NLP-Based Approach for Identifying Quality Risk Factors in Steel Structure Construction
Abstract
1. Introduction
1.1. Research Background
1.2. Literature Review
1.3. Research Contributions
- (a)
- Enhancing Text Processing Capabilities and Interpretability
- (b)
- Providing Data-Driven Risk Identification
- (c)
- Constructing a Universal Lexicon
- (d)
- Simple Parameter Setting and Strong Applicability
1.4. Paper Structure
2. Methods
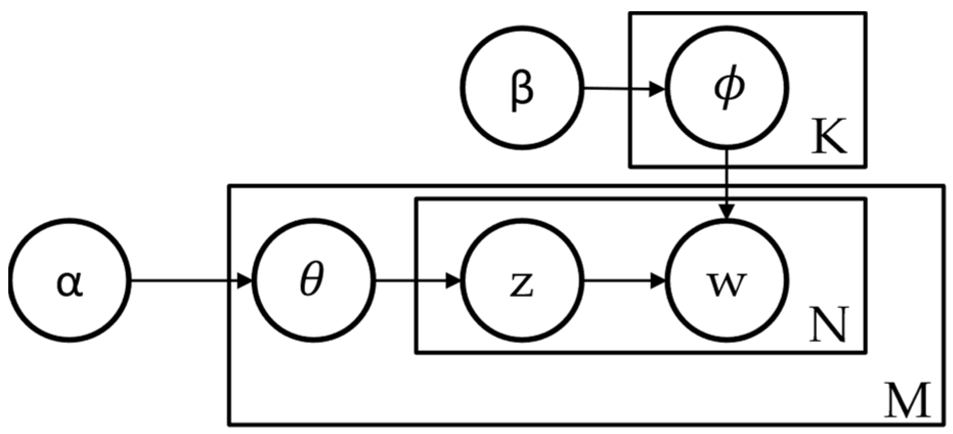
2.1. Principle
2.1.1. Dirichlet Distribution
2.1.2. Gibbs Sampling
2.2. Operation Process
2.2.1. Pretreatment
2.2.2. Dirichlet Distribution Procedure
2.2.3. Implementation Process
- (1)
- Document Composition:
- (2)
- Data Preprocessing:
- (3)
- LDA process:
- (4)
- Interpret and analyze the results:
2.3. The Selection of Topic Number K
3. Results
4. Discussion
4.1. Expert Panel Discussions
4.2. Expert Surveys
5. Conclusions
Author Contributions
Funding
Data Availability Statement
Conflicts of Interest
References
- Huang, H.; Yao, Y.; Liang, C.; Ye, Y. Experimental Study on Cyclic Performance of Steel-Hollow Core Partially Encased Composite Spliced Frame Beam. Soil Dyn. Earthq. Eng. 2022, 163, 107499. [Google Scholar] [CrossRef]
- Hua, L.; Liu, Y.; Qian, D.; Xie, L.; Wang, M.; Wu, M. Mechanism of Void Healing in Cold Rolled Aeroengine M50 Bearing Steel under Electroshocking Treatment: A Combined Experimental and Simulation Study. Mater. Charact. 2022, 185, 111736. [Google Scholar] [CrossRef]
- Gong, M.; Zhu, W. Green Building Performance Analysis of High-Rise Residence in Steel Structure Residence System. In Proceedings of the International Conference on Building Materials and Structural Engineering (BMSE 2012), Wuhan, China, 19–20 March 2012; pp. 83–87. [Google Scholar]
- Zhang, J.; Wang, M.; Zhao, L.; Chen, M. Analysis of Factors Affecting Prefabricated Building Quality Based on ISM-BN. Sustainability 2023, 15, 9682. [Google Scholar] [CrossRef]
- Taha, S.H.; Ibrahim, M.G.; Ali, A.A.M. Steel as a Sustainable Choice Towards the Green Building Concept. In Proceedings of the 8th International Conference on Sustainable Development and Planning, Penang, Malaysia, 6–8 December 2016; pp. 123–134. [Google Scholar]
- Yang, Y.; Du, H.B.; Yao, G.; Ma, X.L.; Men, W. Time-Varying Mechanical Analysis of Long-Span Spatial Steel Structures Integral Lifting in Construction Basing Building Information Model. Sustainability 2023, 15, 11256. [Google Scholar] [CrossRef]
- Chen, Y.; Zhu, L.; Hu, Z.; Chen, S.; Zheng, X. Risk Propagation in Multilayer Heterogeneous Network of Coupled System of Large Engineering Project. J. Manag. Eng. 2022, 38, 4022003. [Google Scholar] [CrossRef]
- Wang, Z.; Zhou, T.; Zhang, S.; Sun, C.; Li, J.; Tan, J. Bo-LSTM Based Cross-Sectional Profile Sequence Progressive Prediction Method for Metal Tube Rotate Draw Bending. Adv. Eng. Inform. 2023, 58, 102152. [Google Scholar] [CrossRef]
- Lee, W.S.; Grosh, D.L.; Tillman, F.A.; Lie, C.H. Fault Tree Analysis, Methods, and Applications—A Review. IEEE Trans. Reliab. 1985, 34, 194–203. [Google Scholar] [CrossRef]
- Cialkowska, M.; Adamowski, T.; Piotrowski, P.; Kiejna, A. What is the Delphi Method? Strengths and Shortcomings. Psychiatr. Pol. 2008, 42, 5–16. [Google Scholar]
- Modular Decomposition of Flow Chart Path Method and Its Application. In Proceedings of the 2nd International Conference on Advances in Materials and Manufacturing Processes (ICAMMP 2011), Guillin, China, 16–18 December 2011; pp. 2206–2210.
- Caldas, C.H.; Soibelman, L. Automating Hierarchical Document Classification for Construction Management Information Systems. Autom. Constr. 2003, 12, 395–406. [Google Scholar] [CrossRef]
- Wu, H.Q.; Shen, G.; Lin, X.; Li, M.L.; Zhang, B.Y.; Li, C.Z.D. Screening Patents of ICT in Construction Using Deep Learning and NLP Techniques. Eng. Constr. Archit. Manag. 2020, 27, 1891–1912. [Google Scholar] [CrossRef]
- Lee, J.; Yi, J.S.; Son, J. Development of Automatic-Extraction Model of Poisonous Clauses in International Construction Contracts Using Rule-Based NLP. J. Comput. Civ. Eng. 2019, 33, 04019003. [Google Scholar] [CrossRef]
- Zhang, J.S.; El-Gohary, N.M. Extending Building Information Models Semiautomatically Using Semantic Natural Language Processing Techniques. J. Comput. Civ. Eng. 2016, 30, C4016004. [Google Scholar] [CrossRef]
- Lin, J.R.; Hu, Z.Z.; Li, J.L.; Chen, L.M. Understanding On-Site Inspection of Construction Projects Based on Keyword Extraction and Topic Modeling. IEEE Access 2020, 8, 198503–198517. [Google Scholar] [CrossRef]
- Nadkarni, P.M.; Ohno-Machado, L.; Chapman, W.W. Natural Language Processing: An Introduction. J. Am. Med. Inf. Assoc. 2011, 18, 544–551. [Google Scholar] [CrossRef] [PubMed]
- Devlin, J. BERT: Pre-Training of Deep Bidirectional Transformers for Understanding. arXiv 2019, arXiv:1810.04805v2. [Google Scholar]
- Wang, T.; Wan, X. T-CVAE: Transformer-Based Conditioned Variational Autoencoder for Story Completion. In Proceedings of the Twenty-Eighth International Joint Conference on Artificial Intelligence, Macao, China, 10–16 August 2019. [Google Scholar]
- Zhang, D.L.; Li, M.C.; Tian, D.; Song, L.G.; Shen, Y. Intelligent Text Recognition Based on Multi-Feature Channels Network for Construction Quality Control. Adv. Eng. Inform. 2022, 53, 101669. [Google Scholar] [CrossRef]
- Mahbub, S.; Pardede, E.; Kayes, A. Detection of Harassment Type of Cyberbullying: A Dictionary of Approach Words and Its Impact. Secur. Commun. Netw. 2021, 2021, 5594175. [Google Scholar] [CrossRef]
- Blei, D.M.; Ng, A.Y.; Jordan, M.I. Latent Dirichlet Allocation. J. Mach. Learn. Res. 2003, 3, 993–1022. [Google Scholar]
- Quatrini, E.; Colabianchi, S.; Costantino, F.; Tronci, M. Clustering Application for Condition-Based Maintenance in Time-Varying Processes: A Review Using Latent Dirichlet Allocation. Appl. Sci. 2022, 12, 814. [Google Scholar] [CrossRef]
- Tomojiri, D.; Takaya, K.; Ise, T. Temporal Trends and Spatial Distribution of Research Topics in Anthropogenic Marine Debris Study: Topic Modelling Using Latent Dirichlet Allocation. Mar. Pollut. Bull. 2022, 182, 113917. [Google Scholar] [CrossRef]
- Shabani, T.; Jerie, S.; Shabani, T. A Comprehensive Review of the Swiss Cheese Model in Risk Management. Saf. Extrem. Environ. 2024, 6, 43–57. [Google Scholar] [CrossRef]
- Bian, W.; Tao, D.C. Dirichlet Mixture Allocation for Multiclass Document Collections Modeling. In Proceedings of the 9th IEEE International Conference on Data Mining, Miami Beach, FL, USA, 6–9 December 2009; pp. 711–715. [Google Scholar]
- Liu, Q.H. A Novel Chinese Text Topic Extraction Method Based on LDA. In Proceedings of the 4th International Conference on Computer Science and Network Technology (ICCSNT), Harbin, China, 19–20 December 2015; pp. 53–57. [Google Scholar]
- Prihatini, P.M.; Suryawan, I.K.; Mandia, I.N. Feature Extraction for Document Text Using Latent Dirichlet Allocation. In Proceedings of the 2nd International Joint Conference on Science and Technology (IJCST), Bali State Polytechnic, Bali, Indonesia, 27–28 September 2017. [Google Scholar]
- Jeon, J.; Padhye, S.; Yoon, S.; Cai, H.B.; Hastak, M. Identification of Metrics for the Purdue Index for Construction Using Latent Dirichlet Allocation. J. Manag. Eng. 2021, 37, 04021067. [Google Scholar] [CrossRef]
- Ding, Z.K.; Liu, R.S.; Yuan, H.P. A Text Mining-Based Thematic Model for Analyzing Construction and Demolition Waste Management Studies. Environ. Sci. Pollut. Res. 2021, 28, 30499–30527. [Google Scholar] [CrossRef] [PubMed]
- Liu, Y.P.; Wang, J.W.; Tang, S.R.; Zhang, J.J.; Wan, J.Y.J. Integrating Information Entropy and Latent Dirichlet Allocation Models for Analysis of Safety Accidents in the Construction Industry. Buildings 2023, 13, 1831. [Google Scholar] [CrossRef]
- Wei, J.; Ying, H.; Yang, Y.; Zhang, W.; Yuan, H.; Zhou, J. Seismic Performance of Concrete-Filled Steel Tubular Composite Columns with Ultra High Performance Concrete Plates. Eng. Struct. 2023, 278, 115500. [Google Scholar] [CrossRef]
- Yao, Y.; Huang, H.; Zhang, W.; Ye, Y.; Liu, Y. Seismic Performance of Steel-PEC Spliced Frame Beam. J. Constr. Steel Res. 2022, 197, 107456. [Google Scholar] [CrossRef]
- Wei, J.; Xie, Z.; Zhang, W.; Luo, X.; Yang, Y.; Chen, B. Experimental Study on Circular Steel Tube-Confined Reinforced UHPC Columns under Axial Loading. Eng. Struct. 2021, 230, 111599. [Google Scholar] [CrossRef]
- Kuta, M.; Kitowski, J. Comparison of Latent Semantic Analysis and Probabilistic Latent Semantic Analysis for Documents Clustering. Comput. Inform. 2014, 33, 652–666. [Google Scholar]
- Liu, Y.; Jin, Z.P. A Text Classification Model Constructed by Latent Dirichlet Allocation and Deep Learning. In Proceedings of the 4th International Conference on Mechatronics, Materials, Chemistry and Computer Engineering (ICMMCCE), Xi’an, China, 12–13 December 2015; pp. 2501–2504. [Google Scholar]
- Park, L.A.F.; Ramamohanarao, K. The Sensitivity of Latent Dirichlet Allocation for Information Retrieval. In Proceedings of the Joint European Conference on Machine Learning (ECML)/European Conference on Principles and Practice of Knowledge Discovery in Databases (PKDD), Bled, Slovenia, 7–11 September 2009; pp. 176–188. [Google Scholar]
- Osmani, A.; Mohasefi, J.B.; Gharehchopogh, F.S. Enriched Latent Dirichlet Allocation for Sentiment Analysis. Expert Syst. 2020, 37, e12527. [Google Scholar] [CrossRef]
- Xiao, H.; Stibor, T. Efficient Collapsed Gibbs Sampling for Latent Dirichlet Allocation. In Proceedings of the 2nd Asian Conference on Machine Learning (ACML), Tokyo Institute of Technology, Tokyo, Japan, 8–10 November 2010; pp. 63–78. [Google Scholar]
- Blei, D.M. Probabilistic topic models. Commun. ACM 2012, 55, 77–84. [Google Scholar] [CrossRef]











| Document | Construction Worker | Welding Rod | Storage | Steel Component | Bending | Steel | Chemical Composition | Cold Brittleness |
|---|---|---|---|---|---|---|---|---|
| 1 | 1 | 1 | 1 | 0 | 0 | 0 | 0 | 0 |
| 2 | 0 | 0 | 1 | 1 | 1 | 0 | 0 | 0 |
| 3 | 0 | 0 | 0 | 0 | 0 | 1 | 1 | 1 |
| Category | Glossary | Description |
|---|---|---|
| Site Acceptance | site acceptance (T1-1) | Preliminary quality inspection of steel materials before arrival at the construction site to ensure they meet the project specifications. |
| Storage | storage (T1-2) | Proper storage of materials to prevent damage caused by environmental factors such as rust or deformation. |
| Quality Inspection | random inspection (T1-3) | Regularly conducting quality tests by randomly sampling from batches to ensure batch consistency. |
| Material Composition | chemical composition (T1-4) | Inspecting the chemical composition of steel materials to ensure they meet strength and corrosion resistance requirements. |
| Coating | coating (T1-5) | Checking the quality of coatings, including coating uniformity and adhesion, to prevent corrosion and damage. |
| Material Management | mixing (T1-6) | Avoiding the mixing of different grades or types of materials to maintain structural integrity and safety. |
| substitution (T1-7) | Selecting suitable alternative materials when the original materials are unavailable and ensuring they meet standards. | |
| Transportation | transportation method (T1-8) | Choosing appropriate transportation methods to protect materials from damage, such as avoiding excessive vibration or pressure. |
| Structural Integrity | eccentricity (T1-9) | Monitoring the eccentric installation of materials or components in the structure to prevent future structural failure. |
| Tracking | material marking (T1-10) | Marking materials clearly for easy identification and usage, and avoiding misuse or confusion. |
| Category | Glossary | Description |
|---|---|---|
| Material | Steel Components (T2-1) | Main processing materials and products. |
| Personnel | Construction Workers (T2-2) | Key personnel who operate and supervise the processing process. |
| Equipment | Mechanical Equipment (T2-3) | Equipment that carries out the actual processing tasks, whose performance directly affects the quality of processing. |
| Processing Issues | Excessive Deviations (T2-4) | Issues where processing dimensions or specifications exceed the predetermined range. |
| Correcting Deviations (T2-5) | Issues of adjusting errors during processing to meet specification requirements. | |
| Cutting Defects (T2-6) | Irregular or inaccurate cuts that occur during the cutting process. | |
| Hole-making Errors (T2-7) | Issues with drilling locations or sizes not meeting specifications. | |
| Quality Control | Coating Quality (T2-8) | Whether the coating applied to the steel components meets quality standards. |
| Structural Integrity | Bending (T2-9) | Unexpected bending that occurs in steel components during processing or use. |
| Layered Tearing (T2-10) | Tearing between material layers due to processing or load effects. |
| Category | Glossary | Description |
|---|---|---|
| Welding Equipment | Welding Machine (T3-1) | Mechanical equipment used for stud welding operations, where its quality directly affects the stability and durability of the weld points. |
| Welding Gun (T3-2) | Handheld or mechanized welding tools used to precisely control the welding process and position. | |
| Welding Materials | Weld Seam (T3-3) | The weld joint area, which must meet quality standards to ensure joint strength and durability. |
| Welding Flux (T3-4) | Materials used during the welding process to protect the weld seam from oxidation and impurity contamination. | |
| Welding Rod (T3-5) | Materials consumed during welding, which require the correct type and quality to achieve optimal welding results. | |
| Welding Operations | Preheating (T3-6) | Preheating of materials before starting welding to prevent cracking or stress concentration during the process. |
| Arc Striking Plate (T3-7) | An auxiliary tool used at the start of the welding process to help stabilize the arc and reduce instability during arc initiation. | |
| Quality Control | Fabrication Error (T3-8) | Dimensional or positional deviations that may occur during the welding process, which need to be minimized. |
| Protective Measures (T3-9) | Safety measures taken during welding, including personal protective equipment and on-site safety measures, to prevent accidents. | |
| Environmental Conditions | Weather Conditions (T3-10) | External weather conditions, such as wind speed, temperature, and humidity, which can affect the quality and safety of welding. |
| Category | Glossary | Description |
|---|---|---|
| Connection Materials | High-Strength Bolts (T4-1) | The main connecting components must ensure that materials and strength comply with engineering standards. |
| Bolt Hole Diameter (T4-2) | The diameter of the bolt holes must be precise to ensure correct bolt installation and mechanical performance. | |
| Connection Plate (T4-3) | Matching plates for the bolts are crucial, with the thickness of the plates and the precision of the hole positions being key factors. | |
| Construction Process | Initial Tightening (T4-4) | The first stage of bolt tightening involves setting the foundational torque. |
| Overtightening (T4-5) | Overtightening beyond the recommended torque can cause connection failure or bolt damage. | |
| Undertightening (T4-6) | Insufficient tightening can affect the stability and safety of the connection. | |
| Construction Equipment | Wrench Precision (T4-7) | The wrenches used must be precisely calibrated to ensure the correct torque is applied. |
| Construction Techniques | Construction Personnel (T4-8) | The skills and experience of the construction personnel directly impact the quality of the connection. |
| Sequence (T4-9) | The sequence of tightening bolts is important; the correct sequence can prevent structural deformations and stress concentration. | |
| Surface Treatment | Friction Surface (T4-10) | The contact surfaces of the bolt connections need appropriate treatment to enhance the friction coefficient and connection stability. |
| Category | Glossary | Description |
|---|---|---|
| Connection Preparation | Factory Preassembly (T5-1) | Components are pre-assembled in the factory to ensure precision and speed during on-site installation. |
| Axis Misalignment (T5-2) | The alignment of component axes must be precise to prevent impacts on structural load-bearing capacity. | |
| Connection Techniques | Jointing Method (T5-3) | The technical method of component connection, such as welding or bolting, affects the strength and durability of the connection. |
| Assembly Process (T5-4) | The specific process flow of component assembly affects the final quality and performance of the components. | |
| Contact Area (T5-5) | The integrity and size of the contact area affect the mechanical performance and stability of the components. | |
| Surface Treatment | Milling Precision (T5-6) | The machining precision of the component contact surfaces; higher precision can enhance the tightness and stability of the connection. |
| Hoisting Operations | Lifting Method (T5-7) | Selecting the appropriate lifting method to ensure the safety and stability of the components during hoisting. |
| Hoisting Equipment (T5-8) | The type and performance of the equipment used for lifting components must be suitable for the specific weight and dimensions of the components. | |
| Structural Impact | Deformation (T5-9) | Deformation of components during manufacturing, transportation, or installation must be kept within safe limits. |
| Arching (T5-10) | Irregularities in components after installation, which may be caused by installation errors or material defects. |
| Serial Number | Cronbach’s α | Standardization Cronbach’s α | Number of Items | Sample Size |
|---|---|---|---|---|
| Data | 0.918 | 0.914 | 50 | 178 |
Disclaimer/Publisher’s Note: The statements, opinions and data contained in all publications are solely those of the individual author(s) and contributor(s) and not of MDPI and/or the editor(s). MDPI and/or the editor(s) disclaim responsibility for any injury to people or property resulting from any ideas, methods, instructions or products referred to in the content. |
© 2024 by the authors. Licensee MDPI, Basel, Switzerland. This article is an open access article distributed under the terms and conditions of the Creative Commons Attribution (CC BY) license (https://creativecommons.org/licenses/by/4.0/).
Share and Cite
Zhao, Y.; Zhang, J.; Mu, E. NLP-Based Approach for Identifying Quality Risk Factors in Steel Structure Construction. Buildings 2024, 14, 3493. https://doi.org/10.3390/buildings14113493
Zhao Y, Zhang J, Mu E. NLP-Based Approach for Identifying Quality Risk Factors in Steel Structure Construction. Buildings. 2024; 14(11):3493. https://doi.org/10.3390/buildings14113493
Chicago/Turabian StyleZhao, Yuhong, Jingyi Zhang, and Enyi Mu. 2024. "NLP-Based Approach for Identifying Quality Risk Factors in Steel Structure Construction" Buildings 14, no. 11: 3493. https://doi.org/10.3390/buildings14113493
APA StyleZhao, Y., Zhang, J., & Mu, E. (2024). NLP-Based Approach for Identifying Quality Risk Factors in Steel Structure Construction. Buildings, 14(11), 3493. https://doi.org/10.3390/buildings14113493
