Abstract
This paper focuses on the effect of soil–structure interaction (SSI) on the seismic response of high-rise RC frame–shear wall structures under far-field long-period ground motions. Elastic–plastic time–history analyses were performed using ABAQUS. The effects of the ground motion type, soil type, and structural frequency on the seismic response are analyzed and quantitatively evaluated. On this basis, the influence mechanism of SSI on the seismic response under far-field long-period ground motions is discussed and revealed through a ground motion spectrum analysis. The results show that the consideration of the SSI effect leads to an increase in the displacement response and a decrease in the shear response. The SSI coefficient of the base shear is all less than 1, ranging from 0.5 to 1. The SSI effect under far-field long-period ground motions is more pronounced than that under ordinary ground motions. The shear force reduction in the current code may not be applicable to the structural design considering the SSI effect under far-field long-period ground motions. The displacement response amplification of the SSI effect on loess soil (Site 2) is more remarkable than that on sand soil (Site 1). The SSI effect can reduce the structural frequency, especially for the structures with fewer floors on the softer soil site. The “bimodal characteristic” of the acceleration response spectrum for far-field long-period ground motions may lead to shear force amplification when SSI is considered.
1. Introduction
Far-field long-period ground motions (FLPGMs) refer to the far-field ground motions with predominant periods of 1–10 s or longer. The generation mechanism can be concluded as large earthquakes, effective long-distance propagation, and specific sites such as sedimentary basins or alluvial plains [1]. Far-field long-period ground motions have been recorded and observed in a number of devastating earthquakes in recent decades, including the 1985 Michoacan earthquake [2], the 1999 Chi-Chi earthquake [3], the 2003 Tokachi-oki earthquake [4], the 2011 Tohoku earthquake [5], and others. The examples of FLPGM-related destruction showed that high-rise buildings with longer periods are susceptible to resonance with far-field long-period ground motions, causing severe damage [6,7,8,9,10,11]. Figure 1 shows some photographs of the damage to high-rise buildings under far-field long-period ground motions.
Figure 1.
High-rise buildings damage under far-field long-period ground motions: (a) high-rise building collapses in Mexico City earthquake, 1985; (b) Tokyo Tower before and after East Japan earthquake, 2011 [12]; and (c) high-rise building cracks in Wenchuan earthquake, 2008.
Soil–structure interaction (SSI) is a crucial concept in earthquake engineering that contemplates the interplay between structures and the soil supporting them. During an earthquake, the ground’s motion transfers to the structure through the foundation. The structure responds according to its dynamic characteristics and the nature of the ground movement. Subsequently, the motion of the structure affects the ground motion, resulting in a complex interplay that is known as soil–structure interaction. High-rise buildings on soft soils are significantly affected by SSI [13]. The SSI effect reduces the frequency of the high-rise building structure in the soft soil site, and the period becomes longer [14]. In addition, the site soil filters out the high-frequency components in the seismic wave, leading to an increase in the low-frequency components [15]. Coupling long-period ground motions with the SSI effect, high-rise building structures are more prone to resonance, and cause the amplification of the seismic response and more serious damage.
The SSI effect on structures has been extensively studied in recent years. Forcellini [14] conducted the seismic fragility analysis on a 20-story building built on a pile foundation, taking SSI effects into consideration. It is pointed out that SSI helps to reduce the vulnerability of the system and the mechanisms of site amplification that are driven by SSI effects (kinematic and inertial interaction). Bolisetti et al. [16] investigated the influence of SSI on low- to medium-rise buildings through numerical simulations. The results show that SSSI has a negligible effect on the global spectral accelerations of the buildings in these arrangements. Askouni et al. [17] investigated the effect of SSI on the seismic response of ordinary asymmetric low-rise RC 3D buildings, while considering the elastoplastic behavior of RC elements and examining not only the global but also the detailed characteristics of the structure, such as the redistribution of the internal seismic forces due to SSI. Fatollahpour et al. [18] investigated the effects of structure–soil–structure interaction (SSSI) on the seismic response of two 20-story steel moment-resisting frames equipped with tuned mass dampers (TMDs). The results reveal that the consideration of SSSI can significantly increase the response of both structures.
However, existing studies on the effect of SSI have rarely involved the structures under far-field long-period ground motions. Based on the previous discussion, it is clear that there is a need for studies regarding the SSI effect on the structural response under far-field long-period ground motions. This paper focuses on high-rise RC frame–shear wall buildings subjected to far-field long-period ground motions. Through the elastic–plastic time–history analyses in the ABAQUS finite element program [19], the SSI effects on the seismic response of RC frame–shear wall structures under far-field long-period ground motions and ordinary ground motions are compared and analyzed, by varying the soil types (including the rigid base, sand site, and loess site) and structure periods. And the mechanism of the SSI effect on the structural response to far-field long-period ground motions is explored based on the ground motion spectrum analysis.
2. Structural Modeling and Ground Motion Selection
2.1. Structural Modeling and Validation
According to the current Chinese code [20,21,22], three RC frame–shear wall structures with 10, 20, and 30 stories, designated as S10, S20, and S30, were designed. The structural plane layout diagram is shown in Figure 2.
Figure 2.
Structural plane layout diagram (unit: mm).
The first floor is 4.2 m high and the other floors are 3.3 m high. The total height of the three structures is 33.9 m, 66.9 m, and 99.6 m, respectively. The seismic precautionary intensity is 7 degrees, with a peak ground acceleration of 0.1 g. The structures are placed on the piled raft foundation, with a thickness of 800 mm, a width of 800 mm, and a pile length of 17 m. The piles were arranged in accordance with the frame columns on the structural plane layout. There are 20 piles in the plane with a width of 18 m and a length of 24 m. The structural load was 5 kN/m2 for the dead load and 3.5 kN/m2 for the live load. The design period reduction coefficient was set at 0.8, and the structural damping ratio was set at 0.05. The first and second floors were the shear wall strengthening areas.
The numerical simulation of the structural models was performed by ABAQUS software [19]. Figure 3 provides the analysis models with and without considering SSI.
Figure 3.
ABAQUS models: (a–c) S10, S20, and S30 without considering SSI; and (d–f) S10, S20, and S30 considering SSI.
The frame beams and columns were modeled by B31 beam elements [23,24], which is a Timoshenko beam that allows for transverse shear deformation. The floor slabs and shear walls were modeled by S4R shell elements in ABAQUS, which is a 4-node, quadrilateral, stress/displacement shell element with reduced integration and a large-strain formulation. The concrete material was simulated by the concrete damaged plasticity (CDP) model [20]. The steel reinforcement in the beam and shell elements was defined using the Rebar Layer command. The C3D8R solid element in ABAQUS, an 8-node linear brick reduced integration with hourglass control, was used to model the pile, raft, and soil. A tie constraint was applied to connect the structures above and below.
The Drucker–Prager (D-P) model [25] was used for the soil simulation. A viscoelastic artificial boundary was added at the soil boundary using spring damping. The soil region was set to be five times the size of the structure. For the contact interaction, the penalty method imposing frictional constraints was applied in the tangential direction, and hard contact was used for the normal behavior.
Sand soil and loess soil are the two different types of site soil considered in this study. Sand soil is characterized by its large particles and gritty texture. It is one of the most common soil types and is found in various regions around the world. Loess soil is a type of clay soil that is widespread in semi-arid and arid regions around the world. It is typically unsaturated and susceptible to collapse (i.e., a sudden decrease in soil volume) upon wetting [26]. Simply put, loess soil is softer than sand soil. Detailed parameters of soil sites are presented in Table 1. Referring to the existing studies [27,28], the soil size was set as 5 times the structure size to reduce the effect of infinite soil.
Table 1.
Soil site parameters.
The existing experimental results were used to validate the numerical simulation method. The frame modeling approaches were validated by the one-third-scale RC frame structure shaking-table test by Bracci et al. [29,30]. Table 2 shows the modal analysis results’ comparison of the simulation results and test results. It can be seen that the simulation error results are all less than 5%, within a satisfactory range for model validation [31]. Figure 4 shows the time–history results comparison of the top displacement and base shear. It can be observed in the figures that the peak values and their occurrence time are closely aligned.
Table 2.
Modal analysis results comparison of the frame specimen.
Figure 4.
Validation of the frame modeling approach: (a) top displacement comparison of the frame specimen; and (b) base shear force comparison of the frame specimen.
The shear wall modeling approaches were validated using the SW2-1 specimen from the low-cycle repeated shear wall loading tests by Zhang et al. [32]. Figure 5 shows the comparison of hysteresis curves. It can be observed that the simulation results show a good agreement with the test results in the shape of hysteresis curves and the maximum load-bearing capacity.
Figure 5.
Validation of the shear wall modeling approach.
The SSI modeling approaches were validated by the shaking-table test of the regular steel moment-resisting frame considering SSI performed by Li et al. [33]. The comparison of the bottom acceleration results is shown in Figure 6. The simulation results basically agree with the test results. The peak acceleration during the test was 1.18 m/s2, while the simulation result was 1.157 m/s2, with a small error of 1.93%.
Figure 6.
Validation of the modeling approach of structure considering SSI.
In conclusion, with an acceptable range of accuracy, the proposed finite element modeling approaches were reasonable for predicting the seismic behavior of RC frame–shear wall structures with and without considering the SSI effect.
2.2. Ground Motion Selection and Amplitude Modulation
The seismic event parameter Mw-R [34,35,36] is used to choose the earthquake event. Combined with the generation mechanism, far-field long-period ground motions can be characterized by the site condition, long epicentral distance, long-period content on the response spectrum, “harmonic-like” cycles (amplified surface waves) on the acceleration time–history record, and so on. Using Li’s categorization criteria (long-period: βl > 0.4) [37] as the quantitative condition, the far-field long-period ground motion record selection is based on visual inspection and subjective evaluation. Twenty commonly used ordinary ground motion (OGM) and twenty far-field long-period ground motion records from the 1999 Chi-Chi earthquake (Mw 7.6) were selected. Chi-Chi earthquake data are from the PEER NGA-West 2 database (http://ngawest2.berkeley.edu/). Detailed information on the selected far-field long-period ground motion records and ordinary ground motions is given in Table 3 and Table 4, respectively. The average acceleration response spectrum of two types of ground motions was compared with the code spectrum, as shown in Figure 7. It can be seen that far-field long-period ground motions have distinct low-frequency characteristics compared to ordinary ground motions.
Table 3.
Basic information of selected far-field long-period ground motion records.
Table 4.
Basic information of selected ordinary ground motion records.
Figure 7.
The acceleration spectrum comparison of the code spectrum, and the average spectrum of 20 records for both ordinary ground motion (OGM) and far-field long-period ground motion (FLPGM).
All ground motion records have been carefully checked for baseline correction and filtering. According to the designed seismic precautionary intensity of the structures, the peak accelerations of 20 far-field long-period and 20 ordinary ground motions were adjusted to 35 gal, 100 gal, and 220 gal, respectively. The structural seismic response under frequent, design-based, and rare earthquake levels was then compared and analyzed.
3. Seismic Response of RC Frame–Shear Wall Structures Considering SSI
This part conducts a comparative analysis of the seismic response of RC frame–shear wall structures (S10, S20, and S30) subjected to far-field long-period ground motions and ordinary ground motions, considering the SSI effect of sand soil (Site 1) and loess soil (Site 2). The influence of both ground motion types and soil types on the structural seismic response considering SSI is presented. The results shown below are all the average values of 20 ground motion records.
3.1. Floor Displacement
Figure 8 shows the floor displacement response considering SSI under two types of ground motions for the structures on sand soil (Site 1).
Figure 8.
Floor displacement response considering SSI under two types of ground motions for the structures on sand soil (Site 1): (a) S10; (b) S20; and (c) S30.
It can be observed from Figure 8 that, as the natural vibration period of the structure increases, the floor displacement also increases. For the S10 structure, the displacement follows an approximately straight line along the floors, whereas the S30 structure shows a slight bending, although the displacement still increases monotonically under earthquakes. This bending trend in the floor displacement is more pronounced for S30 under far-field long-period ground motion. The floor displacement under far-field long-period ground motions is significantly larger than that under ordinary ground motions at the same PGA level. The unfavorable impact of far-field long-period ground motions on structures with longer periods is more pronounced, both with and without the SSI effect.
Figure 9 shows the floor displacement under two types of ground motion for the structures on loess soil (Site 2).
Figure 9.
Comparison of structural floor displacement under two types of ground motions for the structures on loess soil (Site 2): (a) S10; (b) S20; and (c) S30.
It can be seen in Figure 9 that the floor displacement increases progressively as the PGA increases. For the S20 and S30 structures, the floor displacement at 220 gal is significantly greater than that at other PGA levels. For high-rise building structures, coupling the effect of far-field long-period ground motions and soil–structure interaction, resonance is prone to occur, resulting in the amplification of the displacement. This can be attributed to the low-frequency characteristics of far-field long-period ground motions and the structural period extension considering SSI. Comparing Figure 8 and Figure 9, it can be seen that the SSI effect is more pronounced on loess soil (Site 2) than on sand soil (Site 1). And the displacement amplification is aggravated, especially for the longer-period structures subjected to far-field long-period ground motions with a high PGA.
3.2. Inter-Story Drift Ratio
The comparison of the inter-story drift ratio of the structures on sand soil (Site 1) considering SSI under two types of ground motions is shown in Figure 10. According to the China Code [21,22], the maximum inter-story drift ratio for RC frame–wall structures should not exceed 1/800 and 1/100 when subjected to seismic action with a PGA of 35 gal and 220 gal, respectively, corresponding to the seismic precautionary objectives of “no-damage” and “no-collapse.” The limitation is indicated in Figure 10.
Figure 10.
Inter-story drift ratio response considering SSI under two types of ground motions for the structures on sand soil (Site 1): (a) S10; (b) S20; and (c) S30.
It can be seen from Figure 10 that the structural deformation under far-field long-period ground motions is more pronounced than that under ordinary ground motions, with a larger value of the inter-story drift ratio. For the S20 structure on Site 1 under far-field long-period ground motions with a PGA of 35 gal, the maximum inter-story drift ratio exceeds the 1/800 elastic limit, presenting a potential risk for seismic safety. The drift amplification of far-field long-period ground motions is aggravated as the PGA and structural period increases. The SSI makes the inter-story drift ratio curve irregular. As the PGA decreases, the deformation reduces. The inter-story drift ratio curves under ground motions with different PGA levels have a similar shape. The SSI effect amplifies the inter-story drift ratio, and the amplification becomes more significant as the PGA increases.
Figure 11 shows the comparison of the inter-story drift ratio of RC frame–shear wall structures on loess soil (Site 2) under two types of ground motions.
Figure 11.
Comparison of inter-story drift ratio under two types of ground motions for the structures on loess soil (Site 2): (a) S10; (b) S20; and (c) S30.
It can be inferred from Figure 11 that, as the PGA and the structural period increase, the maximum inter-story drift ratio also grows. The most significant increase in the inter-story drift ratio occurs at the bottom of the structure when the PGA is 220 gal, with the S30 structure showing a much greater rise compared to the S20 and S10 structures. On Site 2 conditions, the inter-story drift ratio under far-field long-period ground motions is noticeably larger than that under ordinary ground motions, while the maximum inter-story drift ratio of the structure has a smaller value. In the S20 and S30 structures, the inter-story drift ratio at a PGA of 100 gal is even greater than that at 220 gal in the lower parts of the structure. For the S30 structure on Site 2 under far-field long-period ground motions with a PGA of 35 gal, the maximum inter-story drift ratio exceeds the 1/800 elastic limit. Compared with Figure 10c, it can be inferred that the SSI effect on the seismic response to far-field long-period ground motions is more significant for the longer-period structures on the softer soil site.
3.3. Floor Shear
Figure 12 shows the floor shear forces considering SSI under two types of ground motions for the structures on sand soil (Site 1).
Figure 12.
Floor shear force response considering SSI under two types of ground motions for the structures on sand soil (Site 1): (a) S10; (b) S20; and (c) S30.
As shown in Figure 12, the SSI effect has a greater influence on the force response of high-rise buildings with longer periods. Considering the SSI effect, the floor shear force decreases remarkably. The shear force under far-field long-period ground motions is greater than that under ordinary ground motions, especially for long-period structures. When the PGA is 220 gal, the floor shear force of the S20 and S30 structures increases at individual floors, resulting in less smooth curves than those of the S10 structure.
The comparison of the floor shear force under two types of ground motions for the structures on Site 2 is plotted in Figure 13.
Figure 13.
Comparison of structural floor shear force under two types of ground motions for the structures on loess soil (Site 2): (a) S10; (b) S20; and (c) S30.
As shown in Figure 13, the shear force in the lower floors increases progressively with the increase in PGA and the structural period, which shows a “convex up and concave down” trend. The shear force is largest at the bottom floor and smallest at the top. For the S20 and S30 structures under far-field long-period ground motions, the shear force exhibits a remarkable increase when the PGA increases from 35 gal to 100 gal. The shear force at 100 gal is significantly greater than that under ordinary ground motions at 220 gal.
3.4. Base Shear
The base shear response of the structures on sand soil considering SSI under 20 OGMs and 20 FLPGMs is compared in Figure 14.
Figure 14.
Base shear distribution considering SSI under two types of ground motions for the structures on sand soil (Site 1): (a) S10; (b) S20; and (c) S30.
It can be observed from Figure 14 that the base shear force considering SSI under far-field long-period ground motions is significantly greater than that under ordinary ground motions. The base shear force increases with the increase both in the PGA and the structural period. At a PGA of 220 gal, the base shear force of the S30 structure is more than twice that of the S10 structure. The base shear distribution is more concentrated at the lower PGA level. The distribution differences between the base shear under two types of ground motions increase with PGA.
The base shear force distribution of RC frame–shear wall structures on Site 2 under the selected ground motions is presented in Figure 15.
Figure 15.
Base shear force distribution under two types of ground motions for the structures on loess soil (Site 2): (a) S10; (b) S20; and (c) S30.
For the S10 structure, the maximum value of the base shear under two types of ground motions shows little difference. For the S20 and S30 structures, far-field long-period ground motions exhibit an obvious increase in the base shear compared to ordinary ground motions. Under ordinary ground motions, the base shear on loess soil has a small value and concentrated distribution than that on sand soil (Figure 14).
3.5. The Influence of Structural Frequency–Feature on Seismic Response Considering SSI Effect
Three site conditions are considered in this study, including the rigid base, sand soil, and loess soil. The frequencies of the S10, S20, and S30 structures on the different site conditions are listed in Table 5. As indicated in Table 3, the first mode is in the x-direction, the second mode is in the y-direction, and the third mode is the torsion.
Table 5.
Structural frequency–feature under different site conditions.
As shown in Table 5, considering the SSI effect causes a significant decrease in the natural frequency of the structures. The structural frequency reduction on the loess soil (Site 2) is more obvious than that on the sand soil (Site 1). Comparing three structures with different floors, S10 presents the most significant frequency reduction. Take the first mode (x-direction) on Site 1 as an example: S10 presents a 62.2% reduction from 1.73605 Hz to 0.66637 Hz, while S20 and S30 present 31.7% and 32.1% reduction, respectively. Therefore, it can be concluded that the frequency reduction becomes more significant as the number of floors decreases.
In conclusion, the SSI effect can reduce the structural frequency, especially for the structures with lower number of floors on the softer soil site. The decrease in structural frequency results in the increase in structural period. This is unfavorable for the structures under far-field long-period ground motions.
4. Influence Mechanism of SSI on Structural Seismic Response
4.1. Quantitative Analysis of the SSI Effect on Structural Seismic Response
The SSI influence coefficient is proposed in this study to quantify the effect of SSI on the seismic response under far-field long-period ground motions. First, the amplification factor of the SSI effect on the seismic response is obtained; then, the response under two types of ground motions is compared. There are two sets of variable parameters in the coefficient, including whether or not to consider the SSI effect and the types of ground motions. The SSI effect on the seismic response is compared to that on the rigid base, for far-field long-period and ordinary ground motions, respectively. The two are then compared to obtain the influence coefficient. The calculation equations are given below:
where , , and are the SSI influence coefficient of the floor displacement, inter-story drift ratio, and floor shear, respectively; and u, , and V are the lateral displacement, inter-story drift ratio, and shear force of the structures, respectively.
When the SSI influence coefficient is greater than 1, it means the SSI effect on the seismic response under far-field long-period ground motions is more pronounced than that under ordinary ground motions. When the coefficient is less than 1, the opposite is true.
4.1.1. SSI Influence Coefficient of Floor Displacement
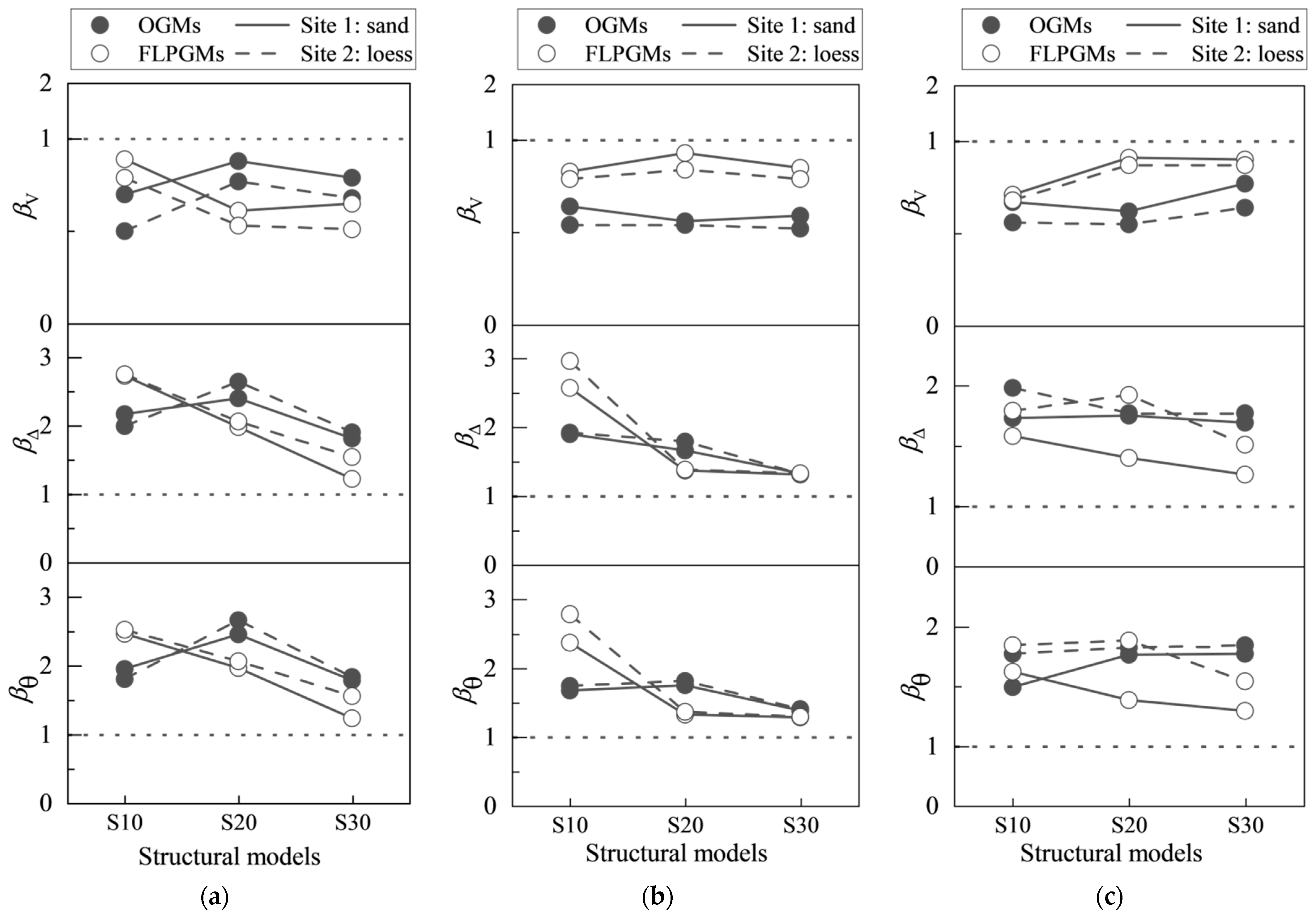
Figure 16 shows the SSI influence coefficient of the floor displacement () of the structures on two types of site soil.
Figure 16.
SSI influence coefficient of floor displacement under two types of site condition: (a) S10; (b) S20; and (c) S30.
It can be seen that, for the structures with different periods, the SSI influence coefficient presents various trends under different PGA levels. For the S10 structure, the SSI coefficient at 35 gal is less than 1, while that at 100 gal and 220 gal is both larger than 1. For the S20 structure on loess soil (Site 2), when the PGA is 220 gal, the SSI influence coefficient of the floor displacement is remarkably greater than 1. A similar phenomenon occurred at a PGA of 100 gal for the S30 structures. In this case, the SSI effect under far-field ground motions is more aggravated than that under ordinary ground motions. The SSI influence coefficient on Site 2 is noticeably larger than that on Site 1, highlighting the significant impact of the foundation soil type on the SSI effect.
4.1.2. SSI Influence Coefficient of Inter-Story Drift Ratio
The SSI influence coefficient of the inter-story drift ratio of the structures on two types of site conditions is displayed in Figure 17.
Figure 17.
SSI influence coefficient of inter-story drift ratio under two types of site condition: (a) S10; (b) S20; and (c) S30.
It can be observed from Figure 17 that the SSI effect on the inter-story drift ratio is generally consistent with that on floor displacement. The SSI effect on the deformation response of the structures with different periods exhibits distinct trends. The SSI influence coefficient on Site 2 is significantly higher than on Site 1, with the bottom floors of the structure being more affected. This suggests that far-field long-period ground motion has a more pronounced impact on the lower parts of the structure which plays a critical role under earthquakes.
4.1.3. SSI Influence Coefficient of Floor Shear
Figure 18 gives the SSI influence coefficient of the floor shear force () on two types of site conditions.
Figure 18.
SSI Influence coefficient of floor shear force under two types of site condition: (a) S10; (b) S20; and (c) S30.
For the S10 structures, the SSI influence coefficient of the floor shear is all greater than 1. This indicates that, for the structures with shorter periods, the SSI effect on the floor shear under far-field long-period ground motions is more significant than that under ordinary ground motions. The SSI influence coefficient of the upper structures is greater than that of the middle and bottom parts. For the S20 and S30 structures, the SSI influence coefficient of the floor shear force () is greater than 1 when the PGA is 100 gal and 220 gal. That is to say, for the structures with longer periods, the SSI effect on the floor shear is aggravated when subjected to the far-field long-period ground motions with higher PGA levels.
4.2. SSI Effect on the Maximum Response Under Far-Field Long-Period Ground Motions
The SSI effect on the maximum seismic response is evaluated by comparing it to the seismic response on the rigid base. It concludes the SSI effect on the base shear, top displacement, and the maximum inter-story drift ratio. The corresponding influence coefficients are defined as , , and , shown as below, respectively:
where , , and are the SSI influence coefficient of the maximum value of structural shear force, top displacement, and inter-story drift ratio, respectively.
It can be observed in Equations (4)–(6) that the SSI coefficient is greater than 1, indicating that the consideration of the SSI effect will result in an increase in seismic response. An SSI coefficient less than 1 indicates that the SSI effect will reduce the seismic response. The SSI influence coefficients of the maximum seismic response on two site conditions under far-field long-period and ordinary ground motions with different PGA levels are plotted in Figure 19.
Figure 19.
SSI influence coefficient of the maximum structural response under two types of ground motions: (a) PGA = 35 gal; (b) PGA = 100 gal; and (c) PGA = 220 gal.
It is evident in Figure 19 that the SSI coefficients of the base shear are all less than 1, while those of the top displacement and the maximum inter-story drift ratio are all greater than 1 (less than 3). This means that the consideration of SSI causes the decrease in the base shear and the increase in the displacement response. Comparing the results on two site conditions, the SSI influence coefficient of the base shear on the loess site is all less than that on sand soil, while, for the displacement response, the SSI influence coefficient on the loess site is all greater than that on sand soil. The SSI coefficient of the base shear is all less than 1, ranging from 0.5 to 1. Therefore, it can be concluded that loess soil has a more remarkable effect on the seismic response than sand soil for both types of ground motions.
4.3. Influence Mechanism of Far-Field Long-Period Ground Motions on Structural Response
A previous study [38] has pointed out that far-field long-period ground motions have a relatively smaller value of PGA but a higher value of PGV, PGD, PGV/PGA, and PGD/PGA than ordinary ground motions, and exhibit long-duration and low-frequency characteristics in their time history. When the structural period exceeds 1 s, the velocity and displacement spectral values of far-field long-period ground motions are higher than those of ordinary ground motions. The acceleration response spectrum of far-field long-period ground motions presents “bimodal characteristics” with a second peak appearing when the period is between 4 s and 7 s [39], as shown in Figure 20.
Figure 20.
The standard acceleration response spectra of far-field long-period ground motion [38].
As mentioned above, the SSI effect reduces the structural frequency. The site soil filters out the high-frequency components in the seismic wave, leading to an increase in the low-frequency components. The structures considering the SSI effect are prone to resonance with far-field long-period ground motions at the second peak. Coupling long-period ground motions with the SSI effect, high-rise building structures are more prone to aggravated seismic damage.
The simplified model of the acceleration response spectrum for far-field long-period ground motions and ordinary ground motions is shown in Figure 21.
Figure 21.
Simplified model of acceleration response spectrum for two types of ground motions: (a) far-field long-period ground motions; and (b) ordinary ground motions.
According to the different trends over the period, the acceleration response spectrum can be divided into five parts. When the period is less than 0.1 s, the curves for both types of ground motions are in the rising stage. When the period is in the range of 0.1 s to the structural period Tg, both curves remain at their peak values. In the period range of Tg to T1, the acceleration response spectra of both ground motions are in the descending stage. Between the periods of T1 and T2, the acceleration response of ordinary ground motions continues to decrease, while that of far-field long-period ground motions starts to increase to the second peak. As for the period ranges from T2 to 6 s, both types of ground motions exhibit a declining trend.
When the SSI effect extends the structural period, according to the acceleration response spectrum of far-field long-period and ordinary ground motions, the following may occur:
Case 1: The structural period is located in region I, where the acceleration response spectra for two types of ground motions are both rising, and values are greater than 1, as shown in Figure 22.
Figure 22.
Schematic diagram of Case 1.
Case 2: The structural period is located in region II, where the spectral curves for two types of ground motions show a distinct trend, resulting in the long-period ground motion having values greater than 1, while the ordinary ground motions have values less than 1, as shown in Figure 23.
Figure 23.
Schematic diagram of Case 2.
Case 3: The structural period is located in region III, where both spectra show a downward trend, and values are less than 1, as shown in Figure 24.
Figure 24.
Schematic diagram of Case 3.
Case 4: With the structural period located in region III and the period considering SSI located in region IV, the spectrum curve for ordinary ground motions continues to decline; that for far-field long-period ground motions rises, but the spectrum value is still less than that in region III; values are both less than 1, as shown in Figure 25.
Figure 25.
Schematic diagram of Case 4.
Case 5: The structural period is located in region IV, where the curve for long-period ground motions rises with values greater than 1, while that for ordinary ground motions falls with values less than 1, as shown in Figure 26.
Figure 26.
Schematic diagram of Case 5.
Case 6: The structural period is located in region V, where both spectral curves descend, and values are less than 1, as shown in Figure 27.
Figure 27.
Schematic diagram of Case 6.
For the S10, S20, and S30 structures in this study, the structural periods with and without considering the SSI effect are all located in the descending region of the acceleration response spectra for both far-field long-period and ordinary ground motions, resulting SSI influence coefficients of the base shear () are less than 1.
5. Conclusions
In this paper, ABAQUS was employed to conduct numerical simulations aimed at studying the influence of SSI on the seismic response of RC frame–shear wall structures under far-field long-period ground motions. Three sets of various parameters are discussed, including ground motion types (far-field long-period and ordinary ground motions); site conditions (rigid base, sand soil, and loess soil); and structural period (the S10, S20, and S30 structures). Then, the mechanism of the SSI effect on the structural response to far-field long-period ground motions is explored based on the ground motion spectrum analysis. The main conclusions are as follows:
- (1)
- The SSI effect increases the floor displacement and the maximum inter-story drift ratio. The displacement amplification is aggravated for the longer-period structures subjected to far-field long-period ground motions with a high PGA. The unfavorable impact of far-field long-period ground motions on structures with longer periods is more pronounced, both with and without the SSI effect. This can be attributed to the resonance motivated by the coupling of far-field long-period ground motions with the SSI effect.
- (2)
- Considering the SSI effect, the floor shear force decreases. The SSI effect has a greater influence on the force response of high-rise buildings with longer periods. In the current code, the SSI effect is considered by reducing the designed shear force on the assumed rigid base. As a result, the structures are designed with reduced resistance. However, the SSI effect amplifies the displacement response, especially for the longer-period structures on softer soil under the strong far-field long-period ground motions. This is unfavorable for the seismic safety and resilience. That is to say, shear force reduction may not be applicable to the structural design considering the SSI effect under far-field long-period ground motions.
- (3)
- Loess soil (Site 2) has a more remarkable effect on the seismic response than sand soil (Site 1) for both far-field long-period and ordinary ground motions. Due to the low-frequency characteristics of far-field long-period ground motions and the structural period extension considering SSI, the resonance at the softer soil site is more pronounced.
- (4)
- The SSI effect can reduce the structural frequency, especially for the structures with a lower number of floors on the softer soil site. The decrease in the structural frequency means an increase in the structural period. This is unfavorable for the structures under far-field long-period ground motions.
- (5)
- The SSI influence coefficients of the base shear on two site conditions under far-field long-period and ordinary ground motions with different PGA levels are all less than 1 (ranging from 0.5 to 1), while those of the top displacement and the maximum inter-story drift ratio are all greater than 1 (less than 3). The SSI has a beneficial effect on the base shear, but an unfavorable effect on the top displacement and the maximum inter-story drift ratio. The “bimodal characteristics” of the acceleration response spectrum for far-field long-period ground motions make it possible for the structure to have an SSI influence coefficient of the base shear greater than 1.
Future investigations are necessary to validate the conclusions that can be generalized to all situations. More structure types, structural plane layout, soil types, ground motion types (i.e., near-fault long-period ground motions), etc. need to be considered in the further analysis.
Author Contributions
Conceptualization, B.W.; formal analysis, Z.Z. and Q.H.; funding acquisition, B.W.; investigation, R.Z.; project administration, B.W.; software, R.Z.; visualization, K.Y., P.C. and B.H.; writing—original draft, K.Y. and P.C.; writing—review and editing, K.Y. All authors have read and agreed to the published version of the manuscript.
Funding
This research was supported by the National Natural Science Foundation of China (NSFC), grant numbers 51978076 and 52478493; and the Fundamental Research Funds for Central Universities, grant number 300102283202.
Data Availability Statement
The raw data supporting the conclusions of this article will be made available by the authors on request.
Conflicts of Interest
Author Bin Hao was employed by the company Shaanxi Architecture Seismic Reduction and Isolation Science Research Institute Co., Ltd. The remaining authors declare that the research was conducted in the absence of any commercial or financial relationships that could be construed as a potential conflict of interest.
References
- Koketsu, K.; Miyake, H. A seismological overview of long-period ground motion. J. Seismol. 2008, 12, 133–143. [Google Scholar] [CrossRef]
- Beck, J.L.; Hall, J.F. Factors contributing to the catastrophe in Mexico City during the earthquake of September 19, 1985. Geophys. Res. Lett. 1986, 13, 593–596. [Google Scholar] [CrossRef]
- Fletcher, J.B.; Wen, K.L. Strong ground motion in the Taipei basin from the 1999 Chi-Chi, Taiwan, earthquake. Bull. Seismol. Soc. Am. 2005, 95, 1428–1446. [Google Scholar] [CrossRef]
- Koketsu, K.; Hatayama, K.; Furumura, T.; Ikegami, Y.; Akiyama, S. Damaging long-period ground motions from the 2003 Mw 8.3 Tokachi-oki, Japan Earthquake. Seismol. Res. Lett. 2005, 76, 67–73. [Google Scholar] [CrossRef]
- Takewaki, I.; Murakami, S.; Fujita, K.; Yoshitomi, S.; Yoshitomi, M. The 2011 off the Pacific coast of Tohoku earthquake and response of high-rise buildings under long-period ground motions. Soil Dyn. Earthq. Eng. 2011, 31, 1511–1528. [Google Scholar] [CrossRef]
- Furumura, T.; Hayakawa, T. Anomalous propagation of long-period ground motions recorded in Tokyo during the 23 October 2004 Mw 6.6 Niigata-ken Chuetsu, Japan, Earthquake. Bull. Seismol. Soc. Am. 2007, 97, 863–880. [Google Scholar] [CrossRef]
- Liang, X.W.; Dong, Z.P.; Wang, Y.S.; Deng, M.K. Damage to tall buildings in areas with large epicentral distance during M8.0 Wenchuan Earthquake. J. Earthq. Eng. Eng. Vib. 2009, 29, 24–31. (In Chinese) [Google Scholar] [CrossRef]
- Yoshimoto, K.; Takemura, S. A study on the predominant period of long-period ground motions in the Kanto Basin, Japan. Earth Planets Space 2014, 66, 100. [Google Scholar] [CrossRef]
- Zhang, Z.H.; Liu, Q.S. Seismic responses of super high-rise buildings under long-period ground motions. Eng. Struct. 2023, 294, 116824. [Google Scholar] [CrossRef]
- Chen, H.C.; Tsai, V.C.; Niu, F.L. Observations and Modeling of Long-Period Ground-Motion Amplification Across Northeast China. Geophys. Res. Lett. 2018, 45, 5968–5976. [Google Scholar] [CrossRef]
- Furumura, T.; Kennett, B.L.N. Unusual Strong Ground Motion Across Japan From the 680 km Deep 30 May 2015 Ogasawara Islands Earthquake. J. Geophys. Res. Solid Earth 2017, 122, 8143–8162. [Google Scholar] [CrossRef]
- Zhou, F.; Cui, H.; Shigetaka, A.B.E.; Lü, X.; Sun, Y.; Li, Z.; Li, A.; Feng, D.; Li, Y.; Xue, S.; et al. Inspection report of the disaster of the East Japan earthquake by Sino-Japanese joint mission. Build. Struct. 2012, 42, 1–20. (In Chinese) [Google Scholar] [CrossRef]
- Abouelsaad, M.N.; Shaaban, M.; El Bagalaty, S.; El Madawy, M.E. Comparison between seismic analysis of twisting and regular 52-story towers considering soil-structure interaction. Earthq. Eng. Eng. Vib. 2024, 23, 663–675. [Google Scholar] [CrossRef]
- Forcellini, D. Seismic fragility of tall buildings considering soil structure interaction (SSI) effects. Structures 2022, 45, 999–1011. [Google Scholar] [CrossRef]
- Forcellini, D. Analytical fragility curves of shallow-founded structures subjected to Soil-Structure Interaction (SSI) effects. Soil Dyn. Earthq. Eng. 2020, 141, 106487. [Google Scholar] [CrossRef]
- Bolisetti, C.; Whittaker, A.S. Numerical investigations of structure-soil-structure interaction in buildings. Eng. Struct. 2020, 215, 110709. [Google Scholar] [CrossRef]
- Askouni, P.K.; Karabalis, D.L. SSI influence on the seismic response of asymmetrical small, low-rise R/C buildings. Structures 2021, 32, 1355–1373. [Google Scholar] [CrossRef]
- Fatollahpour, A.; Tafakori, E.; Arjmandi, S.A.A. The effects of structure-soil-structure interaction on seismic response of high-rise buildings equipped with optimized tuned mass damper. Structures 2023, 50, 998–1010. [Google Scholar] [CrossRef]
- Dassault Systèmes. ABAQUS Analysis User’s Manual; Dassault Systèmes: New York, NY, USA, 2016. [Google Scholar]
- Ministry of Housing and Urban-Rural Development of China. Code for Design of Concrete Structures (GB50010-2010) (2015 Edition), 1st ed.; China Construction Industry Press: Beijing, China, 2016. (In Chinese) [Google Scholar]
- Ministry of Housing and Urban-Rural Development of China. Revised provisions (2024 edition) of the Code for Seismic Design of Buildings (GB 50011-2010) (2016 edition). Stand. Eng. Constr. 2024, 9, 72–79. (In Chinese) [Google Scholar] [CrossRef]
- Ministry of Housing and Urban-Rural Development of China. Technical Specification for Concrete Structures of Tall Building (JGJ 3-2010), 1st ed.; Construction Industry Publishing House: Beijing, China, 2010. (In Chinese) [Google Scholar]
- Archer, J.S. Consistent Matrix Formulations for Structural Analysis using Finite-Element Techniques. Am. Inst. Aeronaut. Astronaut. J. 1965, 3, 1910–1918. [Google Scholar] [CrossRef]
- Cowper, R.G. The Shear Coefficient in Timoshenko’s Beam Theory. J. Appl. Mech. 1966, 33, 335–340. [Google Scholar] [CrossRef]
- Drucker, D.C.; Prager, W. Soil mechanics and plastic analysis of limit design. Q. Appl. Math. 1952, 10, 157–165. [Google Scholar] [CrossRef]
- Li, P.; Xie, W.L.; Pak, R.Y.S.; Vanapalli, S.K. Microstructural evolution of loess soils from the Loess Plateau of China. Catena 2018, 173, 276–288. [Google Scholar] [CrossRef]
- Luo, Z. Seismic Response Analysis of High-rise Framework Considering Soil-Structure Interaction. Master’s Thesis, Huazhong University of Science and Technology, Wuhan, China, January 2012. (In Chinese). [Google Scholar]
- Li, Z.Q. Earthquake response analysis of Historical Timber Buildings Considering Soil-Structure Interaction. Master’s Thesis, Xi’an University of Architecture and Technology, Xi’an, China, 2008. (In Chinese). [Google Scholar]
- Bracci, J.M.; Reinhorn, A.M.; Mander, J.B. Seismic Resistance of Reinforced Concrete Frame Structures Designed Only for Gravity Loads: Part I—Design and Properties of One-Third Scale Model Structure; Technical Report NCEER (92-0027); State University of New York at Buffalo, U.S.: Buffalo, NY, USA, 1992. [Google Scholar]
- Bracci, J.M.; Reinhorn, A.M.; Mander, J.B. Seismic Resistance of Reinforced Concrete Frame Structures Designed Only for Gravity Loads: Part III—Experimental Performance and Analytical Study of a Structural Model; Technical Report NCEER (92-0029); State University of New York at Buffalo, U.S.: Buffalo, NY, USA, 1992. [Google Scholar]
- Sargent, R.G. Verification and validation of simulation models. J. Simul. 2013, 7, 12–24. [Google Scholar] [CrossRef]
- Zhang, S.; Lu, X.L.; Zhang, H.M. Experimental and analytical studies on the ultimate displacement of RC shear walls. China Civ. Eng. J. 2009, 42, 10–16. (In Chinese) [Google Scholar]
- Li, Y.S.; Bai, C.T.; Tang, Z.Y. Effects of soil-structure interaction on seismic collapse resistance of mass-irregular steel frames. China Civ. Eng. J. 2020, 53, 22–27. (In Chinese) [Google Scholar] [CrossRef]
- Ghotbi, A.R.; Taciroglu, E. Effects of conditioning criteria for ground motion selection on the probabilistic seismic responses of reinforced concrete buildings. Earthq. Eng. Struct. Dyn. 2020, 50, 1414–1428. [Google Scholar] [CrossRef]
- Sinkovic, N.L.; Dolsek, M.; Zizmond, J. Impact of the type of the target response spectrum for ground motion selection and of the number of ground motions on the pushover-based seismic performance assessment of buildings. Eng. Struct. 2018, 175, 731–742. [Google Scholar] [CrossRef]
- Dhakal, R.P.; Mander, J.B.; Mashiko, N. Identification of critical ground motions for seismic performance assessment of structures. Earthq. Eng. Struct. Dyn. 2006, 35, 989–1008. [Google Scholar] [CrossRef]
- Li, X.; Wang, W.; Wu, D.; Xu, X.; Li, Z.; Li, Y. The bounded method and characteristics analysis for long-period ground motions. J. Vib. Eng. 2014, 27, 685–692. (In Chinese) [Google Scholar] [CrossRef]
- Wang, B.; Liu, B.Q.; Wu, T.; Bai, G.L. Analysis of low-frequency pulse characteristics and response spectrum for long-period ground motions. J. Earthq. Eng. Eng. Vib. 2018, 38, 142–151. (In Chinese) [Google Scholar]
- Cao, G.R.; Wang, B.; Yang, K.; Li, Z.; Liu, B.Q. Analysis of the Bimodal Characteristics of Acceleration Response Spectra of Far-field Harmonic-like Ground Motions. J. Disaster Prev. Mitig. Eng. 2022, 42, 480–489+498. (In Chinese) [Google Scholar]
Disclaimer/Publisher’s Note: The statements, opinions and data contained in all publications are solely those of the individual author(s) and contributor(s) and not of MDPI and/or the editor(s). MDPI and/or the editor(s) disclaim responsibility for any injury to people or property resulting from any ideas, methods, instructions or products referred to in the content. |
© 2024 by the authors. Licensee MDPI, Basel, Switzerland. This article is an open access article distributed under the terms and conditions of the Creative Commons Attribution (CC BY) license (https://creativecommons.org/licenses/by/4.0/).


























