
The genetic algorithm (GA) is rooted in the principles of biological evolution and natural selection, making it a powerful tool for solving both constrained and unconstrained complex optimization problems within artificial intelligence [74]. During the optimization process, the input values are used to generate corresponding output values, with the “best” output determined based on the predefined objective function [75]. In this study, the predicted output value (W) served as the GA fitness criterion to identify the optimal range of environmental parameters for the sports environment. Following the parameter settings established in prior research [76,77], the GA parameters were defined as follows: a population size of 200, a crossover fraction of 0.8, and a migration fraction of 0.2. When 200 combinations of input parameters (IL, Ht, RSa, RS, BSa, and BN) were provided, the GA evaluated 200 corresponding W values to identify the maximum value for each generation. Since MATLAB’s (version 2017b) GA function calculates the minimum value by default, the optimization target in this study was set as the negative of W to obtain its maximum. As illustrated in Figure 5, the optimization process concluded after 105 generations of iterations. During the initial stages, there was a significant decrease in both the mean fitness and the best fitness values, indicating rapid progress in optimizing the target function. By the 20th generation, the best fitness value reached −5.11, corresponding to the maximum actual score of 5, while the mean fitness value stabilized around −5.09, reflecting the overall improvement of the population. After this point, the algorithm exhibited convergence, with minimal variation in fitness values across subsequent generations, signifying the attainment of an optimal or near-optimal solution. This demonstrates the effectiveness of the optimization method in achieving the desired objective.
Figure 5.
The effect of optimization with genetic algorithm.
3. Result
3.1. Sports Environmental Impact Factor Screening
3.1.1. SD Questionnaire Results Analysis
As shown in Figure 6, for the color visual factors, saturation showed a higher correlation with sports perception (R = 0.28) compared to hue (R = −0.12) and value (R = 0.03), indicating that hue and value had minimal influence. This suggests that saturation significantly affects users’ emotional and behavioral judgments in sports environments. Regarding visual texture factors, the natural material texture demonstrated the strongest correlation with sports perception (R = 0.27), outperforming transparency (R = 0.17) and roughness (R = −0.02). This implies that incorporating natural materials in sports settings enhances positive emotions and improves user experience. As for spatial geometry factors, the height of the sports environment exhibited a strong correlation with sports perception (R = 0.79), whereas roof slope also showed a moderate positive influence (R = 0.27). This highlights that improvements in the sports visual environment should primarily focus on optimizing the top boundary features, such as height and roof design. Finally, for light visual factors, illuminance had the highest impact on sports perception (R = 0.37), significantly greater than color temperature (R = −0.10) and the proportion of natural light (R = −0.08). This suggests that when adequate illuminance is provided, users may not prioritize other lighting attributes, or these attributes might already meet the desired standards in the actual scene.
Figure 6.
Correlation analysis between the environmental impact factors and sports perception.
3.1.2. Eye Movement Experiment Data Analysis in Real Scenes
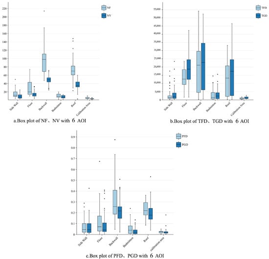
In Figure 7a, the average results for the number of fixations (NF), number of visits (NV), and number of glances (GC) reveal a clear trend in user attention distribution across different areas of interest (AOI). Specifically, the back wall consistently exhibited the highest values, followed by the roof, ground, opponent, badminton, and side wall. For example, the number of fixations (NF) on the back wall was approximately double that on the ground, indicating that participants directed significantly more attention to the back wall. Similarly, the number of visits (NV) and glances (GC) followed this descending order, reinforcing the importance of the back wall and roof in participants’ visual engagement during the activity. The average number of saccades (NS) also demonstrated a similar trend, with the back wall receiving the most saccades, followed by the roof, ground, opponent, side wall, and badminton. This pattern underscores the dynamic nature of participants’ gaze movements, particularly towards the back wall and roof, which may reflect their functional importance in the sports environment. In Figure 7b, the proportion of the duration of fixations (PFD) and the proportion of the duration of glances (PGD) highlight the dominance of the back wall (>45% on average) over other AOIs, with the roof and ground showing moderate values. Interestingly, the side wall and badminton received the least attention in terms of PFD and PGD, accounting for less than 10% on average. This finding indicates that participants spent significantly more time focusing on the back wall and roof, suggesting their critical role in influencing user engagement and perception.
Figure 7.
Analysis of sports gaze features in real scene.
It can be seen that the influence of gaze on badminton was similar. The back wall and roof in the sports environment received more attention than the ball and opponent, and the side walls of the environment received less attention in all statistics, which was consistent with the actual situation of badminton. Although the participants’ attention to the ground was medium, considering that all playing fields were rubber surfaces, the ground was not considered an influential element in the screening of entity elements. Based on the above results, the back wall and roof were selected as the influencing environmental elements.
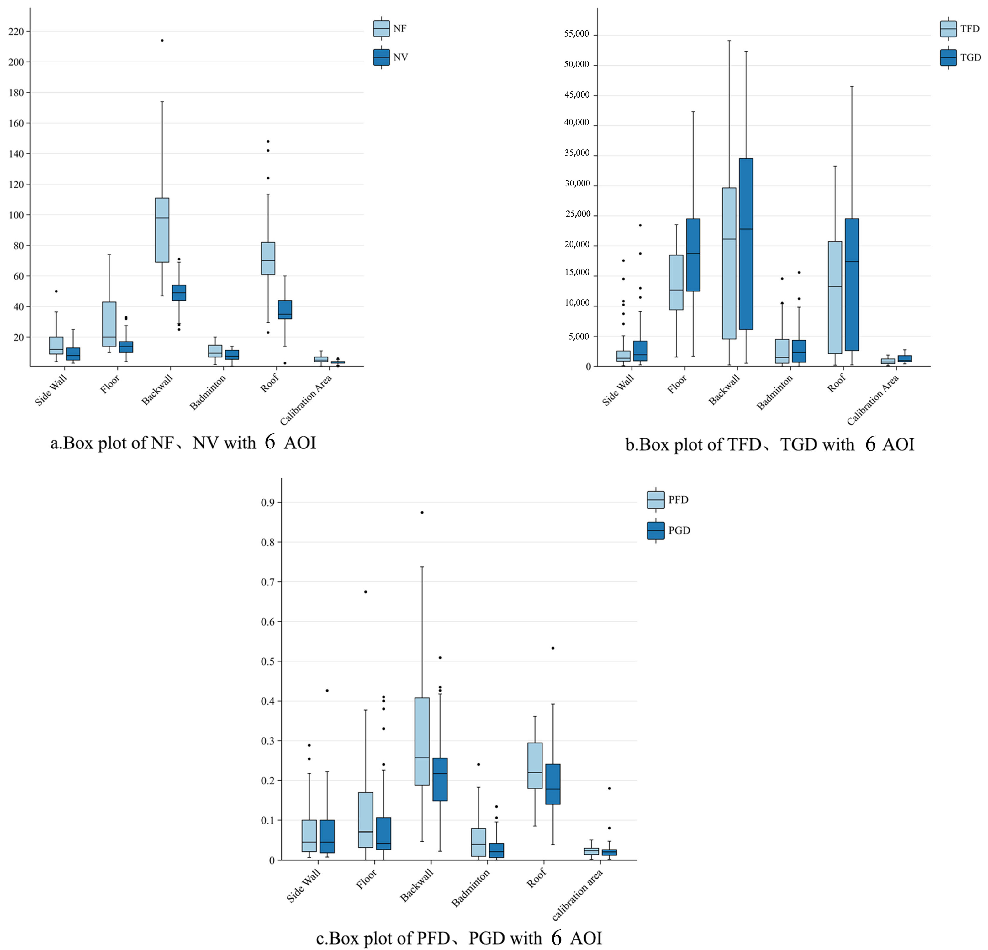
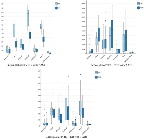
3.1.3. Validation of VR Eye Tracking
The objective of the VR eye-tracking experiment was to evaluate whether participants’ gaze behavior within an immersive VR environment mirrors their gaze patterns in real-world conditions. Data from 30 groups were analyzed, focusing on multiple gaze metrics across six areas of interest (AOIs): side wall, floor, back wall, badminton, and roof. As shown in Figure 8, the results provide detailed insights into participants’ visual engagement in the VR environment. The average levels of TGD and TFD indicate a clear hierarchy in visual attention. The back wall demonstrated the highest values, followed by the roof, side wall, ground, and finally the ball. Notably, the TGD and TFD on the back wall were significantly higher than on the roof, emphasizing its critical role as a focal point for participants. The side wall and ground received moderate attention, while the ball had the lowest engagement levels, reflecting its limited contribution to gaze behavior in the VR context. The PVD results also confirmed that the back wall and roof were the dominant AOIs, with the back wall receiving the highest proportion of visit duration, followed closely by the roof. The side wall and ground displayed moderate proportions, while the ball remained the least attended area. For the PFD and proportion of fixation number (PF), the hierarchy was similar: back wall > roof > side wall > ball > ground. These metrics indicate that the back wall not only attracts more frequent gaze visits but also holds participants’ attention for longer durations, reinforcing its significance in the VR environment. The PVD results also confirmed that the back wall and roof were the dominant AOIs, with the back wall receiving the highest proportion of visit duration, followed closely by the roof. The side wall and ground displayed moderate proportions, while the ball remained the least attended area. For the PFD and proportion of fixation number (PF), the hierarchy was similar: back wall > roof > side wall > ball > ground. These metrics indicate that the back wall not only attracts more frequent gaze visits but also holds participants’ attention for longer durations, reinforcing its significance in the VR environment.
Figure 8.
Analysis of sports gaze features in VR scene.
According to the eye-tracker experiment, the solid elements were the roof and back wall; the perceptual attributes were screened as saturation and natural material proportion; the geometric attributes were screened as height and slope; and the non-entity elements were screened as brightness. By combining the elements and their properties, the illumination (IL), height (Ht), backwall color saturation (Bsa), sidewall color saturation (Rsa), roof slope (BS), and proportion of natural wall materials (BN) were the six screened sports visual environmental impact factors.
3.2. The Influence of Environmental Factors on Sports Emotion
3.2.1. Analysis of Correlation Between Environmental Factors
Six environmental factors, namely illuminance (IL), space height (Ht), back wall saturation (BSa), back wall natural material proportion (BN), roof slope (RS), and roof saturation (RSa), and three sports emotion scores (P, A, and D) were analyzed using the Pearson correlation.
The Pearson correlation coefficient analysis presented in Figure 9 reveals the relationships between environmental factors and three emotional dimensions: pleasure (P), arousal (A), and dominance (D). Among the environmental factors, illuminance (IL) exhibited the strongest correlations with both pleasure (|R| = 0.64) and arousal (|R| = 0.55), indicating its critical role in enhancing user emotions in sports environments. Roof saturation (RSa) also showed significant correlations, particularly with dominance (|R| = 0.78), highlighting its impact on fostering a sense of control in the environment. Back-wall saturation (BSa) displayed a moderate correlation with arousal (|R| = 0.34) and a weaker correlation with pleasure (|R| = 0.20), suggesting its relevance in influencing emotional responses. Additionally, the natural material proportion of the back wall (BN) had slight to moderate correlations with arousal (|R| = 0.21) and dominance (|R| = 0.23), while height (Ht) and roof slope (RS) contributed moderately to dominance (|R| = 0.20 and |R| = 0.34). These findings underscore the importance of prioritizing illuminance and roof saturation in designing sports environments to enhance users’ emotional experiences, with supplementary attention to back-wall saturation and the integration of natural materials to further support arousal and dominance.
Figure 9.
Intra-group correlation analysis between environmental factors and sports emotions.
Therefore, the IL, BSa, and RSa variables were selected to illustrate the influence on pleasure sports emotion and trained to predict P in the surrogate model (ANNP). Similarly, the factors IL, BSa, and BN were used to study sports emotional arousal and predict A using the surrogate model (ANNA). The four factors Ht, BN, RS, and RSa were applied to study their impact on sports emotion dominance and to predict D using a surrogate model (ANND).
3.2.2. The Influence of Environmental Factors on Emotional Pleasure (P)
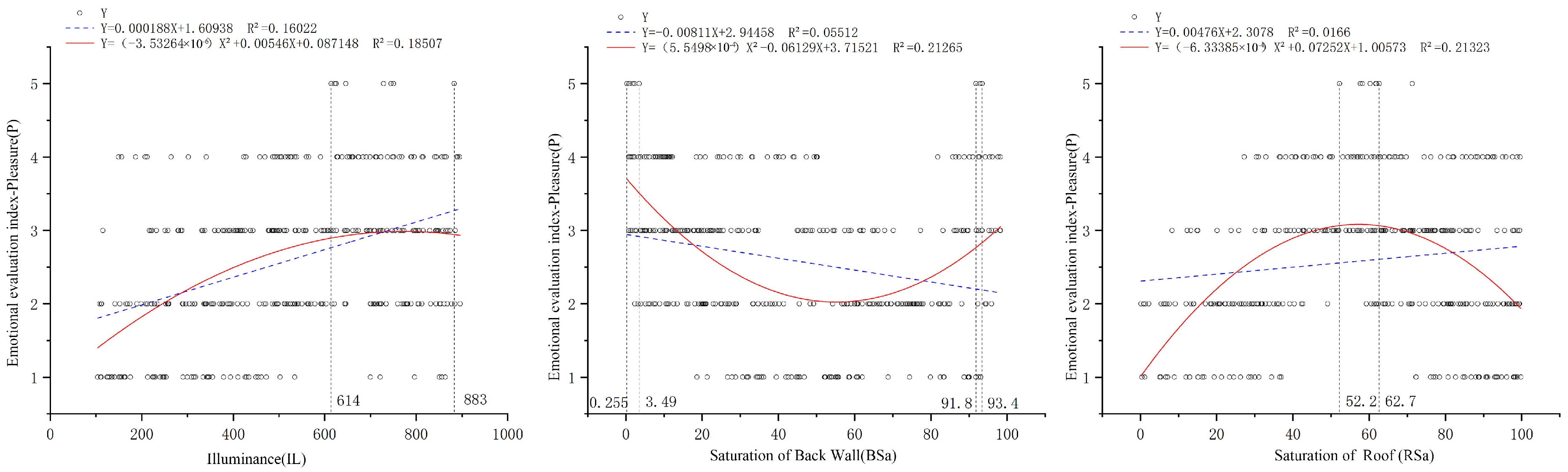
As shown in Figure 10, the correlation analysis showed that the pleasure emotion scores (P) correlated with illuminance (IL), back wall saturation (BSa), and roof saturation (RSa).
Figure 10.
The fitting effect of environmental factors and pleasure (P).
Figure 10 illustrates the relationships between three environmental factors—illuminance (IL), saturation of back wall (BSa), and saturation of roof (RSa)—and the emotional evaluation index pleasure (P). For IL, the quadratic fitting function (R2 = 0.249) provided a better fit than the linear function (R2 = 0.187), showing a trend where P increased initially and then decreased as IL rose. When P reached its maximum value (P = 5), IL ranged between 604 lx and 883 lx, suggesting that moderate illuminance levels are optimal for enhancing user satisfaction. Similarly, for BSa, the quadratic fitting function (R2 = 0.206) also outperformed the linear fit (R2 = 0.087), revealing a U-shaped relationship where P decreased initially and then increased as BSa rose. The maximum P values occurred at two distinct BSa ranges: 0–5 and 92–95, indicating that very low or very high saturation levels are preferable for the back wall. For RSa, the quadratic fitting function (R2 = 0.218) showed that P increased initially and then decreased with rising roof saturation. The optimal RSa range for maximum P (P = 5) was between 55 and 100, highlighting the preference for moderate to high roof saturation levels. These findings underscore the importance of carefully designing environmental parameters: maintaining illuminance between 604 lx and 883 lx, using minimal or high back-wall saturation (0–5 or 92–95), and prioritizing roof saturation between 55 and 100. Such tailored designs can significantly enhance user pleasure and satisfaction in sports environments.
3.2.3. The Influence of Environmental Factors on Emotional Arousal (A)
In Figure 11, the correlation analysis shows that the arousal emotion scores (A) were correlated with illuminance (IL), back wall saturation (BSa), and back wall natural material proportion (BN).
Figure 11.
The fitting effect of environmental factors and arousal (A).
Based on the correlation analysis shown in Figure 11 the quadratic fitting function between IL and A (R2 = 0.205) demonstrated a better fit compared to the linear function (R2 = 0.185). The relationship indicated that as IL increased, A initially rose and subsequently declined. The optimal IL range for achieving the maximum A value (A = 5) was identified to be between 405 lx and 854 lx. Regarding the relationship between BSa and A, the quadratic fitting function (R2 = 0.198) also outperformed the linear model (R2 = 0.070), revealing a nonlinear trend where A decreased initially and then increased as BSa rose. The maximum A value (A = 5) was observed when BSa was within the range of 26 to 88.
Furthermore, the quadratic fitting function between BN and A (R2 = 0.165) exhibited a stronger correlation compared to the linear fitting function (R2 = 0.090). The relationship revealed a positive correlation where A initially increased and then decreased as BN rose. The maximum A value (A = 5) was achieved when the BN content ranged from 33% to 80%.
3.2.4. The Influence of Environmental Factors on Emotional Dominance (D)
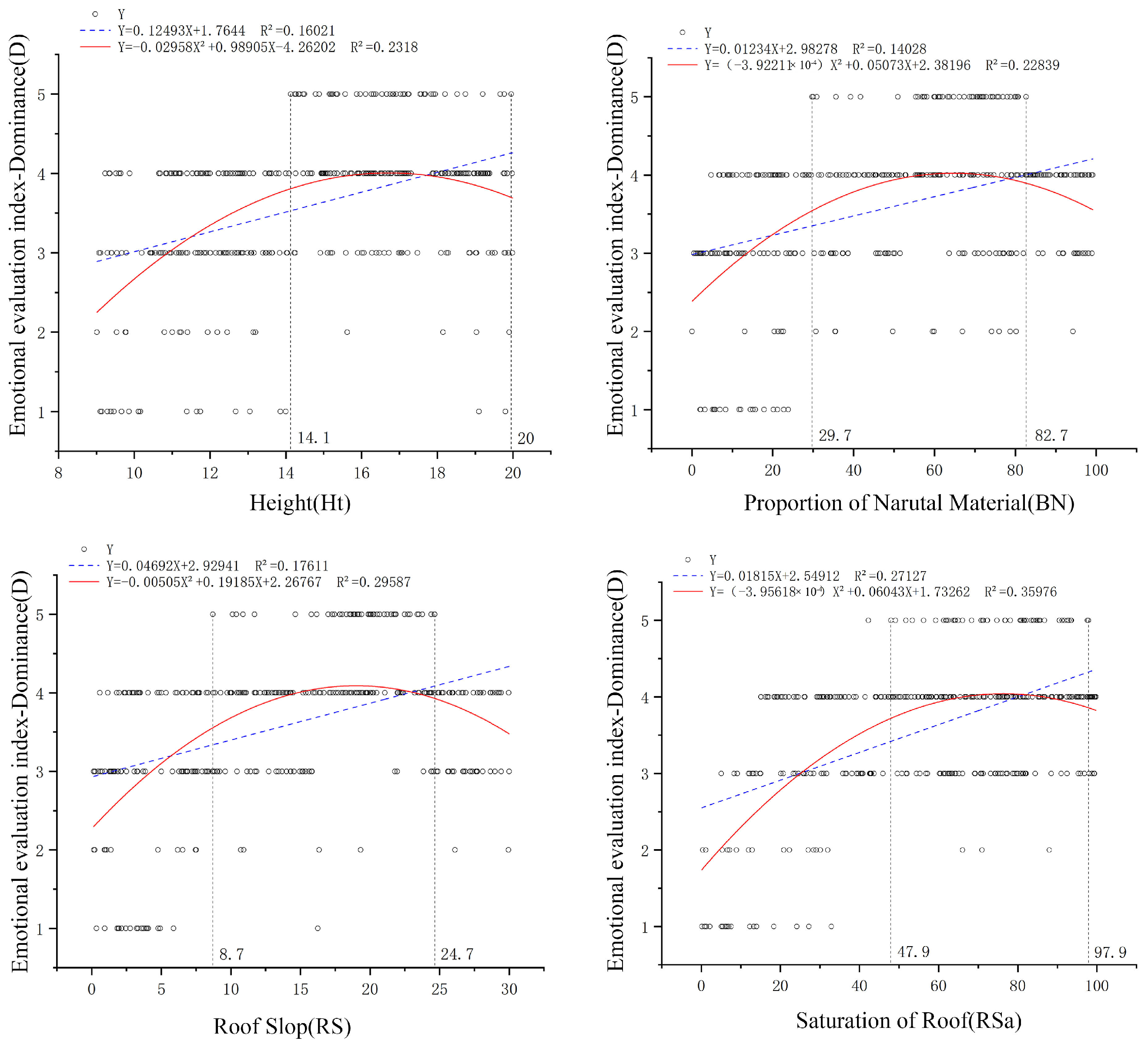
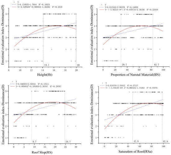
Figure 12 illustrated that the correlation analysis showed that the dominance emotion scores (D) were correlated with height (Ht), back wall natural material proportion (BN), roof slope (RS), and roof saturation (RSa).
Figure 12.
The fitting effect of environmental factors and dominance (D).
As illustrated in Figure 12, the quadratic fitting function between Ht and D (R2 = 0.180) showed a stronger correlation than the linear fitting function (R2 = 0.135). The relationship indicates a positive correlation where D increases initially and then decreases as Ht rises. The maximum D value (D = 5) occurred when Ht ranged from 13.8 m to 20 m.
As for the BN and D, the quadratic fitting function of BN and D (R2 = 0.181) has a higher R-square than that of the primary fitting function (R2 = 0.087). The relationship between D and BN was positive; with an increase in BN, D showed a first decreasing and then increasing trend. The maximum points for D appeared in the middle of the BN range, and when D was at its maximum value (D = 5), BN ranged from 30% to 82.5%.
Additionally, the quadratic fitting function between RS and D (R2 = 0.248) demonstrated a stronger correlation compared to the linear fitting function (R2 = 0.098). The relationship revealed a positive correlation, where D initially increased and then decreased as RS grew. The highest D value (D = 5) was observed in the mid-range of RS, with the optimal RS range identified as 8° to 25°.
Furthermore, the quadratic fitting function between RSa and D (R2 = 0.368) showed a better fit compared to the linear function (R2 = 0.283). The analysis revealed a positive correlation, with D initially rising and then declining as RSa increased. The highest D value (D = 5) occurred in the latter portion of the RSa range, specifically between 45 and 98.
3.2.5. Nonlinear Regression Between Sports Emotion and Perception
As shown in Formula (1), the nonlinear regression between pleasure, arousal, and dominance sports emotion (PAD) and sports perception (W) is shown in this Section. The iterative least squares method was used to estimate the coefficients ( ). The ModelFun MATLAB tool was used to return the vectors, which contained the estimated nonlinear regression coefficients of W on the predictor variables (P, A, and D) and residual (r). The calculation results were , , , and . The regression Equation is as follows:
The sum of the squared residuals was 9060.55, and the R square was 0.96, indicating a good fitting effect.
3.3. Sports Perception Design with Machine Learning
3.3.1. Sports Emotion Surrogate Prediction Model
This Section outlines the training and validation process. The performance of various classification algorithms was evaluated, and the model structure was refined based on the fitting accuracy. The dataset consists of 1960 entries, with environmental factors as inputs and the three PAD emotion scores (pleasure, arousal, and dominance) as outputs.
The decision tree, SVM, KNN, and ANN algorithms were utilized to train the prediction models through the MATLAB Classification Learner toolbox. Figure 13 illustrates the accuracy confusion matrices for these four algorithms in predicting the three PAD emotion scores (pleasure, arousal, and dominance) and provides a summary of their average prediction accuracy.
Figure 13.
Accuracy confusion matrix for four machine learning models.
In general, as shown in Figure 13, the fitting effects of the decision tree (72.67%) and SVM (78.27%) were relatively poor, and the fitting effect of KNN (86.73%) was close to but less than that of ANN (89%). While the decision tree model is simple and interpretable, making it easy to understand the decision-making process, its performance was hindered by overfitting and limited generalization capability, as evidenced by its low average accuracy. To address this issue, post-pruning techniques were applied to limit the depth of the tree and reduce its complexity, which moderately improved generalization but was insufficient to match the performance of other models.
Similarly, the SVM model demonstrated robustness in certain scenarios, particularly in high-dimensional spaces, but its computational intensity and poor performance in D-score prediction (62.4%) highlight its limitations. The SVM model was tuned using a grid search to optimize its kernel function and regularization parameters, balancing its generalization and accuracy. However, the model still underperformed in scenarios requiring more nuanced predictions, particularly when the relationships between variables were highly nonlinear.
The KNN model achieved competitive accuracy, particularly in A-score prediction (90.2%), and benefits from its ability to adapt to nonlinear decision boundaries. However, KNN is inherently memory-intensive and computationally slow during prediction, especially for larger datasets, which can hinder scalability. While cross-validation was applied to select an optimal number of neighbors (k) and avoid overfitting, the model’s performance plateaued compared to ANN.
In contrast, the ANN model consistently outperformed the others, achieving the highest accuracy across all PAD scores (P: 88.2%, A: 91.4%, D: 87.4%). Its layered architecture and activation functions allowed it to capture complex, nonlinear relationships effectively. To prevent overfitting during training, several strategies were employed: (1) L2 regularization was used to penalize large weights and improve generalization. (2) Early stopping was applied based on the validation loss, ensuring the model did not overfit to the training set. (3) Dropout techniques were used to randomly deactivate neurons during training, reducing the risk of overfitting by introducing regularization directly within the architecture. These measures, combined with careful hyperparameter tuning via a grid search approach, ensured the ANN model achieved superior accuracy while maintaining robust generalization. However, it is important to note that ANN requires a larger dataset and higher computational resources compared to the other models, which can pose practical challenges in deployment scenarios.
Overall, ANN stands out as the most effective model for predicting PAD scores in this study, providing superior accuracy and generalization. However, its computational requirements and potential overfitting risks should be taken into account in practical applications.
3.3.2. Sports Visual Environment Optimization Design for Virtual Scenes
In this Section, the badminton sports space of a comprehensive training hall was selected as the optimal object. First, the layout of the selected sports space remained unchanged. Second, 10 different groups of environmental factors (IL, Ht, RSa, RS, BN, and BSa) were set for the selected space in VR, and P, A, D, and W were scored using questionnaires to test the machine learning surrogate model trained in Section 3.3.2. Finally, the three ANN prediction models and the GA were combined for optimization using MATLAB to obtain the maximum value of W as the Formular (16).
As shown in Figure 14a, the graph of VR scene showed 10 different groups of environmental factors in 10 optimized VR scenes (OV1-10). In Figure 14a–d, the average questionnaire P, A, D, and W scores of the 20 participants are compared with the predicted values from the trained surrogate model. In general, from the comparison results, the integer value of the average actual scoring result was consistent with the predicted result, thereby proving the feasibility of the prediction model for optimization design. In particular, from the box plot, although the actual scores for every VR scene differed among the participants, the average score was closer to the predicted value when the number of participants increased.
Figure 14.
Surrogate prediction model validation in sports visual environment optimization design.
In the optimization design, the environmental factors were set within reasonable ranges as follows: The IL was set from 100 lx to 900 lx, Ht from 9m to 10m, RSa from 0 to 100, BN from 0 to 30°, and BSa from 0 to 100. As shown in Table 4, 35 results with W score greater than 4.5 were screened out from the results of optimization convergence, and the optimized environment factors’ thresholds were obtained.
From the GA results, in the optimization design, this research suggested to set the IL from 778.32 lx to 874.43 lx, Ht from 15.27m to 19.60m, RSa from 95.23 to 96.20, RS from 14.03° to 18.07°, BN from 66.09% to 81.46%, and BSa from 58.01 to 76.51.
3.3.3. Sports Visual Environment Renovation Design for an Actual Scene
To explore the universality of the visual environment optimization method, an actual completed badminton hall was selected for the visual environment transformation design. Unlike the last case in Section 3.3.2, except for the unchanged plan layout, the roof height (Ht) and slope (RS) cannot be changed. Similarly, 10 different groups of environmental factors (IL, RSa, BN, and BSa) were used in VR, and the scores P, A, D, and W from the questionnaires were applied to test the trained surrogate model in Section 3.3.2. A valid ANN surrogate model combined with GA was used in the renovation design.
As shown in Figure 15a, the graph of the VR scene shows 10 different groups of environmental factors in 10 optimized actual scenes (OA1-10). In Figure 15a–d, the average questionnaire P, A, D, and W scores of the 20 participants were close to the predicted values from the trained surrogate model, which means that the trained surrogate model was also applicable in the renovation design for an actual scene. In particular, when Ht and Rs remained unchanged, the validation of score D was better than that of scores P and A. To a certain extent, this proved that Ht and Rs seriously affected sports emotion dominance.
Figure 15.
Surrogate prediction model validation in sports visual environment reformation design.
As shown in Table 5, the optimized renovation visual scene improved 1 level (W from 3.52 to 4.80) in sports perception. As for the sports emotion pleasure (P) improvement, increasing illuminance and interface saturation was effective. Increasing sports emotion arousal (A) proved that, except for increasing illumination, a refined design for the backwall interface was necessary, especially in natural material applications and color saturation selection. With the roof slope and height unchanged, the sports emotion dominance (D) 2-level enhancing showed that an increase in natural material application and roof color saturation should be highly valued in the renovation design of the completed sports environment. In particular, the comparison of the real scenes’ emotion scores and their corresponding VR scenes’ score found that, although their average scores were similar, the VR scenes’ scores were slightly lower than the real scenes’ score. This might be because, under the same illumination and saturation values, the visual perception of illumination in VR scenes was slightly lower, and the visual perception of saturation was slightly higher than that in real scenes.
Table 5.
Improvement effect of sports visual environment in renovation design.
4. Discussion
The research gaps in sports visual perception have been remedied above, but three limitations of this research should be discussed.
4.1. Limitations of Sports Visual Environment Factors Screening
To address the challenge of insufficient data from limited real-world visual scenes, this study employed a VR eye tracker and an SD questionnaire to construct a comprehensive database for analyzing the impact of environmental factors on sports visual perception and emotions. In Section 3.1 and Section 3.2, various physical and spatial environmental factors were examined, including illuminance, height, roof saturation, roof slope, and natural material proportion, providing a detailed understanding of how these factors influence sports perception and emotional responses. However, compared to earlier works that explored other sensory domains, such as acoustic environments [78] and thermal comfort [39], this study focused primarily on visual environmental factors, leaving out the potential interactive effects of multisensory stimuli on sports perception.
For instance, previous studies have demonstrated that thermal comfort can significantly affect emotional states and cognitive performance in indoor environments [79], while acoustic conditions can influence spatial awareness and perception [80]. Unlike those studies, which primarily address comfort or performance in general contexts, this study uniquely highlights the role of visual environmental factors in shaping sports-specific emotions and perception. However, this approach inherently limits the scope to visual stimuli, overlooking potential cross-modal influences, such as how acoustic or thermal conditions may enhance or detract from the visual experience during sports activities. In future research, integrating VR technology with artificial environmental bins could provide a controlled and flexible platform for studying the combined influence of multiple physical environmental factors (e.g., acoustic and thermal environments) on sports visual perception. This approach could address the limitations of this study by enabling a holistic analysis of the multisensory interactions that occur in real-world sports environments. Additionally, expanding the scope to include dynamic changes in environmental factors, such as fluctuating light or sound levels, would enhance the generalizability of the findings and contribute to a more comprehensive understanding of sports visual perception.
4.2. Limitations of Subjectivity in Sports Emotion SAM Scoring
To explore the factors influencing the visual perception of sports from the perspective of users’ emotions, this study introduced three emotional indicators—pleasure, arousal, and dominance—using the self-assessment manikin (SAM) scoring mechanism. In Section 3.1 and Section 3.3, the experimental results revealed notable differences in sports emotion scores for the same environment, highlighting the variability in emotional responses. The use of VR combined with the eye-tracker method provided an objective means to verify the contribution of emotions to movement intention, aligning with previous studies that demonstrated the importance of emotions in driving user behavior [17,81]. Unlike traditional methods that rely solely on static questionnaires or observational data, this study leveraged immersive technology to capture real-time emotional and perceptual feedback, which enhances the reliability of findings. However, subjective limitations inherent in the SAM scoring mechanism remain a challenge, as emotional evaluations can vary significantly across different populations. Similar studies have addressed these issues by incorporating physiological indicators, such as heart rate variability or galvanic skin response, to complement subjective emotional assessments [17]. Affective computing techniques, which utilize algorithms to analyze facial expressions, voice tone, or physiological signals, have also shown promise in reducing subjectivity in emotional evaluations [27]. Future research could integrate these advanced techniques to enhance the objectivity and granularity of emotional evaluations, particularly in sports contexts where individual differences play a significant role. Additionally, expanding the demographic diversity of participants and incorporating longitudinal studies would help account for population-based variability and provide deeper insights into the relationship between emotion and visual perception in sports.
4.3. Limitations of Sports Type and User Group Selecting
To verify the robustness of the experimental results and the trained machine-learning surrogate sports emotion prediction model, we applied them to both an optimization design for VR scenes and a renovation design for an actual sports environment. In Section 3.3, this study successfully derived reasonable optimized thresholds for environmental factors in VR scenes, demonstrating their potential for enhancing visual environmental designs. Additionally, the renovation design for an actual badminton sports environment improved the sports perception score by one level, showcasing the practical applicability of the proposed methods. These findings align with prior studies emphasizing the importance of data-driven approaches for optimizing sports environments [21,82]. However, unlike studies that explore broader environmental applications, such as running tracks or rock climbing facilities, this study focuses exclusively on badminton spaces, which limits the generalizability of the proposed method.
Furthermore, while this research effectively validated its approach within the context of badminton, the applicability of the surrogate model to other sports types and their unique visual environmental factors remains unproven. Previous works have shown that environmental influences can vary significantly across sports due to differing spatial, physical, and perceptual demands [80]. To address these gaps, future studies should expand to other common sports, such as running [17], rock climbing [82], or team sports, to evaluate the broader relevance of the proposed framework. Additionally, while this study primarily involved participants from a single age group, future research should consider the visual and emotional perceptions of younger and older users, as prior research suggests significant age-related differences in perception and emotional responses [83,84]. Incorporating these factors would not only validate the robustness of the surrogate model but also enhance its utility for diverse user groups and sports settings.
5. Conclusions
5.1. Environmental Factors
From the results in Section 3.1.1, the entity elements’ properties selected by SD questionnaire were saturation of color, roof shape, texture (Percent of natural materials), and height, and the non-entity element was brightness. In Section 3.1.2, the eye tracker data showed that in the process of sports, users paid the most attention to the back wall and roof of the building. In addition, through the Pearson correlation analysis in Section 3.2.1, six environmental factors—illuminance (IL), space height (Ht), roof saturation (RSa), roof slope (RS), natural material proportion of the back wall (BN), and back wall saturation (BSa)—influenced the sports visual environment.
5.2. VR and Actual Scenes
This study compared sports perception in VR and actual scenes, revealing both similarities and differences. As highlighted in Section 3.3.3, the average scores of pleasure (P), arousal (A), and dominance (D) in VR scenes were slightly lower than those in actual scenes for the same environmental factors. This suggests that while VR provides a comparable environment, it may slightly underrepresent the visual perception of illumination and overemphasize the perception of saturation compared to real-world conditions. Despite these differences, validation through eye tracker data and the SD questionnaire (Section 3.1.2 and Section 3.1.3) demonstrated that the gaze features in VR scenes closely mirrored those in actual scenes during badminton sports activities. Furthermore, the comparative results from Section 3.3.3 indicated that the average scores for sports emotions (P, A, and D) and sports perception (W) in VR scenes were similar to those in real scenes, supporting the reliability of VR as a research tool.
While the findings confirm that VR technology is a feasible method for studying sports visual environments, one limitation is the potential discrepancy between virtual and real-world stimuli, particularly in dynamic or multi-sensory settings. Future studies could enhance the VR experience by integrating additional sensory inputs, such as auditory and haptic feedback, to improve its alignment with real-world environments. Expanding the scope of research to different sports contexts and testing user behavior under varying lighting and saturation levels could further refine VR’s application in environmental design studies.
5.3. Sports Emotions and Perception
This study explored the influence of environmental factors on sports emotions and their subsequent impact on sports perception. From the regression analysis in Section 3.2.2, a negative correlation was observed between back wall saturation (BSa) and sports emotional pleasure (P), while illumination and roof saturation were positively correlated with pleasure (P). Regarding sports emotional arousal (A), the analysis in Section 3.2.3 revealed that illumination, back wall saturation, and the proportion of natural materials were positively correlated with arousal (A). Similarly, the results in Section 3.2.4 indicated that height, roof saturation, roof slope, and the proportion of natural materials were positively correlated with sports emotion dominance (D). These findings highlight the significant role of environmental factors in shaping various dimensions of sports emotion.
5.4. Machine Learning
The predictive effects of the decision tree, SVM, KNN, and ANN models were compared in Section 3.3.1. Among these, the classification forecasting accuracy of the ANN model (89%) was higher than that of the decision tree (72.67%), SVM (78.27%), and KNN (86.73%). The decision tree model, while simple and interpretable, struggled with overfitting and had limited generalization capability, resulting in the lowest accuracy among the models. The SVM model performed moderately well, particularly in high-dimensional spaces, but its computational intensity and lower performance in specific predictions (e.g., dominance score) limited its effectiveness. The KNN model achieved competitive accuracy (86.73%) and performed well for nonlinear decision boundaries; however, it was memory-intensive and computationally slower for larger datasets. In contrast, the ANN model consistently outperformed the others, benefiting from its ability to model complex, nonlinear relationships due to its layered architecture and activation functions. Despite requiring more computational resources and careful hyperparameter tuning, the ANN’s superior accuracy across all prediction tasks confirms it as the most effective method for predicting sports emotions.
5.5. Optimization and Renovation
This study identified optimized thresholds for key environmental factors in VR sports visual environments through GA-based optimization (Section 3.3.2). The suggested ranges for optimal sports visual environmental design were as follows: illumination (Il) between 778.32 lx and 874.43 lx, height (Ht) between 15.27 m and 19.60 m, roof saturation (RSa) between 95.23 and 96.20, roof slope (RS) between 14.03° and 18.07°, natural material proportion of the back wall (BN) between 95.23% and 96.20%, and back wall saturation (BSa) between 58.01 and 76.51. These thresholds offer practical guidelines for creating well-optimized sports visual environments in virtual reality.
For actual sports scenes, the renovation design based on GA results (Section 3.3.3) suggested adjustments to key environmental factors: illumination (IL) was set to 864.25 lx, roof saturation (RSa) to 94.75, and the natural material proportion of the back wall (BN) to 63%, with saturation increased to 80.53%. The renovation led to notable improvements in sports perception (W), which increased by one level, while sports emotion dominance (D) improved by two levels, and pleasure (P) and arousal (A) improved by one level each. This confirmed that enhancing illuminance, increasing natural material application, and adjusting color saturation of interior surfaces were critical strategies for improving the sports visual environment. Interestingly, the Pearson correlation analysis (Section 3.2.1) revealed that increasing illuminance to the recommended range yielded the most significant improvement compared to other measures.
Supplementary Materials
The following supporting information can be downloaded at: https://www.mdpi.com/article/10.3390/buildings14124012/s1, Figure S1: Relationship between the gaze point and actual point x and y coordinates during the 9 s.; Table S1: Literature on machine learning in built environment prediction.
Author Contributions
Conceptualization, T.W.; Methodology, T.W.; Formal analysis, S.X.; Investigation, T.W.; Data curation, S.X.; Writing—Original draft, T.W.; Writing—Review & Editing, T.W.; Visualization, T.W.; Supervision, P.L.; Project administration, P.L.; Funding acquisition, P.L. All authors have read and agreed to the published version of the manuscript.
Funding
This research received no external funding or This research was funded by National Natural Science Foundation of China grant number 52078156. And The APC was funded by National Natural Science Foundation of China grant number 52078156.
Institutional Review Board Statement
The study was approved by the Harbin Institute of Technology Medical Ethics Committee (protocol code HIT-2024002 and 19 January 2024) for studies involving humans.
Data Availability Statement
The data that support the findings of this study are available from the corresponding author upon reasonable request.
Acknowledgments
The authors collectively affirm that they have all reviewed and agreed to the content of this manuscript. They have each contributed to the research and writing processes in accordance with their specific roles and expertise.
Conflicts of Interest
The authors declare no conflict of interest.
References
- Handy, S. Health and community design: The impact of the built environment on physical activity. J. Am. Plan. Assoc. 2004, 70, 375–376. [Google Scholar]
- Murphy, M.H.; Blair, S.N.; Murtagh, E.M. Accumulated versus Continuous Exercise for Health Benefit A Review of Empirical Studies. Sports Med. 2009, 39, 29–43. [Google Scholar] [CrossRef] [PubMed]
- Jimenez-Pavon, D.; Carbonell-Baeza, A.; Lavie, C.J. Physical exercise as therapy to fight against the mental and physical consequences of COVID-19 quarantine: Special focus in older people. Prog. Cardiovasc. Dis. 2020, 63, 386–388. [Google Scholar] [CrossRef] [PubMed]
- Jimeno-Almazán, A.; Pallarés, J.G.; Buendía-Romero, Á.; Martínez-Cava, A.; Franco-López, F.; Sánchez-Alcaraz Martínez, B.J.; Bernal-Morel, E.; Courel-Ibáñez, J. Post-COVID-19 Syndrome and the Potential Benefits of Exercise. Int. J. Environ. Res. Public Health 2021, 18, 5329. [Google Scholar] [CrossRef]
- Barton, J.; Pretty, J. What is the best dose of nature and green exercise for improving mental health? A multi-study analysis. Environ. Sci. Technol. 2010, 44, 3947–3955. [Google Scholar] [CrossRef]
- Song, C.; Ikei, H.; Igarashi, M.; Miwa, M.; Takagaki, M.; Miyazaki, Y. Physiological and psychological responses of young males during spring-time walks in urban parks. J. Physiol. Anthropol. 2014, 33, 8. [Google Scholar] [CrossRef]
- Bowler, D.E.; Buyung-Ali, L.M.; Knight, T.M.; Pullin, A.S. A systematic review of evidence for the added benefits to health of exposure to natural environments. BMC Public Health 2010, 10, 456. [Google Scholar] [CrossRef]
- Araujo, D.; Davids, K. Ecological approaches to cognition and action in sport and exercise: Ask not only what you do, but where you do it. Int. J. Sport Psychol. 2009, 40, 5. [Google Scholar]
- Sussman, A.; Hollander, J. Cognitive Architecture: Designing for How We Respond to the Built Environment; Routledge: London, UK, 2021. [Google Scholar]
- Veitch, J.A.; Charles, K.E.; Farley, K.M.J.; Newsham, G.R. A model of satisfaction with open-plan office conditions: COPE field findings. J. Environ. Psychol. 2007, 27, 177–189. [Google Scholar] [CrossRef]
- Li, H.; Ding, Y.; Zhao, B.; Xu, Y.; Wei, W. Effects of immersion in a simulated natural environment on stress reduction and emotional arousal: A systematic review and meta-analysis. Front. Psychol. 2023, 13, 1058177. [Google Scholar] [CrossRef]
- Calogiuri, G.; Litleskare, S.; Fagerheim, K.A.; Rydgren, T.L.; Brambilla, E.; Thurston, M. Experiencing Nature through Immersive Virtual Environments: Environmental Perceptions, Physical Engagement, and Affective Responses during a Simulated Nature Walk. Front. Psychol. 2017, 8, 2321. [Google Scholar] [CrossRef] [PubMed]
- Ekkekakis, P.; Hargreaves, E.A.; Parfitt, G. Invited Guest Editorial: Envisioning the next fifty years of research on the exercise–affect relationship. Psychol. Sport Exerc. 2013, 14, 751–758. [Google Scholar] [CrossRef]
- White, M.P.; Pahl, S.; Ashbullby, K.J.; Burton, F.; Depledge, M.H. The Effects of Exercising in Different Natural Environments on Psycho-Physiological Outcomes in Post-Menopausal Women: A Simulation Study. Int. J. Environ. Res. Public Health 2015, 12, 11929–11953. [Google Scholar] [CrossRef] [PubMed]
- Gill, D.L.; Williams, L.; Reifsteck, E.J. Psychological Dynamics of Sport and Exercise; Human Kinetics: Champaign, IL, USA, 2017. [Google Scholar]
- Yeh, H.P.; Stone, J.A.; Churchill, S.M.; Brymer, E.; Davids, K. Physical and Emotional Benefits of Different Exercise Environments Designed for Treadmill Running. Int. J. Environ. Res. Public Health 2017, 14, 752. [Google Scholar] [CrossRef]
- Harte, J.L.; Eifert, G.H. The Effects of Running, Environment, and Attentional Focus on Athletes’ Catecholamine and Cortisol-Levels and Mood. Psychophysiology 1995, 32, 49–54. [Google Scholar] [CrossRef]
- Kweon, B.S.; Ulrich, R.S.; Walker, V.D.; Tassinary, L.G. Anger and stress: The role of landscape posters in an office setting. Environ. Behav. 2008, 40, 355–381. [Google Scholar] [CrossRef]
- Jeannerod, M. A theory of representation-driven actions. In The Perceived Self-Ecological and Interpersonal Sources of Self-Knowledge; Cambridge University Press: Cambridge, UK, 1993. [Google Scholar]
- Shi, L.G.; Zhang, Y.X.; Wang, Z.L.; Cheng, X.Y.; Yan, H.Z. Luminance parameter thresholds for user visual comfort under daylight conditions from subjective responses and physiological measurements in a gymnasium. Build. Environ. 2021, 205, 108187. [Google Scholar] [CrossRef]
- Kong, G.; Chen, P.; Wang, L.; Chen, S.; Yu, J. Calibration of brightness of virtual reality light sources based on user perception in the real environment. J. Build. Eng. 2023, 78, 107702. [Google Scholar] [CrossRef]
- Credé, M.; Niehorster, S. Adjustment to college as measured by the student adaptation to college questionnaire: A quantitative review of its structure and relationships with correlates and consequences. Educ. Psychol. Rev. 2012, 24, 133−165. [Google Scholar] [CrossRef]
- Araújo, D.; Davids, K.; Renshaw, I. Cognition, emotion and action in sport: An ecological dynamics perspective. In Handbook of Sport Psychology; Wiley: Hoboken, NJ, USA, 2020; pp. 535–555. [Google Scholar]
- McCarthy, P.J. Positive emotion in sport performance: Current status and future directions. Int. Rev. Sport Exerc. Psychol. 2011, 4, 50–69. [Google Scholar] [CrossRef]
- Zimmer, Z.; Lin, H.S. Leisure activity and well-being among the elderly in Taiwan: Testing hypotheses in an Asian setting. J. Cross-Cult. Gerontol. 1996, 11, 167–186. [Google Scholar] [CrossRef] [PubMed]
- Lochbaum, M.; Zanatta, T.; Kirschling, D.; May, E. The Profile of Moods States and athletic performance: A meta-analysis of published studies. Eur. J. Investig. Health Psychol. Educ. 2021, 11, 50–70. [Google Scholar] [CrossRef] [PubMed]
- Bradley, M.M.; Lang, P.J. Measuring emotion: The self-assessment manikin and the semantic differential. J. Behav. Ther. Exp. Psychiatry 1994, 25, 49–59. [Google Scholar] [CrossRef] [PubMed]
- Watson, D.; Clark, L.A.; Tellegen, A. Development and validation of brief measures of positive and negative affect: The PANAS scales. J. Personal. Soc. Psychol. 1988, 54, 1063. [Google Scholar] [CrossRef] [PubMed]
- Molanorouzi, K.; Khoo, S.; Morris, T. Validating the Physical Activity and Leisure Motivation Scale (PALMS). BMC Public Health 2014, 14, 909. [Google Scholar] [CrossRef]
- Maffei, L.; Iannace, G.; Masullo, M.; Nataletti, P. Noise exposure in school gymnasia and swimming pools. Noise Control. Eng. J. 2009, 57, 603–612. [Google Scholar] [CrossRef]
- Lee, S.; Cinn, E.; Yan, J.; Jung, J. Using an Eye Tracker to Study Three-Dimensional Environmental Aesthetics: The Impact of Architectural Elements and Educational Training on Viewers’ visual Attention. J. Archit. Plan. Res. 2015, 32, 145–167. [Google Scholar]
- Kitazawa, K.; Fujiyama, T. Pedestrian vision and collision avoidance behavior: Investigation of the information process space of pedestrians using an eye tracker. In Pedestrian and Evacuation Dynamics; Springer: New York, NY, USA, 2009; pp. 95–108. [Google Scholar]
- Gibson, J.J. The Ecological Approach to Visual Perception; Psychology Press: New York, NY, USA, 1986. [Google Scholar]
- Fisher, D.L.; Pradhan, A.K.; Pollatsek, A.; Knodler, M.A., Jr. Empirical evaluation of hazard anticipation behaviors in the field and on driving simulator using eye tracker. Transp. Res. Rec. 2007, 2018, 80–86. [Google Scholar] [CrossRef]
- Palinko, O.; Kun, A.L.; Shyrokov, A.; Heeman, P. Estimating cognitive load using remote eye tracking in a driving simulator. In Proceedings of the 2010 Symposium on Eye-Tracking Research & Applications, Austin, TX, USA, 22–24 March 2010; pp. 141–144. [Google Scholar]
- Portman, M.E.; Natapov, A.; Fisher-Gewirtzman, D.J.C. To go where no man has gone before: Virtual reality in architecture, landscape architecture and environmental planning. Comput. Environ. Urban Syst. 2015, 54, 376–384. [Google Scholar] [CrossRef]
- Scorpio, M.; Laffi, R.; Teimoorzadeh, A.; Ciampi, G.; Masullo, M.; Sibilio, S. A calibration methodology for light sources aimed at using immersive virtual reality game engine as a tool for lighting design in buildings. J. Build. Eng. 2022, 48, 103998. [Google Scholar] [CrossRef]
- Buscema, M. Back propagation neural networks. Subst. Use Misuse 1998, 33, 233–270. [Google Scholar] [CrossRef] [PubMed]
- Al Mindeel, T.; Spentzou, E.; Eftekhari, M. Energy, thermal comfort, and indoor air quality: Multi-objective optimization review. Renew. Sustain. Energy Rev. 2024, 202, 114682. [Google Scholar] [CrossRef]
- Escandón, R.; Ascione, F.; Bianco, N.; Mauro, G.M.; Suárez, R.; Sendra, J.J. Thermal comfort prediction in a building category: Artificial neural network generation from calibrated models for a social housing stock in southern Europe. Appl. Therm. Eng. 2019, 150, 492–505. [Google Scholar] [CrossRef]
- Kerdan, I.G.; Gálvez, D.M. Artificial neural network structure optimisation for accurately prediction of exergy, comfort and life cycle cost performance of a low energy building. Appl. Energy 2020, 280, 115862. [Google Scholar] [CrossRef]
- Lopez-Perez, L.A.; Flores-Prieto, J.J.; Rios-Rojas, C. Comfort temperature prediction according to an adaptive approach for educational buildings in tropical climate using artificial neural networks. Energy Build. 2021, 251, 111328. [Google Scholar] [CrossRef]
- Zhang, W.; Wu, Y.; Calautit, J.K. A review on occupancy prediction through machine learning for enhancing energy efficiency, air quality and thermal comfort in the built environment. Renew. Sustain. Energy Rev. 2022, 167, 112704. [Google Scholar] [CrossRef]
- Wang, Z.; Calautit, J.; Tien, P.W.; Wei, S.; Zhang, W.; Wu, Y.; Xia, L. An occupant-centric control strategy for indoor thermal comfort, air quality and energy management. Energy Build. 2023, 285, 112899. [Google Scholar] [CrossRef]
- Ogundiran, J.; Asadi, E.; Gameiro da Silva, M. A Systematic Review on the Use of AI for Energy Efficiency and Indoor Environmental Quality in Buildings. Sustainability 2024, 16, 3627. [Google Scholar] [CrossRef]
- Kazanasmaz, T.; Günaydin, M.; Binol, S. Artificial neural networks to predict daylight illuminance in office buildings. Build. Environ. 2009, 44, 1751–1757. [Google Scholar] [CrossRef]
- Nicoletti, F.; Kaliakatsos, D.; Parise, M. Optimizing the control of Venetian blinds with artificial neural networks to achieve energy savings and visual comfort. Energy Build. 2023, 294, 113279. [Google Scholar] [CrossRef]
- Li, R.; Yuizono, T.; Li, X. Affective computing of multi-type urban public spaces to analyze emotional quality using ensemble learning-based classification of multi-sensor data. PLoS ONE 2022, 17, e0269176. [Google Scholar] [CrossRef] [PubMed]
- Gharavian, D.; Sheikhan, M.; Nazerieh, A. Garoucy Speech emotion recognition using FCBF feature selection method and GA-optimized fuzzy ARTMAP neural network. Neural Comput. Appl. 2012, 21, 2115–2126. [Google Scholar] [CrossRef]
- Rutten, D. Galapagos: On the Logic and Limitations of Generic Solvers. Archit. Des. 2013, 83, 132–135. [Google Scholar] [CrossRef]
- González, J.; Fiorito, F.J.B. Daylight design of office buildings: Optimisation of external solar shadings by using combined simulation methods. Buildings 2015, 5, 560–580. [Google Scholar] [CrossRef]
- Phomsoupha, M.; Laffaye, G. The science of badminton: Game characteristics, anthropometry, physiology, visual fitness and biomechanics. Sports Med. 2015, 45, 473–495. [Google Scholar] [CrossRef]
- Kuo, K.P.; Tsai, H.H.; Lin, C.Y.; Wu, W.T. Verification and evaluation of a visual reaction system for badminton training. Sensors 2020, 20, 6808. [Google Scholar] [CrossRef]
- Niehorster, D.C.; Hessels, R.S.; Benjamins, J.S. GlassesViewer: Open-source software for viewing and analyzing data from the Tobii Pro Glasses 2 eye tracker. Behav. Res. Methods 2020, 52, 1244–1253. [Google Scholar] [CrossRef]
- Niehorster, D.C.; Hildebrandt, M.; Smoker, A.; Jarodzka, H.; Dahlströhm, N. Towards eye tracking as a support tool for pilot training and assessment. In Eye-Tracking in Aviation. Proceedings of the 1st International Workshop; ISAE−SUPAERO, Université de Toulouse; Institute of Cartography and Geoinformation (IKG), ETH Zurich: Zurich, Switzerland, 2020; pp. 17–28. [Google Scholar]
- Olsen, A. The Tobii I−VT fixation filter. Tobii Technol. 2012, 21, 4−19. [Google Scholar]
- JGJ 31-2003; Design Code for Sports Building. Ministry of Housing and Urban-Rural Development: Beijing, China, 2003.
- Zhou, J.; An, R.; Zhang, H.; Liu, Y. Orthogonal design of pharmaceutical experiment based on SPSS. In Information Computing and Applications, Proceedings of the Third International Conference, ICICA 2012, Chengde, China, 14–16 September 2012; Springer: Berlin/Heidelberg, Germany, 2012; Proceedings, Part II 3; pp. 552–560. [Google Scholar]
- Bakker, I.; Van Der Voordt, T.; Vink, P.; De Boon, J. Pleasure, arousal, dominance: Mehrabian and Russell revisited. Curr. Psychol. 2014, 33, 405–421. [Google Scholar] [CrossRef]
- Aries, M.B.; Veitch, J.A.; Newsham, G.R. Windows, view, and office characteristics predict physical and psychological discomfort. J. Environ. Psychol. 2010, 30, 533–541. [Google Scholar] [CrossRef]
- Cucciniello, I.; Sangiovanni, S.; Maggi, G.; Rossi, S. Validation of robot interactive behaviors through users emotional perception and their effects on trust. In Proceedings of the 2021 30th IEEE International Conference on Robot & Human Interactive Communication (RO-MAN), Vancouver, BC, Canada, 8–12 August 2021; pp. 197–202. [Google Scholar]
- Buechel, S.; Hahn, U. Emobank: Studying the impact of annotation perspective and representation format on dimensional emotion analysis. arXiv 2022, arXiv:2205.01996. [Google Scholar]
- Crispim, A.C.; Archer, A.B.; Cruz, R.M. Methodological issues about affect: A systematic review about assessment tests of affect. Int. J. Educ. Soc. Sci. 2014, 1, 118–126. [Google Scholar]
- Akoglu, H. User’s guide to correlation coefficients. Turk. J. Emerg. Med. 2018, 18, 91–93. [Google Scholar] [CrossRef]
- Shafighfard, T.; Kazemi, F.; Asgarkhani, N.; Yoo, D.Y. Machine−learning methods for estimating compressive strength of high−performance alkali−activated concrete. Eng. Appl. Artif. Intell. 2024, 136, 109053. [Google Scholar] [CrossRef]
- Zeng, X.; Luo, P.; Wang, T.; Wang, H.; Shen, X.J.B. Building and Environment Screening visual environment impact factors and the restorative effect of four visual environment components in large-space alternative care facilities. Build. Environ. 2023, 235, 110221. [Google Scholar] [CrossRef]
- Steyerberg, E.W.; van der Ploeg, T.; Van Calster, B. Risk prediction with machine learning and regression methods. Biom. J. 2014, 56, 601–606. [Google Scholar] [CrossRef]
- Song, Y.Y.; Ying, L.U. Decision tree methods: Applications for classification and prediction. Shanghai Arch. Psychiatry 2015, 27, 130. [Google Scholar]
- Chauhan, V.K.; Dahiya, K.; Sharma, A. Problem formulations and solvers in linear SVM: A review. Artif. Intell. Rev. 2019, 52, 803–855. [Google Scholar] [CrossRef]
- Guo, G.; Wang, H.; Bell, D.; Bi, Y.; Greer, K. KNN model-based approach in classification. In On The Move to Meaningful Internet Systems 2003: CoopIS, DOA, and ODBASE, Proceedings of the OTM Confederated International Conferences, CoopIS, DOA, and ODBASE 2003, Catania, Italy, 3–7 November 2003; Springer: Berlin/Heidelberg, 2003; pp. 986–996. [Google Scholar]
- Agatonovic-Kustrin, S.; Beresford, R. Basic concepts of artificial neural network (ANN) modeling and its application in pharmaceutical research. J. Pharm. Biomed. Anal. 2000, 22, 717–727. [Google Scholar] [CrossRef]
- Lambora, A.; Gupta, K.; Chopra, K. Genetic algorithm—A literature review. In Proceedings of the 2019 International Conference on Machine Learning, Big Data, Cloud and Parallel Computing (COMITCon), Faridabad, India, 14–16 February 2019; pp. 380–384. [Google Scholar]
- Ting, C.-K. On the Mean Convergence Time of Multi-parent Genetic Algorithms Without Selection. In Advances in Artificial Life, Proceedings of the 8th European Conference, ECAL 2005, Canterbury, UK, 5–9 September 2005; pp. 403–412. ISBN 978-3-540-288483540288481.
- Manni, M.; Lobaccaro, G.; Lolli, N.; Bohne, R.A. Parametric Design to Maximize Solar Irradiation and Minimize the Embodied GHG Emissions for a ZEB in Nordic and Mediterranean Climate Zones. Energies 2020, 13, 4981. [Google Scholar] [CrossRef]
- Ilbeigi, M.; Ghomeishi, M.; Dehghanbanadaki, A. Prediction and optimization of energy consumption in an office building using artificial neural network and a genetic algorithm. Sustain. Cities Soc. 2020, 61, 102325. [Google Scholar] [CrossRef]
- Hong, X.; Zhang, W.; Chu, Y.; Zhu, W. Study on Subjective Evaluation of Acoustic Environment in Urban Open Space Based on “Effective Characteristics”. Int. J. Environ. Res. Public Health 2022, 19, 9231. [Google Scholar] [CrossRef] [PubMed]
- Zhang, F.; de Dear, R.; Hancock, P. Effects of moderate thermal environments on cognitive performance: A multidisciplinary review. Appl. Energy 2019, 236, 760–777. [Google Scholar] [CrossRef]
- Blauert, J. Spaces speak, are you listening? Experiencing aural architecture. J. Acoust. Soc. Am. 2007, 121, 1820–1821. [Google Scholar] [CrossRef]
- Ding, X.; Guo, X.; Lo, T.T.; Ke, W. The spatial environment affects human emotion perception-using physiological signal modes. In Proceedings of the 27th International Conference of the Association for Computer-Aided Architectural Design Research in Asia (CAADRIA), Sydney, Australia, 9–15 April 2022. [Google Scholar]
- Zadra, J.R.; Clore, G.L. Emotion and perception: The role of affective information. Wiley Interdiscip. Rev. Cogn. Sci. 2011, 2, 676–685. [Google Scholar] [CrossRef]
- Gutiérrez-Martín, L.; Romero-Perales, E.; de Baranda Andújar, C.S.; Canabal-Benito, F.M.; Rodríguez-Ramos, G.E.; Toro-Flores, R.; López-Ongil, S.; López-Ongil, C. Fear detection in multimodal affective computing: Physiological signals versus catecholamine concentration. Sensors 2022, 22, 4023. [Google Scholar] [CrossRef]
- Diez-Fernández, P.; Ruibal-Lista, B.; Rico-Díaz, J.; Rodríguez-Fernández, J.E.; López-García, S. Performance Factors in Sport Climbing: A Systematic Review. Sustainability 2023, 15, 16687. [Google Scholar] [CrossRef]
- Madden, D.J.; Whiting, W.L.; Huettel, S.A. Age-related changes in neural activity during visual perception and attention. In Cognitive Neuroscience of Aging: Linking Cognitive and Cerebral Aging; Oxford University Press: Oxford, UK, 2005; pp. 157–185. [Google Scholar]
- Levine, B.K.; Beason, L.L.; Purpura, K.P.; Aronchick, D.M.; Optican, L.M.; Alexander, G.E.; Horwitz, B.; Rapoport, S.I.; Schapiro, M.B. Age-related differences in visual perception: A PET study. Neurobiol. Aging 2000, 21, 577–584. [Google Scholar] [CrossRef]
Disclaimer/Publisher’s Note: The statements, opinions and data contained in all publications are solely those of the individual author(s) and contributor(s) and not of MDPI and/or the editor(s). MDPI and/or the editor(s) disclaim responsibility for any injury to people or property resulting from any ideas, methods, instructions or products referred to in the content. |
© 2024 by the authors. Licensee MDPI, Basel, Switzerland. This article is an open access article distributed under the terms and conditions of the Creative Commons Attribution (CC BY) license (https://creativecommons.org/licenses/by/4.0/).

























