Abstract
This study investigates the effects of incorporating polycarboxylate superplasticizer (PCE) and graphene oxide (GO) into cement mortar. The mechanical properties and durability of PCE-GO-modified cement mortar were compared under standard curing conditions and steam curing conditions. The results indicate that the optimal performance was achieved with a GO content of 0.04 wt% in a dosage of 0 to 0.06 wt%. Comparing the mortar’s performance under standard and steam curing conditions after 28 days revealed that the mechanical properties of the specimens cured under steam conditions were significantly lower than those cured under standard conditions. However, when 0.12 wt% PCE and 0.04 wt% GO were added, the filler effect of GO led to a 31.8% increase in flexural strength and a 28.4% increase in compressive strength for the specimens cured under steam conditions on the 28th day, effectively compensating for the strength loss caused by steam curing. The chloride ion penetration test and sulfate erosion test confirmed the optimal performance of the cement mortar specimens at 0.04 wt% GO, with corrosion resistance coefficients for flexural and compressive strength increasing by 68% and 70%, respectively, after 90 days of steam curing. Furthermore, SEM observations were conducted on the cement mortar specimens, revealing that GO not only fills the internal voids of the matrix but also organizes the hydration products of cement, resulting in a more compact matrix structure. This study enables PCE-GO-modified cement mortar to meet the requirements of early strength development without compromising the later-stage performance of the cement mortar due to steam curing-induced damage.
1. Introduction
Steam curing technology is known for its ability to rapidly enhance the early strength of concrete components while significantly reducing the overall curing time. This is achieved by subjecting the concrete to higher curing temperatures, which expedite the hydration reaction of the cement mortar and result in higher levels of hydration by the end of the steam curing process [1,2]. However, it is essential to note that the accelerated hydration associated with steam curing can potentially have adverse effects on the long-term strength and durability of cementitious materials. In particular, extended curing times during steam curing may lead to reduced late-stage strength when compared to conventional curing methods [3]. Furthermore, considerable research has suggested that steam curing can introduce certain defects in concrete. These include long-term deterioration of material properties, the occurrence of surface defects, heightened hydration processes, and increased levels of porosity [1,4]. It is imperative to carefully consider these potential drawbacks and strike a balance between the benefits of early strength enhancement and the long-term durability of concrete when employing steam curing techniques.
In order to investigate the causes of defects in steam curing, numerous studies have been conducted by scholars in this field. Yu et al. [5] addressed the challenge of testing the early tensile properties of cementitious materials during steam curing by analyzing the cooling process. Furthermore, it has been observed that surface defects in steam-cured concrete adversely affect its durability, with the strength of the concrete being closely dependent on the temperature and duration of steam curing. Therefore, the selection of an appropriate pre-curing time can enhance the early strength of the initial concrete structure [6]. During the pre-curing process, the hydration reaction leads to the further consumption of free water, thereby increasing the concrete’s strength in resisting expansion deformation during heating. Zuo et al. [7] argued that the pore structure of cement slurry under high-temperature steam curing conditions exhibits smaller fractal characteristics, which can result in reduced strength and durability during later stages. Gao et al. [3] compared conventional curing, steam curing, and microwave curing methods and found that steam curing achieved the fastest increase in compressive strength during the early stages of cement curing. Luo et al. [8] discovered that the addition of 0.00~0.03% graphene oxide (GO) in steam-cured ultra-high-performance concrete (UHPC) can improve the interface microstructure and strengthen the bond between the additive and the cementitious material. Deng et al. [9] found that cement mortar cured in a steam environment forms more ettringite under sulfate erosion, which leads to increased expansion pressure, structural cracking and degradation, increased porosity, and decreased compressive strength.
In addition, the incorporation of additives has proven to be an effective strategy for enhancing the strength of cementitious materials during steam curing. Tran et al. [10] determined that a treatment phase of 4 h at 70 °C effectively mitigated the initial thermal expansion in concrete containing 35% fly ash during the heating phase. Silica fume was found to accelerate the end of the induction period, while the inclusion of fly ash microspheres prolonged this period [11]. Xu et al. [12] observed that ultra-high-performance concrete (UHPC) and silica fume exhibited 10.6% and 15.7% increases in ultimate strength, respectively, after 3 days of steam curing at 90 °C. Steam curing also led to a remarkable reduction in the porosity of UHPC by 34.4%. Naas et al. [13] reported that steam curing at 42 °C, in combination with the addition of 20% powdered dune sand (PDS), not only enhanced mechanical strength but also reduced production costs and significantly mitigated environmental impact. Bi et al. [14] found that the incorporation of phase change materials (PCMs) effectively improved the durability of steam-cured concrete. Zeyad et al. [15] uncovered the substantial influence of steam curing on the early structure of high-strength green concrete (HSGC), and the inclusion of ultra-fine palm oil fuel ash (U-POFA) positively impacted the long-term performance of HSGC at 360 days. Moreover, Rathod et al. [16] demonstrated that microcrystalline cellulose (MCC) and an alkaline environment notably delayed the dissolution of fly ash, with the addition of 1% MCC significantly reducing the compressive strength of the sodium hydroxide slag-fly ash composite mixture.
Numerous studies have been conducted to explore the incorporation of nanomaterials in cementitious materials, building upon previous findings. The use of nanomaterials has shown significant potential in improving the mechanical properties and durability of cement matrices by effectively reducing microporosity [17]. Yoo et al. [18] summarized various types of nanomaterials applicable to ultra-high-performance materials and investigated their impact on mechanical properties and hydration. Edwards et al. [19] observed a notable increase in compressive strength when adding 0.005% and 0.01% graphene oxide (GO) to cement mortar at a strain rate of 290 s−1, establishing a correlation between the dynamic increase coefficient and applied strain rate. The reinforcement of concrete mixtures by nanomaterials is primarily attributed to their large specific surface area, which effectively reduces free water content and improves the initial pore structure. Nanoparticles exhibit enhanced reactivity and can promote cement hydration, alter product phases, and fill more pores [20,21,22]. Fu et al. [23] demonstrated that the oxygen-containing functional groups on the surface of GO adsorb released Ca2+ from cement particles, thereby shortening the hydration induction period and optimizing the pore structure of cementitious materials. Yao et al. [22] explored the use of C-A-S-H nano-seeds and steam curing in cementitious materials, resulting in a notable increase of 78% and 63% in early strength, indicating that nano-seed materials can enhance the mechanical properties of cementitious materials more effectively compared to steam curing alone. Some researchers have also found that the addition of water reducers can encapsulate nanomaterials and alleviate their interference in the hydration process [24,25].
The incorporation of nanomaterials further enhances the durability of cementitious materials. Chousidis et al. [26] observed a slight improvement in the strength and durability of cement mortar at high temperatures by incorporating 0.2 wt% multi-walled carbon nanotubes (MWCNTs). Similarly, graphene oxide (GO) has emerged as a prominent nanomaterial with beneficial characteristics. Its surface, featuring oxygen functional groups, displays excellent dispersibility and surface activity. GO acts as a catalyst during the hydration process of cement, regulating the morphology of hydration products and subsequently influencing the formation of the microstructure in cementitious materials [23,27]. Chintalapudi et al. [28] conducted a study where they incorporated 0.04% graphene oxide (GO) in Ordinary Portland Cement (OPC) and Portland Pozzolana Cement (PPC) with fly ash. The results showed enhanced acid corrosion resistance and an increase in flexural strength by 24.5% and 1.7%, respectively, after acid attack. Furthermore, in a chloride environment, the chloride diffusion coefficient of concrete with 0.03% GO was 18.75% lower compared to ordinary concrete [29]. For instance, when Engineered Cementitious Composites (ECCs) combined with 1% PVA fiber and 0.08% GO as a nanoscale particle were subjected to chemical attack, the weight loss and weight gain decreased by 66.70% and 77.80%, respectively, compared to the reference mix after 28 days [30]. Furthermore, in the case of steam curing, Hu et al. [31] conducted the Rapid Chloride Migration (RCM) tests on prestressed concrete cylinder pipes (PCCPs) and observed that the non-steady-state chloride ion diffusion coefficient of PCCP decreased by 33% at 28 days compared to 3 days, and by 15% at 90 days compared to 28 days. However, there is a scarcity of research focused on the integration of graphene oxide (GO) into cementitious materials during steam curing. In a study by Wu et al. [32], graphene oxide was added to UHPC and subjected to both standard curing and steam curing. The researchers discovered that when the graphene oxide nanosheets were incorporated at a content of 0.04%, the UHPC exhibited an increase in compressive strength by 8.8% and flexural strength by 16.1% after 28 days of steam curing compared to the control group.
Previous studies have shown that although steam curing technology can accelerate the early strength development of cement-based materials, it has limited impact on long-term performance enhancement and may even lead to damage. However, there are also research findings suggesting the feasibility of using steam curing to solidify GO-modified cement mortar, despite the limited studies focused on steam curing of GO-modified cement mortar. The innovation of this paper is to add 0~0.06 wt% GO to cement mortar and analyze the influence of GO content on cement mortar through macro-level performances and microstructures. Furthermore, this study investigates the combined effects of steam curing technology and GO incorporation on the properties of cement mortar by comparing the results of GO-modified cement mortar under both steam curing and standard curing conditions.
2. Materials and Methods
2.1. Materials
2.1.1. Cement
P.O42.5 cement of Yangchun Shanshui brand was used in the test. The relevant parameters and indicators are shown in Table 1.
Table 1.
Chemical composition of cement.
2.1.2. Sand
The sand used in the experiments was washed mechanism sand provided by Xianglei Mining from Nanchuan, Chongqing, as shown in Figure 1. Prior to the experiments, the mechanism sand was dried to prevent any excess moisture from affecting the results. The specific parameters of the mechanism sand are shown in Table 2, and the particle size distribution can be found in Figure 2.
Figure 1.
Machine-made sand.
Table 2.
Technical parameters of machine-made sand.
Figure 2.
Machine-made sand particle size distribution.
2.1.3. GO
The GO solution used in the test was provided by Graphenea, Spain, and the relevant technical parameters are shown in Figure 3 and Table 3.
Figure 3.
GO solution and its related physical properties: (a) SEM image; (b) XPS image; (c) GO solution.
Table 3.
GO technical parameters.
2.1.4. Water Reducing Agent
The polycarboxylate superplasticizer (PCE) used in the test was provided by Sika Company, and the model was Sika 540P. The relevant technical parameters are shown in Table 4.
Table 4.
Technical parameters of PCE.
2.1.5. Mixing Water
The mixing water used in the test was deionized water purified by a pure water machine.
2.2. Test Procedure
The mix proportions of the cement mortar are shown in Table 5. According to the mix design, cement mortar specimens modified with graphene oxide (GO) of different were prepared in the laboratory. These specimens were then placed in a standard curing room and cured to the corresponding ages, where the corresponding mechanical performance tests were conducted.
Table 5.
Mix proportion of cement mortar test.
2.2.1. Specimen Preparation and Curing
- Preparation of cement mortar specimens
The weighed cement and sand were poured into a mixing bowl according to the predetermined proportions. Initially, they were dry mixed at a low speed for 2 min. Subsequently, the PCE-GO dispersion solution, which had been ultrasonically dispersed for 10 min, was added into the mixture along with water. The mixing process continued at a low speed for an additional 2 min. After a 30 s pause, a scraper was used to collect any remaining material from the blades and bowl walls and scrape it into the middle of the bowl. The mixture was then quickly mixed for another 2 min before being discharged. The mixture was then divided into two batches and filled into the triplet test mode (40 mm × 40 mm × 160 mm) placed on a vibrating table. Each batch was vibrated for 60 s. After compaction, any excess mortar on the surface was scraped off with a scraper. The molds were covered with plastic wrap and labeled before being placed in a standard curing box or steam curing box for curing. After one day, the specimens were demolded, and then they were transferred to a standard curing room for further curing until the desired age was reached.
- Specimen curing
The curing methods employed in this study involved two distinct processes: standard curing and steam curing. The specific conditions for each curing system were as follows:
- Standard curing: The temperature was maintained at 20 ± 2 °C, and the humidity level was set at 98%.
- Steam curing: The steam curing procedure encompassed four stages, namely the static stop stage, heating stage, constant temperature stage, and cooling stage. It has been observed that rapid temperature rise could have an adverse impact on the compressive and splitting strength of concrete [5]. Therefore, it is recommended to maintain a constant temperature for a duration of 2 to 4 h, within a temperature range of 60 °C to 70 °C [29,30]. Subsequently, the specimens underwent standard curing for an additional 24 h in a curing box, following which they were transferred to a standard curing room until the desired age was reached.
2.2.2. Test Method for Mechanical Properties
The flexural and compressive strength tests were conducted on cement paste and cement mortar samples following the specific experimental steps outlined below:
- The specimens to be tested were removed from the standard curing room, and the surface was carefully dried using a towel.
- The specimens were positioned on the support frame of the flexural testing machine, ensuring that the forming surface was facing upwards. The loading rate was set at 50 ± 10 N/s.
- Upon completion of the flexural test, the fractured specimens were utilized for the compressive test.
2.2.3. Test Method for Natural Drying Shrinkage
Firstly, after preparing the specimens, they were covered with a film and placed in a standard curing chamber. The specimens were cured for 7 days at a temperature of 20 ± 2 °C and with an air humidity of at least 90%. Once the curing period is completed, the specimens were taken out of the molds, numbered, and labeled with the testing direction. Next, the specimens were placed in a concrete shrinkage testing environmental chamber and conditioned for 4 h at a temperature of 20 ± 1 °C and a relative humidity of 60 ± 5%. Using a length comparator, the initial length of the specimens was measured according to the indicated testing direction. Subsequently, the length values of the specimens after 7, 14, 21, 28, 56, and 90 days of placement in the testing chamber were measured.
2.2.4. Test Method for Water Impermeability
After curing the specimens for 28 days, they were removed from the curing chamber. Once the surface moisture of the specimens had dried, they were sealed with paraffin wax. Simultaneously, the metal mold was heated. The sealed specimens were then placed into the metal mold and securely fixed to the cement mortar impermeability apparatus using tools. A water pressure of 2 MPa was set, and the impermeability apparatus was activated. The surface water seepage of the mortar specimens was observed. When water seepage was first noticed on the surface of the third specimen, the test was stopped, and the water pressure at that moment was recorded.
2.2.5. Test Method for Chloride Ion Impermeability
The resistance to chloride ion impermeability of cement mortar was tested using the RCM method. The test was conducted on a set of three specimens, and the average impermeability height of the three specimens was calculated as the impermeability height for that set of specimens. The migration coefficient of chloride ions is calculated according to Formula (1):
In this formula:
DRCM: The unsteady chloride ion migration coefficient of cement mortar, accurate to 0.1 × 1012 m2/s;
U: The absolute value of the voltage used (V);
T: Absolute value of the voltage used the average of the initial and ending temperatures of the anode solution (°C);
L: Specimen thickness (mm), accurate to 0.1 mm;
Xd: The average chloride impermeability height of a set of specimens, accurate to 0.1 mm (mm);
T: Test duration (h).
2.2.6. Test Method for Sulfate Erosion Resistance
The experiment involved removing cement mortar specimens aged up to 28 days and immersing them in a 5% sodium sulfate solution, as shown in Figure 4a. This was performed to simulate the corrosion of structural components that are subjected to long-term exposure to seawater or groundwater. To ensure accurate results and prevent fluctuations in solution concentration, the corrosive solution was replaced every month, with foam boards covering the surface of the container. At 30 days, 60 days, and 90 days, one set of specimens was taken out, dried, and their surface moisture was wiped off, as shown in Figure 4b. The flexural strength and compressive strength of the specimens were then measured.
Figure 4.
Sulfate attack resistance test of cement mortar: (a) specimen soaked in sulfate solution; (b) parts to be tested after partial immersion.
2.2.7. SEM Test Method
The specimens used were miniature cement mortar models prepared individually, with dimensions of 1 cm3. The curing method for these specimens remained consistent with the curing method used for specimens intended for mechanical property testing. The specimens collected after the designated age were submerged in anhydrous ethanol to halt further hydration. One day prior to testing, they were removed from the ethanol and dried in a drying box. Once completely dry, the samples were carefully cut into 10 mm × 10 mm × 2 mm specimens, coated with a layer of gold, and examined using the scanning electron microscopy (the manufacturer is Bruker Technology Ltd. and the instrument is sourced from Beijing, China), as shown in Figure 5.
Figure 5.
Scanning electron microscopy.
3. Mechanical Properties Under Standard Curing
3.1. Flexural and Compressive Strength Under Standard Curing
Specimens were prepared according to the mix proportions outlined in Table 5. These specimens were subsequently cured in a standard curing room for durations of 3, 7, 14, and 28 days. Following the specified curing periods, the specimens were retrieved and subjected to flexural strength and compressive strength tests.
The growth and change trends of the flexural strength of the specimens are depicted in Figure 6. As illustrated in Figure 6b, the flexural strength reaches its maximum at a GO content of 0.04 wt%. Notably, the effect of GO in enhancing the early-age flexural strength of the cement mortar is more pronounced compared to the later stages. Specifically, for GO4, the increase in flexural strength at 3 days is 6.7 percentage points higher than that observed at 28 days. It is noteworthy that GO, being an exceptional nanomaterial, exhibits significantly higher hardness than cement. In the early stages of cement mortar hardening (3 days), limited hydration has occurred. Consequently, the mechanical properties of the specimens are primarily enhanced by the pore-filling effect of GO, leading to a pronounced improvement at this early stage. At 7, 14, and 28 days, hydration progresses within the specimens, resulting in a stabilized rate of strength development. Therefore, the improvement in mechanical properties observed at 3 days is greater than that at 28 days.
Figure 6.
Test results of flexural strength under standard curing: (a) flexural strength; (b) flexural strength increase rate.
Figure 7 illustrates the growth and change trends of the compressive strength of the specimens. As shown in Figure 7b, GO significantly enhances the compressive strength of the cement mortar, with the maximum increase observed at a GO content of 0.04 wt%. In particular, for GO4, the increase in compressive strength at 3 days is 8.8% higher compared to that at 28 days.
Figure 7.
Test results of compressive strength under standard curing: (a) compressive strength; (b) compressive strength increase rate.
The compressive strength of GO5 exhibits a significant decrease compared to GO4. This is attributed to an excessive GO content relative to PCE, hindering the complete encapsulation of GO by PCE [24,25]. As a result, unencapsulated GO particles interact with free Ca2+ ions within the cement matrix, leading to the formation of numerous GO aggregates. These aggregates, in turn, adsorb a significant amount of free water, which is essential for the hydration reaction, thus impeding the hydration process. Consequently, this may negatively impact the flexural strength of the final cement mortar.
3.2. Mass Ratio of PCE to GO
Figure 8 presents the mass ratio of PCE to GO in specimens GO1 to GO6. As the GO content increases, the PCE-to-GO ratio consistently decreases. At a GO content of 0.05 wt%, the PCE-to-GO ratio falls to 4.8, lower than that of GO4. Based on the flexural strength performance depicted in Figure 6, a PCE-to-GO ratio of at least 6 is inferred to promote cement hydration and enhance the flexural strength of the cementitious material. Therefore, to achieve optimal results, the PCE-to-GO ratio should not fall below 6.
Figure 8.
The relationship between the mass ratio of PCE to GO and flexural/compressive strength.
4. Mechanical Properties Under Steam Curing
4.1. Test Design
Steam curing is already a very mature curing technology that can improve the performance of cement mortar [10,11,12,13,14,15]. According to the content in the previous section, it has been proven that GO can improve the performance of cement mortar. This section employs an experimental methodology to investigate the effects of steam curing technology and graphene oxide on cement mortar. It was expected that they will have a “synergistic effect” that could have a better lifting effect than a single condition on the cement mortar specimen.
The cement mortar mix proportions can be found in Table 5. The curing method used is steam curing, and the details of the curing procedure can be found in Section “Specimens curing”. To differentiate from standard curing, the specimen numbers for steam curing are prefixed with “S” (abbreviation for steam curing). A 1-day demolding strength test was added to investigate the effects of steam curing and the content of GO on the early strength of cement mortar.
4.2. Flexural and Compressive Strength
An analysis of the flexural strength trend in Figure 9 and the compressive strength trend in Figure 10 indicates a significant impact of GO content on enhancing the flexural and compressive strength of cement mortar. Beyond a GO content of 0.04 wt%, both flexural and compressive strengths exhibit a decreasing trend.
Figure 9.
Test results of flexural strength under steam curing: (a) flexural strength; (b) flexural strength increase rate.
Figure 10.
Test results of compressive strength under steam curing: (a) compressive strength; (b) compressive strength increase rate.
Notably, the growth rates of flexural and compressive strength at 28 days with GO were significantly higher than those observed at 1 and 3 days. This suggests that under steam curing conditions, GO exhibits a more pronounced long-term effect on improving the flexural and compressive strength of cement mortar compared to its early-stage effects. This enhanced long-term performance is likely due to the combined effects of steam curing and GO in promoting early strength development. However, inherent limitations of steam curing prevent this synergistic effect from reaching an ideal 1 + 1 = 2 outcome, leading to a partial loss of strength.
5. Durability Properties Under Steam Curing
5.1. Natural Drying Shrinkage Test
The shrinkage values of the cement mortar specimens were measured for natural drying from 7 to 90 days. The measured data after processing are presented in Figure 11.
Figure 11.
Shrinkage rate of cement mortar.
Figure 11 illustrates the overall shrinkage behavior of the specimens, characterized by an initial rapid rate followed by a gradual decrease. From 7 to 21 days, the shrinkage rate exhibits a more pronounced decrease. The accelerated shrinkage during this period is attributed to the rapid early hydration reaction within the specimen matrix, consuming a significant amount of water from the raw materials. This process leads to the rapid formation of various compounds, which accumulate and form the initial framework of the specimens. Consequently, the volume of the specimens experiences a rapid decrease due to ongoing hydration.
Beyond 21 days, the hydration reaction in the specimens largely ceases, and the specimen framework is essentially complete. This results in a slower rate of volume change. Compared to natural drying shrinkage under standard curing conditions, steam curing accelerates early hydration in the mortar, resulting in an earlier onset of shrinkage and a significantly reduced overall shrinkage magnitude.
In addition, it can also be observed that the specimens with GO content exhibited lower shrinkage compared to the Ref. Among them, the most effective was GO4, where the shrinkage rate of the 21d specimens decreased from 653 × 10−6 to 536 × 10−6, resulting in a significant reduction in volume shrinkage. This is because the extent of drying shrinkage in concrete is ultimately determined by the internal structure of the matrix [33]. The addition of GO promotes hydration reactions, which strengthens the structure within the matrix. Additionally, under the regulatory effect of GO, the cement hydration products transform from a scattered distribution state into a well-organized crystalline structure, further consolidating the internal structure of the matrix. Furthermore, the filling effect of GO also fills a large number of pore structures, further mitigating the volume shrinkage of the specimens [23].
5.2. Water Impermeability Test
Cement mortar specimens were prepared according to the mix proportions detailed in Table 5, cured for 28 days, and subsequently subjected to a water impermeability test. The test results are summarized in Table 6. Water impermeability is a crucial durability property of cement-based materials, significantly influencing the long-term performance of cement-based structures. Notably, under steam curing conditions, specimens are more susceptible to internal and surface cracking, potentially leading to a decrease in water impermeability. Generally, a higher impermeability value indicates a denser specimen structure and superior durability performance.
Table 6.
Water impermeability test results.
Figure 12 demonstrates that incorporating GO at varying concentrations significantly influences the water impermeability pressure of the specimens, resulting in varying degrees of improvement compared to the Ref sample. The most effective GO content was found to be 0.04 wt%, leading to a 47.6% increase in water impermeability pressure, highlighting the significant enhancement effect of GO on the water impermeability performance of cement mortar. However, it is noteworthy that the improvement in water impermeability does not exhibit a continuous increase with increasing GO content. At a GO content of 0.05 wt%, the water impermeability performance actually decreased compared to the 0.04 wt% GO content. This phenomenon can be attributed to the relationship between water impermeability performance and the porosity of the cement matrix. An appropriate content of GO can promote cement hydration and facilitate the formation of a more ordered and compact cementitious matrix. The findings of this study further corroborate the research results of Mohammed, A. [34], which narrowed the optimal dosage range of GO to 0.04–0.05 wt%. This aligns with our research conclusions. Furthermore, GO possesses the ability to fill micropores within the cementitious matrix, thereby reducing porosity [23]. However, excessive GO content can lead to uneven dispersion of GO particles within the matrix, resulting in agglomeration within the cementitious environment. This agglomeration hinders the hydration reaction and impedes the effective filling of pores in the matrix.
Figure 12.
Water impermeability of cement mortar: (a) water impermeability pressure value; (b) increase rate.
5.3. Chloride Ion Impermeability Test
Cement mortar specimens were prepared according to the mix proportions outlined in Table 5 and cured for 28 days. Following curing, they were subjected to a chloride ion permeability test, with the results summarized in Table 7. Resistance to chloride ion penetration is a fundamental aspect of the durability performance of cement-based materials. The chloride ion migration coefficient is a key factor in assessing the durability of cement-based structures.
Table 7.
Chlorine ion impermeability test results.
The inherent heterogeneity and porous nature of cementitious matrices significantly influence their resistance to chloride ion permeability. A lower migration coefficient generally corresponds to a lower pore volume and smaller pore sizes within the matrix. Consequently, a reduction in the migration coefficient is expected to enhance the resistance of cement mortar to chloride ion penetration, thereby improving its durability performance.
The results of the chloride ion permeability test, summarized in Table 7 and Figure 13, demonstrate that the addition of GO significantly reduces both the depth of chloride ion penetration and the chloride ion migration coefficient. The most effective performance was observed at a GO content of 0.04 wt%, resulting in a 58.8% decrease in the migration coefficient compared to the Ref specimens. This finding highlights the efficacy of GO in hindering chloride ion diffusion.
Figure 13.
Chloride ion impermeability of cement mortar: (a) migration coefficient; (b) relative decline rate.
However, the relationship between the chloride ion migration coefficient and GO content is not strictly inversely proportional. When the GO content was increased to 0.05 wt%, the chloride ion migration coefficient rebounded and increased. This phenomenon can be attributed to the complex interaction between GO content and cement hydration. An optimal amount of GO promotes cement hydration and regulates the formation of hydration products, resulting in a more ordered and compact matrix structure. Additionally, GO effectively fills internal micropores within the cement matrix, reducing porosity [35]. Conversely, excessive GO content leads to uneven dispersion of the GO dispersion liquid within the matrix, causing agglomeration within the cementitious environment. This agglomeration hinders the hydration reactions and impedes effective pore filling within the matrix.
5.4. Sulfate Resistance Test
Cement mortar specimens were prepared according to the mix proportions outlined in Table 5 and cured for 28 days. Following curing, the specimens were submerged in a 5% concentration sulfate solution for sulfate erosion testing. Flexural and compressive strengths were then evaluated at 30, 60, and 90 days of immersion. The strength erosion coefficient recorded in Table 8.
Table 8.
Corrosion resistance coefficient.
Resistance to sulfate erosion is a key measure of durability for cement-based materials, and the strength erosion coefficient significantly impacts the long-term performance of cement-based structures. Notably, steam curing conditions can lead to increased porosity within the specimens, which reduces their resistance to sulfate erosion [9].
According to the results presented in Table 8 and Figure 14, during the early stages of sulfate erosion, SO42− ions from the solution infiltrated into the cement mortar matrix. These ions reacted with Ca(OH)2 and other minerals that are prone to erosion within the matrix, leading to the formation of needle-like ettringite and other expansive substances. These substances solidified and filled the internal pores of the cement mortar during the initial sulfate immersion process [9]. This filling effect resulted in a reduction in pore size and an increase in density, ultimately enhancing the corrosion resistance of the matrix. Among all the test groups, the SRef exhibited the highest corrosion resistance coefficients for flexural strength and compressive strength at 30 days, measuring 120% and 115%, respectively. The improvement in the SGO4 group was the least significant, primarily because graphene oxide (GO) had already filled a significant portion of the pores in the matrix through its template and filling effects, resulting in weaker improvements in the corrosion resistance coefficients of flexural strength and compressive strength.
Figure 14.
Corrosion resistance coefficient of cement mortar: (a) corrosion resistance coefficient for flexural strength; (b) corrosion resistance coefficient for compressive strength.
Following 60 and 90 days of sulfate erosion, a significant decrease in the corrosion resistance coefficients for flexural and compressive strength was observed in the cement mortar specimens compared to their initial values at 30 days. Among the tested specimens, the SRef group exhibited the most notable decline. The corrosion resistance coefficient for flexural strength decreased by 40% from its initial value of 120% at 30 days, reaching 80% at 90 days. Similarly, the corrosion resistance coefficient for compressive strength decreased by 37% from its initial value of 115% to 78%.
In contrast, the SGO4 group exhibited a more gradual decline, with a decrease of 12% in the flexural strength corrosion resistance coefficient and an 8% decrease in the compressive strength corrosion resistance coefficient at 90 days compared to their respective values at 30 days. Consequently, at 90 days, the SGO4 group demonstrated a 68% improvement in flexural strength corrosion resistance and a 70% improvement in compressive strength corrosion resistance compared to the SRef group.
These results indicate that under steam curing conditions, GO effectively inhibits sulfate erosion of the cement matrix, significantly enhancing the sulfate resistance of the cement mortar and extending its service life.
6. Comparison of Results
6.1. Comparison of Mechanical Properties
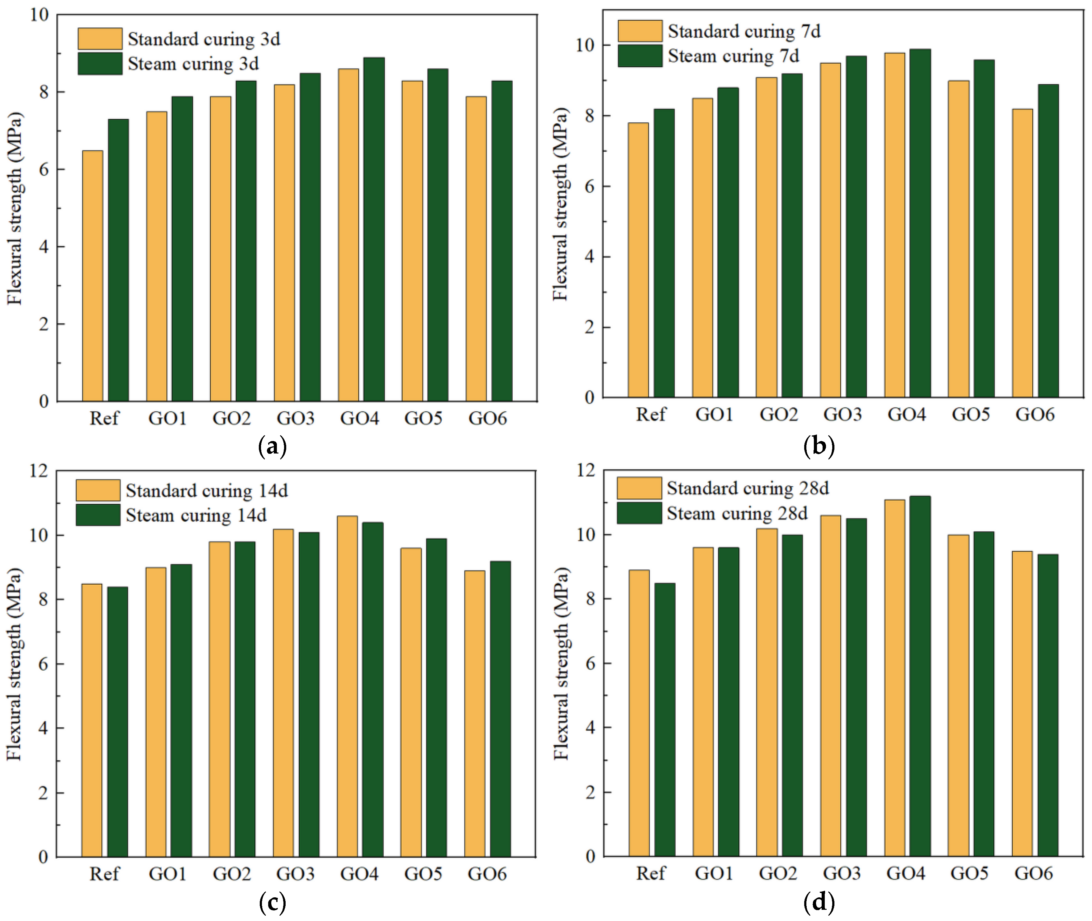
A comparison of the mechanical properties of GO-modified cement mortar under standard curing and steam curing conditions (as shown in Figure 15 and Figure 16) reveals that steam curing significantly enhances the early strength of the cement mortar. However, after 14 days, the detrimental effects of steam curing begin to manifest. This is evidenced by a slower increase in flexural and compressive strength of the steam-cured cement mortar, even falling below the strength values of the standard-cured cement mortar during the same period. By 28 days, the inherent drawbacks of steam curing are fully evident, with significantly lower flexural and compressive strength compared to the standard-cured cement mortar, as exemplified by the Ref group in Figure 15d and Figure 16d.
Figure 15.
Comparison of flexural strength: (a) 3 days; (b) 7 days; (c) 21 days; (d) 28 days.
Figure 16.
Comparison of compressive strength: (a) 3 days; (b) 7 days; (c) 21 days; (d) 28 days.
The addition of GO effectively mitigates the issue of late-stage strength loss associated with steam curing. Varying concentrations of GO result in varying degrees of improvement in the late-stage strength of the cement mortar. At a GO content of 0.04 wt%, the enhancement provided by GO precisely compensates for the strength loss caused by steam curing, as demonstrated by the GO4 group in Figure 15d and Figure 16d.
6.2. SEM Microstructure Analysis and Comparison
Figure 17 and Figure 18 analyze the effects of steam curing technology and graphene oxide on the early (3 days) structure of cement mortar specimens respectively (Figure 17b and Figure 18a) and simultaneously (Figure 18b) obtained from SEM results.
Figure 17.
Microstructure of specimens without GO at 3 days: (a) Ref at 3 days (10 μm); (b) SRef at 3 days (5 μm).
Figure 18.
Microstructure of specimens with 0.04 wt% GO at 3 days: (a) GO4 at 3 days (5 μm); (b) SGO4 at 3 days (10 μm).
Figure 17a depicts the microstructure of the Ref under standard curing for 3 days, revealing the presence of numerous large pores and needle-like crystals within the matrix, indicating a relatively sparse structure. In contrast, Figure 17b illustrates the microstructure of the SRef under steam curing for 3 days. Because the curing temperature of steam curing is higher than that of standard curing strip, the hardening reaction of the cement mortar is promoted. Compared to Figure 17a, the matrix shows a significant improvement in density with the presence of more block-like and needle-shaped crystals. These crystals are AFt (Ettringite) and CH (Calcium Hydroxide) formed by the cement hardening promoted by the steam curing technology. The formation of more hydration also causes the large pores between the original structures to be filled, increasing the continuity of the cement matrix.
Figure 18a illustrates the microstructure of GO4 specimens under standard curing for 3 days. Because GO is a nano-sized sheet structure, as shown in Figure 3a, it can make full use of its characteristics of large hardness and small size to fill the pores of the cement mortar. In terms of chemistry, Figure 18a also shows the generation of new hydrates: C-S-H (Calcium Silicate Hydrate) and CH. These crystals, together with the rest of the GO sheet, perform a pore-filling function. Comparing Figure 18a with Figure 17a, the presence of needle-like crystals (Ettringite) and pores is significantly reduced. Instead, C-S-H gel filled the pores, while CH crystals and layered structures orderly accumulated, forming a more compact and organized bud-like structure. This indicates that the addition of GO promoted the hydration process within the matrix. Figure 18b displays the microstructure of SGO4 after steam curing for 3 days. Similar to Figure 18a, the presence of needle-like crystals was mostly eliminated, and the pores were filled with hydration products, resulting in a more densified and connected structure. This further demonstrated the improvement in early-stage density and continuity of the matrix through steam curing.
Combined with the performance of durability (Figure 11, Figure 12, Figure 13 and Figure 14) and mechanical properties (Figure 15 and Figure 16), as well as the microscopic characterization analysis of SEM as shown in Figure 17 and Figure 18, the steam curing technology and the incorporation of graphene oxide both have very good results. When the two are combined, there will be no rejection reaction, but a good superposition effect can better promote the cement mortar to improve the strength and durability in the early stage.
Figure 19 and Figure 20 analyze the effects of steam curing technology and graphene oxide on the early (3 days) structure of cement mortar specimens respectively (Figure 19b and 20a) and simultaneously (Figure 20b) obtained from SEM results.
Figure 19.
Microstructure of specimens without GO at 28 days: (a) Ref at 28 days (10 μm); (b) SRef at 28 days (30 μm).
Figure 20.
Microstructure of specimens with 0.04 wt% GO at 28 days. (a) GO4 at 28 days (30 μm); (b) SGO4 at 28 days (30 μm).
Figure 19b illustrates the microstructure of Ref under steam curing for 28 days. Compared to Figure 17b, after 28 days of curing, the matrix demonstrated a significant improvement in density, with hydration products connecting more cohesively. However, these hydration products still exhibit irregular shapes, characterized by a considerable amounted of pores and needle-like crystals, along with observable microstructural defects. These manifestations are caused by the inherent defect of steam curing technology, as the higher curing temperature makes the pores in the cement matrix unable to be removed from the body as the density of the cement increases [10,11,12,13,14,15,16]. In comparison, the cement mortar in Figure 19a possesses larger and more numerous pores, providing an explanation for the lower mechanical performance of cement mortar without GO observed during the later stage under steam curing, as shown in Figure 15d and Figure 16d.
Figure 20b illustrates the microstructure of SGO4 under steam curing for 28 days; the enlarged picture in the upper part is 1 micron in size. This is also the stage that best reflects the GO structure’s lifting of the cement matrix. Compared with Figure 19b, under the same steam curing conditions, the pores that should have been caused by the temperature of the steam curing gave GO more places to fill, and the sheets of GO were stacked in the pores like bricks. On the other hand, the presence of GO promoted the intertwining and coagulation of a significant amount of hydration products, which further overlapped and interlocked with CH flakes, formed a relatively extensive and dense structure. Overall, the physical and chemical effects of GO make the compactness and continuity of the matrix significantly improved.
Figure 20a illustrates the microstructure of GO4 under standard curing for 28 days; the enlarged picture in the upper part is 1 micron in size. Compared with Figure 20b, the enlarged SEM of GO4 showed that some of the nano-GO sheets did not fully fill the cement pores, which was undoubtedly a waste, and the large pores formed by SGO4 during the steam curing process were filled with graphene oxide and hydration products. Although they show similar mechanical properties, as shown in Figure 15d and Figure 16d. The performance of SGO4 combined with the steam curing technology and graphene oxide is better because it can improve the early mechanical strength and the later mechanical strength.
Figure 21a,c depict the microscopic morphology of specimens without GO after 90 days of sulfate erosion. Numerous pores were observed, distributed throughout the specimens, alongside a chaotic arrangement of elongated, needle-like crystals. These crystals intersected to form agglomerates, indicative of significant sulfate erosion in this region. This observation suggests that steam curing alone did not significantly enhance the resistance of cement mortar specimens to sulfate erosion.
Figure 21.
Microstructure of specimens soaked in sulfate at 90 days: (a) Ref at 90 days (5 μm); (b) GO4 at 90 days (10 μm); (c) SRef at 90 days (5 μm); (d) SGO4 at 90 days (20 μm).
Figure 21b,d illustrate specimens containing 0.04 wt% GO, exhibiting improved structural integrity with only a small number of needle-like crystals and pores. While some agglomerates were present on the surface, their presence was less pronounced compared to the specimens without GO. Furthermore, the microstructure of the GO specimens subjected to steam curing (Figure 21d) showed a significant reduction in needle-like crystals, and the surface of the agglomerates appeared denser, resulting in a more compact structure. This improved morphology enhances resistance to sulfate corrosion. A comparative analysis of the four micrographs in Figure 21 reveals a synergistic effect between steam curing technology and GO incorporation.
Elemental analysis was performed on the Ref sample, with the results presented in Figure 22a and Table 9. The analysis revealed that the sample primarily comprised C, O, Na, Mg, Al, Si, S, and Ca, with the highest proportions observed for C, O, and Ca. Significant amounts of Na, Al, and S were also detected. Elemental analysis of the GO4 samples, shown in Figure 22b and Table 10, indicated similar elemental proportions. However, a notable increase in C, O, and Ca concentrations were observed, accompanied by significant decreases in Na, Mg, Al, and S.
Figure 22.
Elemental analysis in the samples after 90 days of sulfate immersion: (a) Ref; (b) GO4.
Table 9.
The elemental content in the Ref after 90 days of sulfate immersion.
Table 10.
The elemental content in the GO4 after 90 days of sulfate immersion.
Based on the elemental distribution, the needle-like crystals observed in the Ref sample are likely harmful substances, such as calcium aluminate oxide and Na2SO410H2O (mirabilite). These crystals gradually filled the internal pores of the matrix during sulfate immersion, generating significant expansion stresses within the structure and ultimately leading to its failure. The clusters observed in Figure 21a were likely expanded mirabilite.
In contrast, the GO4 specimens demonstrated substantial structural improvement, maintaining good integrity. This improvement is attributed to GO’s promotion of cement hydration, leading to the formation of predominantly C-S-H and CH. C-S-H, a key contributor to strength, is favored with the incorporation of 0.04 wt% GO in cement mortar, effectively mitigating sulfate-induced erosion. Furthermore, the microstructure images of the Ref and GO4 samples provide compelling evidence for the observed variations in corrosion resistance coefficient.
7. Conclusions
By studying the influence of cement mortar under the combined action of graphene oxide modification and steam curing technology, including mechanical properties, durability, and microscopic analysis, the following conclusions are drawn:
- Among the 6 GO dosages set at 0 wt%, 0.01 wt%, 0.02 wt%, 0.03 wt%, 0.04 wt%, 0.05 wt%, and 0.06 wt%, 0.04 wt% is the one that can achieve the best performance. In the absence of steam curing, the flexural strength of 0.04 wt% GO was increased by 32.3%, 25.6%, 24.7%, and 24.7% at 3 days, 7 days, 14 days, and 28 days, respectively, compared with the blank group of 0 wt% GO. It can also increase the compressive strength at 3 days, 7 days, 14 days, and 28 days by 26.4%, 25.3%, 22.8%, and 17.6%, respectively. In addition, combined with the mechanical properties of the other four groups of mix ratios, the incorporation of GO is more conducive to early strength improvement, because the flakey nano-GO has a pore-filling effect, and the cement mortar specimens have not yet formed dense cement matrices in the early stage, which gives GO the opportunity to fill the pores and give play to the characteristics of GO’s small size and high strength.
- The effect of steam curing technology on ordinary cement mortar has long been studied by scholars, so our research is mainly aimed at the effect of steam curing technology on GO-modified cement mortar. With the help of steam curing technology, the 0.04 wt% GO specimen became stronger. The flexural strength at 1 day, 3 days, 7 days, 14 days, and 28 days were increased by 17.8%, 21.9%, 20.7%, 23.8%, and 31.8%, respectively. The compressive strength at 1 day, 3 days, 7 days, 14 days, and 28 days was increased by 17.5%, 21.5%, 20.9%, 21.3%, and 28.4%, respectively. At this time, the main lifting stage of GO on cement mortar is in the late stage. It is because of the cement pores generated by high temperature under steam curing conditions that GO combines with the generated hydration to fill these pores.
- Steam curing technology and GO also have a good cooperation effect in terms of durability. The 0.04 wt% GO-modified specimens exhibited a basic scaffold formation within 21 days under steam curing conditions, with a volume shrinkage of 536 × 10−6. While GO significantly filled the matrix pores, resulting in a modest enhancement of the corrosion resistance coefficient at 30 days, a more substantial improvement was observed at 90 days. Specifically, the corrosion resistance coefficients for flexural and compressive strength of SGO4 were 68% and 70% higher, respectively, compared to SRef. This enhanced performance was accompanied by a relative decrease of 47.6% in the rate of increase in permeability pressure and a 58.8% reduction in the chloride ion migration coefficient. These improvements can be attributed to the fact that an optimal GO concentration promotes cement hydration and exhibits a pore-filling effect. This, in turn, enriches the internal micropores of the cement matrix, effectively mitigating natural drying shrinkage and enhancing resistance to water permeability, chloride ion penetration, and sulfate erosion.
- According to the results of SEM experimental analysis, graphene oxide and steam curing technology are mutually complementary. The high temperature of the steam curing condition promotes the early hardening of the cement mortar specimens, thus improving the mechanical properties and durability of the specimens. GO always acts as a pore filler, but in the later stages it overlaps with the hydrate to form a dense form. Moreover, the cement porosity caused by steam curing conditions provides a larger stage for GO and hydration, so that they can better play their advantages in terms of structure.
- Through the analysis of the energy spectrum experiment results of the blank control group (Ref) and the optimal GO content group (GO4), combined with the macroscopic lifting effect of nano-GO sheets on specimens in the experiment, the lifting effect of GO is not only a physical pore-filling effect, but also a chemical hydration-promoting effect. GO’s hydroxyl and carboxyl groups break down harmful substances in ordinary cement mortar: calcium aluminate oxide and Mirabilite. GO reduces the presence of Na, Mg, and Al elements and promotes the production of more C, O, and Ca elements, which are the main elements for the production of beneficial CH and C-S-H.
- Steam curing is a very mature technology. Its main advantage is to improve the early strength of the test piece, while its disadvantage is to reduce the late strength of the test piece. The addition of nano-graphene oxide sheets can leverage the benefits of steam curing technology while mitigating the drawbacks of steam curing technology. When steam curing technology and GO are applied to cement mortar at the same time, the early strength effect of steam curing, the pore filling effect of the nano-GO sheet, and the promotion of cement hydration can synergistically improve the mechanical properties and durability of the cement mortar. In addition, while the cement porosity caused by steam curing technology is originally a disadvantage of reducing the later strength of the specimen, it becomes an advantage when adding the nano-GO sheet, because it provides sufficient working space for the GO sheet so that the CH and C-S-H generated by GO are superimposed with the GO sheet and the cement matrix becomes more compact, thus improving the performance of the specimen.
In this study, the optimum graphene oxide (GO) content was determined to be 0.04 wt% among the range of 0.00 wt% to 0.06 wt% under steam curing conditions. It was observed that GO enhances the mechanical properties of cement mortar under steam curing, compensating for the impact of steam curing alone on the later-stage mechanical performance of cement mortar. This combination makes up for the shortcomings of steam curing technology, and also gives full play to the pore-filling role of the nano-GO sheet, achieving a win–win situation. It is important to find a balance between the application areas of GO and the application areas of steam curing technology, and we are happy to make a small contribution to their technological advancement.
Author Contributions
Conceptualization, Z.L. and W.S.; methodology, W.S.; software, Y.D.; validation, Z.L., W.S., and W.Y.; formal analysis, H.S.; investigation, Z.C.; resources, W.S.; data curation, W.S.; writing—original draft preparation, Z.L.; writing—review and editing, W.S.; visualization, Y.D.; supervision, Z.L.; project administration, W.S.; funding acquisition, W.S. All authors have read and agreed to the published version of the manuscript.
Funding
This research was funded by Weicheng Su of the Guangzhou University Graduate Student Innovation Ability Training Project (Basic Innovation Project), and Chongqing Construction Science and Technology Plan Key Project (Urban Science 2021, No.1–8).
Data Availability Statement
The original contributions presented in the study are included in the article, further inquiries can be directed to the corresponding authors.
Conflicts of Interest
The authors declare no conflicts of interest.
References
- Wang, J.; Long, G.; Xiang, Y.; Dong, R.; Tang, Z.; Xiao, Q.; Yang, Z.; Ma, K. Influence of rapid curing methods on concrete microstructure and properties: A review. Case Stud. Constr. Mater. 2022, 17, e01600. [Google Scholar] [CrossRef]
- Zou, C.; Long, G.; Zeng, X.; Ma, C.; Xie, Y.; Sun, Z. Water evolution and hydration kinetics of cement paste under steam-curing condition based on low-field NMR method. Constr. Build. Mater. 2021, 271, 121583. [Google Scholar] [CrossRef]
- Gao, Z.; He, Y.; Li, M.; Jiang, M.; Shen, J. Impacts of microwave on hydration evolution of Portland cement in the perspective of composition and microstructure of hydrates. Constr. Build. Mater. 2022, 360, 129569. [Google Scholar] [CrossRef]
- Chen, B.; Chen, J.; Chen, X.; Qiang, S.; Zheng, Y. Experimental study on compressive strength and frost resistance of steam cured concrete with mineral admixtures. Constr. Build. Mater. 2022, 325, 126725. [Google Scholar] [CrossRef]
- Yu, Y.; Jin, Z.; Shao, S.; Zhang, X.; Li, N.; Xiong, C. Evolution of temperature stress and tensile properties of concrete during steam-curing process. Constr. Build. Mater. 2021, 305, 124691. [Google Scholar] [CrossRef]
- Zhang, J.; Chen, T.; Gao, X. Incorporation of self-ignited coal gangue in steam cured precast concrete. J. Clean. Prod. 2021, 292, 126004. [Google Scholar] [CrossRef]
- Zou, C.; Long, G.; Zeng, X.; Ma, K.; Xie, Y. Hydration and multiscale pore structure characterization of steam-cured cement paste investigated by X-ray CT. Constr. Build. Mater. 2021, 282, 122629. [Google Scholar] [CrossRef]
- Luo, Q.; Wu, Y.-Y.; Qiu, W.; Huang, H.; Pei, S.; Lambert, P.; Hui, D. Improving flexural strength of UHPC with sustainably synthesized graphene oxide. Nanotechnol. Rev. 2021, 10, 754–767. [Google Scholar] [CrossRef]
- Deng, G.; He, Y.; Lu, L.; Wang, F.; Hu, S. Pore structure evolution and sulfate attack of high-volume slag blended mortars under standard curing and steam curing. Constr. Build. Mater. 2023, 363, 129878. [Google Scholar] [CrossRef]
- Tran, V.M.; Nguyen, L.T.; Nguyen, T.H.Y. Enhancing the effectiveness of steam curing for cement paste incorporating fly ash based on long-term compressive strength and reaction degree of fly ash. Case Stud. Constr. Mater. 2022, 16, e01146. [Google Scholar] [CrossRef]
- Wang, P.; Li, X.; Huo, X.; Ali, S.; Sun, J.; Qin, J.; Liang, K.; Liu, Y. Early hydration and compressive strength of steam cured high-strength concrete based on simplex centroid design method. Case Stud. Constr. Mater. 2022, 17, e01583. [Google Scholar] [CrossRef]
- Xu, X.; Jin, Z.; Yu, Y.; Li, N. Impact properties of Ultra High Performance Concrete (UHPC) cured by steam curing and standard curing. Case Stud. Constr. Mater. 2022, 17, e01321. [Google Scholar] [CrossRef]
- Naas, A.; Taha-Hocine, D.; Salim, G.; Michèle, Q. Combined effect of powdered dune sand and steam-curing using solar energy on concrete characteristics. Constr. Build. Mater. 2022, 322, 126474. [Google Scholar] [CrossRef]
- Bi, L.; Long, G.; Ma, C.; Xie, Y. Experimental investigation on the influence of phase change materials on properties and pore structure of steam-cured mortar. Arch. Civ. Mech. Eng. 2021, 21, 11. [Google Scholar] [CrossRef]
- Zeyad, A.M.; Johari, M.A.M.; Alharbi, Y.R.; Abadel, A.A.; Amran, Y.M.; Tayeh, B.A.; Abutaleb, A. Influence of steam curing regimes on the properties of ultrafine POFA-based high-strength green concrete. J. Build. Eng. 2021, 38, 102204. [Google Scholar] [CrossRef]
- Rathod, R.S.B.; Sahoo, P.; Gupta, S. Application of micro-crystalline cellulose as additive in Portland cement-based and alkali activated slag-fly ash mortar: Comparison of compressive strength, hydration and shrinkage. Constr. Build. Mater. 2023, 385, 131531. [Google Scholar] [CrossRef]
- Al-Noaimat, Y.A.; Chougan, M.; Al-Kheetan, M.J.; Al-Mandhari, O.; Al-Saidi, W.; Al-Maqbali, M.; Al-Hosni, H.; Ghaffar, S.H. 3D printing of limestone-calcined clay cement: A review of its potential implementation in the construction industry. Results Eng. 2023, 18, 101115. [Google Scholar] [CrossRef]
- Yoo, D.-Y.; Oh, T.; Banthia, N. Nanomaterials in ultra-high-performance concrete (UHPC)—A review. Cem. Concr. Compos. 2022, 134, 104730. [Google Scholar] [CrossRef]
- Edwards, N.J.; Lin, Y.; Du, H.; Ruan, D. Effect of graphene oxide on cement mortar under quasi-static and dynamic loading. J. Build. Eng. 2023, 74, 106783. [Google Scholar] [CrossRef]
- Wang, L.; Li, G.; He, C.; Tang, Y.; Yi, B. Preparation and properties of nano-carbon black modified ultra-high-performance concrete. Case Stud. Constr. Mater. 2022, 17, e01378. [Google Scholar] [CrossRef]
- Su, Y.; Wu, L.; He, X.; Zheng, Z.; Tan, H.; Yang, J.; Ma, Q.; Ding, J.; Bao, M. A novel early strength agent prepared by wet-grinding concrete waste slurry and its effect on early hydration and mechanical properties of cement based materials. Constr. Build. Mater. 2023, 362, 129673. [Google Scholar] [CrossRef]
- Yao, S.; Zou, F.; Wang, F.; He, Y.; Hu, S.; Hu, C. Revealing the micro-mechanical characteristics of high early strength cement pastes. Constr. Build. Mater. 2022, 342, 128078. [Google Scholar] [CrossRef]
- Fu, Q.; Wang, Z.; Xue, Y.; Niu, D. Catalysis and Regulation of Graphene Oxide on Hydration Properties and Microstructure of Cement-Based Materials. ACS Sustain. Chem. Eng. 2023, 11, 5626–5643. [Google Scholar] [CrossRef]
- Zhao, L.; Guo, X.; Liu, Y.; Ge, C.; Chen, Z.; Guo, L.; Shu, X.; Liu, J. Investigation of dispersion behavior of GO modified by different water reducing agents in cement pore solution. Carbon 2018, 127, 255–269. [Google Scholar] [CrossRef]
- Li, J.; Zheng, Q. The first experimental evidence for improved nanomechanical properties of calcium silicate hydrate by polycarboxylate ether and graphene oxide. Cem. Concr. Res. 2022, 156, 106787. [Google Scholar] [CrossRef]
- Chousidis, N.; Constantinides, G. Fire endurance and corrosion resistance of nano-modified cement mortars exposed to elevated temperatures. Ceram. Int. 2023, 49, 19182–19193. [Google Scholar] [CrossRef]
- Murali, M.; Alaloul, W.S.; Mohammed, B.S.; Musarat, M.A.; Al Salaheen, M.; Al-Sabaeei, A.M.; Isyaka, A. Utilizing graphene oxide in cementitious composites: A systematic review. Case Stud. Constr. Mater. 2022, 17, e01359. [Google Scholar] [CrossRef]
- Chintalapudi, K.; Pannem, R.M.R. Enhanced chemical resistance to sulphuric acid attack by reinforcing Graphene Oxide in Ordinary and Portland Pozzolana cement mortars. Case Stud. Constr. Mater. 2022, 17, e01452. [Google Scholar] [CrossRef]
- Chen, C.; Zhang, W.; Wu, H.; Chen, C.; Ma, B. Study on the damage resistance and deterioration behavior of GO concrete under the harsh environment. PLoS ONE 2023, 18, e0284186. [Google Scholar] [CrossRef]
- Bheel, N.; Mohammed, B.S.; Liew, M.S.; Zawawi, N.A.W.A. Effect of Graphene Oxide as a Nanomaterial on the Durability Behaviors of Engineered Cementitious Composites by Applying RSM Modelling and Optimization. Buildings 2023, 13, 2026. [Google Scholar] [CrossRef]
- Hu, Y.; Hu, S.; Li, W.; Wang, X. A time-variant model of chloride diffusion in prestressed concrete cylinder pipe (PCCP) considering the effects of curing age. Constr. Build. Mater. 2023, 368, 130411. [Google Scholar] [CrossRef]
- Wu, Y.-Y.; Zhang, J.; Liu, C.; Zheng, Z.; Lambert, P. Effect of graphene oxide nanosheets on physical properties of ultra-high-performance concrete with high volume supplementary cementitious materials. Materials 2020, 13, 1929. [Google Scholar] [CrossRef] [PubMed]
- El-Seidy, E.; Chougan, M.; Al-Noaimat, Y.A.; Al-Kheetan, M.J.; Ghaffar, S.H. The impact of waste brick and geo-cement aggregates as sand replacement on the mechanical and durability properties of alkali–activated mortar composites. Results Eng. 2024, 21, 101797. [Google Scholar] [CrossRef]
- Mohammed, A.; Sanjayan, J.; Duan, W.; Nazari, A. Incorporating graphene oxide in cement composites: A study of transport properties. Constr. Build. Mater. 2015, 84, 341–347. [Google Scholar] [CrossRef]
- El-Seidy, E.; Sambucci, M.; Chougan, M.; Ai-Noaimat, Y.A.; Al-Kheetan, M.J.; Biblioteca, I.; Valente, M.; Ghaffar, S.H. Alkali activated materials with recycled unplasticised polyvinyl chloride aggregates for sand replacement. Constr. Build. Mater. 2023, 409, 134188. [Google Scholar] [CrossRef]
Disclaimer/Publisher’s Note: The statements, opinions and data contained in all publications are solely those of the individual author(s) and contributor(s) and not of MDPI and/or the editor(s). MDPI and/or the editor(s) disclaim responsibility for any injury to people or property resulting from any ideas, methods, instructions or products referred to in the content. |
© 2024 by the authors. Licensee MDPI, Basel, Switzerland. This article is an open access article distributed under the terms and conditions of the Creative Commons Attribution (CC BY) license (https://creativecommons.org/licenses/by/4.0/).





















