The Coupled Thermal Response Analysis of Green Roofs Based on the Discrete Element Method
Abstract
1. Introduction
2. Research Method
2.1. Introduction to Thermomechanical Coupling Methods in DEM
2.2. Calibration of Mesoscopic Mechanical Parameters and Selection of Thermodynamic Parameters
2.2.1. Calibration of Mesoscopic Mechanical Parameters of Concrete
2.2.2. Selection of Thermodynamic Parameters
3. Results
3.1. The Coupling Model of Discrete Element Thermal Response of Green Roof Is Established
3.2. Analysis of Green Roof Thermo-Coupled Discrete Element Results
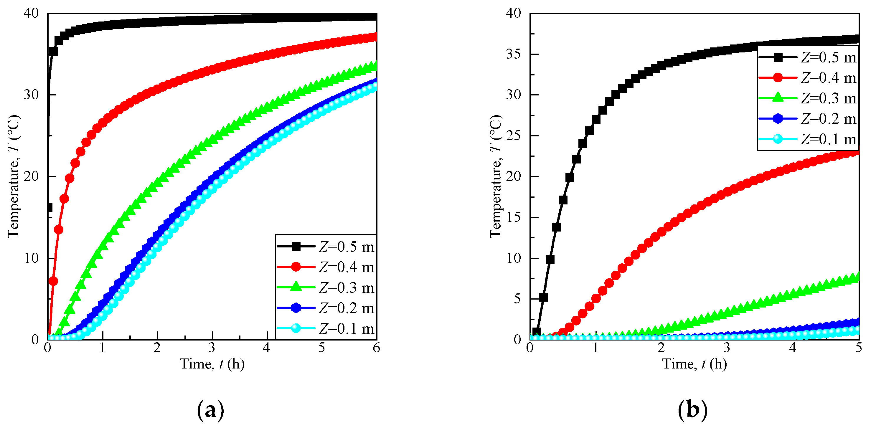
3.2.1. Discrete Element Analysis of High-Temperature Heat Transfer Process
3.2.2. The Impact of Different Initial Temperatures on Heat Transfer Under High-Temperature Conditions
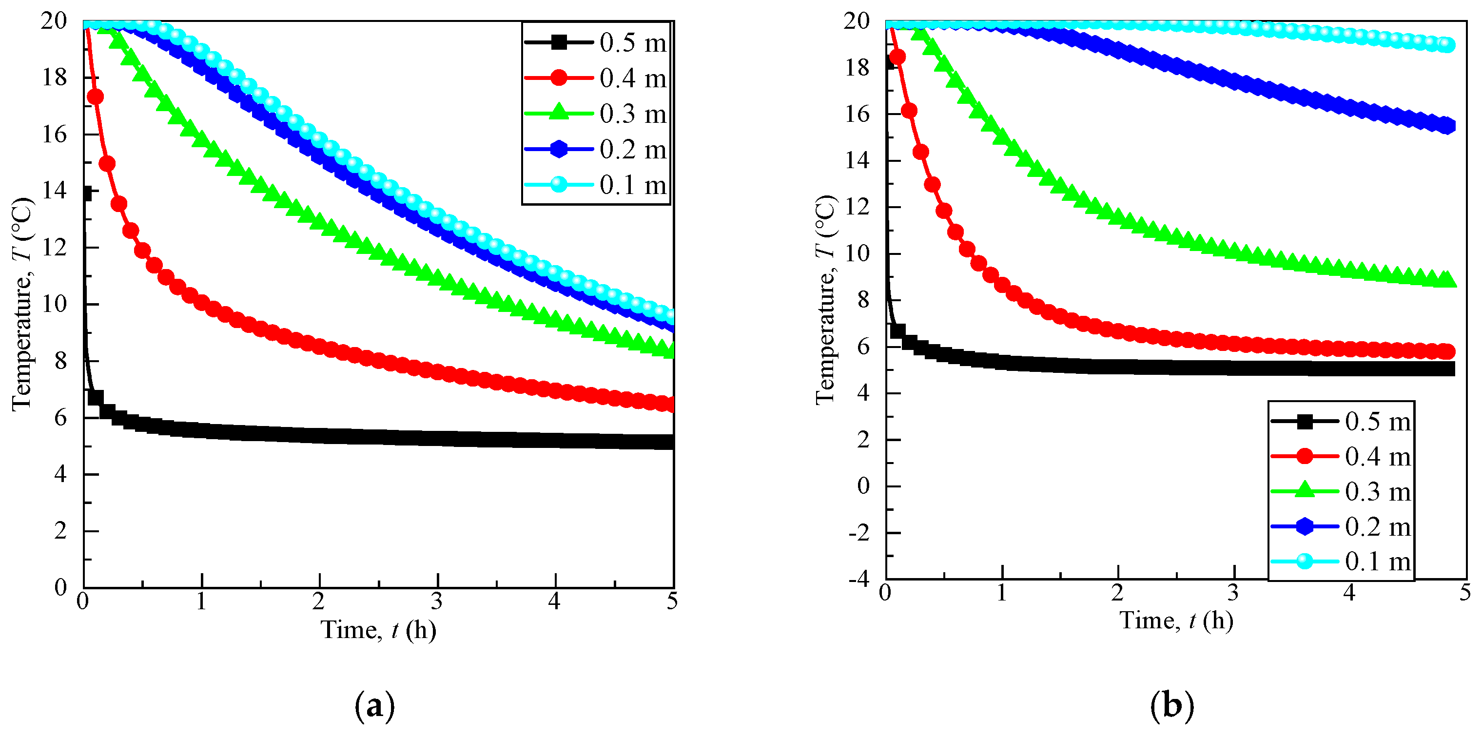
3.2.3. Discrete Element Analysis of Low-Temperature Heat Transfer Process
3.2.4. Effect of Thermal Resistance of Green Roof on Heat Transfer
4. Discussion
5. Conclusions
Author Contributions
Funding
Data Availability Statement
Acknowledgments
Conflicts of Interest
References
- Bevilacqua, P. Surface temperature analysis of an extensive green roof for the mitigation of urban heat island in southern mediterranean climate. Energy Build. 2017, 150, 318–327. [Google Scholar] [CrossRef]
- Liu, H. Impacts of green roofs on water, temperature, and air quality: A bibliometric review. Build. Environ. 2021, 196, 107794. [Google Scholar] [CrossRef]
- Mutani, G.; Todeschi, V. The Effects of Green Roofs on Outdoor Thermal Comfort Urban Heat Island Mitigation and Energy Savings. Atmosphere 2020, 11, 123. [Google Scholar] [CrossRef]
- Ouldboukhitine, S.E.; Belarbi, R.; Jaffal, I.; Trabelsi, A. Assessment of green roof thermal behavior: A coupled heat and mass transfer model. Build. Environ. 2011, 46, 2624–2631. [Google Scholar] [CrossRef]
- Pisello, A.L. Thermal-physics and energy performance of an innovative green roof system: The Cool-Green Roof. Sol. Energy 2015, 116, 337–356. [Google Scholar] [CrossRef]
- Santamouris, M. On the energy impact of urban heat island and global warming on buildings. Energy Build. 2014, 82, 100–113. [Google Scholar] [CrossRef]
- Squier, M. Heat flux and seasonal thermal performance of an extensive green roof. Build. Environ. 2016, 107, 235–244. [Google Scholar] [CrossRef]
- Tan, X.; Zhao, M.H.; Hu, Z.B.; Feng, L.J. Failure process of a single stone column in soft soil beneath rigid loading: Numerical study. Int. J. Geomech. 2020, 20, 57–69. [Google Scholar] [CrossRef]
- Ghassemi, A.; Shahebrahimi, S.S. Discrete element modeling of dynamic compaction with different tamping condition. Civ. Eng. Infrastruct. J.-Ceij 2020, 53, 173–188. [Google Scholar]
- Wang, Z.J.; Jacobs, F.; Ziegler, M.; Yang, G.Q. Visualisation and quantification of geogrid reinforcing effects under strip footing loads using discrete element method. Geotext. Geomembr. 2020, 48, 62–70. [Google Scholar] [CrossRef]
- Yin, T.; Zhang, S.; Li, X.; Bai, L. A numerical estimate method of dynamic fracture initiation toughness of rock under high temperature. Eng. Fract. Mech. 2018, 204, 87–102. [Google Scholar] [CrossRef]
- Liu, H.; Zhang, K.; Shao, S.; Ranjith, P.G. Numerical investigation on the mechanical properties of australian strathbogie granite under different temperatures using discrete element method. Rock Mech. Rock Eng. 2019, 52, 3719–3735. [Google Scholar] [CrossRef]
- Xia, M.; Zhao, C.; Hobbs, B. Particle simulation of thermally-induced rock damage with consideration of temperature-dependent elastic modulus and strength. Comput. Geotech. 2014, 55, 461–473. [Google Scholar] [CrossRef]
- Zhu, T.T.; Chen, J.X.; Huang, D.; Luo, Y.; Li, Y.B.; Xu, L.F. A DEM-based approach for modeling the damage of rock under freeze-thaw cycles. Rock Mech. Rock Eng. 2021, 54, 2843–2858. [Google Scholar] [CrossRef]
- Zhao, Z. Thermal influence on mechanical properties of granite: A microcracking perspective. Rock Mech. Rock Eng. 2016, 49, 747–762. [Google Scholar] [CrossRef]
- Zhang, Y.J.; Yang, C.S.; Wang, Y.G. 2D DEM analyses for T-M coupling effects of extreme temperatures on surrounding rock-supporting system of a tunnel in cold region. J. Cent. South Univ. 2013, 20, 2905–2913. [Google Scholar] [CrossRef]
- Wu, K.; Liu, S.Y.; Sun, W.C.; Zhang, G.Z.; Li, Z. Temperature effects and heat transfer in granular soils by discrete element modeling of CPT. Eur. J. Environ. Civ. Eng. 2021, 25, 835–856. [Google Scholar] [CrossRef]
- Pan, Y.; Coulibaly, J.; Rotta, L.A. Thermally induced deformation of coarse-grained soils under nearly zero vertical stress. Géotech. Lett. 2020, 10, 486–491. [Google Scholar] [CrossRef]
- Zhao, S.W.; Evans, T.M.; Zhou, X.W.; Zhou, S. Discrete element method investigation on thermally-induced shakedown of granular materials. Granul. Matter 2017, 19, 19–29. [Google Scholar] [CrossRef]
- Coulibaly, J.B.; Shah, M.; Rotta Loria, A.F. Thermal cycling effects on the structure and physical properties of granular materials. Granul. Matter 2020, 22, 1–19. [Google Scholar] [CrossRef]
- Tomac, I.; Gutierrez, M. Formulation and implementation of coupled forced heat convection and heat conduction in DEM. Acta Geotech. 2015, 10, 421–433. [Google Scholar] [CrossRef]
- Caulk, R.; Sholtès, L.; Krzaczek, M.; Chareyre, B. A pore-scale thermo–hydro-mechanical model for particulate systems. Comput. Methods Appl. Mech. Eng. 2020, 372, 113292. [Google Scholar] [CrossRef]
- André, D.; Levraut, B.; Tessier-Doyen, N.; Huger, M. A discrete element thermo-mechanical modelling of difiuse damage induced by thermal expansion mismatch of two-phase materials. Comput. Methods Appl. Mech. Eng. 2017, 318, 898–916. [Google Scholar] [CrossRef]
- Leclere, W.; Haddad, H.; Guessasma, M. On a diserete element method to simulate thermal induced damage in 2d composite materials. Comput. Struct. 2018, 196, 277–291. [Google Scholar] [CrossRef]
- Yan, C.; Jiao, Y.Y.; Zheng, H. A three-dimensional heat transfer and thermal cracking model considering the effert of cracks on heat transfer. Int. J. Numer. Anal. Methods Geomech. 2019, 43, 1825–1853. [Google Scholar] [CrossRef]
- Cascone, S.; Coma, J.; Gagliano, A.; Pérez, G. The evapotranspiration process in green roofs: A review. Build. Environ. 2019, 147, 337–355. [Google Scholar] [CrossRef]
- Djedjig, R.; Ouldboukhitine, S.-E.; Belarbi, R.; Bozonnet, E. Development and validation of a coupled heat and mass transfer model for green roofs. Int. Commun. Heat Mass Transf. 2012, 39, 752–761. [Google Scholar] [CrossRef]
- Sailor, D.J. A green roof model for building energy simulation programs. Energy Build 2008, 40, 1466–1478. [Google Scholar] [CrossRef]
- Wong, N.H.; Cheong, D.K.W.; Yan, H.; Soh, J.; Ong, C.L.; Sia, A. The effects of rooftop garden on energy consumption of a commercial building in Singapore. Energy Build. 2003, 35, 353–364. [Google Scholar] [CrossRef]
- Adinolfi, M.; Maiorano, R.M.S.; Mauro, A.; Massarotti, N.; Aversa, S. On the influence of thermal cycles on the yearly performance of an energy pile. Geomech. Energy Environ. 2018, 16, 32–44. [Google Scholar] [CrossRef]
- Cui, P.; Li, X.; Man, Y.; Fang, Z. Heat transfer analysis of pile geothermal heat exchangers with spiral coils. Appl. Energy 2011, 88, 4113–4119. [Google Scholar] [CrossRef]
- Li, M.; Lai, A.C. Heat-source solutions to heat conduction in anisotropic media with application to pile and borehole ground heat exchangers. Appl. Energy 2012, 96, 451–458. [Google Scholar] [CrossRef]
- Wang, D.Q.; Lu, L.; Zhang, W.K.; Cui, P. Numerical and analytical analysis of groundwater influence on the pile geothermal heat exchanger with cast-in spiral coils. Energy Procedia 2014, 61, 1784–1788. [Google Scholar] [CrossRef]
- Zhang, W.K.; Yang, H.X.; Fang, L.; Cui, P.; Fang, Z. Study on heat transfer of pile foundation ground heat exchanger with three-dimensional groundwater seepage. Int. J. Heat Mass Transf. 2017, 105, 58–66. [Google Scholar] [CrossRef]
- Xia, M. Thermo-mechanical coupled particle model for rock. Trans. Nonferrous Met. Soc. China 2015, 25, 2367–2379. [Google Scholar] [CrossRef]
- Wu, M.; Zhang, C.; Chen, Z. Determining the impact behavior of concrete beams through experimental testing and meso-scale simulation: II. Particle element simulation and comparison. Eng. Fract. Mech. 2015, 135, 113–125. [Google Scholar] [CrossRef]
- Wu, M.; Chen, Z.; Zhang, C. Determining the impact behavior of concrete beams through experimental testing and meso-scale simulation: I. Drop-weight tests. Eng. Fract. Mech. 2015, 135, 94–112. [Google Scholar] [CrossRef]
- Potyondy, D.O. The bonded-particle model as a tool for rock mechanics research and application: Current trends and future directions. Geosyst. Eng. 2015, 18, 1–28. [Google Scholar] [CrossRef]
- Zhang, H.; Xiao, J.; Tang, Y.; Duan, Z.; Poon, C.S. Long-term shrinkage and mechanical properties of fully recycled aggregate concrete: Testing and modelling. Cem. Concr. Compos. 2022, 130, 104527. [Google Scholar] [CrossRef]
- Ohemeng, E.A.; Ekolu, S.O.; Quainoo, H.; Kruger, D. Model for predicting compressive strength and elastic modulus of recycled concrete made with treated coarse aggregate: Empirical approach. Constr. Build. Mater. 2022, 320, 126240. [Google Scholar] [CrossRef]
- Zhen, D.H.; Poon, C.S. Properties of recycled aggregate concrete made with recycled aggregates with different amounts of old adhered mortars. Mater. Des. 2014, 58, 19–29. [Google Scholar]
- Zhang, X.; Jiang, M.; Yang, J.; Zhao, C.; Mei, G. The macroscopic and mesoscopic study on strengthening mechanisms of the single pile with raft under pile-soil-raft combined interaction. Comput. Geotech. 2022, 144, 104630. [Google Scholar] [CrossRef]
- Zhang, X.; Wang, T.; Zhao, C.; Jiang, M.; Xu, M.; Mei, G. Supporting mechanism of rigid-flexible composition retaining structure in sand ground using discrete element method. Comput. Geotech. 2022, 151, 104967. [Google Scholar] [CrossRef]
- Zhang, X.; Luo, K.; Wang, T.; Jiang, M.; Feng, J.; Mei, G. Microscopic Mechanism of Coarse-Grained Soil Under Triaxial Test Based on PFC-FLAC Coupling Method. Soil Mech. Found. Eng. 2023, 60, 323–329. [Google Scholar] [CrossRef]
- Huang, S. The Mechanism and Simulation of the Coupled Hydro-Thermal Transfer in Roofs Covered with Soil and Plants. Ph.D. Thesis, Guangxi University, Nanning, China, 2022. [Google Scholar]
- Campbell, G.S. Soil Physics with Basic: Transport Models for Soil-Plant Systems; Elsevier: Amsterdam, The Netherlands, 1985. [Google Scholar]
- Kool, J.B.; Parker, J.C. Development and evaluation of closed-form expressions for hysteretic soil hydraulic properties. Water Resour. Res. 1987, 23, 105–114. [Google Scholar] [CrossRef]
- Itasca Consulting Group. Particle Flow Code in Three Dimensions: User’s Manual, Version 5.0; Itasca Consulting Group: Minneapolis, MN, USA, 2015. [Google Scholar]
- Yang, Y.; Davidson, C.I.; Zhang, J. Evaluation of thermal performance of green roofs via field measurements and hygrothermal simulations. Energy Build. 2021, 237, 110800. [Google Scholar] [CrossRef]
- Guattari, C.; Evangelisti, L.; Asdrubali, F.; De Lieto Vollaro, R. Experimental evaluation and numerical simulation of the thermal performance of a green roof. Appl. Sci. 2020, 10, 1767. [Google Scholar] [CrossRef]



























| Particle size (mm) | 2 | 1.5 | 1 | 0.8 |
| Number of particles | 644 | 1527 | 41,252 | 10,071 |
| Peak strength (MPa) | 25.1 | 26.3 | 28.9 | 30.2 |
| Different Strata | Concrete | Green Roof |
|---|---|---|
| Particle contact model | Linear Parallel Bond Model | |
| Effective modulus (Pa) | 5 × 109 | 1 × 108 |
| Normal-to-shear stiffness ratio | 1 | 1 |
| Bond effective modulus (Pa) | 5 × 109 | 1 × 108 |
| Bond normal-to-shear stiffness ratio | 1 | 1 |
| Tensile strength (N) | 6.5 × 106 | 3 × 104 |
| Cohesion (N) | 6.5 × 106 | 3 × 104 |
| Friction angle (°) | 0 | 10 |
| Friction coefficient | 0.2 | 0.3 |
| Particle density (kg/m3) | 2000 | 1800 |
| Material | Specific Heat Capacity | Expansion Coefficient | Thermal Resistance |
|---|---|---|---|
| Concrete | 960 KJ/(kg·°C) | 3 × 10−5 °C | 1.445 × 103 W/(m·°C) |
| Material | Specific Heat Capacity | Coefficient of Expansion | Thermal Resistance |
|---|---|---|---|
| Green roofs | 200 KJ/(kg·°C) | 3 × 10−7 °C | 8.445 × 103 W/(m·°C) |
Disclaimer/Publisher’s Note: The statements, opinions and data contained in all publications are solely those of the individual author(s) and contributor(s) and not of MDPI and/or the editor(s). MDPI and/or the editor(s) disclaim responsibility for any injury to people or property resulting from any ideas, methods, instructions or products referred to in the content. |
© 2024 by the authors. Licensee MDPI, Basel, Switzerland. This article is an open access article distributed under the terms and conditions of the Creative Commons Attribution (CC BY) license (https://creativecommons.org/licenses/by/4.0/).
Share and Cite
Liu, C.; Zhang, X.; Jiang, M.; Zhu, S.; Wang, Z.; Long, J. The Coupled Thermal Response Analysis of Green Roofs Based on the Discrete Element Method. Buildings 2024, 14, 3984. https://doi.org/10.3390/buildings14123984
Liu C, Zhang X, Jiang M, Zhu S, Wang Z, Long J. The Coupled Thermal Response Analysis of Green Roofs Based on the Discrete Element Method. Buildings. 2024; 14(12):3984. https://doi.org/10.3390/buildings14123984
Chicago/Turabian StyleLiu, Chang, Xiaoyong Zhang, Mingjie Jiang, Shengnan Zhu, Zhuan Wang, and Jianxu Long. 2024. "The Coupled Thermal Response Analysis of Green Roofs Based on the Discrete Element Method" Buildings 14, no. 12: 3984. https://doi.org/10.3390/buildings14123984
APA StyleLiu, C., Zhang, X., Jiang, M., Zhu, S., Wang, Z., & Long, J. (2024). The Coupled Thermal Response Analysis of Green Roofs Based on the Discrete Element Method. Buildings, 14(12), 3984. https://doi.org/10.3390/buildings14123984

