Optimizing the Design of Container House Walls Using Argon and Recycled Plastic Materials
Abstract
1. Introduction
2. Design Steps
2.1. Geometry
2.2. Material Properties
2.3. Governing Equations and Solution Method
- Ansys Fluent is used to simulate convective, conductive, and radiative heat transfer within the cavities of the layers.
- It is assumed that the cavities’ inner walls are gray, diffuse, and opaque.
- The cavities are filled with gas, and the Boussinesq buoyancy hypothesis is adopted.
- The flow field is described as two-dimensional steady-state flow, i.e., ∂u/∂t = 0, ∂v/∂t = 0.
2.3.1. Governing Equations
- The continuity equation (conservation of mass principle)
- The momentum equations (conservation of momentum principle)
- -
- along the x-axis
- -
- along the y-axis
- The energy equation (conservation of energy principle)
- Dimensionless numbers
- The results of the validation part were calculated in Fluent according to the following equations:
2.3.2. The Equations’ Discretization
2.3.3. Radiative Heat Transfer Handling
2.3.4. The Equations Used for Economic Calculations Study
2.4. Mesh Construction
3. Verification
3.1. Verification in a Simple Case
- Analytical solution
- Simulation solution
3.2. Verification of Convection and Radiation
4. First Round of Simulation and Optimization
4.1. Ansys Workbench
4.2. Minitab
- Creating the Response Surface Design: We selected the range of factors.
- Running the Experiments: The experiments were conducted, and the response values were recorded.
- Analyzing the Response Surface Design: We analyzed the design by selecting the terms, options, graphs, and storage in Minitab. This included generating coded coefficients, model summaries, ANOVA tables, regression equations, Pareto charts, and residual plots. It was found that argon gas was the best according to cost and heat loss compared to CO2 and air; therefore, the study continued using argon. Table 6 shows the errors for the heat loss and cost in the equations. Figure 7 present Surface plot of heat loss and cost.
4.3. Isight
4.4. Particle Swarm Optimization (PSO)
5. Second Round of Simulation and Optimization
5.1. The Reference Walls
5.2. Multi-Layer Wall Without Reflective Layers
5.3. Multi-Layer Wall with Reflective Layers
6. Conclusions
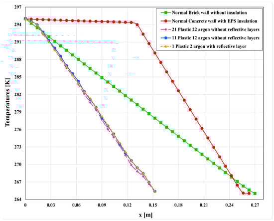
- We found that as the number of plastic layers increases, heat loss decreases due to reduced radiative heat transfer and limited convective movement of argon within the increasingly smaller spaces between layers. This trend continues until the wall comprises 21 layers of plastic. Beyond this point, heat loss begins to increase again as the conduction through the plastic layers becomes more significant than the insulating effect of the argon layers. In the case of 21 plastic layers, the initial investment is slightly larger than in the case of the standard walls. However, the heating load is much smaller, and this easily counterbalances the initial cost in 20 years.
- From the point of view of economic optimization, the finding is the following: while increasing the number of plastic layers can lead to substantial savings due to decreased radiation heat transfer, hence decreasing the heat loss, it also necessitates greater investment due to the high cost of plastic. Consequently, the total gain diminishes for walls with many layers. Furthermore, as the number of layers increases, conduction also increases, offsetting the decrease in radiative heat transfer. Therefore, the optimal number of plastic layers from an economic point of view is 11, which is fewer than if only thermal optimization is performed. Above this, the heat loss still decreases, but the life-cycle cost of housing starts to increase. Moreover, if a high-reflectivity layer covers the plastic layer, only one layer is enough to decrease heat loss to the level of eleven plastic layers without this reflective layer. Hence, one layer with reflective coating minimizes the heat loss as well as the cost of housing. These two economic optimums—eleven plastic layers without and one plastic layer with reflective coating—perform better than the standard walls in initial investment, heating load, and total cost of housing as well. We found for an insulation thickness of 2 cm, the maximum total life-cycle savings are 335.14 and 350.52 USD, respectively, while the minimum savings are 16.06 and 31.44 USD, respectively, for multi-layer walls without and with reflective layers compared to conventional walls. The maximum amount of decrease in annual energy loss is 160.73 [kwh/m2], while the minimum amount is 3.32 [kwh/m2], for the multi-layer thermally optimal wall without reflective layers compared to conventional walls.
- These findings provide valuable insights for the design of energy-efficient and cost-effective multi-layered walls.
- The importance of this research lies in producing new multi-layer walls for container houses capable of resisting earthquakes, significantly reducing heat loss through such walls, and, at the same time, reducing the overall cost compared to conventional brick or concrete walls.
Author Contributions
Funding
Data Availability Statement
Conflicts of Interest
References
- Cozzarini, L.; Marsich, L.; Ferluga, A.; Schmid, C. Life Cycle Analysis of a Novel Thermal Insulator Obtained from Recycled Glass Waste. Dev. Built Environ. 2020, 3, 100014. [Google Scholar] [CrossRef]
- Mawardi, I.; Aprilia, S.; Faisal, M.; Ikramullah; Rizal, S. An Investigation of Thermal Conductivity and Sound Absorption from Binderless Panels Made of Oil Palm Wood as Bio-Insulation Materials. Results Eng. 2022, 13, 100319. [Google Scholar] [CrossRef]
- Alsaffar, A.K.K.; Alquzweeni, S.S.; Al-Ameer, L.R.; Ali, A.H.; Mohamed, A.; Aldaihani, H.M.; Reham, A.; Al-Ansari, N.; Al-Hashimi, O.; Shubbar, A.; et al. Development of Eco-Friendly Wall Insulation Layer Utilising the Wastes of the Packing Industry. Heliyon 2023, 9, e21799. [Google Scholar] [CrossRef]
- Ndanduleni, A.U.C.; Radebe, T.B.; Huan, Z. Reduction of Temperature Fluctuation in a South African Shack House Using Phase Change Material Insulation. Build. Environ. 2023, 241, 110376. [Google Scholar] [CrossRef]
- Calama-González, C.M.; Escandón, R.; Alonso, A.; Suárez, R.; León-Rodríguez, Á.L.; Sánchez-Ostiz Gutiérrez, A.; Arriazu-Ramos, A.; Monge-Barrio, A. Thermal Insulation Impact on Overheating Vulnerability Reduction in Mediterranean Dwellings. Heliyon 2023, 9, e16102. [Google Scholar] [CrossRef] [PubMed]
- Juanicó, L.E. Thermal Insulation of Roofs by Using Multiple Air Gaps Separated by Insulating Layers of Low Infrared Emissivity. Constr. Build. Mater. 2020, 230, 116931. [Google Scholar] [CrossRef]
- Mavromatidis, L.E.; Bykalyuk, A.; El Mankibi, M.; Michel, P.; Santamouris, M. Numerical Estimation of Air Gaps’ Influence on the Insulating Performance of Multilayer Thermal Insulation. Build. Environ. 2012, 49, 227–237. [Google Scholar] [CrossRef]
- Noaman, D.S.; El-Ghafour, S.A. Holistic Design of Energy-Efficient Temporary Houses: Meeting Ventilation, Heating, Cooling, and Lighting Demands. J. Build. Eng. 2024, 86, 108534. [Google Scholar] [CrossRef]
- Abdullah, H.K.; Faraj, S.H. Experimental Study for the Effect of Air Gap in Building Walls on Heat Gain Reduction. Mater. Today Proc. 2022, 61, 1043–1051. [Google Scholar] [CrossRef]
- Borelli, D.; Cavalletti, A.; Cavalletti, P.; Peshku, J.; Tagliafico, L.A. A Methodology to Evaluate the Optimal Insulation Thickness for Heating and Cooling Needs in Different Climatic Zones for Buildings Made of Reinforced Concrete with Cavity Walls. Heliyon 2024, 10, e30653. [Google Scholar] [CrossRef]
- Channels, H. Analysis of Thermal Resistance of Developed Energy-Saving. Buildings 2023, 13, 356. [Google Scholar] [CrossRef]
- Naje, W.A.; Hasan, Z.M.; Al-Fahham, M.A. Simulation by Using ANSYS—FLUENT of Wall Room with Effect Air Gaps Between Walls. Int. J. Intell. Syst. Appl. Eng. 2023, 11, 78–84. [Google Scholar]
- Kaynakli, O. Parametric Investigation of Optimum Thermal Insulation Thickness for External Walls. Energies 2011, 4, 913–927. [Google Scholar] [CrossRef]
- Sadrzadehrafiei, S.; Sopian, K.; Mat, S.; Lim, C.; Hashim, H.S.; Zaharim, A. Potential Energy and Emission Reduction through Application of Triple Glazing. In Recent Researches in Environment and Biomedicine; University Kebangsaan Malaysia: Bangi, Malaysia, 2012; ISBN 978-1-61804-075-6. [Google Scholar]
- Liao, W.; Wen, C.; Luo, Y.; Peng, J.; Li, N. Influence of Different Building Transparent Envelopes on Energy Consumption and Thermal Environment of Radiant Ceiling Heating and Cooling Systems. Energy Build. 2022, 255, 111702. [Google Scholar] [CrossRef]
- Influence of Glazed Façades on Energy Consumption for Air Conditioning of Office Buildings in Brazilian Climates. Available online: https://www.researchgate.net/publication/313697169_Influence_of_Glazed_Facades_on_Energy_Consumption_for_Air_Conditioning_of_Office_Buildings_in_Brazilian_Climates (accessed on 21 August 2024).
- Hamza, N. Double versus Single Skin Facades in Hot Arid Areas. Energy Build. 2008, 40, 240–248. [Google Scholar] [CrossRef]
- Baetens, R.; Jelle, B.P.; Gustavsen, A. Properties, Requirements and Possibilities of Smart Windows for Dynamic Daylight and Solar Energy Control in Buildings: A State-of-the-Art Review. Sol. Energy Mater. Sol. Cells 2010, 94, 87–105. [Google Scholar] [CrossRef]
- Islam, H.; Zhang, G.; Setunge, S.; Bhuiyan, M.A. Life Cycle Assessment of Shipping Container Home: A Sustainable Construction. Energy Build. 2016, 128, 673–685. [Google Scholar] [CrossRef]
- Kon, O.; Caner, İ. Life Cycle Cost Analysis of the Buildings in Turkey Related to Energy Consumption Due to External Wall Insulation. In Green Energy and Technology; Springer: Cham, Switzerland, 2020; pp. 123–135. [Google Scholar] [CrossRef]
- Dlimi, M.; Iken, O.; Agounoun, R.; Zoubir, A.; Kadiri, I.; Sbai, K. Energy Performance and Thickness Optimization of Hemp Wool Insulation and Air Cavity Layers Integrated in Moroccan Building Walls. Sustain. Prod. Consum. 2019, 20, 273–288. [Google Scholar] [CrossRef]
- Altin, M.; Yildirim, G.Ş. Investigation of Usability of Boron Doped Sheep Wool as Insulation Material and Comparison with Existing Insulation Materials. Constr. Build. Mater. 2022, 331, 127303. [Google Scholar] [CrossRef]
- Ali, M.H.; Mawlood, M.K.; Jalal, R.E. Investigating the Impact of Trombe Wall Parameters on Thermal Performance and Room Temperature in the Iraqi Climate. Heat Transf. 2024, 53, 2600–2635. [Google Scholar] [CrossRef]
- Fantozzi, F.; Galbiati, P.; Leccese, F.; Salvadori, G.; Rocca, M. Thermal Analysis of the Building Envelope of Lightweight Temporary Housing. J. Phys. Conf. Ser. 2014, 547, 012011. [Google Scholar] [CrossRef]
- Plastering|Plaster Volume Calculator|Calculation of Materials for Plastering. Available online: https://civil-engineering-calculators.com/Quantity-Estimator/Plastering-Calculator#google_vignette (accessed on 22 August 2024).
- Polyethylene Terephthalate (PET) Prices, Monitor & Demand. Available online: https://www.chemanalyst.com/Pricing-data/polyethylene-terephthalate-72 (accessed on 22 August 2024).
- Argon—United States—2007–2023—Market Overview—IndexBox Platform. Available online: https://app.indexbox.io/report/080410/0/ (accessed on 22 August 2024).
- Bergman, T.L.; Lavine, A.S.; Incropera, F.P.; DeWitt, D.P. Fundamentals of Heat and Mass Transfer, 8th ed.; Wiley: Hoboken, NJ, USA.
- Moukalled, F.; Mangani, L.; Darwish, M. The Finite Volume Method. In The Finite Volume Method in Computational Fluid Dynamics. Fluid Mechanics and Its Applications; Springer: Cham, Switzerland; Volume 113.
- Hirpho, M. Mixed Convection of Casson Fluid in a Differentially Heated Bottom Wavy Wall. Heliyon 2021, 7, e07361. [Google Scholar] [CrossRef] [PubMed]
- ANSYS, Inc. ANSYS Fluent documentation: User guide,(n.d.); ANSYS, Inc.: Canonsburg, PA, USA, 2016. [Google Scholar]
- Omle, I.; Kovács, E.; Bolló, B. Applying Recent Efficient Numerical Methods for Long-Term Simulations of Heat Transfer in Walls to Optimize Thermal Insulation. Results Eng. 2023, 20, 101476. [Google Scholar] [CrossRef]
- Kadhim, S.A.; Ibrahim, O.A.A.-M. The Effect of Holes Number in Cylindrical Samples on the Forced Convection Heat Flow. Int. J. Mech. Eng. Robot. Res. 2022, 11, 429–436. [Google Scholar] [CrossRef]
- Wang, H.; Xin, S.; Le Quéré, P. Étude Numérique Du Couplage de La Convection Naturelle Avec Le Rayonnement de Surfaces En Cavité Carrée Remplie d’air. Comptes Rendus-Mec. 2006, 334, 48–57. [Google Scholar] [CrossRef]
- Laaroussi, N. Contribution à La Simulation Numérique Des Transferts de Chaleur Par Conduction, Rayonnement et Convection Thermosolutale Dans Des Cavités. Ph.D. Thesis, Université Paris-Est, Paris, France, 2008. [Google Scholar]
- Omle, I.; Askar, A.H.; Kovács, E.; Bolló, B. Comparison of the Performance of New and Traditional Numerical Methods for Long-Term Simulations of Heat Transfer in Walls with Thermal Bridges. Energies 2023, 16, 4604. [Google Scholar] [CrossRef]
- Mathews, P.G. Design of Experiments with MINITAB; Quality Press: Mumbai, India, 2004. [Google Scholar]
- Zhang, X.; Xie, Y.; Han, J.; Wang, Y. Design of Control Valve with Low Energy Consumption Based on Isight Platform. Energy 2022, 239, 122328. [Google Scholar] [CrossRef]
- Isight Simulia-Isight-Brochure.Pdf (3ds.Com. Available online: https://www.3ds.com/fileadmin/PRODUCTS-SERVICES/SIMULIA/RESOURCES/DS_SIMULIA_IsightV40_GettingStartedGuide.pdf (accessed on 8 December 2024).
- Nyers, A.; Nyers, J. Enhancing the Energy Efficiency—COP of the Heat Pump Heating System by Energy Optimization and a Case Study. Energies 2023, 16, 2981. [Google Scholar] [CrossRef]
- Askar, A.H.; Kovács, E.; Bolló, B. Prediction and Optimization of Thermal Loads in Buildings with Different Shapes by Neural Networks and Recent Finite Difference Methods. Buildings 2023, 13, 2862. [Google Scholar] [CrossRef]
- Duffie, J.A.; Beckman, W.A. Selected Heat Transfer Topics. In Solar Engineering of Thermal Processes, 4th ed.; John Wiley & Sons Inc.: Hoboken, NJ, USA, 2013; pp. 138–172. [Google Scholar]
- 2005 Ashrae Handbook Fundamentals. I-P Edition. Supported by ASHRAE Research|PDF|Air Conditioning|Ventilation (Architecture). Available online: https://www.scribd.com/document/604053106/2005-ASHRAE-HANDBOOK-FUNDAMENTALS-I-P-Edition-Supported-by-ASHRAE-Research (accessed on 8 December 2024).
- Kadhim, S.A.; Al-Ghezi, M.K.S.; Shehab, W.Y. Optimum Orientation of Non-Tracking Solar Applications in Baghdad City. Int. J. Heat Technol. 2023, 41, 125–134. [Google Scholar] [CrossRef]
- Singh, A.; Mourelatos, Z.P.; Li, J. Design for Lifecycle Cost Using Time-Dependent Reliability. J. Mech. Des. 2010, 132, 9. [Google Scholar] [CrossRef]

















| Materials | Price ($/m3) | |||
|---|---|---|---|---|
| Brick | 1900 | 840 | 0.73 | 65 |
| Concrete | 2400 | 850 | 1.95 | 300 |
| EPS insulation | 320 | 1400 | 0.038 | 97.067 |
| Glass-wool insulation | 700 | 120 | 0.039 | 70 |
| Gypsum plaster | 1700 | 1000 | 0.726 | 50 |
| Cement | 2000 | 880 | 0.954 | 25 |
| Wood | 625 | 1300 | 0.12 | 694.25 |
| Steel | 7800 | 840 | 60.5 | 5109 |
| Argon | 5.704 | 0.3122 | 0.0158 | 5 |
| Air | 1.225 | 1005 | 0.0242 | 2 |
| CO2 | 1.87 | 763 | 0.0166 | 50 |
| Plastic | 1250 | 880 | 0.15 | 800 |
| Aluminum foil | 2710 | 903 | 235 | 6330 |
| Ra | L (m) | H (m) | AR = H/L |
|---|---|---|---|
| 104 | 0.021 | 0.021 | 1 |
| 106 | 0.097 | 0.097 | 1 |
| The Walls | Wall Properties | |||||
|---|---|---|---|---|---|---|
| Boundary Conditions | Emissivity ε | |||||
| Cold | Tc = 288.5 K | No slip, u = 0, v = 0 | 0 | 0.4 | 0.8 | 1 |
| Hot | Th = 298.5 K | |||||
| Adiabatic | ||||||
| Name | Symbol | Value | Unit |
|---|---|---|---|
| Density | 1.232 | ||
| Thermal conductivity coefficient | k | 0.0249 | W/(m∙K) |
| Kinematic viscosity | 1.43 × 10−5 | ||
| Dynamic viscosity | 1.761 × 10−5 | kg/(ms) | |
| Specific heat | c | 1008 | J/(kg K) |
| Thermal diffusivity | 2 × 10−5 | ||
| Thermal expansion coefficient | β | 0.0034 | |
| Prandtl number | Pr | 0.71 |
| ε | Nutot | |||||
|---|---|---|---|---|---|---|
| Ra = 104 | Ra = 106 | |||||
| Ansys Simulation | Reference | Relative Error (%) | Ansys Simulation | Reference | Relative Error (%) | |
| 0 | 2.277 | 2.25 | 1.19 | 4.59 | 4.56 | 0.843 |
| 0.4 | 3.37 | 3.30 | 2.013 | 9.32 | 9.207 | 1.288 |
| 0.8 | 4.68 | 4.59 | 1.93 | 15.54 | 15.25 | 1.935 |
| 1 | 5.40 | 5.37 | 0.545 | 19.37 | 18.99 | 2.025 |
| S (Standard Error) | R-sq | |
|---|---|---|
| q [W/m2] | 0.000938360 | 90.78% |
| Cost [$] | 0.0000001 | 100.00% |
| Option | Value |
|---|---|
| Maximum Iterations | 50 |
| Number of Particles | 10 |
| Inertia | 0.9 |
| Global Increment | 0.9 |
| Particle Increment | 0.9 |
| Maximum Velocity | 0.1 |
| Max Failed Runs | 5 |
| Failed Run Penalty Value | 1.0 × 1030 |
| Failed Run Objective Value | 1.0 × 1030 |
| Gas | Layers | Thickness of Gas [mm] | q [W/m2] | Cost per Cubic Meter [$] | Design Feasibility | Objective and Penalty | Objective Function | Penalty Function |
|---|---|---|---|---|---|---|---|---|
| Argon | 12 | 8 | 8.45 | 5 | 9 | 13.49505 | 13.49505 | 0 |
| Gas | Layers | Thickness of Gas [mm] | Total Thickness of Wall [mm] | q [W/m2] | Cost per Cubic Meter [$] |
|---|---|---|---|---|---|
| Argon | 12 | 8 | 154 | 8.45 | 5 |
| ε | T | ||
|---|---|---|---|
| Outer surface | 15 | 0.9 | 265 K |
| Inner surface | 8.5 | 0.9 | 295 K |
| No. of Argon Layers | No. of Plastic Layers | Heat Loss [W/m2] | Annual Heat Energy Loss [kWh/m2] | Life-Cycle Price of Energy [USD] | Total Initial Cost [USD] | Total Life-Cycle Cost [USD] |
|---|---|---|---|---|---|---|
| 1 | 0 | 28.63 | 61.80 | 148.41 | 44.54 | 192.94 |
| 2 | 1 | 24.42 | 52.75 | 126.60 | 46.14 | 172.74 |
| 4 | 3 | 15.60 | 33.68 | 80.83 | 49.34 | 130.17 |
| 8 | 7 | 10.25 | 22.14 | 53.12 | 55.74 | 108.85 |
| 10 | 9 | 9.11 | 19.68 | 47.236 | 58.93 | 106.17 |
| 11 | 10 | 8.77 | 18.94 | 45.45 | 60.54 | 105.99 |
| 12 | 11 | 8.45 | 18.25 | 43.80 | 62.14 | 105.94 |
| 13 | 12 | 8.20 | 17.71 | 42.52 | 63.74 | 106.26 |
| 15 | 14 | 7.82 | 16.90 | 40.57 | 66.94 | 107.5 |
| 16 | 15 | 7.70 | 16.64 | 39.93 | 68.54 | 108.47 |
| 18 | 17 | 7.52 | 16.24 | 38.97 | 71.74 | 110.71 |
| 20 | 19 | 7.39 | 15.96 | 38.31 | 74.94 | 113.24 |
| 21 | 20 | 7.367 | 15.91 | 38.19 | 76.54 | 114.73 |
| 22 | 21 | 7.350 | 15.87 | 38.10 | 78.14 | 116.24 |
| 23 | 22 | 7.352 | 15.88 | 38.11 | 79.74 | 117.85 |
| 24 | 23 | 7.356 | 15.89 | 38.137 | 81.34 | 119.47 |
| 25 | 24 | 7.388 | 15.96 | 38.30 | 82.94 | 121.24 |
| 26 | 25 | 7.41 | 16.02 | 38.44 | 84.54 | 122.98 |
| 28 | 27 | 7.51 | 16.23 | 38.96 | 87.74 | 126.69 |
| 32 | 31 | 7.85 | 16.96 | 40.70 | 94.14 | 134.84 |
| List of Walls | Materials | Insulation Thickness [m] | No. of Plastic Layers | Wall Type | Heat Loss [W/m2] | Annual Heat Energy Loss [kwh/m2] | Life-Cycle Price of Energy [USD] | Total Initial Cost [USD] | Total Life-Cycle Cost [USD] |
|---|---|---|---|---|---|---|---|---|---|
| Multi-layer without reflective layers | Wood, Steel, Argon, Plastic, EPS | 0.02 | 11 | Economically optimal | 8.45 | 18.25 | 43.8 | 62.14 | 105.94 |
| 0.03 | 7.9 | 17.07 | 40.98 | 63.10 | 104.08 | ||||
| 0.04 | 7.42 | 16.04 | 38.49 | 64.08 | 102.57 | ||||
| 0.02 | 21 | Thermally optimal | 7.35 | 15.87 | 38.1 | 78.14 | 116.24 | ||
| 0.03 | 6.93 | 14.97 | 35.93 | 79.10 | 115.04 | ||||
| 0.04 | 6.56 | 14.17 | 34.02 | 80.08 | 114.10 | ||||
| Multi-layer with reflective layer | 0.02 | 1 | Thermally and economically optimal | 8.53 | 18.43 | 44.22 | 46.34 | 90.56 | |
| 0.03 | 7.96 | 17.2 | 41.28 | 47.30 | 88.59 | ||||
| 0.04 | 7.46 | 16.12 | 38.7 | 48.28 | 86.98 | ||||
| Normal wall without insulation | Plaster, Brick, Cement | Reference walls | 81.8 | 176.7 | 424.08 | 17 | 441.08 | ||
| Normal wall with insulation | Plaster, Concrete, EPS, Cement | 0.125 | 8.88 | 19.19 | 46.07 | 77.25 | 123.33 | ||
| Plaster, Concrete, Glass Wool, Cement | 0.125 | 9.11 | 19.69 | 47.26 | 74.75 | 122 |
Disclaimer/Publisher’s Note: The statements, opinions and data contained in all publications are solely those of the individual author(s) and contributor(s) and not of MDPI and/or the editor(s). MDPI and/or the editor(s) disclaim responsibility for any injury to people or property resulting from any ideas, methods, instructions or products referred to in the content. |
© 2024 by the authors. Licensee MDPI, Basel, Switzerland. This article is an open access article distributed under the terms and conditions of the Creative Commons Attribution (CC BY) license (https://creativecommons.org/licenses/by/4.0/).
Share and Cite
Omle, I.; Askar, A.H.; Kovács, E. Optimizing the Design of Container House Walls Using Argon and Recycled Plastic Materials. Buildings 2024, 14, 3944. https://doi.org/10.3390/buildings14123944
Omle I, Askar AH, Kovács E. Optimizing the Design of Container House Walls Using Argon and Recycled Plastic Materials. Buildings. 2024; 14(12):3944. https://doi.org/10.3390/buildings14123944
Chicago/Turabian StyleOmle, Issa, Ali Habeeb Askar, and Endre Kovács. 2024. "Optimizing the Design of Container House Walls Using Argon and Recycled Plastic Materials" Buildings 14, no. 12: 3944. https://doi.org/10.3390/buildings14123944
APA StyleOmle, I., Askar, A. H., & Kovács, E. (2024). Optimizing the Design of Container House Walls Using Argon and Recycled Plastic Materials. Buildings, 14(12), 3944. https://doi.org/10.3390/buildings14123944

