Suitability of Mechanics-Based and Optimized Machine Learning-Based Models in the Shear Strength Prediction of Slender Beams Without Stirrups
Abstract
1. Introduction
Research Significance
2. Shear Transfer Mechanism
2.1. Uncracked Compression Zone
2.2. Dowel Action
2.3. Aggregate Interlock
2.4. Residual Tensile Stress
2.5. Stirrup Contribution
3. Mechanics-Based Shear Models
3.1. Model Proposed by Tran [61] (NLT)
- = elastic modulus of steel;
- = elastic modulus of concrete;
- = stress in longitudinal reinforcement;
- coefficient to access the mean concrete strain over ;
- = effective reinforcement ratio in cracking calculation;
- = ratio of modulus of elasticity between steel and concrete.
3.2. Model Proposed by Cladera et al. [62] (CCC)
- = effective depth, d 100 mm.
- = size effect coefficient at critical shear crack failure.
- = effective beam width for compression flange. Note that for a rectangular beam, .
3.3. Model Proposed by Cladera et al. [6] (MASM)
- is the mean concrete tensile strength 4.60 MPa, and is the secant modulus of elasticity 39 GPa.
- is the concrete fracture energy, given as = , where is the mean value of the cylinder concrete compressive strength, and is the maximum aggregate size.
- = effective depth, d 100 mm.
- = size effect coefficient at critical shear crack failure, = 1.2 − 0.2a 0.65, with a, the shear span, in m.
- = effective beam width for compression flange. Note that for a rectangular beam, .
- is a coefficient for considering the effect of the prestressing force in the cracking moment.
4. Machine Learning (ML) Models
4.1. Artificial Neural Networks (ANNs)
- represents an input value in discrete time , where goes from 0 to ;
- represents a weight value in discrete time , where goes from 0 to ;
- is an activation function;
- is the predicted value in discrete time .
4.2. Support Vector Machine (SVM)
4.3. Decision Tree (DT)
4.4. Random Forest (RF)
4.5. Adaptive Boosting
4.6. Gradient Boosting Regression Trees (GBR)
4.7. Extreme Gradient Boosting
5. Dataset
6. Methodology
7. Results and Discussion
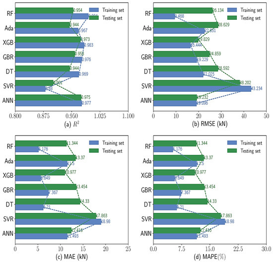
7.1. Performance Evaluation of ML Shear Results
7.2. Optimal Hyperparameter of ML Models Selected via Cross-Validation
7.3. Statistical Comparative Analysis of Model Factor (MF) of ML Models
7.4. Outlier Identification
7.5. Correlation Analysis of Model Factor Against Input Parameters
7.6. Shapely Additive Explanation (Explainable AI) for Shear Model
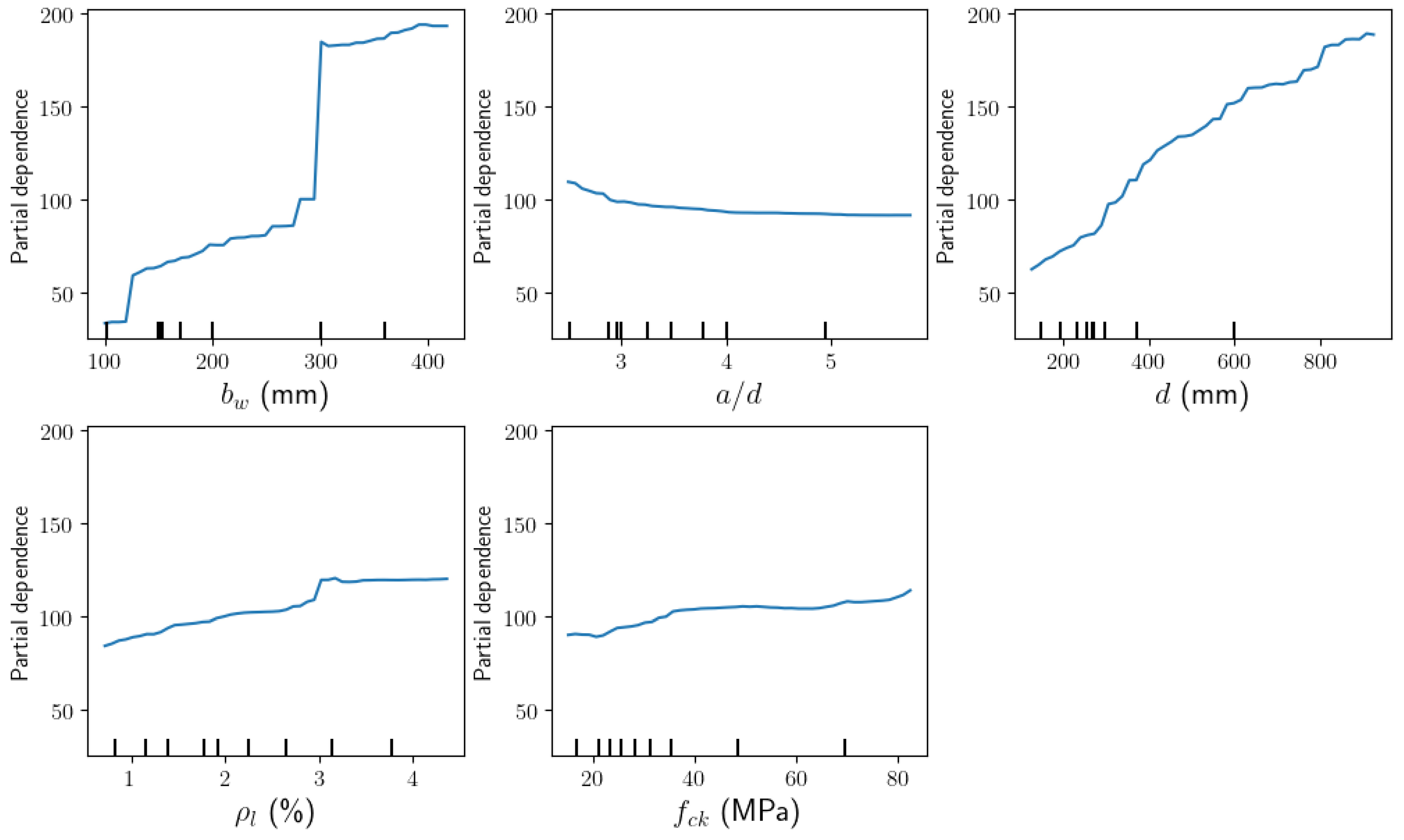
7.7. Partial Dependence Plot
8. Mechanical Model Shear Result Discussion
9. Juxtaposition of the Statistical Results of the Mechanical Shear Model and ML-Based Shear Model
10. Conclusions and Recommendations
- In exploring the efficiency of fracture mechanics-based shear models compared to the empirical models and traditional structural mechanics, this study shows that the fracture mechanics-based models achieved a more accurate and reliable shear strength prediction. The models are focused on crack development and propagation; as such, they exhibit greater transparency, resulting in a perfect understanding of the interactions between various shear transfer mechanisms and the shear failure process. As a result, the models have better precision in shear strength characterization, making them very suitable for design.
- While the ML models highlighted the robustness of fracture mechanics in predicting shear strength, this study also emphasizes the importance of paying attention to beam geometry, especially that of effective depth and beam width, because, through explainable AI methods, these factors significantly impact shear strength. With the results obtained, it can be recommended that fracture mechanics-based models should be adopted in design codes due to their accurate prediction of shear strength compared to other models, such as empirical, strength-based, and semi-empirical models.
- The crack width and depth largely affect the overall shear strength, as shown by the mechanisms. However, further research on the shear model is recommended to explore the effect of residual tensile strength and aggregate interlock on slender beams without stirrups. Moreover, future studies can investigate the relationship between shear transfer mechanisms and beam width, especially for beams without stirrups. Such a study can help to enhance the precision of fracture mechanics-based models.
Author Contributions
Funding
Data Availability Statement
Acknowledgments
Conflicts of Interest
Appendix A
| Model | Hyperparameter Grid | Optimal Hyperparameters |
|---|---|---|
| SVM | C: 0.001, 0.01, 0.1, 0.5, 1, 2 | 2 |
| Kernel: Linear, Rbf, Poly, Sigmoid | Linear | |
| Scale: Auto, Gamma | Gamma | |
| Degree: 2, 3 | 2 | |
| Epsilon: 0, 0.01, 0.1, 0.5, 1, 2 | 0.5 | |
| RF | N estimators: 64, 80 | 64 |
| Criterion: squared error, absolute error, Poisson | squared error | |
| Max depth: 40, 50, 37, 35 | 37 | |
| Min samples split: 3, 5, 2 | 2 | |
| Min impurity decrease: 0.00001, 0.005, 0.000008 | 0.000008 | |
| Min samples leaf: 1, 2 | 1 | |
| Max features: auto, sqrt, log2 | Auto | |
| Max leaf nodes: 30, 40, 45, 50 | 45 | |
| Bootstrap: True, False | True | |
| Random state: 101, 73, 80 | 73 | |
| Model | Hyperparameter grid | Optimal hyperparameters |
| DT | Criterion: squared error, absolute error, Poisson, Friedman MSE | Squared error |
| Splitter: Best, Random | Random | |
| Max depth: [40, 50, 60, 70, 80, 90, 100] | 40 | |
| Min samples split: 3, 5, 10, 20, 25 | 3 | |
| Min impurity decrease: [0.00001, 0.005, 0.000008] | 0.000008 | |
| Min samples leaf: [1, 2, 3, 4, 5] | 1 | |
| Max features: auto, sqrt, log2 | Auto | |
| Max leaf nodes: [3,5,10,15,30,40] | 40 | |
| AB | n_estimators: [50, 100, 200, 500] | 50 |
| learning_rate: [0.01, 0.005, 0.5, 0.1, 1] | 0.5 | |
| loss: [‘linear’, ‘square’, ‘exponential’] | exponential | |
| max_depth: [3, 5, 7] | 5 | |
| random_state: [25, 45, 73, 101] | random_state = 101 | |
| GB | n_estimators: [50, 100, 150] | n_estimators: 150 |
| max_depth: [2, 3, 4, 5] | max_depth: 3 | |
| learning_rate: [0.1, 0.05, 0.01] | learning_rate: 0.1 | |
| loss: [‘squared_error’, ‘absolute_error’, ‘Huber’, ‘quantile’] | loss: ‘Huber’ | |
| criterion: [‘friedman_mse’, ‘squared_error’] | criterion: ‘squared_error’ | |
| min_samples_split: [2, 3, 4] | min_samples_split: 2 | |
| max_features: [‘auto’, ‘sqrt’, ‘log2’] | max_features: log2 | |
| XGB | n_estimators: [50, 100, 120, 150] | n_estimators: 100 |
| max_depth: [2, 5, 7, 10] | max_depth: 7 | |
| learning_rate: [0.1, 0.05, 0.01] | learning_rate: 0.1 | |
| reg_lambda: [1, 0.1, 0.01] | reg_lambda: 1 | |
| reg_alpha: [0, 1, 0.1, 0.01] | reg_alpha: 0 | |
| min_child_weight: [1, 0.5, 2, 3] | min_child_weight:1 | |
| gamma: [0, 0.01, 0.1, 0.5] | gamma: 0.1 | |
| subsample: [0.5, 0.7, 1] | subsample: 1 | |
| ANN | Numberof hidden layers | 2 |
| Learning rate | 0.01 | |
| The activation function in both layers | ReLU | |
| Optimizer | Adam Optimizer | |
| Loss function | MSE | |
| Mini-batch size | 16 | |
| Epochs | 500 |
References
- Wu, Y.-F. The conditions for plane sections remaining plane. Eng. Struct. 2022, 263, 114387. [Google Scholar] [CrossRef]
- Ruiz, M.F.; Muttoni, A.; Sagaseta, J. Shear strength of concrete members without transverse reinforcement: A mechanical approach to consistently account for size and strain effects. Eng. Struct. 2015, 99, 360–372. [Google Scholar] [CrossRef]
- Amani, J.; Moeini, R. Prediction of shear strength of reinforced concrete beams using adaptive neuro-fuzzy inference system and artificial neural network. Sci. Iran. 2012, 19, 242–248. [Google Scholar] [CrossRef]
- Filatov, V. Strength calculation of inclined sections of reinforced concrete elements under transverse bending. In IOP Conference Series: Materials Science and Engineering; IOP Publishing: Bristol, UK, 2017. [Google Scholar]
- Hunegnaw, C.B.; Aure, T.W. Effect of orientation of stirrups in combination with shear span to depth ratio on shear capacity of RC beams. Heliyon 2021, 7, e08193. [Google Scholar] [CrossRef]
- Cladera, A.; Marí, A.; Ribas, C.; Bairán, J. Mechanical-based shear model for assessment of reinforced and/or prestressed concrete beams. In Proceedings of the SMAR 2015-Third Conference on Smart Monitoring, Assessment and Rehabilitation of Civil Structures, Antalya, Turkey, 7–9 September 2015. [Google Scholar]
- Campana, S.; Ruiz, M.F.; Anastasi, A.; Muttoni, A. Analysis of shear-transfer actions on one-way RC members based on measured cracking pattern and failure kinematics. Mag. Concr. Res. 2013, 65, 386–404. [Google Scholar] [CrossRef]
- Huber, P.; Huber, T.; Kollegger, J. Investigation of the shear behavior of RC beams on the basis of measured crack kinematics. Eng. Struct. 2016, 113, 41–58. [Google Scholar] [CrossRef]
- Jung, S.; Kim, K.S. Knowledge-based prediction of shear strength of concrete beams without shear reinforcement. Eng. Struct. 2008, 30, 1515–1525. [Google Scholar] [CrossRef]
- du Béton, F.I. Shear and punching shear in RC and FRC elements. Fib Bull. 2010, 57, 268. [Google Scholar]
- ASCE-ACI Committee 445 on Shear and Torsion. Recent approaches to shear design of structural concrete. J. Struct. Eng. 1998, 124, 1375–1417. [Google Scholar] [CrossRef]
- ACI Committee 318. Building Code Requirements for Structural Concrete (ACI 318-08) and Commentary; American Concrete Institute: Chicago, IL, USA, 2008. [Google Scholar]
- Rombach, G.A.; Kohl, M.; Nghiep, V.H. Shear design of concrete members without shear reinforcement—A solved problem? Procedia Eng. 2011, 14, 134–140. [Google Scholar] [CrossRef]
- Bentz, E.C.; Vecchio, F.J.; Collins, M.P. Simplified modified compression field theory for calculating shear strength of reinforced concrete elements. ACI Struct. J. 2006, 103, 614. [Google Scholar]
- Yang, Y. Shear Behaviour of Reinforced Concrete Members Without Shear Reinforcement: A New Look at an Old Problem. Ph.D Thesis, Delft University of Technology, Delft, The Netherlands, 2014. [Google Scholar]
- Muttoni, A.; Ruiz, M.F. Shear strength of members without transverse reinforcement as function of critical shear crack width. ACI Struct. J. 2008, 105, 163–172. [Google Scholar]
- Zararis, P.D. Shear strength and minimum shear reinforcement of reinforced concrete slender beams. Struct. J. 2003, 100, 203–214. [Google Scholar]
- Tureyen, A.K.; Frosch, R.J. Concrete shear strength: Another perspective. Struct. J. 2003, 100, 609–615. [Google Scholar]
- Park, H.-G.; Kang, S.; Choi, K.-K. Analytical model for shear strength of ordinary and prestressed concrete beams. Eng. Struct. 2013, 46, 94–103. [Google Scholar] [CrossRef]
- Fenwick, R.; Paulay, T. Mechanisms of shear resistance of concrete beams. J. Struct. Div. 1968, 94, 2325–2350. [Google Scholar] [CrossRef]
- Nakamura, H.; Iwamoto, T.; Fu, L.; Yamamoto, Y.; Miura, T.; Gedik, Y.H. Shear resistance mechanism evaluation of RC beams based on arch and beam actions. J. Adv. Concr. Technol. 2018, 16, 563–576. [Google Scholar] [CrossRef]
- Sherwood, E.G.; Bentz, E.C.; Collins, M.P. Effect of aggregate size on beam-shear strength of thick slabs. ACI Struct. J. 2007, 104, 180. [Google Scholar]
- Jayasinghe, T.; Gunawardena, T.; Mendis, P. Assessment of shear strength of reinforced concrete beams without shear reinforcement: A comparative study between codes of practice and artificial neural network. Case Stud. Constr. Mater. 2022, 16, e01102. [Google Scholar] [CrossRef]
- Autrup, F.; Jørgensen, H.B.; Hoang, L.C. The influence of small amounts of shear reinforcement on the shear-transferring mechanisms in RC beams: An analysis based on refined experimental measurements. Struct. Concr. 2022, 24, 2844–2861. [Google Scholar] [CrossRef]
- Yang, Y.; den Uijl, J.; Walraven, J. Critical shear displacement theory: On the way to extending the scope of shear design and assessment for members without shear reinforcement. Struct. Concr. 2016, 17, 790–798. [Google Scholar] [CrossRef]
- Yang, Y.; Walraven, J.; Uijl, J.D. Shear behavior of reinforced concrete beams without transverse reinforcement based on critical shear displacement. J. Struct. Eng. 2017, 143, 04016146. [Google Scholar] [CrossRef]
- Cavagnis, F.; Ruiz, M.F.; Muttoni, A. An analysis of the shear-transfer actions in reinforced concrete members without transverse reinforcement based on refined experimental measurements. Struct. Concr. 2018, 19, 49–64. [Google Scholar] [CrossRef]
- Cavagnis, F.; Ruiz, M.F.; Muttoni, A. A mechanical model for failures in shear of members without transverse reinforcement based on development of a critical shear crack. Eng. Struct. 2018, 157, 300–315. [Google Scholar] [CrossRef]
- Tung, N.D.; Betschoga, C.; Tue, N.V. Analysis of the crack development and shear transfer mechanisms of reinforced concrete beams with low amounts of shear reinforcement. Eng. Struct. 2020, 222, 111114. [Google Scholar] [CrossRef]
- Słowik, M. Analysis of fracture processes in reinforced concrete beams without stirrups. Frat. Integrità Strutt. 2021, 15, 321–330. [Google Scholar] [CrossRef]
- Ma, C.; Guo, Z.; Wang, W.; Qin, Y. Shear Strength Models for Reinforced Concrete Slender Beams: Comparative Analysis and Parametric Evaluation. Buildings 2022, 13, 37. [Google Scholar] [CrossRef]
- Mensah, K.K.; Retief, J.V.; Barnardo-Viljoen, C. Eurocode 2′s variable strut inclination method for shear, its modelling uncertainty, and reliabilty calibration. In Proceedings of the FIB Symposium, Tel Aviv-Yafo, Israel, 22–24 April 2013. [Google Scholar]
- Opabola, E.A.; Elwood, K.J. Incorporating failure mode uncertainty into probabilistic assessment of RC components. Struct. Saf. 2020, 87, 101997. [Google Scholar] [CrossRef]
- Tran, N.L.; Graubner, C.-A. Uncertainties of concrete parameters in shear capacity calculation of RC members without shear reinforcement. In Proceedings of the 16th International Probabilistic Workshop, Vienna, Austria, 12–14 September 2018. [Google Scholar]
- Koduru, S.D. Strategies for separation of aleatory and epistemic uncertainties. In Proceedings of the 12th International Conference on Applications of Statistics and Probability in Civil Engineering, Vancouver, BC, Canada, 12–15 July 2015. [Google Scholar]
- Deifalla, A. A mechanical model for concrete slabs subjected to combined punching shear and in-plane tensile forces. Eng. Struct. 2021, 231, 111787. [Google Scholar] [CrossRef]
- Chen, W. Plasticity in Reinforced Concrete; McGraw-Hill: New York, NY, USA, 1982. [Google Scholar]
- Nielsen, M.P.; Hoang, L.C. Limit Analysis and Concrete Plasticity; CRC Press: Boca Raton, FL, USA, 2016. [Google Scholar]
- Kotsovos, G.M.; Vougioukas, E.; Kotsovos, M.D. Behaviour of reinforced concrete beams with non-bonded flexural reinforcement. Mag. Concr. Res. 2015, 67, 503–512. [Google Scholar] [CrossRef]
- Kotsovos, M.D.; Lefas, I.D. Behavior of reinforced concrete beams designed in compliance with the concept of compressive force path. Struct. J. 1990, 87, 127–139. [Google Scholar]
- Hsu, T.T. Toward a unified nomenclature for reinforced-concrete theory. J. Struct. Eng. 1996, 122, 275–283. [Google Scholar] [CrossRef]
- Hsu, T.T. Softened truss model theory for shear and torsion. Struct. J. 1988, 85, 624–635. [Google Scholar]
- Lampert, P. Ultimate Strength and Design of Reinforced Concrete Beams in Torsion and Bending/Résistance et dimensionnement des Poutres en Béton Armé Soumises ā la Torsion et ā la Flexion/Bruchwiderstand und Bemessung von Stahlbetonbalken Unter Torsion und Biegung; Birkhäuser: Basel, Switzerland, 2013; Volume 42. [Google Scholar]
- Zararis, P.D.; Papadakis, G.C. Diagonal shear failure and size effect in RC beams without web reinforcement. J. Struct. Eng. 2001, 127, 733–742. [Google Scholar] [CrossRef]
- Vecchio, F.J.; Collins, M.P. The modified compression-field theory for reinforced concrete elements subjected to shear. ACI J. 1986, 83, 219–231. [Google Scholar]
- Du Béton, F.I. Fib Model Code for Concrete Structures 2010; Wiley-vch Verlag Gmbh: Weinheim, Germany, 2013. [Google Scholar]
- Hong-Gun, P.; Choi, K.-K.; Wight, J.K. Strain-based shear strength model for slender beams without web reinforcement. ACI Struct. J. 2006, 103, 783. [Google Scholar]
- Abou El-Mal Sherbini, A.; Sallam, H. Structural behavior of RC beams containing a pre-diagonal tension crack. Lat. Am. J. Solids Struct. 2018, 15, e82. [Google Scholar]
- Reinhardt, H.W. Size effect on shear tests in the light of fracture mechanics. Beton Stahlbetonbau 1981, 76, 19–21. [Google Scholar] [CrossRef]
- Bazant, Z.P.; Kim, J.-K. Size Effect in Shear Failure of Longitudinally Reinforced Beams; American Concrete Institute: Farmington Hills, MI, USA, 1984. [Google Scholar]
- Bažant, Z.P. Size effect in blunt fracture: Concrete, rock, metal. J. Eng. Mech. 1984, 110, 518–535. [Google Scholar] [CrossRef]
- Bažant, Z.P. Fracture energy of heterogeneous materials and similitude. In Fracture of Concrete and Rock, Proceedings of the SEM-RILEM International Conference, Houston, TX, USA, 17–19 June 1987; Springer: Berlin/Heidelberg, Germany, 1989. [Google Scholar]
- Bažant, Z.P.; Yu, Q. Designing against size effect on shear strength of reinforced concrete beams without stirrups: I. Formulation. J. Struct. Eng. 2005, 131, 1877–1885. [Google Scholar] [CrossRef]
- Reineck, K. Fracture mechanics model applied to shear failure of reinforced concrete beams without stirrups. discussion and closure. ACI Struct. J. 2002, 99, 184–190. [Google Scholar]
- Carpinteri, A.; Carmona, J.R.; Ventura, G. Failure Mode Transitions in Reinforced Concrete Beams—Part 1: Theoretical Model. ACI Struct. J. 2011, 108, 267. [Google Scholar]
- Bykov, A.A.; Matveenko, V.P.; Serovaev, G.S.; Shardakov, I.N.; Shestakov, A.P. Analysis of the influence of dynamic phenomena on the fracture of a reinforced concrete beam under quasistatic loading (Computations and experiment). Mech. Solids 2015, 50, 463–472. [Google Scholar] [CrossRef]
- Fayyad, T.M.; Lees, J.M. Experimental investigation of crack propagation and crack branching in lightly reinforced concrete beams using digital image correlation. Eng. Fract. Mech. 2017, 182, 487–505. [Google Scholar] [CrossRef]
- Carpinteri, A. Applications of Fracture Mechanics to Reinforced Concrete; CRC Press: Boca Raton, FL, USA, 2018. [Google Scholar]
- Banjara, N.K.; Ramanjaneyulu, K. Experimental and numerical investigations on the performance evaluation of shear deficient and GFRP strengthened reinforced concrete beams. Constr. Build. Mater. 2017, 137, 520–534. [Google Scholar] [CrossRef]
- Reineck, K.H.; Bentz, E.C.; Fitik, B.; Kuchma, D.A.; Bayrak, O. ACI-DAfStb Database of Shear Tests on Slender Reinforced Concrete Beams without Stirrups. ACI Struct. J. 2013, 110, 867. [Google Scholar]
- Tran, N.L. A mechanical model for the shear capacity of slender reinforced concrete members without shear reinforcement. Eng. Struct. 2020, 219, 110803. [Google Scholar] [CrossRef]
- Cladera, A.; Marí, A.; Ribas, C.; Oller, E.; Bairán, J.M.; Duarte, N.; Menduiña, R. A simplified model for the shear strength in RC and PC beams, and for punching shear in slabs, without or with shear reinforcement, including steel, FRP and SMA. In Proceedings of the SMAR, Potsdam, Germany, 27–29 August 2019. [Google Scholar]
- Taylor, R.; Brewer, R. The effect of the type of aggregate on the diagonal cracking of reinforced concrete beams. Mag. Concr. Res. 1963, 15, 87–92. [Google Scholar] [CrossRef]
- Frosch, R.J.; Wolf, T.S. Simplified Shear Design of Prestressed Concrete Members; Indiana Department of Transportation and Purdue University: West Lafayette, IN, USA, 2003. [Google Scholar]
- Marí, A.; Cladera, A.; Bairán, J.; Oller, E.; Ribas, C. Shear-flexural strength mechanical model for the design and assessment of reinforced concrete beams subjected to point or distributed loads. Front. Struct. Civ. Eng. 2014, 8, 337–353. [Google Scholar] [CrossRef]
- Olalusi, O.B. Reliability Assessment of Shear Design Provisions for Reinforced Concrete Beams with Stirrups; Stellenbosch University: Stellenbosch, South Africa, 2018. [Google Scholar]
- Fernández Ruiz, M.; Mirzaei, Y.; Muttoni, A. Post-punching behavior of flat slabs. ACI Struct. J. 2013, 110, 801–812. [Google Scholar]
- Jeli, I.; Pavlović, M.; Kotsovos, M. A study of dowel action in reinforced concrete beams. Mag. Concr. Res. 1999, 51, 131–141. [Google Scholar] [CrossRef]
- Kuchma, D.A.; Hawkins, N.M.; Mast, B.F.; Marsh, M.L.; Reinec, K.-H. Simplified shear design of structural concrete members. In Proceedings of the 2004 Concrete Bridge ConferenceFederal Highway Administration National Concrete Bridge Council American Concrete Institute (ACI), Charlotte, NC, USA, 17–18 May 2004. [Google Scholar]
- Sagaseta, J.; Vollum, R. Influence of aggregate fracture on shear transfer through cracks in reinforced concrete. Mag. Concr. Res. 2011, 63, 119–137. [Google Scholar] [CrossRef]
- Pundir, M.; Tirassa, M.; Ruiz, M.F.; Muttoni, A.; Anciaux, G. Review of fundamental assumptions of the Two-Phase model for aggregate interlocking in cracked concrete using numerical methods and experimental evidence. Cem. Concr. Res. 2019, 125, 105855. [Google Scholar] [CrossRef]
- Huber, T.; Huber, P.; Kollegger, J. Influence of aggregate interlock on the shear resistance of reinforced concrete beams without stirrups. Eng. Struct. 2019, 186, 26–42. [Google Scholar] [CrossRef]
- Hordijk, D. Tensile and tensile fatigue behaviour of concrete, experiments, modelling and analyses. Heron. J. 1992, 37, 3–79. [Google Scholar]
- Ramirez, J.A. Recent Approaches to Shear Design of Structural Concrete. ACI Man. Concr. Pract. 2009, 2009, 56. [Google Scholar]
- Hillerborg, A.; Modéer, M.; Petersson, P.-E. Analysis of crack formation and crack growth in concrete by means of fracture mechanics and finite elements. Cem. Concr. Res. 1976, 6, 773–781. [Google Scholar] [CrossRef]
- Słowik, M. The analysis of failure in concrete and reinforced concrete beams with different reinforcement ratio. Arch. Appl. Mech. 2019, 89, 885–895. [Google Scholar] [CrossRef]
- Russo GMitri, D.; Pauletta, M. Shear strength design formula for RC beams with stirrups. Eng. Struct. 2013, 51, 226–235. [Google Scholar] [CrossRef]
- Spinella, N.; Colajanni, P.; Recupero, A. Simple plastic model for shear critical SFRC beams. J. Struct. Eng. 2010, 136, 390–400. [Google Scholar] [CrossRef]
- Cucchiara, C.; Fossetti, M.; Papia, M. Steel fibre and transverse reinforcement effects on the behaviour of high strength concrete beams. Struct. Eng. Mech. Int. J. 2012, 42, 551–570. [Google Scholar] [CrossRef]
- Olalusi, O.B.; Spyridis, P. Machine learning-based models for the concrete breakout capacity prediction of single anchors in shear. Adv. Eng. Softw. 2020, 147, 102832. [Google Scholar] [CrossRef]
- Cai, B.; Kong, X.; Liu, Y.; Lin, J.; Yuan, X.; Xu, H.; Ji, R. Application of Bayesian networks in reliability evaluation. IEEE Trans. Ind. Inform. 2018, 15, 2146–2157. [Google Scholar] [CrossRef]
- Aldakheel, F.; Satari, R.; Wriggers, P. Feed-forward neural networks for failure mechanics problems. Appl. Sci. 2021, 11, 6483. [Google Scholar] [CrossRef]
- Momani, Y.; Tarawneh, A.; Alawadi, R.; Momani, Z. Shear strength prediction of steel fiber-reinforced concrete beams without stirrups. Innov. Infrastruct. Solut. 2022, 7, 107. [Google Scholar] [CrossRef]
- Zhang, J.; Sun, Y.; Li, G.; Wang, Y.; Sun, J.; Li, J. Machine-learning-assisted shear strength prediction of reinforced concrete beams with and without stirrups. Eng. Comput. 2022, 15, 2407. [Google Scholar] [CrossRef]
- Yu, Y.; Zhao, X.-Y.; Xu, J.-J.; Wang, S.-C.; Xie, T.-Y. Evaluation of shear capacity of steel fiber reinforced concrete beams without stirrups using artificial intelligence models. Materials 2022, 15, 2407. [Google Scholar] [CrossRef]
- Rahman, J.; Ahmed, K.S.; Khan, N.I.; Islam, K.; Mangalathu, S. Data-driven shear strength prediction of steel fiber reinforced concrete beams using machine learning approach. Eng. Struct. 2021, 233, 111743. [Google Scholar] [CrossRef]
- Mohammed, H.R.M.; Ismail, S. Proposition of new computer artificial intelligence models for shear strength prediction of reinforced concrete beams. Eng. Comput. 2022, 38, 3739–3757. [Google Scholar] [CrossRef]
- Olalusi, O.B.; Awoyera, P.O. Shear capacity prediction of slender reinforced concrete structures with steel fibers using machine learning. Eng. Struct. 2021, 227, 111470. [Google Scholar] [CrossRef]
- Ababneh, A.; Alhassan, M.; Abu-Haifa, M. Predicting the contribution of recycled aggregate concrete to the shear capacity of beams without transverse reinforcement using artificial neural networks. Case Stud. Constr. Mater. 2020, 13, e00414. [Google Scholar] [CrossRef]
- Liu, T.; Wang, Z.; Zeng, J.; Wang, J. Machine-learning-based models to predict shear transfer strength of concrete joints. Eng. Struct. 2021, 249, 113253. [Google Scholar] [CrossRef]
- Ghoniem, A. Deep learning shear capacity prediction of fibrous recycled aggregate concrete beams strengthened by side carbon fiber-reinforced polymer sheets. Compos. Struct. 2022, 300, 116137. [Google Scholar] [CrossRef]
- Kukreja, H.; Bharath, N.; Siddesh, C.S.; Kuldeep, S. An introduction to artificial neural network. Int. J. Adv. Res. Innov. Ideas Educ. 2016, 1, 27–30. [Google Scholar]
- Smola, A.J.; Schölkopf, B. A tutorial on support vector regression. Stat. Comput. 2004, 14, 199–222. [Google Scholar] [CrossRef]
- Gunn, S.R. Support vector machines for classification and regression. ISIS Tech. Rep. 1998, 14, 5–16. [Google Scholar]
- Shannon, C. A Mathematical Theory of Communication. Bell Syst. Tech. J. 1984, 27, 379–423+623–656. [Google Scholar] [CrossRef]
- Breiman, L.; Friedman, J.H.; Olshen, R.A.; Stone, C.J. Classification and regression trees (CART). Biometrics 1984, 40, 358–361. [Google Scholar]
- Quinlan, J. C4. 5: Programs for Machine Learning; Morgan Kaufmann Publishers: San Mateo, CA, USA, 1993. [Google Scholar]
- Hastie, T. The Elements of Statistical Learning: Data Mining, Inference, and Prediction; Springer: Berlin/Heidelberg, Germany, 2009; Volume 2. [Google Scholar]
- Breiman, L. Random forests. Mach. Learn. 2001, 45, 5–32. [Google Scholar] [CrossRef]
- Breiman, L. Bagging predictors. Mach. Learn. 2001, 24, 5–32. [Google Scholar] [CrossRef]
- Amit, Y.; Geman, D. Shape quantization and recognition with randomized trees. Neural Comput. 1997, 9, 1545–1588. [Google Scholar] [CrossRef]
- Breiman, L. Bagging predictors. Mach. Learn. 2001, 24, 123–140. [Google Scholar] [CrossRef]
- Freund, Y.; Schapire, R.; Abe, N. A short introduction to boosting. J.-Jpn. Soc. Artif. Intell. 1999, 14, 1612. [Google Scholar]
- Friedman, J. Stochastic Gradient Boosting; Department of Statistics. Stanford University: San Francisco, CA, USA, 1999. [Google Scholar]
- Friedman, J.H. Greedy function approximation: A gradient boosting machine. Ann. Stat. 2001, 29, 1189–1232. [Google Scholar] [CrossRef]
- Chen, T.; Guestrin, C. Xgboost: A scalable tree boosting system. In Proceedings of the 22nd ACM Sigkdd International Conference on Knowledge Discovery and Data Mining, San Francisco, CA, USA, 13–17 August 2016. [Google Scholar]
- Olalusi, O.B.; Viljoen, C. Model uncertainties and bias in SHEAR strength predictions of slender stirrup reinforced concrete beams. Struct. Concr. 2020, 21, 316–332. [Google Scholar] [CrossRef]
- Holický, M.; Retief, J.V.; Sýkora, M. Assessment of model uncertainties for structural resistance. Probabilistic Eng. Mech. 2016, 45, 188–197. [Google Scholar] [CrossRef]
- Kabir, H.; Garg, N. Machine learning enabled orthogonal camera goniometry for accurate and robust contact angle measurements. Sci. Rep. 2023, 13, 1497. [Google Scholar] [CrossRef] [PubMed]
- Bolon-Canedo, V.; Remeseiro, B. Feature selection in image analysis: A survey. Artif. Intell. Rev. 2020, 53, 2905–2931. [Google Scholar] [CrossRef]
- JCSS. Probabilistic model code. Jt. Comm. Struct. Saf. 2001, 601. [Google Scholar]
















| (mm) | (mm) | (%) | (MPa) | (kN) | ||
|---|---|---|---|---|---|---|
| Counts | 784 | 784 | 784 | 784 | 784 | 784 |
| Mean | 218.54 | 3.50 | 345.50 | 2.2 | 35.32 | 98.10 |
| SD | 207.10 | 1.00 | 303.30 | 1.1 | 21.09 | 124.00 |
| CoV | 0.95 | 0.29 | 0.88 | 0.5 | 0.60 | 1.26 |
| Min | 50.00 | 2.40 | 57.20 | 0.1 | 8.90 | 7.20 |
| 25% | 150.00 | 2.90 | 204.60 | 1.2 | 22.23 | 41.22 |
| 50% | 153.00 | 3.20 | 268.20 | 1.9 | 28.00 | 61.05 |
| 75% | 203.00 | 4.00 | 336.00 | 2.7 | 39.42 | 106.15 |
| Max | 3005.00 | 8.10 | 3000.0 | 6.6 | 135.00 | 1308.40 |
| Performance Metric | Formula |
|---|---|
| Root mean square | RMSE = |
| Mean absolute percentage error | MAPE = |
| Coefficient of determination | |
| Mean absolute error | MAE = |
| Counts | 196 | 196 | 196 | 196 | 196 | 196 | 196 |
| Mean | 0.95 | 1.07 | 1.01 | 1.04 | 0.80 | 1.00 | 1.00 |
| Std | 0.18 | 0.32 | 0.19 | 0.38 | 0.20 | 0.14 | 0.14 |
| CoV | 19% | 30% | 19% | 37% | 24% | 14% | 14% |
| Max | 1.99 | 2.58 | 1.60 | 1.78 | 1.58 | 1.82 | 1.72 |
| Q1 | 0.89 | 0.88 | 0.92 | 0.91 | 0.60 | 0.93 | 0.91 |
| Q2 | 0.98 | 1.00 | 1.00 | 0.99 | 0.80 | 1.03 | 1.00 |
| Q3 | 1.09 | 1.18 | 1.08 | 1.09 | 0.97 | 1.14 | 1.06 |
| Min | 0.56 | 0.41 | 0.44 | 0.42 | 0.22 | 0.39 | 0.38 |
| Pearson Correlation Coefficient (r) | |||||
|---|---|---|---|---|---|
| bw (mm) | a/d | d (mm) | (%) | fck (MPa) | |
| MFANN | 0.023 | −0.18 | −0.14 | 0.036 | 0.24 |
| MFSVM | 0.018 | −0.071 | −0.11 | 0.0033 | −0.021 |
| MFRF | 0.025 | −0.29 | 0.0012 | 0.2 | 0.21 |
| MFDT | 0.2 | −0.18 | 0.052 | 0.27 | 0.25 |
| 0.19 | −0.3 | 0.14 | 0.18 | 0.32 | |
| −0.082 | −0.16 | −0.059 | 0.083 | 0.17 | |
| −0.082 | −0.13 | −0.17 | 0.15 | 0.13 | |
| Counts | Mean | Std | CoV (%) | Min | Max | Q1 | Q2 | Q3 | |
|---|---|---|---|---|---|---|---|---|---|
| 784 | 1.14 | 0.28 | 25 | 0.28 | 2.23 | 1.02 | 1.16 | 1.28 | |
| 784 | 1.11 | 0.28 | 25 | 0.31 | 2.28 | 0.98 | 1.13 | 1.25 | |
| 784 | 1.02 | 0.16 | 16 | 0.57 | 1.98 | 0.94 | 1.06 | 1.17 |
| Pearson Correlation Coefficient (r) | |||||
|---|---|---|---|---|---|
| bw (mm) | a/d | d (mm) | (%) | fck (MPa) | |
| MFCCC | 0.039 | −0.24 | 0.14 | −0.22 | −0.13 |
| MFMASM | −0.032 | −0.17 | 0.033 | −0.061 | −0.21 |
| MFNLT | 0.086 | 0.083 | 0.12 | −0.18 | −0.0038 |
| Counts | Mean | Std | CoV (%) | Min | Max | Q1 | Q2 | Q3 | |
|---|---|---|---|---|---|---|---|---|---|
| 196 | 1.00 | 0.14 | 14 | 0.38 | 1.72 | 0.91 | 1.00 | 1.06 | |
| 196 | 1.07 | 0.18 | 17 | 0.68 | 1.97 | 0.95 | 1.03 | 1.16 |
Disclaimer/Publisher’s Note: The statements, opinions and data contained in all publications are solely those of the individual author(s) and contributor(s) and not of MDPI and/or the editor(s). MDPI and/or the editor(s) disclaim responsibility for any injury to people or property resulting from any ideas, methods, instructions or products referred to in the content. |
© 2024 by the authors. Licensee MDPI, Basel, Switzerland. This article is an open access article distributed under the terms and conditions of the Creative Commons Attribution (CC BY) license (https://creativecommons.org/licenses/by/4.0/).
Share and Cite
David, A.B.; Olalusi, O.B.; Awoyera, P.O.; Simwanda, L. Suitability of Mechanics-Based and Optimized Machine Learning-Based Models in the Shear Strength Prediction of Slender Beams Without Stirrups. Buildings 2024, 14, 3946. https://doi.org/10.3390/buildings14123946
David AB, Olalusi OB, Awoyera PO, Simwanda L. Suitability of Mechanics-Based and Optimized Machine Learning-Based Models in the Shear Strength Prediction of Slender Beams Without Stirrups. Buildings. 2024; 14(12):3946. https://doi.org/10.3390/buildings14123946
Chicago/Turabian StyleDavid, Abayomi B., Oladimeji B. Olalusi, Paul O. Awoyera, and Lenganji Simwanda. 2024. "Suitability of Mechanics-Based and Optimized Machine Learning-Based Models in the Shear Strength Prediction of Slender Beams Without Stirrups" Buildings 14, no. 12: 3946. https://doi.org/10.3390/buildings14123946
APA StyleDavid, A. B., Olalusi, O. B., Awoyera, P. O., & Simwanda, L. (2024). Suitability of Mechanics-Based and Optimized Machine Learning-Based Models in the Shear Strength Prediction of Slender Beams Without Stirrups. Buildings, 14(12), 3946. https://doi.org/10.3390/buildings14123946

