Seismic Performance Research on a Graded-Yielding Metal Brace with Self-Centering Functions
Abstract
1. Introduction
2. Basic Structure and Working Mechanism of a SC-GYMB
2.1. Basic Structure of a SC-GYMB
2.2. Working Mechanism of the SC-GYMB
3. Restoring Force Model
3.1. Restoring Force Model of the X-Shaped Plate
3.2. Restoring Force Model of the U-Shaped Plate
3.3. Restoring Force Model of the Self-Centering System
3.4. Restoring Force Model of the SC-GYMB
4. Establishment and Analysis of SC-GYMB Finite Element Model
4.1. Establishment of the SC-GYMB Finite Element Model
4.1.1. Design Parameters of SC-GYMB
4.1.2. Establishment of a Finite Element Model
4.2. Verification of the Restoring Force Model for the SC-GYMB Reset System
4.3. Verification of the Restoring Force Model for the SC-GYMB
5. Analysis of the Influence of Design Parameters on SC-GYMB
5.1. The Influence of the Combined Disc Spring Pre-Compression Force on the Hysteretic Behavior of SC-GYMB
5.2. The Influence of the Thickness of the X-Shaped Steel Plate on the Hysteretic Behavior of the SC-GYMB
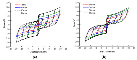
5.3. The Influence of the Thickness and Width of the U-Shaped Steel Plate on the Hysteretic Behavior of the SC-GYMB
6. Conclusions
- (1)
- A novel type of self-centering brace, the SC-GYMB, featuring hierarchical yield behavior, is proposed. In this system, a composite disc spring serves as the self-centering element, while X-shaped and U-shaped steel plates function as energy dissipation components. This brace is capable of meeting the seismic demands of structures under varying levels of seismic excitation. The restoring force model derived from the theoretical derivation closely aligns with the hysteresis curves obtained from numerical simulations, thereby validating the rationality and accuracy of the proposed restoring force model.
- (2)
- The hysteresis curve of the SC-GYMB is smooth and plump, exhibiting typical flag-shaped characteristics. X-shaped steel plates and U-shaped steel plates, featuring different yield point displacements, are capable of fulfilling the requirements of graded yielding. During the later stages of loading, the deformation mechanism of the X-shaped steel plate shifts from bending deformation to tensile deformation, which effectively enhances the stiffness and load-bearing capacity after the brace yields.
- (3)
- Increasing the initial pre-compression force of the self-centering system can enhance the self-centering performance of the SC-GYMB. By increasing the thickness of the X-shaped or U-shaped plate, one can alter the displacement of the first and second yield points of the brace and elevate the brace load during various loading stages. However, this also results in an increase in the residual deformation of the brace.
Author Contributions
Funding
Data Availability Statement
Conflicts of Interest
References
- Wang, D.B.; Fu, X.; Liu, H.J. Study on the performance of a novel rotation-amplified brace and its vibration control for a frame structure. Structures 2023, 57, 105142. [Google Scholar] [CrossRef]
- Oh, S.H.; Park, H.Y. Experimental study on seismic performance of steel slit damper under additional tensile load. J. Build. Eng. 2022, 50, 104110. [Google Scholar] [CrossRef]
- Titirla, M.D. A state-of-the-art review of passive energy dissipation systems in steel braces. Buildings 2023, 13, 851. [Google Scholar] [CrossRef]
- Lie, W.; Wu, C.; Luo, W.; Wu, C.; Li, C.; Li, D.; Wu, C. Cyclic behavior of a novel torsional steel-tube damper. J. Constr. Steel Res. 2022, 188, 107010. [Google Scholar] [CrossRef]
- Nuzzo, I.; Losanno, D.; Caterino, N.; Serino, G.; Bozzo Rotondo, L. Experimental and analytical characterization of steel shear links for seismic energy dissipation. Eng. Struct. 2018, 172, 405–418. [Google Scholar] [CrossRef]
- Mazza, F. Dissipative steel exoskeletons for the seismic control of reinforced concrete framed buildings. Struct. Control Health Monit. 2021, 28, e2683. [Google Scholar] [CrossRef]
- Tahmasebi, A.; Rahimi, M. Evaluation of nonlinear static and dynamic analysis of steel braced frame buildings subjected to near-field earthquakes using FBD and DBD. Structures 2021, 34, 1364–1372. [Google Scholar] [CrossRef]
- Yang, J.; Liang, S.T.; Zhu, X.J. Development and performance research of an Xadas damper with a double-phased yield mechanism. Structures 2023, 54, 1420–1439. [Google Scholar] [CrossRef]
- Lu, Y.J.; Lv, Q.F.; Liu, Y. A friction-strip hybrid damper with multi-phase energy dissipation mechanism: Cyclic test and numerical verification. Thin-Wall Struct. 2021, 200, 111913. [Google Scholar] [CrossRef]
- Li, G.Q.; Sun, Y.Z.; Jiang, J.; Sun, F.F.; Ji, C. Experimental study on two-level yielding buckling-restrained braces. J. Constr. Steel Res. 2019, 159, 260–269. [Google Scholar] [CrossRef]
- Hu, B.; Min, Y.; Wang, C.; Xu, Q.; Keleta, Y. Design, analysis and application of the double-stage yield buckling restrained brace. J. Build. Eng. 2022, 48, 103980. [Google Scholar] [CrossRef]
- Wu, S.; He, H.X.; Lan, B.J. Experimental study and analysis on performance of metal tube damper with multi-stage yield and failure. China Civ. Eng. J. 2022, 55, 36–46. (In Chinese) [Google Scholar]
- Chen, Y.; Jiang, H.J.; Liu, T. Study on the seismic behavior of graded yielding metal dampers. Eng. Mech. 2019, 36, 53–62. (In Chinese) [Google Scholar]
- Yang, C.T.; Xie, L.L.; Liu, Q. Dual-objective control of braced steel frame using asynchronized parallel two-stage yielding BRB. Soil Dyn. Earthq. Eng. 2024, 179, 108522. [Google Scholar] [CrossRef]
- Xie, Q.; Zhou, Z.; Meng, S.P. Experimental investigation of the hysteretic performance of self-centering buckling-restrained braces with friction fuses. Eng. Struct. 2020, 203, 109865. [Google Scholar] [CrossRef]
- Chou, C.C.; Huang, L.Y. Mechanics and validation tests of a post-tensioned self-centering brace with adjusted stiffness and deformation capacities using disc springs. Thin-Walled Struct. 2024, 195, 111430. [Google Scholar] [CrossRef]
- Zhang, C.Z.; Guo, X.N.; Zhu, S.J. Hysteretic behavior of assembled self-centering buckling-restrained brace. J. Tongji Univ. (Nat. Sci.) 2021, 49, 8–19. [Google Scholar]
- Ding, Y.K.; Liu, Y.T. Cyclic tests of assembled self-centering buckling-restrained braces with pre-compressed disc springs. J. Constr. Steel Res. 2020, 172, 106229. [Google Scholar] [CrossRef]
- Jin, S.S.; Li, Y.K.; Zhou, J.T. Hysteresis model and experimental investigation of assembled self-centering buckling-restrained braces. Eng. Mech. 2022, 39, 49–57. [Google Scholar]
- Lu, L.; Liu, X.; Dai, G.X. An experimental study on the mechanical properties of an axial compression-tension metallic damper and its application. J. Vib. Shock 2017, 36, 141–147. [Google Scholar]
- Qu, B.; Dai, C.X.; Qiu, J.; Hou, H.T.; Qiu, C.X. Testing of seismic dampers with replaceable U-shaped steel plates. Eng. Struct. 2019, 179, 625–639. [Google Scholar] [CrossRef]
- Ebadi Jamkhaneh, M.; Ebrahimi, A.H.; Shokri Amiri, M. Experimental and numerical investigation of steel moment resisting frame with U-shaped metallic yielding damper. Int. J. Steel Struct. 2019, 19, 806–818. [Google Scholar] [CrossRef]
- Jia, J.F.; Zhao, L.Y.; Bai, Y.L. Design of self-centering energy dissipation brace with U-Shape steel plates and analysis on hysteretic behavior. J. Southeast Univ. (Nat. Sci. Ed.) 2021, 51, 754–761. [Google Scholar]
- GB/T 1972-2005; Disc Spring. China Standards Press: Beijing, China, 2005.
- Chen, Y.; Chen, C.; Jiang, H.J. Study of an innovative graded yield metal damper. J. Constr. Steel Res. 2019, 160, 240–254. [Google Scholar] [CrossRef]
- Qiu, C.X.; Huang, T.Y.; Liu, J.W. Cyclic loading tests and numerical simulations of an assembled X-shaped flexural steel damper. Adv. Struct. Eng. 2024, 27, 301–313. [Google Scholar] [CrossRef]















| Disc Spring/mm | X-Shaped Steel Plate/mm | U-Shaped Steel Plate/mm | |||||||
|---|---|---|---|---|---|---|---|---|---|
| D | d | t | h | b | t | B | T | R | l |
| 100 | 51 | 6 | 80 | 50 | 5 | 50 | 10 | 40 | 40 |
| Performance Parameters | K1/(kN/mm) | uyx/mm | Fdyx/kN | uyu/mm | Fdyu/kN | Fdm/kN |
|---|---|---|---|---|---|---|
| Theoretical calculation | 453.45 | 0.73 | 67.49 | 1.84 | 91.79 | 154.08 |
| Numerical simulation | 427.23 | 0.90 | 77.73 | 1.75 | 93.93 | 188.19 |
| Parameter Types | Model Number | F0 (kN/mm) | t/mm | B/mm | T/mm |
|---|---|---|---|---|---|
| Initial pre-compression force | D-F032-t5-B50-T10 | 32 | 5 | 50 | 10 |
| D-F040-t5-B50-T10 | 40 | 5 | 50 | 10 | |
| D-F048-t5-B50-T10 | 48 | 5 | 50 | 10 | |
| D-F056-t5-B50-T10 | 56 | 5 | 50 | 10 | |
| Thickness of X-shaped steel plate | D-F048-t2-B50-T10 | 48 | 2 | 50 | 10 |
| D-F048-t5-B50-T10 | 48 | 5 | 50 | 10 | |
| D-F048-t8-B50-T10 | 48 | 8 | 50 | 10 | |
| D-F048-t11-B50-T10 | 48 | 11 | 50 | 10 | |
| Thickness of U-shaped steel plate | D-F048-t5-B50-T7 | 48 | 5 | 50 | 7 |
| D-F048-t5-B50-T10 | 48 | 5 | 50 | 10 | |
| D-F048-t5-B50-T13 | 48 | 5 | 50 | 13 | |
| D-F048-t5-B50-T16 | 48 | 5 | 50 | 16 | |
| Thickness of U-shaped steel plate | D-F040-t5-B50-T10 | 48 | 5 | 10 | 10 |
| D-F048-t5-B30-T10 | 48 | 5 | 30 | 10 | |
| D-F048-t5-B50-T10 | 48 | 5 | 50 | 10 | |
| D-F048-t5-B60-T10 | 48 | 5 | 60 | 10 |
| Parameter Types | Model Number | K1 (kN/mm) | uyx/mm | Fdyx/kN | uyu/mm | Fdyu/kN | Fdm/kN | udr/mm |
|---|---|---|---|---|---|---|---|---|
| Initial pre-compression force | D-F032-t5-B50-T10 | 427.23 | 0.90 | 61.97 | 1.75 | 78.67 | 172.62 | 6.12 |
| D-F040-t5-B50-T10 | 427.23 | 0.90 | 69.82 | 1.75 | 86.23 | 180.63 | 1.60 | |
| D-F048-t5-B50-T10 | 427.23 | 0.90 | 77.73 | 1.75 | 93.93 | 188.03 | 0.76 | |
| D-F056-t5-B50-T10 | 427.23 | 0.90 | 85.69 | 1.75 | 101.99 | 195.93 | 0.57 | |
| Thickness of X-shaped steel plate | D-F048-t2-B50-T10 | 417.85 | 1.54 | 79.55 | 1.75 | 82.06 | 147.82 | 0.18 |
| D-F048-t5-B50-T10 | 427.23 | 0.90 | 77.73 | 1.75 | 93.93 | 188.03 | 0.76 | |
| D-F048-t8-B50-T10 | 458.37 | 0.55 | 79.38 | 1.75 | 129.82 | 217.27 | 6.14 | |
| D-F048-t11-B50-T10 | 524.27 | 0.43 | 90.25 | 1.75 | 157.08 | 256.91 | 11.02 | |
| Thickness of U-shaped steel plate | D-F048-t5-B50-T7 | 417.35 | 0.90 | 62.38 | 2.28 | 76.33 | 165.88 | 0.40 |
| D-F048-t5-B50-T10 | 427.23 | 0.90 | 77.73 | 1.75 | 93.93 | 188.03 | 0.76 | |
| D-F048-t5-B50-T13 | 445.21 | 0.90 | 91.50 | 1.31 | 122.12 | 223.75 | 9.09 | |
| D-F048-t5-B50-T16 | 473.75 | 0.90 | 122.62 | 1.13 | 162.66 | 277.76 | 13.56 | |
| Width of U-shaped steel plate | D-F048-t5-B10-T10 | 415.20 | 0.90 | 63.82 | 1.75 | 70.12 | 154.62 | 0.09 |
| D-F048-t5-B30-T10 | 421.22 | 0.90 | 72.54 | 1.75 | 82.03 | 169.37 | 0.10 | |
| D-F048-t5-B50-T10 | 427.23 | 0.90 | 77.73 | 1.75 | 93.93 | 188.03 | 0.76 | |
| D-F048-t5-B60-T10 | 430.23 | 0.90 | 79.65 | 1.75 | 101.02 | 194.74 | 1.28 |
Disclaimer/Publisher’s Note: The statements, opinions and data contained in all publications are solely those of the individual author(s) and contributor(s) and not of MDPI and/or the editor(s). MDPI and/or the editor(s) disclaim responsibility for any injury to people or property resulting from any ideas, methods, instructions or products referred to in the content. |
© 2024 by the authors. Licensee MDPI, Basel, Switzerland. This article is an open access article distributed under the terms and conditions of the Creative Commons Attribution (CC BY) license (https://creativecommons.org/licenses/by/4.0/).
Share and Cite
An, Z.; Wang, W.; Wang, H.; Li, Z.; Wang, D.; Xie, G. Seismic Performance Research on a Graded-Yielding Metal Brace with Self-Centering Functions. Buildings 2024, 14, 3940. https://doi.org/10.3390/buildings14123940
An Z, Wang W, Wang H, Li Z, Wang D, Xie G. Seismic Performance Research on a Graded-Yielding Metal Brace with Self-Centering Functions. Buildings. 2024; 14(12):3940. https://doi.org/10.3390/buildings14123940
Chicago/Turabian StyleAn, Zhonghai, Wenming Wang, Hui Wang, Zhe Li, Debin Wang, and Guangcai Xie. 2024. "Seismic Performance Research on a Graded-Yielding Metal Brace with Self-Centering Functions" Buildings 14, no. 12: 3940. https://doi.org/10.3390/buildings14123940
APA StyleAn, Z., Wang, W., Wang, H., Li, Z., Wang, D., & Xie, G. (2024). Seismic Performance Research on a Graded-Yielding Metal Brace with Self-Centering Functions. Buildings, 14(12), 3940. https://doi.org/10.3390/buildings14123940

