Mechanical Consequences of Suffusion on Gap-Graded Soils with Stress Anisotropy: A CFD–DEM Perspective
Abstract
1. Introduction
2. CFD–DEM Coupling Simulation
2.1. Solid and Fluid Governing Equations
2.2. Fluid–Solid Interaction Model
2.3. Fluid–Solid Coupling Simulation Process
3. Simulation Procedures
3.1. Establishment of the Model and the Selection of Parameters
3.2. Simulation of Anisotropic Consolidation and Suffusion
3.3. Simulation of Drained Shear
4. Results and Discussion
4.1. Macroscopic Response and Microscopic Analysis in the Suffusion Stage
4.2. Macroscopic Response and Microscopic Analysis in the Drained Shear Stage
5. Conclusions
- (1)
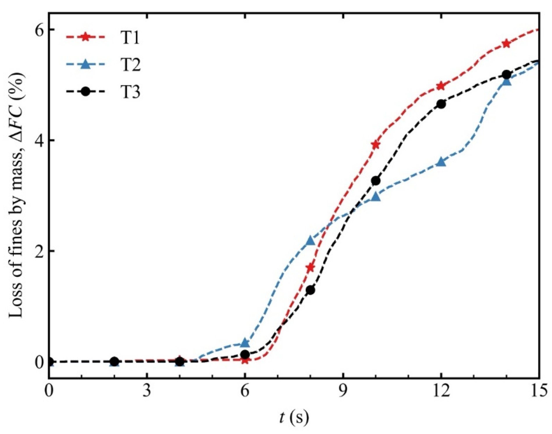
- The specimen in which the principal stress aligned with the seepage-flow direction exhibited the highest critical hydraulic gradient because this specimen was resisted by the highest external force along the suffusion direction, which inhibited the migration of the fine particles.
- (2)
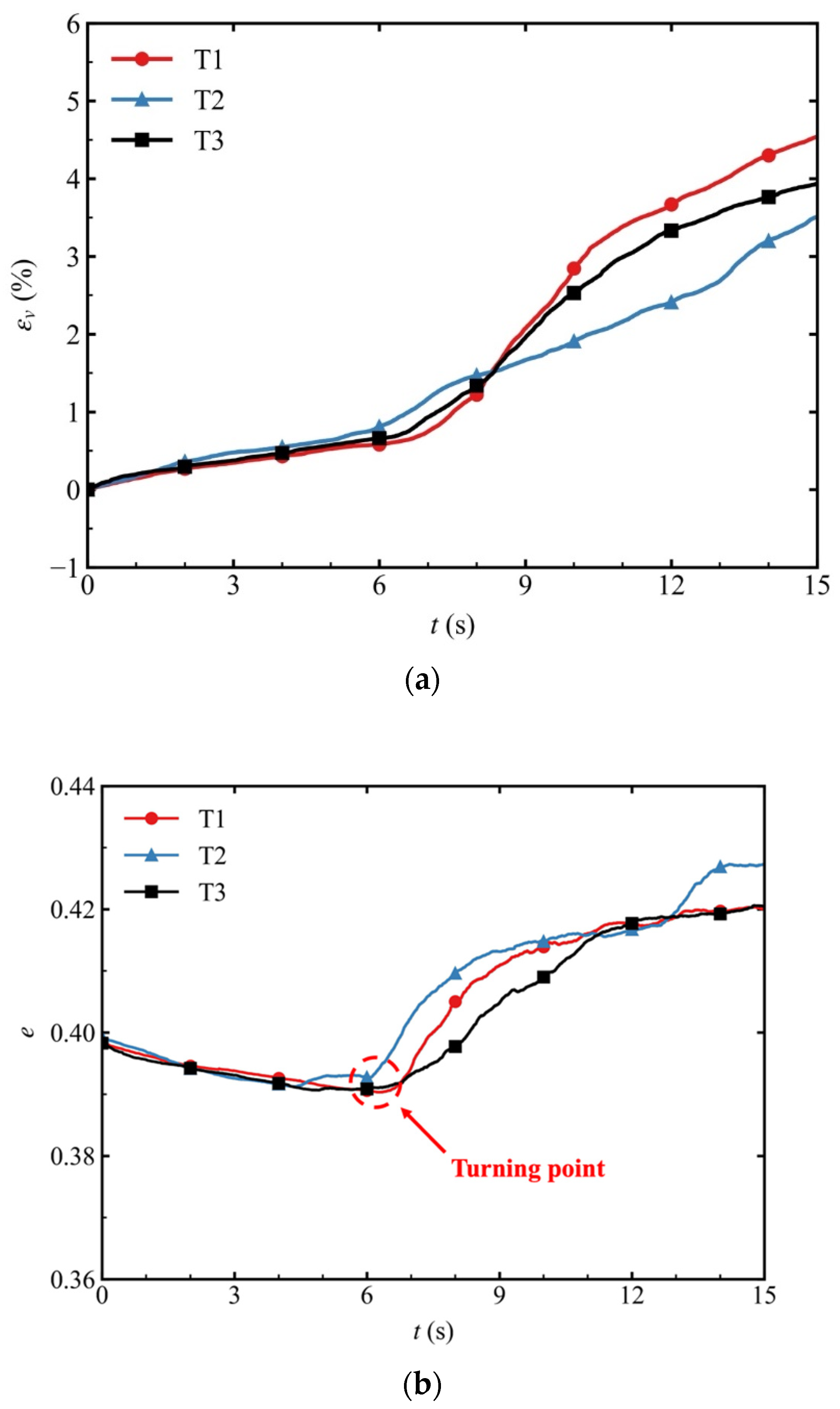
- For all specimens, the volume decreased while the void ratio increased owing to the loss of fine particles during suffusion. The specimen in which the principal stress aligned with the seepage-flow direction demonstrated the highest fine-particle mass loss and the most prominent reduction in volume, indicating its high vulnerability to erosion.
- (3)
- The coordination number Z and mechanical coordination number Zm of the isotropically consolidated specimens were always greater than those of the anisotropically consolidated specimens during suffusion. This suggests that the skeleton structure of the anisotropically consolidated specimens was more perturbed by suffusion than that of the isotropically consolidated specimens.
- (4)
- Regardless of the initial stress state of the specimens, the shear strength, secant stiffness, and volume dilatancy of the eroded specimens decreased compared with those of the non-eroded specimens during drained shear tests. Furthermore, the secant stiffness E50 decreased more considerably in the anisotropically consolidated specimens than in the isotropically consolidated specimens after suffusion.
- (5)
- The percentage of weak force chains was considerably greater than that of strong force chains in the gap-graded soils. When the specimens were sheared to the critical state, the changes in the distribution of the strong and weak force chains between the non-eroded and eroded specimens were smallest in the isotropically consolidated specimens, indicating that the specimens in the isotropic stress state were less susceptible to suffusion than those in the anisotropic stress state.
- (6)
- The normal contact force anisotropy of the eroded specimen was greater than that of the non-eroded specimen. The specimen with initial tensile stress had greater anisotropy of normal contact force.
Author Contributions
Funding
Data Availability Statement
Conflicts of Interest
References
- Ślusarek, J.; Łupieżowiec, M. Analysis of damage to structures as a result of soil suffusion. Eng. Fail. Anal. 2021, 120, 105058. [Google Scholar] [CrossRef]
- Foster, M.; Fell, R.; Spannagle, M. The statistics of embankment dam failures and accidents. Can. Geotech. J. 2000, 37, 1000–1024. [Google Scholar] [CrossRef]
- Richards, K.S.; Reddy, K.R. Critical appraisal of piping phenomena in earth dams. Bull. Eng. Geol. Environ. 2007, 66, 381–402. [Google Scholar] [CrossRef]
- Jiang, X.; Zhu, H.; Yan, Z.; Zhang, F.; Li, P.; Zhang, X.; Dai, Z.; Bai, Y.; Huang, B. A state-of-art review on development and progress of backfill grouting materials for shield tunneling. Dev. Built Environ. 2023, 16, 100250. [Google Scholar] [CrossRef]
- Kenney, T.C.; Lau, D. Internal stability of granular filters. Can. Geotech. J. 1985, 22, 215–225. [Google Scholar] [CrossRef]
- Li, M.; Fannin, R.J. Comparison of two criteria for internal stability of granular soil. Can. Geotech. J. 2008, 45, 1303–1309. [Google Scholar] [CrossRef]
- Zheng, H.; Shi, Z.; Shen, D.; Peng, M.; Hanley, K.J.; Ma, C.; Zhang, L. Recent advances in stability and failure mechanisms of landslide dams. Front. Earth Sci. 2021, 9, 659935. [Google Scholar] [CrossRef]
- Rochim, A.; Marot, D.; Sibille, L.; Le, V.T. Effects of hydraulic loading history on suffusion susceptibility of cohesionless soils. J. Geotech. Geoenviron. Eng. 2017, 143, 04017025. [Google Scholar] [CrossRef]
- Sterpi, D. Effects of the erosion and transport of fine particles due to seepage flow. Int. J. Geomech. 2003, 3, 111–122. [Google Scholar] [CrossRef]
- Chen, C.; Zhang, L.M.; Chang, D.S. Stress-strain behavior of granular soils subjected to internal erosion. J. Geotech. Geoenviron. Eng. 2016, 142, 06016014. [Google Scholar] [CrossRef]
- Chang, D.S.; Zhang, L.M. Critical hydraulic gradients of internal erosion under complex stress states. J. Geotech. Geoenviron. Eng. 2013, 139, 1454–1467. [Google Scholar] [CrossRef]
- Chang, D.; Zhang, L. Extended internal stability criteria for soils under seepage. Soils Found. 2013, 53, 569–583. [Google Scholar] [CrossRef]
- Ke, L.; Takahashi, A. Experimental investigations on suffusion characteristics and its mechanical consequences on saturated cohesionless soil. Soils Found. 2014, 54, 713–730. [Google Scholar] [CrossRef]
- Muir, W.D. The magic of sands–the 20th Bjerrum Lecture presented in Oslo, 25 November 2005. Can. Geotech. J. 2007, 44, 1329–1350. [Google Scholar]
- Wood, D.M.; Maeda, K.; Nukudani, E.; Bolton, M.D.; Nakata, Y.; Cheng, Y.P.; Gens, A.; Yang, J.; Dai, B. Modelling mechanical consequences of erosion. Géotechnique 2010, 60, 447–457. [Google Scholar] [CrossRef]
- Scholtès, L.; Hicher, P.-Y.; Sibille, L. Multiscale approaches to describe mechanical responses induced by particle removal in granular materials. Comptes Rendus Mec. 2010, 338, 627–638. [Google Scholar] [CrossRef]
- Hicher, P.-Y. Modelling the impact of particle removal on granular material behavior. Géotechnique 2013, 63, 118–128. [Google Scholar] [CrossRef]
- Zhou, Z.; Li, Z.; Ranjith, P.G.; Wen, Z.; Shi, S.; Wei, C. Numerical simulation of the influence of seepage direction on suffusion in granular soils. Arab. J. Geosci. 2020, 13, 669. [Google Scholar] [CrossRef]
- Gu, D.M.; Huang, D.; Liu, H.L.; Zhang, W.G.; Gao, X.C. A DEM-based approach for modeling the evolution process of seepage-induced erosion in clayey sand. Acta Geotech. 2019, 14, 1629–1641. [Google Scholar] [CrossRef]
- Xiong, H.; Wu, H.; Bao, X.; Fei, J. Investigating effect of particle shape on suffusion by CFD-DEM modeling. Constr. Build. Mater. 2021, 289, 123043. [Google Scholar] [CrossRef]
- Hu, Z.; Zhang, Y.; Yang, Z. Suffusion-induced deformation and microstructural change of granular soils: A coupled CFD–DEM study. Acta Geotech. 2019, 14, 795–814. [Google Scholar] [CrossRef]
- Qian, J.G.; Zhou, C.; Yin, Z.Y.; Li, W.Y. Investigating the effect of particle angularity on suffusion of gap-graded soil using coupled CFD-DEM. Comput. Geotech. 2021, 139, 104383. [Google Scholar] [CrossRef]
- Ma, H.; Li, B. CFD-CGDEM coupling model for scour process simulation of submarine pipelines. Ocean. Eng. 2023, 271, 113789. [Google Scholar] [CrossRef]
- El Shamy, U.; Aydin, F. Multiscale modeling of flood-induced piping in river levees. J. Geotech. Geoenviron. Eng. 2008, 134, 1385–1398. [Google Scholar] [CrossRef]
- Zhao, J.; Shan, T. Coupled CFD–DEM simulation of fluid–particle interaction in geomechanics. Powder Technol. 2013, 239, 248–258. [Google Scholar] [CrossRef]
- Shan, T.; Zhao, J. A coupled CFD-DEM analysis of granular flow impacting on a water reservoir. Acta Mech. 2014, 225, 2449–2470. [Google Scholar] [CrossRef]
- Hu, Z.; Li, J.Z.; Zhang, Y.D.; Yang, Z.X.; Liu, J.K. A CFD–DEM study on the suffusion and shear behaviors of gap-graded soils under stress anisotropy. Acta Geotech. 2023, 18, 3091–3110. [Google Scholar] [CrossRef]
- Liu, Y.; Wang, L.; Yin, Z.-Y.; Hong, Y. A coupled CFD-DEM investigation into suffusion of gap-graded soil considering anisotropic stress conditions and flow directions. Acta Geotech. 2023, 18, 3111–3132. [Google Scholar] [CrossRef]
- Goniva, C.; Kloss, C.; Deen, N.G.; Kuipers, J.A.; Pirker, S. Influence of rolling friction on single spout fluidized bed simulation. Particuology 2012, 10, 582–591. [Google Scholar] [CrossRef]
- Kloss, C.; Goniva, C.; Hager, A.; Amberger, S.; Pirker, S. Models, algorithms and validation for opensource DEM and CFD-DEM. Prog. Comput. Fluid Dyn. Int. J. 2012, 12, 140. [Google Scholar] [CrossRef]
- Zhou, Y.C.; Wright, B.D.; Yang, R.Y.; Xu, B.H.; Yu, A.B. Rolling friction in the dynamic simulation of sandpile formation. Phys. Part A Stat. Mech. Its Appl. 1999, 269, 536–553. [Google Scholar] [CrossRef]
- Yin, W.; Jun, A.I.; Qing, Y. A CFD-DEM coupled method incorporating soil interparticle rolling resistance. Rock Soil Mech. 2017, 38, 1771–1780. [Google Scholar]
- Di Felice, R. The voidage function for fluid-particle interaction systems. Int. J. Multiph. Flow 1994, 20, 153–159. [Google Scholar] [CrossRef]
- Smuts, E.M.; Deglon, D.A.; Meyer, C.J. Methodology for CFD-DEM modelling of particulate suspension rheology. In Proceedings of the Ninth International Conference on CFD in the Minerals and Process Industries CSIRO, Melbourne, Australia, 10–12 December 2012. [Google Scholar]
- Roux, J.-N.; Combe, G.; Goddard, J.; Giovine, P.; Jenkins, J.T. How granular materials deform in quasistatic conditions. AIP Conf. Proc. 2010, 1227, 260–270. [Google Scholar]
- Tao, J.; Tao, H. Factors affecting piping erosion resistance: Revisited with a numerical modeling approach. Int. J. Geomech. 2017, 17, 04017097. [Google Scholar] [CrossRef]
- Li, X.; Zhao, J. Dam-break of mixtures consisting of non-Newtonian liquids and granular particles. Powder Technol. 2018, 338, 493–505. [Google Scholar] [CrossRef]
- Gong, J.; Nie, Z.; Zhu, Y.; Liang, Z.; Wang, X. Exploring the effects of particle shape and content of fines on the shear behavior of sand-fines mixtures via the DEM. Comput. Geotech. 2019, 106, 161–176. [Google Scholar] [CrossRef]
- Kézdi, Á. Soil Physics: Selected Topics; Elsevier: Amsterdam, The Netherlands, 2013. [Google Scholar]
- Jiang, M.D.; Yang, Z.X.; Barreto, D.; Xie, Y.H. The influence of particle-size distribution on critical state behavior of spherical and nonspherical particle assemblies. Granul. Matter 2018, 20, 80. [Google Scholar] [CrossRef]
- Guo, N.; Zhao, J. The signature of shear-induced anisotropy in granular media. Comput. Geotech. 2013, 47, 1–15. [Google Scholar] [CrossRef]















| Computation Modules | Parameter Types | Values |
|---|---|---|
| Solid phase (DEM) | Particle number | 4 × 104 |
| Fine-particle diameter (mm) | 0.42–0.5 | |
| Coarse-particle diameter (mm) | 2.08–2.4 | |
| Particle density (kg/m3) | 2650 | |
| Young’s modulus (GPa) | 7 | |
| Poisson’s ratio | 0.3 | |
| Friction coefficient | 0.5 | |
| Restitution coefficient | 0.2 | |
| Rolling friction coefficient | 0.1 | |
| Acceleration of gravity (m/s2) | 9.81 | |
| Fluid phase (CFD) | Fluid density (kg/m3) | 1000 |
| Dynamic viscosity (Pa·s) | 1 × 10−3 | |
| Size of fluid cells (mm) | 3.0 | |
| Solid–water interaction (CFD–DEM) | Timestep of DEM (s) | 2 × 10−7 |
| Timestep of CFD (s) | 2 × 10−5 | |
| Coupling interval (s) | 2 × 10−5 | |
| Simulation duration (s) | 15 |
| Specimen IDs | Radical Stress, σ′r (kPa) | Axial Stress, σ′a (kPa) | Mean Stress, p′ (kPa) | Deviatoric Stress, q (kPa) | Initial Stress Ratio, η0 | Initial Void Ratio, e0 |
|---|---|---|---|---|---|---|
| T1 | 86.7 | 126.7 | 100 | 40 | 0.4 | 0.398 |
| T2 | 113.3 | 73.3 | 100 | −40 | −0.4 | 0.399 |
| T3 | 100 | 100 | 100 | 0 | 0 | 0.398 |
| Specimen ID | (%) before Shearing | (%) before Shearing | (%) after Shearing | (%) after Shearing |
|---|---|---|---|---|
| T1-N | 96.4 | 3.6 | 82.7 | 17.3 |
| T1-Y | 96.4 | 3.6 | 71.5 | 28.5 |
| T2-N | 96.7 | 3.3 | 84.8 | 15.2 |
| T2-Y | 96.2 | 3.8 | 80.3 | 19.7 |
| T3-N | 96.3 | 3.7 | 84.7 | 15.3 |
| T3-Y | 96.6 | 3.4 | 83.3 | 16.7 |
Disclaimer/Publisher’s Note: The statements, opinions and data contained in all publications are solely those of the individual author(s) and contributor(s) and not of MDPI and/or the editor(s). MDPI and/or the editor(s) disclaim responsibility for any injury to people or property resulting from any ideas, methods, instructions or products referred to in the content. |
© 2024 by the authors. Licensee MDPI, Basel, Switzerland. This article is an open access article distributed under the terms and conditions of the Creative Commons Attribution (CC BY) license (https://creativecommons.org/licenses/by/4.0/).
Share and Cite
Yu, G.; Yu, C.; Fu, Z.; Jing, J.; Hu, Z.; Pan, K. Mechanical Consequences of Suffusion on Gap-Graded Soils with Stress Anisotropy: A CFD–DEM Perspective. Buildings 2024, 14, 122. https://doi.org/10.3390/buildings14010122
Yu G, Yu C, Fu Z, Jing J, Hu Z, Pan K. Mechanical Consequences of Suffusion on Gap-Graded Soils with Stress Anisotropy: A CFD–DEM Perspective. Buildings. 2024; 14(1):122. https://doi.org/10.3390/buildings14010122
Chicago/Turabian StyleYu, Gengfeng, Chao Yu, Zunan Fu, Jianguo Jing, Zheng Hu, and Kun Pan. 2024. "Mechanical Consequences of Suffusion on Gap-Graded Soils with Stress Anisotropy: A CFD–DEM Perspective" Buildings 14, no. 1: 122. https://doi.org/10.3390/buildings14010122
APA StyleYu, G., Yu, C., Fu, Z., Jing, J., Hu, Z., & Pan, K. (2024). Mechanical Consequences of Suffusion on Gap-Graded Soils with Stress Anisotropy: A CFD–DEM Perspective. Buildings, 14(1), 122. https://doi.org/10.3390/buildings14010122

