Dynamic Viscoelastic Behavior of Epoxy Asphalt Mixture under Four-Point Bending
Abstract
1. Introduction
2. Methods
3. Experimental Plan
3.1. Materials
3.2. Experimental Method
4. Test Results
5. Viscoelastic Analysis
5.1. Master Curve of Dynamic Modulus
5.2. Phase Angle Principal Curve
6. Analysis of Influencing Factors of Dynamic Viscoelastic Properties
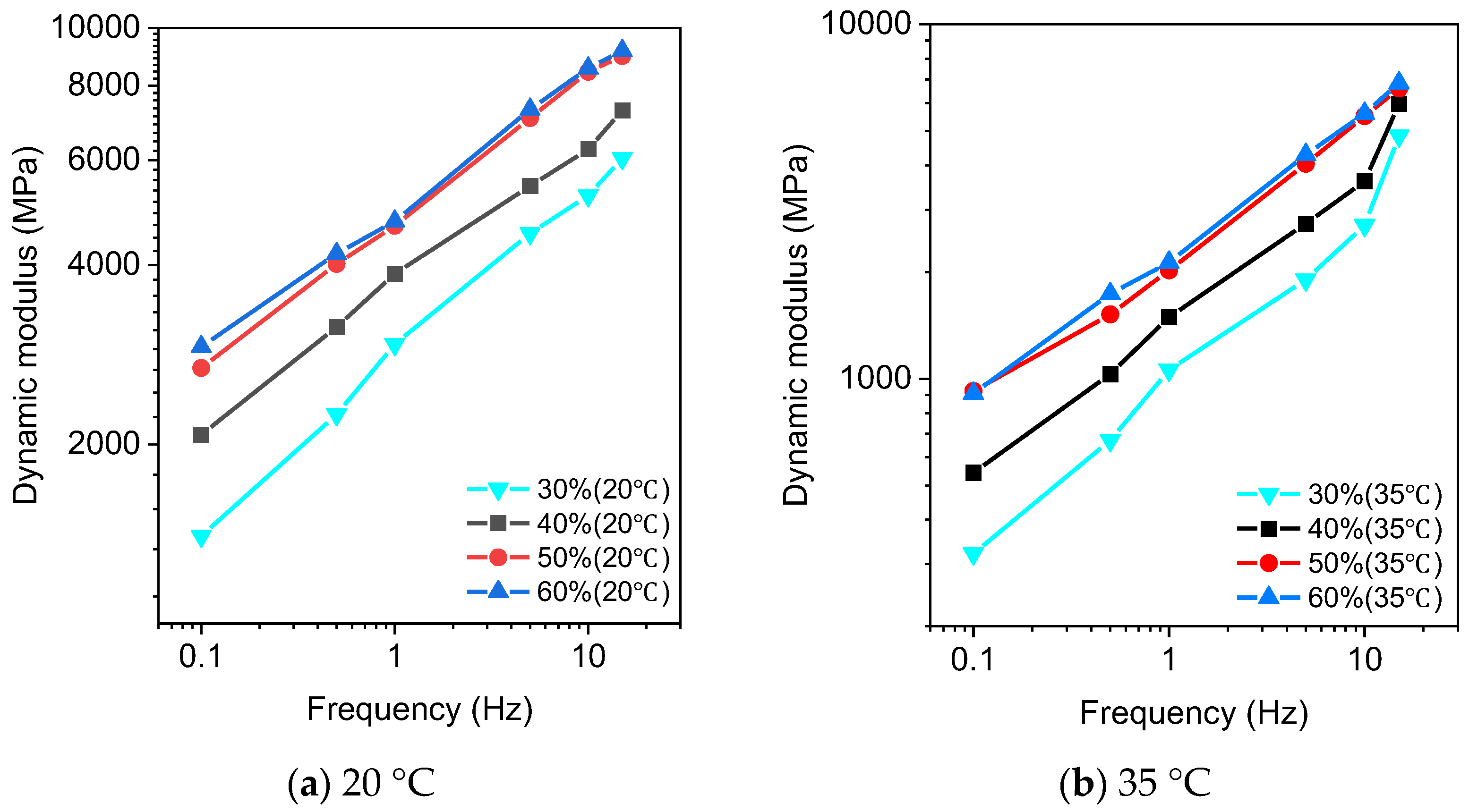
6.1. Content of Epoxy Resin
6.2. Composition of Mixture
6.3. Aging of Mixture
7. Conclusions
- (1)
- The dynamic modulus ascertained via uniaxial compression tests exceeds that derived from bending tests; this disparity initially increases and then diminishes as temperature rises. At 20 °C, this discrepancy peaks, with a deviation of 58%.
- (2)
- As temperature rises, the dynamic modulus diminishes while the phase angle augments. Conversely, the dynamic modulus intensifies with an increase in load frequency, but the phase angle’s response to frequency alterations varies across temperatures.
- (3)
- Utilizing the WLF and Sigmoidal models enables the construction of a master curve model for the dynamic bending–tensile modulus and phase angle, thereby facilitating the extraction of these parameters across the entire temperature and frequency spectra.
- (4)
- When the epoxy resin content is 50% and 60%, the dynamic modulus and phase angle of the mixture have a small difference, but compared with the 40% content, the dynamic modulus of the mixture with 50% epoxy resin content is increased by 25.88% at 10 Hz and 20 °C, and by 34.48% at 10 Hz and 35 °C. The phase angle decreases by 58.04% at 10 Hz and 20 °C, and 36.23% at 10 Hz and 35 °C, showing better performance. Compared with the mixture with 60% epoxy resin content, the dynamic modulus only decreased by 1.45% at 10 Hz and 20 °C, and the phase angle only increased by 7.6%. Therefore, considering the influence of epoxy resin content on the performance of the mixture, combined with the actual situation such as the engineering cost, the epoxy resin content is recommended to be 50%.
- (5)
- The epoxy asphalt blend demonstrates robust resistance to aging, exhibiting minimal variation in its dynamic modulus and phase angle before and after the aging process.
Author Contributions
Funding
Data Availability Statement
Conflicts of Interest
References
- Huang, W. Design of deck pavement for long-span steel bridges. China Civ. Eng. J. 2007, 40, 65–77. [Google Scholar]
- Liu, Y.; Shen, Z.; Liu, J.; Chen, S.; Wang, J.; Wang, X. Advances in the application and research of steel bridge deck pavement. Structures 2022, 45, 1156–1174. [Google Scholar] [CrossRef]
- Pan, Y.; Guo, Z. Design Research on Steel Deck Asphalt Pavement of Bridge with High Longitudinal Slope and Small Turning Radius. J. Tongji Univ. (Nat. Sci.) 2012, 40, 55–59. [Google Scholar]
- Haibara, Y.; Ge, H.; Sun, J. Materials Optimization and Service Performance Evaluation of a Novel Steel Bridge Deck Pavement Structure: A Case Study. Appl. Sci. 2023, 13, 5930. [Google Scholar] [CrossRef]
- Pan, Y.; Guo, Z. Design of steel deck pavement of long-span continuous steel box girder bridges. J. Tongji Univ. (Nat. Sci.) 2013, 41, 841–847. [Google Scholar]
- Wang, B.; Tang, Y.; Liu, Y.; Wang, L. Research on multi-factor optimization of the orthotropic steel bridge deck pavement system based on orthogonal experimental design. J. Xi’an Univ. Archit. Technol. 2018, 50, 842–849+855. [Google Scholar]
- Wu, C.; Liu, H.; Zhang, S.; Cui, B.; Ding, W. Influence of pavement on fatigue stress range of orthotropic steel deck. Eng. Sci. 2010, 12, 39–42. [Google Scholar]
- Zheng, G.; Zhang, N.; Lv, S. Experimental Study on Dynamic Modulus of High Content Rubber Asphalt Mixture. Buildings 2024, 14, 434. [Google Scholar] [CrossRef]
- Huang, Y.; Liu, Z.; Wang, X.; Li, S. Comparison of HMA dynamic modulus between trapezoid beam test and SPT. J. Cent. South Univ. (Sci. Technol.) 2017, 48, 3092–3099. [Google Scholar]
- Liu, Y.; Zhang, X.-N.; Chen, S.-X. Method to Test Dynamic Modulus of Asphalt Mixture Based on Semi-Circular Specimens. J. South China Univ. Technol. 2010, 38, 41–46. [Google Scholar]
- Yao, A.; Zheng, P. Test method and influencing factors for the dynamic compression elastic moduli of asphalt mixtures. J. Univ. Sci. Technol. Beijing 2011, 33, 1275–1279. [Google Scholar]
- Gao, M.; Xue, Y.; Guan, P.; Yuan, F. Influence Mechanism of Epoxy Resin and Curing Agent on High-Temperature Performance of Asphalt. Sains Malays. 2020, 49, 661–669. [Google Scholar] [CrossRef]
- Yan, X.; Zhou, Z.; Liu, Z.; Zhou, Y. Investigation of Dynamic Viscoelastic Characteristics of Permeable Asphalt. Materials 2024, 17, 2984. [Google Scholar] [CrossRef] [PubMed]
- Weng, Y.-W.; Lin, D.; Huang, W.H.; Yeh, M.C. Research of Steel Deck Pavement Suitable Paving Materials. Adv. Mater. Res. 2011, 243–249, 4092–4096. [Google Scholar] [CrossRef]
- Yao, B.; Cheng, G.; Wang, X. Dynamic modulus of epoxy asphalt mixture based on bending test mode. J. Southeast Univ. (Nat. Sci. Ed.) 2011, 41, 597–600. [Google Scholar]
- Witczak, M.W.; Root, R.E. Summary of Complex Modulus Laboratory Test Procedures and Results. In 1973 Symposium on Fatigue and Dynamic Testing of Bituminous Mixtures; ASTM International: Philadelphia, PA, USA, 1974. [Google Scholar]
- Saito, M.; Kurata, K.; Arakawa, S. Applicability of indirect tensile test method with frame specimens to concrete. J. Soc. Mater. Sci. 1982, 31, 103–108. [Google Scholar] [CrossRef]
- Liu, X.; Wu, Z.; Min, Z.; Zhang, L. Investigation on the Preparation and Performances of Epoxy-Modified Asphalt Binder and Its Mixtures. Materials 2024, 17, 2539. [Google Scholar] [CrossRef]
- Xiao, M.; Chen, Y.; Feng, H.; Huang, T.; Xiong, K.; Zhu, Y. Evaluation of Fatigue Behavior of Asphalt Field Cores Using Discrete Element Modeling. Materials 2024, 17, 3108. [Google Scholar] [CrossRef]
- Pan’ko, I.N.; Zazulyak, V.A. Four-point bending of a cylindrical specimen with an external circumferential notch. Sov. Mater. Sci. 1979, 15, 33–35. [Google Scholar] [CrossRef]
- Baldo, N.; Rondinella, F.; Daneluz, F.; Vacková, P.; Valentin, J.; Gajewski, M.D.; Król, J.B. Stiffness Moduli Modelling and Prediction in Four-Point Bending of Asphalt Mixtures: A Machine Learning-Based Framework. CivilEng 2023, 4, 1083–1097. [Google Scholar] [CrossRef]
- Denk, J.; Dallmeier, J.; Huber, O. Four-point-bending device for bending moment controlled cyclic reverse loading on plate materials and its application on AZ31B magnesium sheets. Int. J. Fatigue 2018, 109, 49–59. [Google Scholar] [CrossRef]
- Sabuncuoglu, B.; Vanhee, F.; Willems, G.; Vandevelde, B.; Vandepitte, D. Evaluation of Fatigue Behavior of Lead-Free Solder Joints in Four-Point Bending Test by Finite-Element Modeling. IEEE Trans. Compon. Packag. Manuf. Technol. 2017, 7, 1957–1964. [Google Scholar] [CrossRef]
- Wan, C.; Zhang, X.-N.; Yu, J.-M. Evaluation of fatigue performance of asphalt mixture using cooper NU-14 test system. J. South China Univ. Technol. 2009, 37, 52–56. [Google Scholar]
- Yoshimoto, T.; Matsuo, T. Development of four-point bending fatigue test method using continuously hydrogen-charging pipe specimen. In Proceedings of the 12th International Conference on Damage Assessment of Structures (DAMAS), Kitakyushu, Japan, 10–12 July 2017. [Google Scholar]
- Zhai, T.; Xu, Y.; Martin, J.; Wilkinson, A.; Briggs, G. A self-aligning four-point bend testing rig and sample geometry effect in four-point bend fatigue. Int. J. Fatigue 1999, 21, 889–894. [Google Scholar] [CrossRef]
- Zou, X.; Ding, B.; Peng, Z.; Li, H. Damage analysis four-point bending fatigue tests on stone matrix asphalt using dissipated energy approaches. Int. J. Fatigue 2020, 133, 105453. [Google Scholar] [CrossRef]
- Han, X.; Su, W.; Gong, J.; Xi, Z.; Zhang, J.; Cai, J.; Wang, Q.; Xie, H. Microstructure and dynamic mechanical properties epoxy/asphaltene composites. J. Therm. Anal. Calorim. 2022, 147, 2209–2219. [Google Scholar] [CrossRef]
- Hao, Z.; Li, L.; Sheng, X.; Liu, P. Development and characterization of high temperature curing epoxy asphalt. New Chem. Mater. 2017, 45, 208–210+214. [Google Scholar]
- Jing, F.; Wang, R.; Zhao, R.; Li, C.; Cai, J.; Ding, G.; Wang, Q.; Xie, H. Enhancement of Bonding and Mechanical Performance of Epoxy Asphalt Bond Coats with Graphene Nanoplatelets. Polymers 2023, 15, 412. [Google Scholar] [CrossRef]
- Li, J.; Zhu, Y.; Yu, J. Study on Physical Properties, Rheological Properties, and Self-Healing Properties of Epoxy Resin Modified Asphalt. Sustainability 2023, 15, 689. [Google Scholar] [CrossRef]
- Liu, H.; Li, X. High Temperature Rheological Properties of Waterborne Epoxy Emulsified Asphalt. J. Chongqing Jiaotong Univ. Nat. Sci. 2020, 39, 67–73. [Google Scholar]
- Ishaq, M.A.; Giustozzi, F. Correlation between Rheological Fatigue Tests on Bitumen and Various Cracking Tests on As phalt Mixtures. Materials 2021, 14, 7839. [Google Scholar] [CrossRef] [PubMed]
- Xue, L.-X. Viscoelastic characteristics of epoxy asphalt. J. South China Univ. Technol. 2008, 36, 71–75. [Google Scholar]
- Xu, Z.; Liu, P.; Zeng, Q.; Xiong, Z.; Yang, X. Research on high temperature performance of epoxy asphalt based on rheology and molecular dynamics. New Chem. Mater. 2023, 51, 307–312+317. [Google Scholar]
- Apostolidis, P.; Liu, X.; Erkens, S.; Scarpasa, T. Oxidative aging of epoxy asphalt. Int. J. Pavement Eng. 2022, 23, 1471–1481. [Google Scholar] [CrossRef]
- Apostolidis, P.; Liu, X.; Marocho, P.; van de Ven, M.; Erkens, S.; Skarpas, T. Evaluation of epoxy modification in asphalt mastic. Mater. Struct. 2020, 53, 1–15. [Google Scholar] [CrossRef]
- Guo, J.; Min, Z.-H.; Zhang, Z.-J.; Kong, D.-L. Dynamic mechanical property of epoxy resin asphalt in different crossing-density. J. Change Univ. 2011, 31, 26–30. [Google Scholar]
- Zhang, X.; Ren, Y.; Chi, F. Study of viscous-elastic properties of epoxy asphalt mixtures by using dynamic frequency sweep. J. Huazhong Univ. Sci. Technol. 2009, 37, 102–105. [Google Scholar]
- Luo, S.; Qian, Z.; Harvey, J. Research on Dynamic Modulus for Epoxy Asphalt Mixtures and Its Master Curve. China J. Highw. Transp. 2010, 23, 16–20. [Google Scholar]
- Chen, L.; Qian, Z. Study on Dynamic Modulus of Epoxy Asphalt Mixture Based on Simple Performance Test. J. Build. Mater. 2013, 16, 341–344. [Google Scholar]
- Chen, L.; Qian, Z.; Luo, S. Experimental study of dynamic modulus of thermosetting epoxy asphalt mixture for steel deck pavement. J. Southeast Univ. (Engl. Ed.) 2010, 26, 112–116. [Google Scholar]
- Yao, B.; Cheng, G.; Wang, X.; Cheng, C. Characterization of the stiffness of asphalt surfacing materials on orthotropic steel bridge decks using dynamic modulus test and flexural beam test. Constr. Build. Mater. 2013, 44, 200–206. [Google Scholar] [CrossRef]
- Yao, B.; Cheng, G.; Wang, X.; Cheng, C.; Liu, S. Linear viscoelastic behaviour of thermosetting epoxy asphalt concrete-Experiments and modeling. Constr. Build. Mater. 2013, 48, 540–547. [Google Scholar] [CrossRef]
- JTJ 052-2000; Standard Test Methods of Bitumen and Bitu minous Mixtures for Highway Engineering. People’s Communications Press: Beijing, China, 2000.
- Buttlar, W.G.; Roque, R. Evaluation of empirical and theoretical models to determine asphalt mixture stiffnesses at low temperatures. In Proceedings of the 1996 Conference of the Association of Asphalt Paving Technologies, Baltimore, MD, USA, 18–20 March 1996; Asphalt Paving Technology: Cleveland, OH, USA, 1996. [Google Scholar]
- Harran, G.; Shalaby, A. Dynamic modulus of asphalt concrete in uniaxial compression and indirect tension modes. In Proceedings of the Annual Conference of the Canadian Society for Civil Engineering 2007, Yellowknife, NT, USA, 6–9 June 2007. [Google Scholar]
- He, Y.; Lv, S.; Xie, N.; Meng, H.; Lei, W.; Pu, C.; Ma, H.; Wang, Z.; Zheng, G.; Peng, X. Comparative Study on the Dynamic Response of Asphalt Pavement Structures: Analysis Using the Classic Kelvin, Maxwell, and Three-Parameter Solid Models. Buildings 2024, 14, 295. [Google Scholar] [CrossRef]
- Paving Technology 2003, 10–12 March 2003; Association of Asphalt Paving Technologist: Lexington, KY, USA, 2003.
- Li, X.; Liang, N.; Chen, L. Dynamic modulus and time-temperature equivalence equation of asphalt concrete. J. Change Univ. 2014, 34, 35–40. [Google Scholar]
- Li, Z.L.; Qin, Y.; Sun, B.; Jia, C.L.; Zhang, W.J.; Yan, B.J.; Shi, Q.L. A fractional approach to the time-temperature dependence of dynamic viscoelastic behavior. J. Mech. Sci. Technol. 2019, 33, 139–147. [Google Scholar] [CrossRef]















| Physical Properties | Main Agent | Curing Agent |
|---|---|---|
| Specific gravity | 1.15 | 0.862 |
| Epoxy equivalent | 204 | - |
| Acid number (mg, KOH/g) | - | 168 |
| Flash point (°C) | 239 | 169 |
| Gradation | Percentage of Mass through the Sieve (Square Hole Sieve, mm) | ||||||||
|---|---|---|---|---|---|---|---|---|---|
| 13.2 | 9.5 | 4.75 | 2.36 | 1.18 | 0.6 | 0.3 | 0.15 | 0.075 | |
| Gradation 1 | 100 | 99.7 | 75 | 58 | 45.3 | 36 | 24.4 | 18.1 | 11.1 |
| Gradation 2 | 100 | 97.4 | 44.2 | 31.1 | 24.2 | 19.7 | 16.3 | 13.2 | 9.8 |
| Technical Index | Gradation 1 | Gradation 2 |
|---|---|---|
| Apparent density (g/cm3) | 2.586 | 2.594 |
| Air voids (%) | 1.4 | 2.0 |
| Marshall stability (kN) | 68.3 | 46.3 |
| Flow value (mm) | 5.0 | 4.0 |
| Residual stability (%) | 92.5 | 93.6 |
| Freeze–thaw splitting strength ratio TSR (%) | 92.9 | 92.4 |
| Method | Dynamic Modulus (MPa) | ||||
|---|---|---|---|---|---|
| −10 °C | 5 °C | 20 °C | 35 °C | 50 °C | |
| Bending test | 26,848 | 20,810 | 8470 | 5505 | 2266 |
| Compression test | 28,177 | 23,969 | 13,414 | 7581 | 2982 |
| Difference | 1329 | 3159 | 4944 | 2076 | 716 |
| Proportion | 5% | 15% | 58% | 38% | 32% |
| Temperature/°C | Displacement Factor | /°C | /°C |
|---|---|---|---|
| 20 | 2.50 | 55.23 | 202.97 |
| 35 | 0 | - | - |
| 50 | −1.8 | 57.16 | 231.04 |
| Average | 0.233 | 56.2 | 217 |
| Temperature/°C | −10 | 5 | 35 | 50 |
|---|---|---|---|---|
| 11.66 | 4.10 | −2.57 | −4.33 |
| Reference Temperature/°C | Model Expression | Correlation Coefficient R2 |
|---|---|---|
| −10 | 0.986 | |
| 5 | 0.996 | |
| 20 | 0.994 | |
| 35 | 0.986 | |
| 50 | 0.976 |
| Method | Dynamic Modulus (MPa) | ||||
|---|---|---|---|---|---|
| −10 °C | 5 °C | 20 °C | 35 °C | 50 °C | |
| Bending test | 22,126 | 14,113 | 8241 | 3054 | 1105 |
| Sigmund model | 21,481 | 13,705 | 7400 | 2616 | 920 |
| Difference | 645 | 408 | 841 | 438 | 185 |
| Proportion | 3% | 3% | 11% | 17% | 20% |
Disclaimer/Publisher’s Note: The statements, opinions and data contained in all publications are solely those of the individual author(s) and contributor(s) and not of MDPI and/or the editor(s). MDPI and/or the editor(s) disclaim responsibility for any injury to people or property resulting from any ideas, methods, instructions or products referred to in the content. |
© 2024 by the authors. Licensee MDPI, Basel, Switzerland. This article is an open access article distributed under the terms and conditions of the Creative Commons Attribution (CC BY) license (https://creativecommons.org/licenses/by/4.0/).
Share and Cite
He, B.; Huang, Z.; Chen, J.; He, M.; Wang, Y.; Li, J.; Wang, S. Dynamic Viscoelastic Behavior of Epoxy Asphalt Mixture under Four-Point Bending. Buildings 2024, 14, 3061. https://doi.org/10.3390/buildings14103061
He B, Huang Z, Chen J, He M, Wang Y, Li J, Wang S. Dynamic Viscoelastic Behavior of Epoxy Asphalt Mixture under Four-Point Bending. Buildings. 2024; 14(10):3061. https://doi.org/10.3390/buildings14103061
Chicago/Turabian StyleHe, Baiqing, Zhiyong Huang, Jingsong Chen, Mu He, Yan Wang, Jian Li, and Shaohuai Wang. 2024. "Dynamic Viscoelastic Behavior of Epoxy Asphalt Mixture under Four-Point Bending" Buildings 14, no. 10: 3061. https://doi.org/10.3390/buildings14103061
APA StyleHe, B., Huang, Z., Chen, J., He, M., Wang, Y., Li, J., & Wang, S. (2024). Dynamic Viscoelastic Behavior of Epoxy Asphalt Mixture under Four-Point Bending. Buildings, 14(10), 3061. https://doi.org/10.3390/buildings14103061

