Next Article in Journal
Numerical Modeling of Distributed Macro-Synthetic Fiber and Deformed Bar Reinforcement to Resist Shear
Previous Article in Journal
An Experimental Study and Result Analysis on the Dynamic Effective Bond Length of a Carbon Fiber-Reinforced Polymer Sheet Attached to a Concrete Surface
 
 
Font Type:
Arial Georgia Verdana
Font Size:
Aa Aa Aa
Line Spacing:
Column Width:
Background:
Article

Experimental Analysis of the Mechanical Behavior of Shear Connectors for Precast Sandwich Wall Panels When Subjected to the Push-Out Tests

by
John Kennedy Fonsêca Silva
* and
Rodrigo de Melo Lameiras
Faculty of Technology, Univsity of Brasília, Brasília 70.910-900, DF, Brazil
*
Author to whom correspondence should be addressed.
Buildings 2024, 14(10), 3246; https://doi.org/10.3390/buildings14103246
Submission received: 13 August 2024 / Revised: 10 October 2024 / Accepted: 12 October 2024 / Published: 14 October 2024
(This article belongs to the Section Building Structures)

Abstract

Precast concrete sandwich panels consist of two outer layers connected by a central connector and an inner insulating layer that enhances thermal and acoustic performance. A key challenge with these panels is eliminating thermal bridges caused by metallic connectors, which reduce energy efficiency. PERFOFRP connectors, made from perforated glass fiber-reinforced polymer (GFRP) sheets, have been proposed to address this issue. These connectors feature holes that allow concrete to pass through, creating anchoring pins that enhance shear resistance and prevent the separation of the concrete layers. This research aimed to evaluate the effect of the diameter and number of holes on the mechanical strength of PERFOFRP connectors. Three diameters not previously reported in the literature were selected: 12.70 mm, 15.88 mm, and 19.05 mm. A total of 18 specimens, encompassing 6 different configurations with varying numbers of holes, underwent push-out tests. The most significant resistance increase was a 15% gain over non-perforated connectors, observed in the configuration featuring three holes of 19.05 mm. The connections exhibited rigid and nearly linear behavior until failure.

1. Introduction

Precast concrete walls with built-in insulation, known as sandwich panels, are composed of two outer concrete layers with an insulating material layer in between, which enhances the building’s thermal performance. To ensure that the panel remains intact during lifting, transportation, and throughout the building’s lifespan, connectors are required. These connectors anchor the outer concrete layers by passing through the inner insulating layer. Typically, the outer layers are made of reinforced concrete, while the inner layer consists of expanded polystyrene (EPS) sheets. As noted in the PCI Committee Report [1], sandwich panels are used in various types of structures, including residential, commercial, institutional, and industrial buildings, as well as temperature-controlled environments, warehouses, and more.
Sandwich panels can serve either a structural or weatherproofing role, and they are commonly used for both the interior and exterior of buildings, with exterior applications being the most prevalent. These panels can be categorized as follows: (a) non-composite, where the concrete layers function independently; (b) composite, where the concrete layers work together to bear the loads; and (c) partial composite, which combines aspects of both previous types [1]. The degree of composite action largely depends on the stiffness, strength, and distribution of the connectors throughout the panel [2].
The sandwich panel represents a significant advancement in sustainable architecture, offering substantial benefits for achieving certification in sustainable buildings [3]. As energy efficiency demands and regulations continue to rise, the industry has increasingly adopted sandwich panels to enhance the thermal performance of buildings while maintaining the speed and efficiency of precast concrete construction.
Over the years, several types of connectors have been studied with the goal of improving the mechanical performance of these panels. Early research focused on the mechanical behavior of connectors made from various materials, such as concrete and steel [4], steel trusses [5,6], and steel plates [7].
However, as sandwich panel technology evolves to meet energy efficiency goals, one major challenge remains: eliminating thermal bridges caused by connectors, particularly those made of metal. Studies have shown that even steel pin connectors, which occupy as little as 0.08% of the panel’s area, can reduce the thermal performance of the panels by up to 38% [8].
PERFOFRP refers to the use of connectors made from glass fiber-reinforced polymers (GFRP) in the form of flat, perforated plates. GFRP has a significantly lower thermal conductivity (0.04 W/m·K) compared to steel and concrete, which have thermal conductivities of 50.2 W/m·K and 0.8 W/m·K, respectively [9]. These perforated sheets are designed with a specific number of holes through which concrete passes, forming anchoring pins that enhance shear resistance and prevent the separation of the concrete layers.
Currently, the most common FRP connectors are available in a variety of forms [10,11], including FRP grids [12], carbon fiber-reinforced polymer (CFRP) grids [13,14], GFRP trusses [15], GFRP shells [16], and X and Y FRP configurations [17], among others [18,19]. However, PERFOFRP connectors offer distinct advantages over these conventional types, as they can be easily standardized for mass production or customized for specific applications. Additionally, they do not require extensive industrial facilities or significant investment in machinery for production.
The primary limitation associated with PERFOFRP connectors is the cost of manufacturing the connection. Selecting the appropriate type of GFRP requires balancing production costs with the mechanical strength of the connection. Higher-quality materials, such as fiber-oriented composites, tend to enhance the connection’s strength but are generally more expensive. This can make their use impractical if production costs become prohibitive. Conversely, more affordable materials, like random fiber composites, typically offer lower resistance, which can result in unsatisfactory mechanical performance.
PERFOFRP connectors were developed by researchers at the University of Minho in Portugal [20]. Their initial study included tests to evaluate the shear capacity and bonding strength of the connectors, using pull-out tests with 30 mm diameter holes. The researchers also assessed the mechanical behavior of the panels and analyzed the load-bearing capacity of the GFRP connectors. They explored the seismic performance of precast sandwich wall panels with steel fiber-reinforced concrete layers and FRP connectors, consolidating knowledge on sandwich structural panels. The studies highlighted key factors affecting performance, such as FRP type, hole presence, and adhesion between concrete and GFRP, with push-out tests showing ultimate loads ranging from 29.4 kN to 122.2 kN.
Other researchers, such as Chen et al. [21] and Norris and Chen [22] from Iowa State University in the United States, have studied the behavior of this type of connection under bending tests. More recently, Huang and Dai [2] at Hong Kong Polytechnic University conducted a series of shear tests (push-out tests) on PERFOFRP connectors. Their results highlighted the significant influence that variations in connection geometry and FRP materials have on the mechanical behavior of these connectors, with the ultimate load ranging from 15.5 kN to 65.5 kN.
Silva et al. [23] conducted a series of push-out tests on perforated plate connectors made from glass fiber-reinforced polymer. The material used by the authors was inspired by the work of Lameiras [20], but they employed connectors with different geometries. They tested connectors with hole diameters of 25.40 mm and 31.75 mm, achieving average ultimate resistance capacities ranging between 22.21 kN and 27.85 kN.
The PERFOFRP connectors have three basic mechanisms that guarantee their shear strength [20]: the concrete front (Figure 1a), the concrete dowel resulting from the perforations (Figure 1b), and the friction between the concrete and the GFRP (Figure 1c).
The failure of the PERFOFRP connector can occur in the four following distinct modes: failure of the exposed FRP, which crosses the insulating material layer (Figure 2b) [23]; failure of the concrete front (Figure 2a); failure of the FRP embedded in the concrete (Figure 2c); failure of the concrete dowels (Figure 2d) [20]. It is always preferable to avoid failure in the exposed FRP. This is because such a fracture, given the material’s brittle nature, is likely to happen suddenly. For safety considerations, this is not advisable for engineering materials, particularly those serving a structural role.
The objective of this paper is to evaluate the effect of varying hole diameters and quantities on the mechanical behavior of connections formed by PERFOFRP connectors and steel-reinforced concrete layers through a comprehensive series of push-out tests. The study introduces an innovative approach by testing connectors with three different hole diameters—12.70, 15.88, and 19.05 mm—arranged in configurations of one, two, or three holes. Unlike previous research, this study specifically focuses on the rupture behavior of the FRP embedded in the concrete, offering new insights into the performance of these connectors under shear stress.

2. Materials and Methods

2.1. Manufacture of the Connection’s Representative Models

The connectors were fabricated from five sheets made of GFRP, using chopped strand mat (CSM) blankets with a surface density of 450 g/m2 each. The plates were produced through a vacuum resin infusion process, involving five layers infused with polyester resin. The material properties obtained were as follows: a thickness of 2.32 mm, an ultimate tensile stress of 187.74 MPa, and a longitudinal elastic modulus of 12.56 GPa.
After the connectors were manufactured, the formworks were assembled by arranging the steel, the insulating material (Expanded Polystyrene—EPS), and the connectors themselves (Figure 3a) in an appropriate manner to the desired geometry. The resistance mechanism from the friction between FRP and the concrete and/or concrete dowels were induced, eliminating the region of concrete responsible for activating the resistance mechanism from the concrete front. This was achieved by placing small blocks of EPS in the region that would be occupied by the concrete responsible for this mechanism, prior to concreting.
The specimens were concreted in a single pour with material from a plant, manufactured with a maximum characteristic aggregate dimension of 12.5 mm and a slump of 120 mm. After the hardening and curing of the mixture, the samples were demolded (Figure 3b) and characterized. Then (Figure 3c), the insulating material was removed (to eliminate the influence of friction between the insulator and the concrete), and steel plates, 2.0 mm thick, were fixed with polyester resin on both faces of the exposed FRP of both connectors (Figure 3d), with the aim of preventing ruptures in this region, which is not the object of study of the present research.
The specimens were produced following the geometry proposed by Huang and Dai [24], but with material properties more closely aligned with those of the composites manufactured by Lameiras [20], as illustrated in Figure 4.
For the identification of the specimens (as shown in Table 1 and Figure 5), the following nomenclature was used: SP-n-D-r, where SP stands for specimen, n represents the number of holes, D represents the diameter in millimeters [mm] of the holes, and r denotes the replica (A, B, C). The control specimen (without holes) was labeled as CTL.
Another relevant aspect is the constant maintenance of the D/d ratio at 1.8. In this case, d refers to the distance, in millimeters (mm), between the center of the hole and the interface line, projected onto the connector, between the concrete and the thermal insulation material. This ratio was standardized to ensure that, regardless of the hole diameter, the relative anchorage depth in the GFRP remains consistent for all connectors. This is important because the region of the GFRP in front of the hole is the area that experiences the highest mechanical stress during connector failure. Thus, maintaining this ratio ensures that the stress distribution is proportional to the size of the holes, ensuring uniform performance conditions. The values for this configuration are illustrated in Figure 5.
The concreting of the blocks was performed using material sourced from the plant, with a slump set at 10 ± 2 cm. The concrete exhibited the following mechanical properties: a compressive strength of 35.02 MPa (Class C35), a tensile strength of 4.69 MPa, and an elastic modulus of 26.86 GPa. These mechanical characteristics were measured at ages close to the execution of the push-out tests using cylindrical concrete specimens measuring 10 cm by 20 cm, which were cured alongside the blocks.

2.2. Test System

The tests were carried out on a testing machine for universal compression tests with displacement control (Figure 6). The outer layers of concrete were supported, and the inner layer was loaded until the end of the course of the displacement transducers. The vertical forces, measured using a load cell, were transferred to the connectors, which were subjected to shear forces. The relative displacements between the outer and inner layers of concrete were measured with two displacement transducers, fixed with a poka-yoke system, with one on the front face and another on the back face of the specimens.

3. Results

3.1. Cracking Patterns

Figure 7 shows the final appearance of the connectors extracted from the samples after the double shear tests (push-out tests). The left side of each connector corresponds to the portion that was embedded in the outer concrete layer, which rested on the metallic support. Consequently, the right side represents the region that was anchored in the inner concrete layer, where the load was applied.
During the push-out tests, it was observed that cracks began at the interface between the concrete and the GFRP connector, progressing towards the area where the thermal insulation would be located. The distribution and intensity of the cracks varied according to the connector configuration. Specimens with non-perforated connectors (SP-CTL) did not show cracking, instead only showing surface wear on the FRP. In contrast, the perforated connectors (SP-1-19.05, SP-2-19.05, SP-3-19.05, SP-3-15.88, and SP-3-12.70) exhibited cracks concentrated around the holes.
The number and diameter of the holes directly influenced the cracking pattern. Connectors with a higher number of holes (SP-3-19.05, SP-3-15.88, and SP-3-12.70) displayed more extensive and branched cracks, whereas connectors with only one hole (SP-1-19.05) showed more concentrated cracking. Connectors with larger hole diameters (19.05 mm) tended to show greater crack propagation, indicating a lower stress concentration around the holes, which results in improved tensile behavior.
Additionally, it was observed that the predominant failure occurred in the region of the GFRP embedded in the concrete, confirming that the induced failure mechanism was effective in ensuring the analysis of the connectors’ resistance without significant influence from other mechanisms. This behavior is consistent with the objectives of the tests, which aimed to evaluate the influence of the hole geometry (number and diameter) on the shear resistance of the GFRP connectors.
As shown in Figure 7, most cracks were concentrated in the region between the hole diameter and the projected line on the connector, corresponding to the interface between the concrete and the insulation material. This crack pattern aligns with the expectations set out in the methodology, which identified this area as critical due to stress concentrations resulting from the hole geometry and the force distribution along the connector. The mechanical load applied during the tests caused significant stress in this region, leading to the observed cracking behavior.

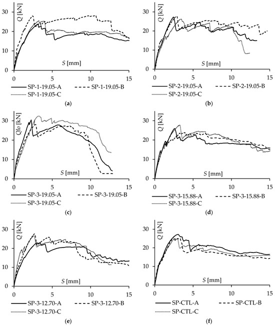
3.2. Loading Behavior Versus Relative Displacement

Figure 8 presents the load versus relative displacement curves for all tested shear connector configurations, including both perforated and non-perforated connectors.
All the tested connectors exhibited ductile behavior, characterized by a long yield plateau after reaching the maximum load. This behavior is directly associated with the formation of cracks in the GFRP and the strong bond between the GFRP and concrete. This significant adhesion allows the connector to maintain high shear resistance over an extended displacement range, even after reaching maximum load, resulting in a stable response and providing greater energy dissipation capacity.
The introduction of holes in the connectors proved efficient in increasing the maximum shear resistance. However, this also reduced the extension of the yield plateau. This occurs because perforations create stress concentrations, intensifying the formation of cracks around the holes. The presence of holes and excessive cracking reduce the bond between the GFRP and concrete, leading to premature collapse and shortening the yield plateau, generally after around 10 mm of displacement. This behavior is particularly observed in the SP-3-19.05 connector. Therefore, although holes increase the maximum resistance of the connectors, they reduce the extent of ductile behavior, since excessive cracking compromises the stability of the connector once the maximum load is reached.
Furthermore, the load versus relative displacement curves for the different types of connectors show good consistency, with clear patterns varying according to the number and diameter of the holes. This indicates adequate test repeatability as well as the significant influence of the geometric parameters of the holes on the mechanical performance of the shear connectors.

3.3. Ultimate Load, Relative Displacement, and Initial Stiffness

Table 2 presents the experimental results for each connector configuration tested. The metrics evaluated include the ultimate load per connector (Qlo.u), the corresponding relative displacement (Slo.u), and the initial stiffness (Kf). To verify the consistency of the experimental data, coefficients of variation (CV) were calculated based on the standard deviation (SD). Overall, the results indicate the good repeatability of the tests, with average CVs of 6.48% for the ultimate load, 16.53% for relative displacement, and 16.51% for initial stiffness. Figure 9 presents six graphs that relate the ultimate load (Figure 9a,b), relative displacement at the ultimate load (Figure 9c,d), and the initial stiffness (Figure 9e,f) for each connector configuration, considering the number and diameter of the holes. This visual representation enables a more detailed analysis of how these parameters influence the behavior of GFRP connectors.
When analyzing the ultimate load (Qlo.u), a variation among the different connector configurations is observed, with configuration SP-3-19.05 standing out, presenting the highest average value (30.31 kN), as shown in Figure 9a,b. This result demonstrates the positive impact of having multiple perforations with larger diameters, which tend to increase the shear resistance capacity of the connectors. This suggests potential for optimizing the connectors through geometric adjustments. This configuration was the only one to surpass the resistance of the connector without holes (SP-CTL) by more than 15%.
However, it is important to note that due to the strong adhesion between the GFRP and concrete, only connectors with 19.05 mm holes configured with two (SP-2-19.05) or three holes (SP-3-19.05) showed higher shear resistance than the connector without holes (SP-CTL), which recorded an average of 26.14 kN. This suggests that the presence of smaller holes (15.88 and 12.70 mm) or fewer holes (one or two) may not be sufficient to overcome the shear resistance provided by the strong adhesion between the GFRP and concrete, as shown in Figure 9a,b.
The relative displacement at the ultimate load (Slo.u) showed less significant variations among the different types of connectors, with average values ranging from 2.77 mm to 3.25 mm. The SP-3-15.88 configuration, with three holes of 15.88 mm, exhibited relatively higher displacement, indicating greater deformability before failure (Figure 9c,d).
Regarding initial stiffness (Kf), the SP-3-19.05 configuration stood out once more, presenting the highest average value of 14.11 kN/mm, surpassing other configurations, like SP-CTL, which showed 13.18 kN/mm. This highlights that the presence of multiple holes with larger diameters can enhance not only shear resistance but also affect the stiffness of the connection, as shown in Figure 9e,f.
The combined analysis of the graphs in Figure 9 and the data in Table 2 confirms that the diameter and number of holes are critical variables in the performance of GFRP connectors. The presence of 19.05 mm holes in greater numbers proved to be the most advantageous configuration in terms of ultimate load and initial stiffness, positively influencing these characteristics, while relative displacement was only slightly affected.
The rupture in the confined FRP region can be achieved by stiffening the area of contact between the FRP and the thermal insulation. This stiffening can be effectively implemented by bonding FRP sheets to the surface of the connector that is in contact with the insulating material. Reinforcing this area ensures that failure predominantly occurs in the FRP embedded in the concrete, enhancing not only the shear transfer and load capacity but also the ductility of the connection, thereby providing a more efficient structural performance for FRP connectors in sandwich panels.
Despite the advances achieved in this study, some limitations must be acknowledged. The results presented are based on laboratory tests conducted under controlled conditions, which may differ from field situations, particularly regarding the variability of materials and environmental conditions. Moreover, the study focused on specific configurations of hole diameters and quantities in PERFOFRP connectors, which, while providing relevant information on the behavior of these elements, may not cover all possible variations of connectors used in practice. The validation of the results was performed through the repeatability of the tests and the consistency of the data; however, future studies could broaden the scope, including numerical simulations and different loading conditions to further strengthen the conclusions presented.

4. Conclusions

This study presented an experimental program involving the execution of 18 push-out tests using PERFOFRP-type connections for sandwich panels to evaluate their mechanical behavior. The main conclusions drawn from this research are summarized below:
  • The behavior of the connectors during the tests was influenced by the presence, diameter, and number of holes. Specifically, it was found that connectors with holes of 19.05 mm diameter, configured with two or three holes, exhibited the highest ultimate load values (Qlo.u), surpassing the resistance of the non-perforated connector (SP-CTL) by more than 15%.
  • The bond between GFRP and concrete was a significant factor in the shear resistance of the connectors. This strong adherence resulted in a ductile response from the connectors, evidenced by the extended yield plateau after reaching the maximum load.
  • The presence of multiple holes with larger diameters (19.05 mm) increased both the shear resistance and the initial stiffness of the connectors. However, the addition of smaller holes (15.88 and 12.70 mm) or fewer holes (one or two) did not provide significant gains compared to the non-perforated connector.
  • The analysis of relative displacement at the ultimate load indicated no significant difference in displacement values among the connectors. Connectors with three holes of 15.88 mm showed a slight tendency for greater deformability before failure, but connectors with a diameter of 19.05 mm exhibited displacements similar to those of non-perforated connectors, showing that the presence of perforations did not significantly affect this parameter.
  • Lastly, the geometric optimization of the holes (quantity and diameter) may be an effective strategy to enhance the resistance and stiffness of GFRP connectors without significantly compromising relative displacement, resulting in optimized structural performance for concrete sandwich panels.

Author Contributions

Conceptualization, J.K.F.S. and R.d.M.L.; methodology, J.K.F.S.; validation, J.K.F.S. and R.d.M.L.; formal analysis, J.K.F.S.; investigation, J.K.F.S.; resources, R.d.M.L.; data curation, J.K.F.S.; writing—original draft preparation, J.K.F.S.; writing—review and editing, R.d.M.L.; visualization, J.K.F.S.; supervision, R.d.M.L.; project administration, R.d.M.L.; funding acquisition, R.d.M.L. All authors have read and agreed to the published version of the manuscript.

Funding

University of Brasília (Unb) and Brazilian National Council for Scientific and Technological Development (CNPq).

Data Availability Statement

All data necessary to support the reported results have been provided within the article.

Conflicts of Interest

The authors declare no conflicts of interest.

References

  1. Losch, E.D.; Hynes, P.W.; Andrews, R., Jr.; Browning, R.; Cardone, P.; Devalapura, R.; Donahey, R.; Freedman, S.; Gleich, H.A.; Goettsche, G.; et al. PCI Committee Report State of the Art of Precast/Prestressed Concrete Sandwich Wall Panels. PCI J. 2011, 56, 131–176. [Google Scholar]
  2. Huang, J.Q.; Dai, J.G. Direct Shear Tests of Glass Fiber Reinforced Polymer Connectors for Use in Precast Concrete Sandwich Panels. Compos. Struct. 2019, 207, 136–147. [Google Scholar] [CrossRef]
  3. Naito, C.; Hoemann, J.; Beacraft, M.; Bewick, B. Performance and Characterization of Shear Ties for Use in Insulated Precast Concrete Sandwich Wall Panels. J. Struct. Eng.-ASCE 2012, 138, 52–61. [Google Scholar] [CrossRef]
  4. Pessiki, S.; Mlynarczyk, A. Experimental Evaluation of the Composite Behavior of Precast Concrete Sandwich Wall Panels. PCI J. 2003, 48, 54–71. [Google Scholar] [CrossRef]
  5. Benayoune, A.; Samad, A.A.A.; Trikha, D.N.; Ali, A.A.A.; Ellinna, S.H.M. Flexural Behaviour of Pre-Cast Concrete Sandwich Composite Panel—Experimental and Theoretical Investigations. Constr. Build. Mater. 2008, 22, 580–592. [Google Scholar] [CrossRef]
  6. Bush, T.D.; Stine, G.L. Flexural Behavior of Composite Precast Concrete Sandwich Panels with Continuous Truss Connectors. PCI J. 1994, 39, 112–121. [Google Scholar] [CrossRef]
  7. Goudarzi, N.; Korany, Y.; Adeeb, S.; Cheng, R. Characterization of the Shear Behavior of Z-Shaped Steel Plate Connectors Used in Insulated Concrete Panels. PCI J. 2016, 61, 23–37. [Google Scholar] [CrossRef]
  8. Maccall, C.W. Thermal Properties of Sandwich Panels. Concr. Int. 1985, 7, 35–41. [Google Scholar]
  9. Young, H.D.; Freedman, R.A. Física I, 12th ed.; Addison Wesley: São Paulo, Brazil, 2008. [Google Scholar]
  10. Sah, T.P.; Lacey, A.W.; Hao, H.; Chen, W. Prefabricated Concrete Sandwich and Other Lightweight Wall Panels for Sustainable Building Construction: State-of-the-Art Review. J. Build. Eng. 2024, 89, 109391. [Google Scholar] [CrossRef]
  11. Lou, X.; Xue, W.; Bai, H.; Li, Y.; Huang, Q. Shear Behavior of Stainless-Steel Plate Connectors for Insulated Precast Concrete Sandwich Panels. Structures 2022, 44, 1046–1056. [Google Scholar] [CrossRef]
  12. Kim, J.H.; You, Y.C. Composite Behavior of a Novel Insulated Concrete Sandwich Wall Panel Reinforced with GFRP Shear Grids: Effects of Insulation Types. Materials 2015, 8, 899–913. [Google Scholar] [CrossRef]
  13. Hassan, T.K.; Rizkalla, S.H. Analysis and Design Guidelines of Precast, Prestressed Concrete, Composite Load-Bearing Sandwich Wall Panels Reinforced with CFRP Grid. PCI J. 2010, 55, 147–162. [Google Scholar] [CrossRef]
  14. Frankl, B.A.; Lucier, G.W.; Hassan, T.K.; Rizkalla, S.H. Behavior of Precast, Prestressed Concrete Sandwich Wall Panels Reinforced with CFRP Shear Grid. PCI J. 2011, 56, 42–54. [Google Scholar] [CrossRef]
  15. Choi, K.B.; Choi, W.C.; Feo, L.; Jang, S.J.; Yun, H. Do In-Plane Shear Behavior of Insulated Precast Concrete Sandwich Panels Reinforced with Corrugated GFRP Shear Connectors. Compos. B Eng. 2015, 79, 419–429. [Google Scholar] [CrossRef]
  16. Pantelides, C.P.; Surapaneni, R.; Reaveley, L.D. Structural Performance of Hybrid GFRP/Steel Concrete Sandwich Panels. J. Compos. Constr. 2008, 12, 570–576. [Google Scholar] [CrossRef]
  17. Fahmy, M.; Attia, W.; Al-Kader A Al Sayed, A.; Ibrahim, H. Shear Performance of X and Z Configuration Wythe Ties for Insulated Precast Concrete Sandwich Panels Using Different FRP Materials. J. Build. Eng. 2024, 85. [Google Scholar] [CrossRef]
  18. Liu, X.; Wang, X.; Yang, T.; Wu, Z. The Shear Behavior of Insulated Precast Concrete Sandwich Panels Reinforced with BFRP. Buildings 2022, 12, 1326. [Google Scholar] [CrossRef]
  19. Chen, D.; Li, K.; Yuan, Z.; Cheng, B.; Kang, X. Shear Behavior of FRP Connectors in Precast Sandwich Insulation Wall Panels. Buildings 2022, 12, 1095. [Google Scholar] [CrossRef]
  20. de Lameiras, R.M. Sandwich Structural Panels Comprising Thin-Walled SFRSCC and GFRP Connectors: From Material Features to Structural Behaviour. Ph.D. Thesis, Universidade do Minho, Guimarães, Portugal, 2015. [Google Scholar]
  21. Chen, A.; Norris, T.G.; Hopkins, P.M.; Yossef, M. Experimental Investigation and Finite Element Analysis of Flexural Behavior of Insulated Concrete Sandwich Panels with FRP Plate Shear Connectors. Eng. Struct. 2015, 98, 95–108. [Google Scholar] [CrossRef]
  22. Norris, T.G.; Chen, A. Development of Insulated FRP-Confined Precast Concrete Sandwich Panel with Side and Top Confining Plates and Dry Bond. Compos. Struct. 2016, 152, 444–454. [Google Scholar] [CrossRef]
  23. Silva, J.K.F.; Ribeiro, R.R.; Lameiras, R.d.M. Evaluation of Production Quality and Mechanical Behavior of Low-Cost Shear Connectors Manufactured with Perforated GFRP Plates. Rev. IBRACON Estrut. Mater. 2021, 14, 1–21. [Google Scholar] [CrossRef]
  24. Huang, J.Q.; Xu, Y.Y.; Huang, H.; Dai, J.G. Structural Behavior of FRP Connector Enabled Precast Geopolymer Concrete Sandwich Panels Subjected to One-Side Fire Exposure. Fire Saf. J. 2022, 128, 103524. [Google Scholar] [CrossRef]
Figure 1. Shear strength mechanisms: (a) concrete front; (b) concrete dowel; (c) friction between the FRP and the concrete.
Figure 1. Shear strength mechanisms: (a) concrete front; (b) concrete dowel; (c) friction between the FRP and the concrete.
Buildings 14 03246 g001
Figure 2. Modes of failure of the PERFOFRP connector: (a) at the concrete front; (b) in the exposed FRP; (c) in the embedded FRP; (d) in the concrete dowels.
Figure 2. Modes of failure of the PERFOFRP connector: (a) at the concrete front; (b) in the exposed FRP; (c) in the embedded FRP; (d) in the concrete dowels.
Buildings 14 03246 g002
Figure 3. Assembly of the specimens: (a) formworks; (b) concreted specimens; (c) specimen after removal of the insulating material; (d) specimen after fixing the steel plate to the connector.
Figure 3. Assembly of the specimens: (a) formworks; (b) concreted specimens; (c) specimen after removal of the insulating material; (d) specimen after fixing the steel plate to the connector.
Buildings 14 03246 g003
Figure 4. Geometry of the specimens, with the measurements presented in millimeters [mm]: (a) top view (sectional drawing), with the projection of the connector; (b) front view (sectional drawing), with the projection of the connector, highlighting the regions on the GFRP connector with (blue) and without steel reinforcement (yellow).
Figure 4. Geometry of the specimens, with the measurements presented in millimeters [mm]: (a) top view (sectional drawing), with the projection of the connector; (b) front view (sectional drawing), with the projection of the connector, highlighting the regions on the GFRP connector with (blue) and without steel reinforcement (yellow).
Buildings 14 03246 g004
Figure 5. Hole and spacing configuration of connectors, measured in millimeters [mm]: (a) SP-1-19.05; (b) SP-2-19.05; (c) SP-3-19.05; (d) SP-3-15.88; (e) SP-3-12.70; (f) SP-CTL.
Figure 5. Hole and spacing configuration of connectors, measured in millimeters [mm]: (a) SP-1-19.05; (b) SP-2-19.05; (c) SP-3-19.05; (d) SP-3-15.88; (e) SP-3-12.70; (f) SP-CTL.
Buildings 14 03246 g005
Figure 6. Push-out tests.
Figure 6. Push-out tests.
Buildings 14 03246 g006
Figure 7. Cracking patterns (the arrows, in the images where they appear, represent the top of the connector): (a) SP-1-19.05; (b) SP-2-19.05; (c) SP-3-19.05; (d) SP-3-15.88; (e) SP-3-12.70; (f) SP-CTL.
Figure 7. Cracking patterns (the arrows, in the images where they appear, represent the top of the connector): (a) SP-1-19.05; (b) SP-2-19.05; (c) SP-3-19.05; (d) SP-3-15.88; (e) SP-3-12.70; (f) SP-CTL.
Buildings 14 03246 g007
Figure 8. Load versus relative displacement response of the specimens: (a) SP-12.70-1.75; (b) SP 12.70 2.00; (c) SP-12.70-2.50; (d) SP-12.70-3.00; (e) SP-CTL.
Figure 8. Load versus relative displacement response of the specimens: (a) SP-12.70-1.75; (b) SP 12.70 2.00; (c) SP-12.70-2.50; (d) SP-12.70-3.00; (e) SP-CTL.
Buildings 14 03246 g008
Figure 9. Experimental results: for the ultimate load comparing (a) the number of holes and (b) the hole diameter; for the relative displacement comparing (c) the number of holes and (d) the hole diameter; and for the initial stiffness comparing (e) the number of holes and (f) the hole diameter.
Figure 9. Experimental results: for the ultimate load comparing (a) the number of holes and (b) the hole diameter; for the relative displacement comparing (c) the number of holes and (d) the hole diameter; and for the initial stiffness comparing (e) the number of holes and (f) the hole diameter.
Buildings 14 03246 g009
Table 1. Specimen identification.
Table 1. Specimen identification.
SpecimenNumber of SpecimensNumber of Holes [mm]Diameter of Holes [mm]
SP-1-19.053119.05
SP-2-19.053219.05
SP-3-19.053319.05
SP-3-15.883315.88
SP-3-12.703312.70
SP-CTL3
Table 2. Experimental results from the push-out tests.
Table 2. Experimental results from the push-out tests.
SpecimenQlo.uSlo.uKf
Aver.SDCVAver.SDCVAver.SDCV
[kN][kN][%][mm][mm][%][kN/mm][kN/mm][%]
SP-1-19.0525.792.067.992.940.4715.8512.763.6128.28
SP-2-19.0527.040.712.642.920.5217.9412.252.1917.20
SP-3-19.0530.312.197.242.770.4817.4514.112.0014.19
SP-3-15.8825.871.987.643.250.6820.8512.411.7113.77
SP-3-12.7025.812.429.362.890.4716.3312.932.6620.60
SP-CTL26.141.054.032.840.3110.7513.180.665.01
Disclaimer/Publisher’s Note: The statements, opinions and data contained in all publications are solely those of the individual author(s) and contributor(s) and not of MDPI and/or the editor(s). MDPI and/or the editor(s) disclaim responsibility for any injury to people or property resulting from any ideas, methods, instructions or products referred to in the content.

Share and Cite

MDPI and ACS Style

Silva, J.K.F.; Lameiras, R.d.M. Experimental Analysis of the Mechanical Behavior of Shear Connectors for Precast Sandwich Wall Panels When Subjected to the Push-Out Tests. Buildings 2024, 14, 3246. https://doi.org/10.3390/buildings14103246

AMA Style

Silva JKF, Lameiras RdM. Experimental Analysis of the Mechanical Behavior of Shear Connectors for Precast Sandwich Wall Panels When Subjected to the Push-Out Tests. Buildings. 2024; 14(10):3246. https://doi.org/10.3390/buildings14103246

Chicago/Turabian Style

Silva, John Kennedy Fonsêca, and Rodrigo de Melo Lameiras. 2024. "Experimental Analysis of the Mechanical Behavior of Shear Connectors for Precast Sandwich Wall Panels When Subjected to the Push-Out Tests" Buildings 14, no. 10: 3246. https://doi.org/10.3390/buildings14103246

APA Style

Silva, J. K. F., & Lameiras, R. d. M. (2024). Experimental Analysis of the Mechanical Behavior of Shear Connectors for Precast Sandwich Wall Panels When Subjected to the Push-Out Tests. Buildings, 14(10), 3246. https://doi.org/10.3390/buildings14103246

Note that from the first issue of 2016, this journal uses article numbers instead of page numbers. See further details here.

Article Metrics

Back to TopTop