Study of Flow Characteristics and Anti-Scour Protection Around Tandem Piers Under Ice Cover
Abstract
1. Introduction
2. Experimental Setup and Program
2.1. Experimental Setup and Model
2.2. Experimental Program Design
2.2.1. Design of Localized Scour Experiments
2.2.2. Design of Anti-Impact Protection Test
2.3. Experimental Phenomena
2.3.1. Localized Scour Experimental Phenomena
2.3.2. Reduction in Impact Protection Test Phenomena
3. Transient Analysis
3.1. Quadrant Analysis
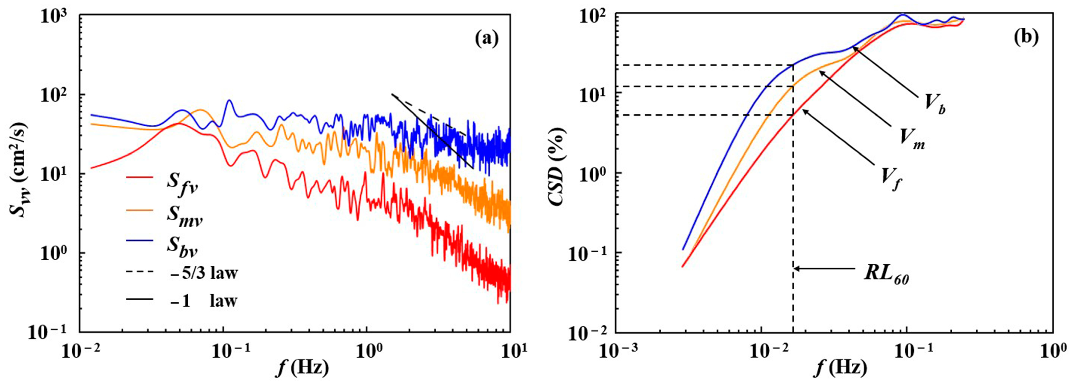
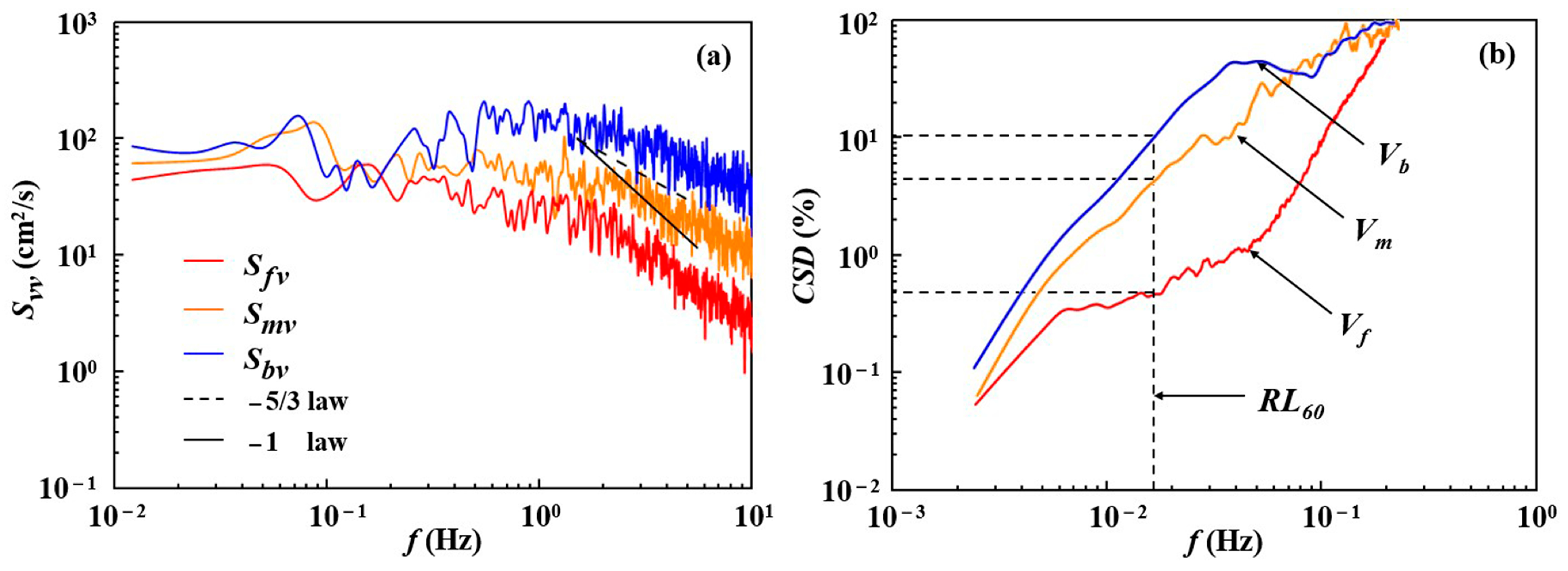
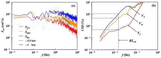
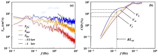
3.2. Energy Spectral Analysis
4. Impact Analysis of Scour Reduction and Protective Properties
4.1. Standard Errors
4.2. Loss of Variance
5. Conclusions
Author Contributions
Funding
Data Availability Statement
Conflicts of Interest
References
- Wardhana, K.; Hadipriono, F.C. Analysis of Recent Bridge Failures in the United States. J. Perform. Constr. Facil. 2003, 17, 144–150. [Google Scholar] [CrossRef]
- Namaee, M.R.; Sui, J. Velocity Profiles and Turbulence Intensities around Side-by-Side Bridge Piers Under Ice-Covered Flow Condition. J. Hydrol. Hydromech. 2020, 68, 70–82. [Google Scholar] [CrossRef]
- Namaee, M.R.; Sui, J. Impact of Armour Layer on the Depth of Scour Hole around Side-by-Side Bridge Piers Under Ice-Covered Flow Condition. J. Hydrol. Hydromech. 2019, 67, 240–251. [Google Scholar] [CrossRef]
- Mohammed, T.A.; Noor, M.J.M.M.; Ghazali, A.H.; Yusuf, B.; Saed, K. Physical Modeling of Local Scouring Around Bridge Piers in Erodable Bed. J. King Saud Univ.—Eng. Sci. 2007, 19, 195–206. [Google Scholar] [CrossRef]
- Vijayasree, B.A.; Eldho, T.I.; Mazumder, B.S.; Ahmad, N. Influence of Bridge Pier Shape on Flow Field and Scour Geometry. Int. J. River Basin Manag. 2019, 17, 109–129. [Google Scholar] [CrossRef]
- Gautam, P.; Eldho, T.I.; Mazumder, B.S.; Behera, M.R. Experimental Study of Flow and Turbulence Characteristics around Simple and Complex Piers Using PIV. Exp. Therm. Fluid Sci. 2019, 100, 193–206. [Google Scholar] [CrossRef]
- Galan, A.; Simarro, G.; Fael, C.; Cardoso, A.H. Clear-Water Scour at Submerged Pile Groups. Int. J. River Basin Manag. 2019, 17, 101–108. [Google Scholar] [CrossRef]
- Cameron, S.M.; Nikora, V.I.; Stewart, M.T. Very-Large-Scale Motions in Rough-Bed Open-Channel Flow. J. Fluid Mech. 2017, 814, 416–429. [Google Scholar] [CrossRef]
- Duan, Y.; Chen, Q.; Li, D.; Zhong, Q. Contributions of Very Large-Scale Motions to Turbulence Statistics in Open Channel Flows. J. Fluid Mech. 2020, 892, A3. [Google Scholar] [CrossRef]
- Zhao, M.; Cheng, L.; Zang, Z. Experimental and Numerical Investigation of Local Scour around a Submerged Vertical Circular Cylinder in Steady Currents. Coast. Eng. 2010, 57, 709–721. [Google Scholar] [CrossRef]
- Zhao, J.; Cui, C.; Zhang, P.; Wang, K.; Zhao, M. Parameter Sensitivity Analysis of the Seismic Response of a Piled Wharf Structure. Buildings 2023, 13, 349. [Google Scholar] [CrossRef]
- Carnacina, I.; Leonardi, N.; Pagliara, S. Characteristics of Flow Structure around Cylindrical Bridge Piers in Pressure-Flow Conditions. Water 2019, 11, 2240. [Google Scholar] [CrossRef]
- Khaple, S.; Hanmaiahgari, P.R.; Gaudio, R.; Dey, S. Interference of an Upstream Pier on Local Scour at Downstream Piers. Acta Geophys. 2017, 65, 29–46. [Google Scholar] [CrossRef]
- Valela, C.; Sirianni, D.A.B.; Nistor, I.; Rennie, C.D.; Almansour, H. Bridge Pier Scour under Ice Cover. Water 2021, 13, 536. [Google Scholar] [CrossRef]
- Khaple, S.; Hanmaiahgari, P.R.; Gaudio, R.; Dey, S. Splitter Plate as a Flow-Altering Pier Scour Countermeasure. Acta Geophys. 2017, 65, 957–975. [Google Scholar] [CrossRef]
- Huang, H.Q. Reformulation of the Bed Load Equation of Meyer-peter and Müller in Light of the Linearity Theory for Alluvial Channel Flow. Water Resour. Res. 2010, 46, 2009WR008974. [Google Scholar] [CrossRef]
- Unger, J.; Hager, W.H. Down-Flow and Horseshoe Vortex Characteristics of Sediment Embedded Bridge Piers. Exp Fluids 2006, 42, 1–19. [Google Scholar] [CrossRef]
- Graf, W.H.; Istiarto, I. Flow Pattern in the Scour Hole around a Cylinder. J. Hydraul. Res. 2002, 40, 13–20. [Google Scholar] [CrossRef]
- Beheshti, A.A.; Ataie-Ashtiani, B. Experimental Study of Three-Dimensional Flow Field around a Complex Bridge Pier. J. Eng. Mech. 2010, 136, 143–154. [Google Scholar] [CrossRef]
- Ataie-Ashtiani, B.; Aslani-Kordkandi, A. Flow Field around Side-by-Side Piers with and without a Scour Hole. Eur. J. Mech.—B/Fluids 2012, 36, 152–166. [Google Scholar] [CrossRef]
- Wang, W.; Huang, Z.; Zhi, D.; Xia, P.; Gong, F.; Lin, P. Investigation of Opening and Closing Water Boundary Conditions on Frost Damage Development in Concrete. Buildings 2024, 14, 2451. [Google Scholar] [CrossRef]
- Kumar, A.; Kothyari, U.C. Three-Dimensional Flow Characteristics within the Scour Hole around Circular Uniform and Compound Piers. J. Hydraul. Eng. 2012, 138, 420–429. [Google Scholar] [CrossRef]
- Ettema, R.; Braileanu, F.; Muste, M. Method for Estimating Sediment Transport in Ice-Covered Channels. J. Cold Reg. Eng. 2000, 14, 130–144. [Google Scholar] [CrossRef]
- Wu, P.; Balachandar, R.; Sui, J. Local Scour around Bridge Piers under Ice-Covered Conditions. J. Hydraul. Eng. 2016, 142, 04015038. [Google Scholar] [CrossRef]
- Cheng, M.-L.; Gao, W.-W. Study on the Impact Law of V-Shaped Gully Debris Avalanches on Double-Column Piers. Buildings 2024, 14, 577. [Google Scholar] [CrossRef]
- Wei, J.; Li, Y.; Chen, D.; Nwankwegu, A.S.; Tang, C.; Bu, M.; Zhang, S. The Influence of Ship Wave on Turbulent Structures and Sediment Exchange in Large Shallow Lake Taihu, China. J. Hydrol. 2020, 586, 124853. [Google Scholar] [CrossRef]
- Sui, J.; Wang, J.; He, Y.; Krol, F. Velocity Profiles and Incipient Motion of Frazil Particles under Ice Cover. Int. J. Sediment Res. 2010, 25, 39–51. [Google Scholar] [CrossRef]
- Lee, J.; Ahn, J. Analysis of Bed Sorting Methods for One Dimensional Sediment Transport Model. Sustainability 2023, 15, 2269. [Google Scholar] [CrossRef]
- Whitehouse, R.J.S.; Stroescu, E.I. Scour Depth Development at Piles of Different Height under the Action of Cyclic (Tidal) Flow. Coast. Eng. 2023, 179, 104225. [Google Scholar] [CrossRef]
- Beltaos, S. River Ice Breakup Processes: Recent Advances and Future Directions. Can. J. Civ. Eng. 2007, 34, 703–716. [Google Scholar] [CrossRef]
- Wei, K.; Qiu, F.; Qin, S. Experimental and Numerical Investigation into Effect of Skirted Caisson on Local Scour around the Large-Scale Bridge Foundation. Ocean Eng. 2022, 250, 111052. [Google Scholar] [CrossRef]
- Escauriaza, C.; Sotiropoulos, F. Lagrangian Model of Bed-Load Transport in Turbulent Junction Flows. J. Fluid Mech. 2011, 666, 36–76. [Google Scholar] [CrossRef]
- Khosronejad, A.; Kang, S.; Sotiropoulos, F. Experimental and Computational Investigation of Local Scour around Bridge Piers. Adv. Water Resour. 2012, 37, 73–85. [Google Scholar] [CrossRef]
- Nagel, T.; Chauchat, J.; Bonamy, C.; Liu, X.; Cheng, Z.; Hsu, T.-J. Three-Dimensional Scour Simulations with a Two-Phase Flow Model. Adv. Water Resour. 2020, 138, 103544. [Google Scholar] [CrossRef]
- Melville, B.W. Local Scour at Bridge Abutments. J. Hydraul. Eng. 1992, 118, 615–631. [Google Scholar] [CrossRef]
- Goring, D.G.; Nikora, V.I. Despiking Acoustic Doppler Velocimeter Data. J. Hydraul. Eng. 2002, 128, 117–126. [Google Scholar] [CrossRef]
- Das, S.; Mazumdar, A. Turbulence Flow Field around Two Eccentric Circular Piers in Scour Hole. Int. J. River Basin Manag. 2015, 13, 343–361. [Google Scholar] [CrossRef]
- Buffin-Bélanger, T.; Roy, A.G. 1 Min in the Life of a River: Selecting the Optimal Record Length for the Measurement of Turbulence in Fluvial Boundary Layers. Geomorphology 2005, 68, 77–94. [Google Scholar] [CrossRef]
- Yang, Y.; Qi, M.; Li, J.; Ma, X. Evolution of Hydrodynamic Characteristics with Scour Hole Developing around a Pile Group. Water 2018, 10, 1632. [Google Scholar] [CrossRef]
- Dey, S.; Barbhuiya, A.K. Clear-Water Scour at Abutments in Thinly Armored Beds. J. Hydraul. Eng. 2004, 130, 622–634. [Google Scholar] [CrossRef]
- Rouzegar, M.; Clark, S.P. Experimental Investigation of Sediment Transport in Partially Ice-Covered Channels. Int. J. Sediment Res. 2023, 38, 769–779. [Google Scholar] [CrossRef]
- Wu, P.; Hirshfield, F.; Sui, J. Further Studies of Incipient Motion and Shear Stress on Local Scour around Bridge Abutment under Ice Cover. Can. J. Civ. Eng. 2014, 41, 892–899. [Google Scholar] [CrossRef]
- Day, R.W. SRICOS: Prediction of Scour Rate in Cohesive Soils at Bridge Piers. J. Geotech. Geoenviron. Eng. 2000, 126, 1028–1029. [Google Scholar] [CrossRef]
- Raeisi, N.; Ghomeshi, M. Effect of Bridge Pier Diameter on Maximum Depth of Scour Impacts on the Environment. SN Appl. Sci. 2020, 2, 1794. [Google Scholar] [CrossRef]
- Nikora, V.; Goring, D. Flow Turbulence over Fixed and Weakly Mobile Gravel Beds. J. Hydraul. Eng. 2000, 126, 679–690. [Google Scholar] [CrossRef]





























| Case | D/cm | H/cm | U/Uc | Fr | Re |
|---|---|---|---|---|---|
| C1/2/3 | 4.8 | 15 | 0.82 | 0.20 | 11,808 |
| C4/5/6 | 4.8 | 15 | 0.94 | 0.23 | 13,536 |
| L1/2/3 | 4.8 | 15 | 1.21 | 0.29 | 17,424 |
| Protection Type | Factor | Sediment Loss at Specific Times | Anti-Scour Coefficient | ||
|---|---|---|---|---|---|
| Open Channel Current | Smooth Ice Cover | Rough Ice Cover | |||
| Single pier protection | mean value | 1.541 | 0.246 | 0.101 | 9.214 |
| standard deviation | 0.157 | 0.059 | 0.012 | 0.906 | |
| Double pier protection | mean value | 0.254 | 0.060 | 0.042 | 34.436 |
| standard deviation | 0.096 | 0.006 | 0.015 | 4.759 | |
| Significance p-value | 0.008 | 0.007 | 0.021 | 0.013 | |
| Type | U/Uc | Surface Area of Scour Hole/cm2 | Surface Area Reduction Rate/% | ||||
|---|---|---|---|---|---|---|---|
| Open-Channel Current | Smooth Ice Cover | Rough Ice Cover | Open-Channel Current | Smooth Ice Cover | Rough Ice Cover | ||
| Unprotected | 0.82 | 220.5 | 336.5 | 413.4 | / | / | / |
| 0.94 | 356.6 | 485.2 | 559.2 | / | / | / | |
| 1.21 | 488.7 | 525.8 | 756.3 | / | / | / | |
| Single-pier protection | 0.82 | 156.4 | 240.2 | 308.5 | 29.1 | 28.6 | 25.4 |
| 0.94 | 250.6 | 358.2 | 426.1 | 29.7 | 26.2 | 23.8 | |
| 1.21 | 281.5 | 426.8 | 531.9 | 42.4 | 18.2 | 29.7 | |
| Double-pier protection | 0.82 | 108.1 | 183.4 | 254.9 | 50.9 | 45.5 | 38.3 |
| 0.94 | 165.4 | 276.1 | 328.4 | 39.0 | 43.1 | 41.3 | |
| 1.21 | 206.7 | 336.4 | 431.9 | 57.7 | 36.0 | 42.9 | |
Disclaimer/Publisher’s Note: The statements, opinions and data contained in all publications are solely those of the individual author(s) and contributor(s) and not of MDPI and/or the editor(s). MDPI and/or the editor(s) disclaim responsibility for any injury to people or property resulting from any ideas, methods, instructions or products referred to in the content. |
© 2024 by the authors. Licensee MDPI, Basel, Switzerland. This article is an open access article distributed under the terms and conditions of the Creative Commons Attribution (CC BY) license (https://creativecommons.org/licenses/by/4.0/).
Share and Cite
Gao, P.; Chang, L.; Mou, X.; Gao, F.; Su, H.; Zhang, B.; Shang, Z.; Gao, L.; Qin, H.; Ma, H. Study of Flow Characteristics and Anti-Scour Protection Around Tandem Piers Under Ice Cover. Buildings 2024, 14, 3478. https://doi.org/10.3390/buildings14113478
Gao P, Chang L, Mou X, Gao F, Su H, Zhang B, Shang Z, Gao L, Qin H, Ma H. Study of Flow Characteristics and Anti-Scour Protection Around Tandem Piers Under Ice Cover. Buildings. 2024; 14(11):3478. https://doi.org/10.3390/buildings14113478
Chicago/Turabian StyleGao, Pengcheng, Lei Chang, Xianyou Mou, Feng Gao, Haitao Su, Bo Zhang, Zhiqiang Shang, Lina Gao, Haode Qin, and Hui Ma. 2024. "Study of Flow Characteristics and Anti-Scour Protection Around Tandem Piers Under Ice Cover" Buildings 14, no. 11: 3478. https://doi.org/10.3390/buildings14113478
APA StyleGao, P., Chang, L., Mou, X., Gao, F., Su, H., Zhang, B., Shang, Z., Gao, L., Qin, H., & Ma, H. (2024). Study of Flow Characteristics and Anti-Scour Protection Around Tandem Piers Under Ice Cover. Buildings, 14(11), 3478. https://doi.org/10.3390/buildings14113478
